Abstract
Porous carbon materials are advantageous in adsorbing pollutants due to their wide range of specific surface areas, pore diameter, and pore volume. Among the porous carbon materials in the current study, expanded graphite, xGnP, xGnP C-300, xGnP C-500, and xGnP C-750 were prepared as adsorbent materials. Brunauer–Emmett–Teller (BET) analysis was conducted to select the adsorbent material through the analysis of the specific surface area, pore size, and pore volume of the prepared porous carbon materials. Morphological analysis using SEM was also performed. The xGnP C-500 as adsorbent material was applied to a mortar adhesive that is widely used in the installation of interior building materials. The toluene adsorption performances of the specimens were evaluated using 20 L small chamber. Furthermore, the performance of the mortar adhesive, as indicated by the shear bond strength, length change rate, and water retention rate, was analyzed according to the required test method specified in the Korean standards. It was confirmed that for the mortar adhesives prepared using the xGnP C-500 as adsorbent material, the toluene adsorption performance was excellent and satisfied the required physical properties.
1. Introduction
In recent years, the need for improvement in the quality of residential environments has been increasing. In particular, the need for comfortable indoor air quality is increasing. Today, people spend 70 percent of their time indoors [1]. Therefore, their health can be directly linked to indoor air quality. Several types of indoor air pollutants have been detected in indoor environments. Formaldehyde and volatile organic compounds (VOCs) are typical pollutants. They are used as the main ingredients of paint solutions, silicon sealant, rubber, and various adhesives. In particular, VOCs are released from various building materials such as interior finishing materials, paints, and adhesives, and are then discharged into the indoor air. Therefore, it is important to use low-emission materials or to remove the pollutants through adsorption because they have a negative impact on the health of the human body [2,3]. Among the VOCs, toluene causes air pollution and damages human health, and can lead to severe neurological harm [4]. For this reason, research has been undertaken on methods to remove pollutants using adsorbents. The use of adsorbent is the basis of all adsorption techniques. Some porous materials such as graphene, activated carbon, and nanoporous carbon have been reported for VOC removal [5,6,7,8,9]. Also, porous materials that contain nanoscale porous material have been widely used to eliminate VOCs through their excellent adsorption capacities [10,11]. Furthermore, porous materials are advantageous in adsorption due to their high specific surface area and porosity [12,13]. The porosity and specific surface area of a material are critical factors in determining their adsorption performance for pollutants [14]. Surface area, pore volume, and pore size are the most important properties of porous materials, since these characteristics determine their adsorption performance. Brunauer–Emmett–Teller (BET) analysis, which is typically used to analyze these porous characteristics [15], is commonly based on nitrogen or argon adsorption isotherms at the boiling points of nitrogen and argon of 77 K and 87.15 K, respectively. However, CO2 may be used when measurement using nitrogen and argon isotherms is not possible [16]. Adhesive mortar is widely used to install interior finishing materials such as ceramic tiles and other decorative materials or polystyrene sheets [17,18]. The pollutants emitted from an adhesive mortar can directly affect indoor air quality. Since indoor air quality has become increasingly more important, the Korean government implemented the Construction Standard of Healthy-Friendly House in 2014. Appendix 6 of the Construction Standard of Healthy-Friendly House specifies the adsorption performance requirements for toluene and formaldehyde of building materials. The requirements are based on the adsorption rate and the total mass per area of sorption using the 20 L small chamber method, according to ISO 16000-23 and ISO 16000-24 [19,20]. For toluene adsorption performance, an adsorption rate of over 65% is required, and the total mass per area of sorption must be higher than 28,000 μg/m2.
In the preceding research, the adsorption performance of the raw material was mainly evaluated. However, in order to realize actual performance in residential space, it is necessary to study the case applied to building materials. In this study, the selection of the adsorbent materials was based on the porosity and specific surface area analysis of carbon materials using the Brunauer–Emmett–Teller (BET) equation. The adsorption material for the adhesive mortar was analyzed according to the toluene adsorption performance using a 20 L small chamber. The physical properties were tested according to the Korean Standard, KS L 1592 method [21]. The shear bond strength, length change rate, and water retention rate were analyzed for actual usability. Figure 1 shows a flow diagram of the entire experiment.
Figure 1.
Flow diagram of the entire experiment.
