Insights on the Optical Properties of Poly(3,4-Ethylenedioxythiophene):Poly(styrenesulfonate) Formulations by Optical Metrology
Abstract
1. Introduction
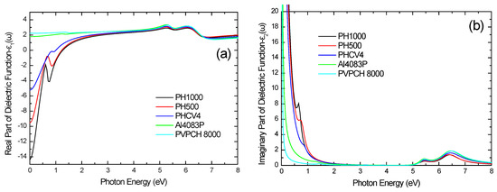
2. Results and Discussion
3. Materials and Methods
4. Conclusions
Acknowledgments
Author Contributions
Conflicts of Interest
References
- Verstraelen, S.I.; Hecker, K. White Paper OE-A Roadmap; Organic Electronics Association: Frankfurt am Main, Germany, 2017. [Google Scholar]
- Logothetidis, S.; Laskarakis, A. Towards the optimization of materials and processes for flexible organic electronics devices. Eur. Phys. J. Appl. Phys. 2009, 46, 12502. [Google Scholar] [CrossRef]
- Logothetidis, S.; Laskarakis, A. Organic against inorganic electrodes grown onto polymer substrates for flexible organic electronics applications. Thin Solid Films 2009, 518, 1245–1249. [Google Scholar] [CrossRef]
- Iannaccone, G.; Välimäki, M.; Jansson, E.; Sunnari, A.; Corso, G.; Bernardi, A.; Levi, M.; Turri, S.; Hast, J.; Griffini, G. Roll-to-roll compatible flexible polymer solar cells incorporating a water-based solution-processable silver back electrode with low annealing temperature. Sol. Energy Mater. Sol. Cells 2015, 143, 227–235. [Google Scholar] [CrossRef]
- Larsen-Olsen, T.T.; Andersen, T.R.; Andreasen, B.; Böttiger, A.P.L.; Bundgaard, E.; Norrman, K.; Andreasen, J.W.; Jørgensen, M.; Krebs, F.C. Roll-to-roll processed polymer tandem solar cells partially processed from water. Sol. Energy Mater. Sol. Cells 2012, 97, 43–49. [Google Scholar] [CrossRef]
- Scharber, M.C.; Sariciftci, N.S. Efficiency of bulk-heterojunction organic solar cells. Prog. Polym. Sci. 2013, 38, 1929–1940. [Google Scholar] [CrossRef] [PubMed]
- Liu, F.; Gu, Y.; Shen, X.; Ferdous, S.; Wang, H.W.; Russell, T.P. Characterization of the morphology of solution-processed bulk heterojunction organic photovoltaics. Prog. Polym. Sci. 2013, 38, 1990–2052. [Google Scholar] [CrossRef]
- Rossander, L.H.; Zawacka, N.K.; Dam, H.F.; Krebs, F.C.; Andreasen, J.W. In situ monitoring of structure formation in the active layer of polymer solar cells during roll-to-roll coating. AIP Adv. 2014, 4, 87105-1–87105-8. [Google Scholar] [CrossRef]
- Krebs, F.C.; Tromholt, T.; Jørgensen, M. Upscaling of polymer solar cell fabrication using full roll-to-roll processing. Nanoscale 2010, 2, 873–886. [Google Scholar] [CrossRef] [PubMed]
- Kumar, P.; Chand, S. Recent progress and future aspects of organic solar cells. Prog. Photovolt Res. Appl. 2011. [Google Scholar] [CrossRef]
- Haldar, A.; Liao, K.S.; Curran, S. a. Fabrication of inkjet printed organic photovoltaics on flexible Ag electrode with additives. Sol. Energy Mater. Sol. Cells 2014, 125, 283–290. [Google Scholar] [CrossRef]
- Cao, W.; Li, J.; Chen, H.; Xue, J. Transparent electrodes for organic optoelectronic devices: A review. J. Photonics Energy 2014, 4, 40990. [Google Scholar] [CrossRef]
- Shi, H.; Liu, C.; Jiang, Q.; Xu, J. Effective Approaches to Improve the Electrical Conductivity of PEDOT:PSS: A Review. Adv. Electron. Mater. 2015, 1, 1–16. [Google Scholar] [CrossRef]
- Singh, R.; Tharion, J.; Murugan, S.; Kumar, A. ITO-Free Solution-Processed Flexible Electrochromic Devices Based on PEDOT:PSS as Transparent Conducting Electrode. ACS Appl. Mater. Interfaces 2017, 9, 19427–19435. [Google Scholar] [CrossRef] [PubMed]