2. Experimental
2.1. Materials
Among the porous carbon materials, including expandable graphite (EG), exfoliated graphite nanoplatelets (xGnP), and C-grade xGnPs (xGnP C-300, xGnP C-500, and xGnP C-750), a total of five porous carbon materials were prepared for use as adsorbents. The EG and xGnP were arranged from sulfuric acid-intercalated expandable graphite (3772) obtained from Asbury Graphite Mills, Inc. (Asbury, NJ, USA) by applying the cost and time-effective exfoliation process initially proposed by Drzal’s group [22]. The C-grade xGnPs have different surface areas, ranging from about 300 m2/g to 750 m2/g. All of the C-grade xGnP materials have a small flake morphology, with particle sizes that are larger in the lower surface area materials and smaller in the higher surface area materials. The C-grade xGnPs were obtained from XG Science, Inc. (Grand Oak Drive, Lansing, MI, USA). Mortar adhesive was sourced to assess the performance of the toluene adsorption when applying the adhesive to a porous carbon material. The mortar adhesive (PA-7000) was obtained from SSANGKOM Corporation (Jung-gu, Seoul, Korea).
2.2. Test Method
2.2.1. Porosity and Morphology Analysis for Adsorbent Material
All porous carbon materials were analyzed by BET (TriStar 3000, Micromeritics Instrument Corp., Communications Drive, Norcross, GA, USA) using an auto nitrogen adsorption instrument. In addition, to determine their porosity, the porous carbon materials were observed by scanning electron microscopy (JSM-6360A, JEOL, Dearborn Road, Peabody, MA, USA) at room temperature for morphological analysis. An SEM with an accelerating voltage of 12 kV and working distance of 12 mm was used to capture the SEM images. The samples were coated with a gold coating of a few nanometers thickness [23].
2.2.2. Evaluation of Toluene Adsorption Performance Using a 20 L Small Chamber
After selecting the xGnP C-500 as adsorbent material through BET and SEM analysis, a common mortar adhesive widely used in interior building materials was added to the adsorbent material. Table 1 shows the mixing ratio of the xGnP C-500 as adsorbent material and mortar adhesive. The reference mortar adhesive without xGnP C-500 (MA/Ref.) and mortar adhesive with xGnP C-500 3 wt % (MA/x3) were dried for 48 h at 25 °C and 50% relative humidity. The toluene adsorption performance of the specimen was tested using a 20 L small chamber. The 20 L small chamber was developed in Japan to determine the emission levels of formaldehyde and VOCs from construction materials and paints, of which the performance [24] complies with the ASTM (D5116-97 and D6007-96) [25,26] and ECA (Nos. 2, 8, 13, and 16) [27,28,29,30]. The 20 L small chamber test was carried out according to ISO 16000-23 and ISO 16000-24 [19,20]. ISO 16000-23 and 24 specifies a general laboratory test method for evaluating the reduction in concentration of formaldehyde or volatile organic compounds (VOCs) by sorptive building materials. The sorption of pollutants can be brought about by adsorption, absorption, and chemisorption. The performance of the material, with respect to its ability to reduce the concentration of formaldehyde or VOCs in indoor air, is evaluated by measuring sorption flux and saturation mass per area.
Table 1.
Mixing ratios of specimens.
2.2.3. Evaluation of Physical Properties of Adsorption Mortar Adhesive
The adhesive strength of mortar adhesive should be suitable for maintaining a constant strength when applying the adsorption material. Therefore, the physical properties of the mortar adhesive were analyzed both independently of the adsorbent material and when added to the adsorbent material. Table 1 shows the mixing ratio of the xGnP C-500 as adsorbent material and mortar adhesive for measuring the physical properties. Table 2 shows the composition of the ingredients of the mortar adhesive. The shear bond strength, length change rate, and water retention rate were measured. The test was performed according to the Korean Standard, KS L 1592 method [19].
Table 2.
Composition of ingredients of mortar adhesive.
3. Results and Discussion
3.1. Porosity and Morphology Analysis of Porous Carbon Material for Adsorbent Material
The specific surface area, pore diameter, and pore volume of the porous carbon materials were analyzed by BET analysis. The porous carbon materials were characterized by N2 adsorption at 77 K using a Micromeritics model TriStar 3000 analyzer and were outgassed for 24 h at 573 K to remove any moisture or adsorbed contaminants present on their surface. Figure 2a,b shows the selected adsorption and desorption isotherms of N2 at 77 K for porous carbon materials, respectively. The xGnP and EG were determined to have low adsorption amounts compared with the other porous materials. The xGnP C-300 grade, xGnP C-500 grade, and xGnP C-750 grade materials tended to increase gradually according to the grade. The xGnP C-750 showed the highest level of adsorption and indicated a constant amount of adsorption during the pressure change. Figure 3a,b shows the pore size distribution and pore volume of each porous carbon material. The porous carbon materials have a narrow pore size distribution. The pore sizes were mainly distributed below 10 nm, indicating that the porous carbon materials have a mesoporous pore diameter. The pore volume can be calculated from Equation (1). Figure 3b shows the calculated pore volume. xGnP C-750 has the largest pore volume and xGnP has the lowest.
Figure 2.
Adsorption–desorption isotherms of N2 at 77 K: (a) adsorption and (b) desorption.
Figure 3.
Pore diameter isotherms of porous carbon materials: (a) pore size distribution and (b) pore volume.
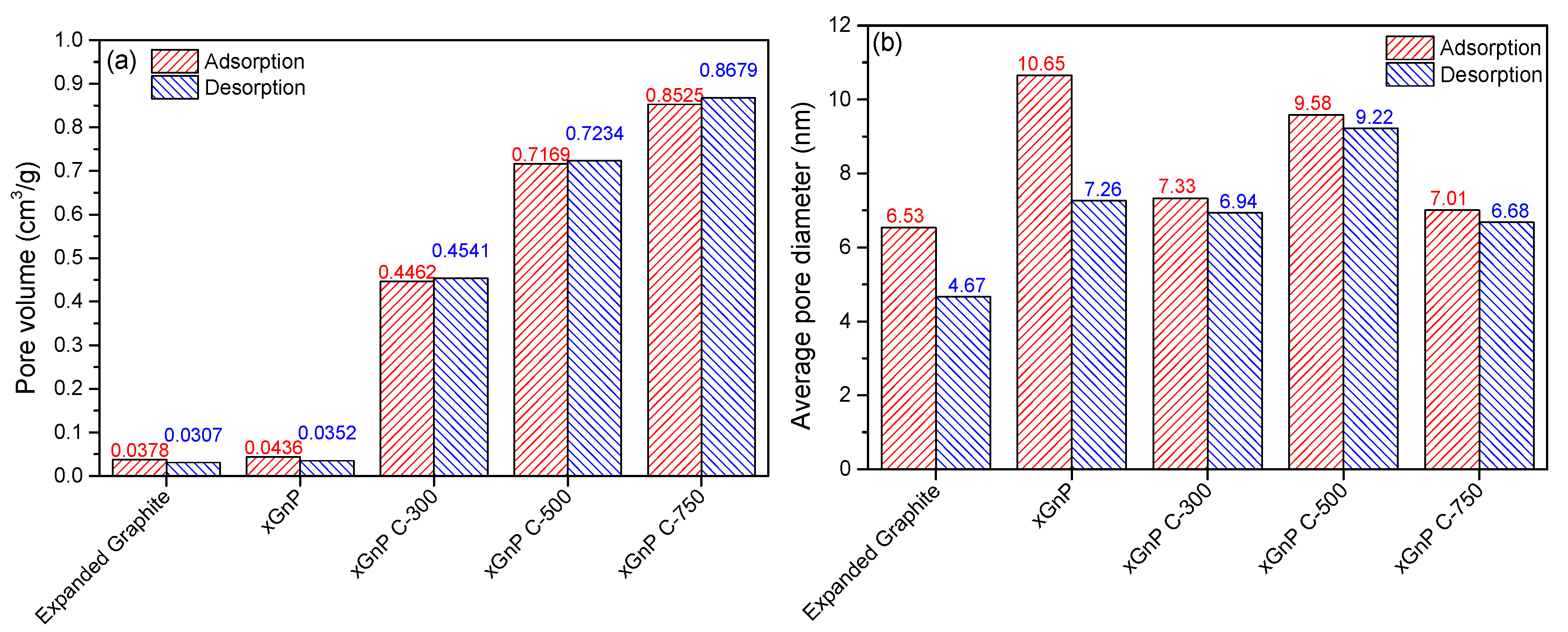
Figure 4 shows the BET surface area of each porous carbon material. The xGnP C-750 had the widest specific surface area of 591.67 m2/g, while the xGnP had the narrowest specific surface area of 15.63 m2/g. The EG, xGnP C-300 grade, xGnP C-500 grade, and xGnP C-750 grade materials had specific surface areas of 19.81, 285.20, 450.38, and 591.67 m2/g, respectively. Therefore, the xGnP C-grade carbon materials had excellent specific surface areas. Figure 5a,b shows the pore volume and average pore diameter, respectively, in the adsorption and desorption of porous carbon materials. The pore volumes of the xGnP C-500 grade and xGnP C-750 grade carbon materials were 0.7169 and 0.8525 cm3/g in adsorption and 0.7234 and 0.8679 cm3/g in desorption, respectively. The average pore diameter of xGnP C-500 was 9.58 nm in adsorption and 9.22 nm in desorption. From these measurement results, the average pore size of xGnP C-500 grade was approximately 137.3% that of xGnP C-750. However, the pore volume of xGnP C-500 grade was approximately 83.7% that of xGnP C-750. From the BET analysis, the xGnP C-500 grade had excellent pore diameter, pore volume, and specific surface area. Therefore, xGnP C-500 was selected as the adsorbent material.