- Nardes, A.M.; Kemerink, M.; Janssen, R.A.J.; Bastiaansen, J.A.M.; Kiggen, N.M.M.; Langeveld, B.M.W.; van Breemen, A.J.J.M.; de Kok, M.M. Microscopic Understanding of the Anisotropic Conductivity of PEDOT:PSS Thin Films. Adv. Mater. 2007, 19, 1196–1200. [Google Scholar] [CrossRef]
- Chang, S.H.; Lin, K.F.; Chiu, K.Y.; Tsai, C.L.; Cheng, H.M.; Yeh, S.C.; Wu, W.T.; Chen, W.N.; Chen, C.T.; Chen, S.H.; et al. Improving the efficiency of CH3NH3PbI3 based photovoltaics by tuning the work function of the PEDOT: PSS hole transport layer. Sol. Energy 2015, 122, 892–899. [Google Scholar] [CrossRef]
- Wang, G.; Na, S.-I.; Kim, T.-W.; Kim, Y.; Park, S.; Lee, T. Effect of PEDOT:PSS–molecule interface on the charge transport characteristics of the large-area molecular electronic junctions. Org. Electron. 2012, 13, 771–777. [Google Scholar] [CrossRef]
- Andò, B.; Baglio, S.; Di Pasquale, G.; Pollicino, A.; D’Agata, S.; Gugliuzzo, C.; Lombardo, C.; Re, G. An inkjet printed CO2 gas sensor. Procedia Eng. 2015, 120, 628–631. [Google Scholar] [CrossRef]
- Chang, S.H.; Chiang, C.H.; Kao, F.S.; Tien, C.L.; Wu, C.G. Unraveling the Enhanced Electrical Conductivity of PEDOT:PSS Thin Films for ITO-Free Organic Photovoltaics. IEEE Photonics J. 2014, 6. [Google Scholar] [CrossRef]
- Petsagkourakis, I.; Pavlopoulou, E.; Portale, G.; Kuropatwa, B.A.; Dilhaire, S.; Fleury, G.; Hadziioannou, G. Structurally-driven Enhancement of Thermoelectric Properties within Poly(3,4-ethylenedioxythiophene) thin Films. Nat. Publ. Gr. 2016, 1–8. [Google Scholar] [CrossRef] [PubMed]
- Krebs, F.C. Polymer solar cell modules prepared using roll-to-roll methods: Knife-over-edge coating, slot-die coating and screen printing. Sol. Energy Mater. Sol. Cells 2009, 93, 465–475. [Google Scholar] [CrossRef]
- Kapnopoulos, C.; Mekeridis, E.D.; Tzounis, L.; Polyzoidis, C.; Tsimikli, S.; Gravalidis, C.; Zachariadis, A.; Laskarakis, A.; Logothetidis, S. Gravure Printed Organic Photovoltaic Modules Onto Flexible Substrates Consisting of a P3HT:PCBM Photoactive Blend. Mater. Today Proc. 2016, 3, 746–757. [Google Scholar] [CrossRef]
- Koidis, C.; Logothetidis, S.; Ioakeimidis, A.; Laskarakis, A.; Kapnopoulos, C. Key factors to improve the efficiency of roll-to-roll printed organic photovoltaics. Org. Electron. 2013, 14, 1744–1748. [Google Scholar] [CrossRef]
- Mauger, S.A.; Chang, L.; Rochester, C.W.; Moulé, A.J. Directional dependence of electron blocking in PEDOT:PSS. Org. Electron. 2012, 13, 2747–2756. [Google Scholar] [CrossRef]
- Po, R.; Carbonera, C.; Bernardi, A.; Camaioni, N. The role of buffer layers in polymer solar cells. Energy Environ. Sci. 2011, 4, 285. [Google Scholar] [CrossRef]
- Gasiorowski, J.; Menon, R.; Hingerl, K.; Dachev, M.; Sariciftci, N.S. Surface morphology, optical properties and conductivity changes of poly(3,4-ethylenedioxythiophene):poly(styrenesulfonate) by using additives. Thin Solid Films 2013, 536, 211–215. [Google Scholar] [CrossRef] [PubMed]
- Sun, K.; Zhang, S.; Li, P.; Xia, Y.; Zhang, X.; Du, D.; Isikgor, F.H.; Ouyang, J. Review on application of PEDOTs and PEDOT:PSS in energy conversion and storage devices. J. Mater. Sci. Mater. Electron. 2015, 26, 4438–4462. [Google Scholar] [CrossRef]
- Lang, U.; Muller, E.; Naujoks, N.; Dual, J. Microscopical investigations of PEDOT:PSS thin films. Adv. Funct. Mater. 2009, 19, 1215–1220. [Google Scholar] [CrossRef]
- Hegde, R.; Henry, N.; Whittle, B.; Zang, H.; Hu, B.; Chen, J.; Xiao, K.; Dadmun, M. The impact of controlled solvent exposure on the morphology, structure and function of bulk heterojunction solar cells. Sol. Energy Mater. Sol. Cells 2012, 107, 112–124. [Google Scholar] [CrossRef]
- Irene, G.E.; Tompkins, H.G. Handbook of Ellipsometry; Irene, G.E., Tompkins, H.G., Eds.; William Andrew Publishing: Norwich, NY, USA, 2005. [Google Scholar]
- Azzam, R.M.A.; Bashara, N.M. Ellipsometry and Polarized Light; North Holland: Amsterdam, The Netherlands, 1977. [Google Scholar]
- Laskarakis, A.; Karagiannidis, P.G.; Georgiou, D.; Nikolaidou, D.M.; Logothetidis, S. Optical investigations of the effect of solvent and thermal annealing on the optoelectronic properties of Poly(3,4-ethylenedioxythiophene):poly(styrenesulfonate) films. Thin Solid Films 2013, 541. [Google Scholar] [CrossRef]
- Pettersson, L.A. A.; Ghosh, S.; Inganas, O. Optical anisotropy in thin films of poly(3,4-ethylenedioxythiophene)–poly(4-styrenesulfonate). Org. Electron. 2002, 3, 143–148. [Google Scholar] [CrossRef]
- Nardes, A.M.; Kemerink, M.; Janssen, R.A. J. Anisotropic hopping conduction in spin-coated PEDOT:PSS thin films. Phys. Rev. B 2007, 85208-1–85208-7. [Google Scholar] [CrossRef]
- Yamashita, M.; Otani, C.; Shimizu, M.; Okuzaki, H. Effect of solvent on carrier transport in poly(3,4-ethylenedioxythiophene)/poly(4-styrenesulfonate) studied by terahertz and infrared-ultraviolet spectroscopy. Appl. Phys. Lett. 2011, 99, 2009–2012. [Google Scholar] [CrossRef]
- Yan, H.; Okuzaki, H. Effect of solvent on PEDOT/PSS nanometer-scaled thin films: XPS and STEM/AFM studies. Synth. Met. 2009, 159, 2225–2228. [Google Scholar] [CrossRef]
- Rutledge, S.A.; Helmy, A.S. Carrier Mobility Enhancement in Poly(3,4-ethylenedioxythiophene)-poly(styrenesulfonate) Having Undergone Rapid Thermal Annealing. J. Appl. Phys. 2013, 114, 133708. [Google Scholar] [CrossRef]
- Savva, A.; Georgiou, E.; Papazoglou, G.; Chrusou, A.Z.; Kapnisis, K.; Choulis, S.A. Photovoltaic analysis of the effects of PEDOT:PSS-additives hole selective contacts on the efficiency and lifetime performance of inverted organic solar cells. Sol. Energy Mater. Sol. Cells 2015, 132, 507–514. [Google Scholar] [CrossRef]
- Yamashita, M.; Otani, C.; Okuzaki, H.; Shimizu, M.; Otani, C.; Okuzaki, H.; Shimizu, M. Nondestructive Measurement of Carrier Mobility in Conductive Polymer PEDOT : PSS using Terahertz and Infrared Spectroscopy. ΙΕΕΕ 2011, 1, 3–6. [Google Scholar] [CrossRef]
- Winder, C.; Sariciftci, N.S. Low bandgap polymers for photon harvesting in bulk heterojunction solar cells. J. Mater. Chem. 2004, 14, 1077–1086. [Google Scholar] [CrossRef]
- Sakamoto, S.; Okumura, M.; Zhao, Z.; Furukawa, Y. Raman spectral changes of PEDOT–PSS in polymer light-emitting diodes upon operation. Chem. Phys. Lett. 2005, 412, 395–398. [Google Scholar] [CrossRef]
- Subramani, T.; Syu, H.J.; Liu, C.T.; Hsueh, C.C.; Yang, S.T.; Lin, C.F. Low-Pressure-Assisted Coating Method to Improve Interface between PEDOT:PSS and Silicon Nanotips for High-Efficiency Organic/Inorganic Hybrid Solar Cells via Solution Process. ACS Appl. Mater. Interfaces 2016, 8, 2406–2415. [Google Scholar] [CrossRef] [PubMed]
- Li, W.; Guo, H.; Wang, Z.; Dong, G. Narrowband Organic Photodiodes Based on Green Light Sensitive Squarylium. J. Phys. Chem. C 2017, 121, 15333–15338. [Google Scholar] [CrossRef]
- Laskarakis, A.; Logothetidis, S.; Gioti, M. Bonding structure of carbon nitride films by infrared ellipsometry. Phys. Rev. B 2001, 64, 1–15. [Google Scholar] [CrossRef]
- Laskarakis, A.; Gravalidis, C.; Logothetidis, S. FTIR and Vis–FUV real time spectroscopic ellipsometry studies of polymer surface modifications during ion beam bombardment. Nucl. Instrum. Methods Phys. Res. Sect. B Beam Interact. Mater. Atoms 2004, 216, 131–136. [Google Scholar] [CrossRef]
- Laskarakis, A.; Logothetidis, S.; Kassavetis, S. Optical investigations of the effect of temperature and plasma conditions on the growth of sp3 -bonded BN thin films. Surf. Coat. Technol. 2006, 200, 6449–6453. [Google Scholar] [CrossRef]
- Herrmann, F.; Engmann, S.; Presselt, M.; Hoppe, H.; Shokhovets, S.; Gobsch, G. Correlation between near infrared-visible absorption, intrinsic local and global sheet resistance of poly(3,4-ethylenedioxy-thiophene) poly(styrene sulfonate) thin films. Appl. Phys. Lett. 2012, 100, 153301. [Google Scholar] [CrossRef]
- Humlicek, J.; Nebojsa, A.; Hora, J.; Stransky, M.; Spousta, J.; Sikola, T. Ellipsometry and transport studies of thin-film metal nitrides. Thin Solid Films 1998, 332, 25–29. [Google Scholar] [CrossRef]
- Chibowski, E.; Perea-Carpio, R. Problems of contact angle and solid surface free energy determination. Adv. Colloid Interface Sci. 2002, 98, 245. [Google Scholar] [CrossRef]






© 2017 by the authors. Licensee MDPI, Basel, Switzerland. This article is an open access article distributed under the terms and conditions of the Creative Commons Attribution (CC BY) license (http://creativecommons.org/licenses/by/4.0/).
Share and Cite
Laskarakis, A.; Karagkiozaki, V.; Georgiou, D.; Gravalidis, C.; Logothetidis, S. Insights on the Optical Properties of Poly(3,4-Ethylenedioxythiophene):Poly(styrenesulfonate) Formulations by Optical Metrology. Materials 2017, 10, 959. https://doi.org/10.3390/ma10080959
Laskarakis A, Karagkiozaki V, Georgiou D, Gravalidis C, Logothetidis S. Insights on the Optical Properties of Poly(3,4-Ethylenedioxythiophene):Poly(styrenesulfonate) Formulations by Optical Metrology. Materials. 2017; 10(8):959. https://doi.org/10.3390/ma10080959
Chicago/Turabian StyleLaskarakis, Argiris, Varvara Karagkiozaki, Despoina Georgiou, Christoforos Gravalidis, and Stergios Logothetidis. 2017. "Insights on the Optical Properties of Poly(3,4-Ethylenedioxythiophene):Poly(styrenesulfonate) Formulations by Optical Metrology" Materials 10, no. 8: 959. https://doi.org/10.3390/ma10080959
APA StyleLaskarakis, A., Karagkiozaki, V., Georgiou, D., Gravalidis, C., & Logothetidis, S. (2017). Insights on the Optical Properties of Poly(3,4-Ethylenedioxythiophene):Poly(styrenesulfonate) Formulations by Optical Metrology. Materials, 10(8), 959. https://doi.org/10.3390/ma10080959