Figure 4.
BET surface area of each porous carbon material.
Figure 5.
Adsorption and desorption properties of porous carbon materials of N2 at 77K: (a) pore volume and (b) average pore diameter.
The morphology and microstructure of the carbon materials were analyzed by scanning electron microscopy (SEM, JEOL JSM-6360A). Figure 6 shows SEM images of all the porous carbon materials tested. xGnP C-300, xGnP C-500, and xGnP C-750 had a small microstructure, indicating the materials showed the same tendency as that for the specific surface area. The morphology analysis revealed that the porous carbon material having a large specific surface area has many mesoporous pores, as shown in the SEM image in Figure 6, and a good toluene adsorption performance is thus expected according to the microstructure of the porous carbon materials.
Figure 6.
SEM image of porous carbon materials: (a) EG; (b) xGnP; (c) xGnP C-300; (d) xGnP C-500; and (e) xGnP C-750.
3.2. Evaluation of Toluene Adsorption Performance Using 20 L Small Chamber
The toluene adsorption performance of the adsorbent material was tested using the 20 L small chamber method. Table 3 shows the test conditions. The mortar adhesive specimens were prepared to test the adsorption amount of toluene. Figure 7 shows the developed specimen. The test specimens prepared by varying the mixing ratio of xGnP C-500 grade were used to evaluate the adsorption performance of the adsorbent material. Figure 8 shows the adsorption rate of toluene. The adsorption rate is calculated using Equation (2) as follows.
where is the adsorption rate (%), is the supply air concentration with elapsed time (μg/m3), and is the exhaust air concentration with elapsed time (μg/m3). The difference between the supply air concentration and exhaust air concentration can determine the amount of toluene contaminant the specimen has adsorbed. The emission rate of MA/Ref. and MA/x3 were 5.936 and 26.137 μg/m2·h, respectively. The adsorption ratio of MA/Ref. after 1, 3, 5, and 7 days was 47.82, 41.89, 42.48, and 41.47%, respectively. However, the adsorption ratio of MA/x3 after 1, 3, 5, and 7 days was 68.79%, 56.67%, 47.68%, and 51.23%, respectively. As emission rate is high, the result of MA/x3 may be different from the trend of general adsorption ratio. The toluene adsorption rate increased by 28.7% on average after seven days, implying that the xGnP C-500 grade material improves the adsorption performance of the mortar adhesive.
Table 3.
Test conditions in the 20 L small chamber.
Figure 7.
Manufactured mortar adhesive specimen: (a) MA/Ref. and (b) MA/x3.
Figure 8.
Adsorption ratio of toluene.
Figure 9.
Total amount of adsorption toluene.
3.3. Evaluation of Physical Properties of Adsorption for Mortar Adhesive
An experiment was conducted in order to verify the fundamental physical properties of the mortar adhesive for the shear bond strength, the length change rate, and the water retention rate when mixed with the xGnP C-500 as adsorbent material. The measurements were carried out according to the Korean Standard, KS L 1592:2011 [21]. Table 4 shows the test results of the mortar adhesive. The shear strengths were measured three times: 7 days air dry curing, 28 days air dry curing, and 28 days air dry curing after freezing and thawing. The measured shear bond strengths without the adsorbent material, MA/Ref. were 1.86, 2.25, and 1.75 N/mm2 after 7 days air dry curing, 28 days air dry curing, and 28 days air dry curing, respectively, after freezing and thawing. The length change rate and water retention rate of MA/Ref. were 0.15% and 89%, respectively. However, the measured shear bond strengths of the mortar adhesive mixed with the adsorbent material, MA/x3 were 1.10, 1.23, and 0.72 N/mm2 after 7 days air dry curing, 28 days air dry curing, and 28 days air dry curing after freezing and thawing, respectively. The length change rate and water retention rate of MA/x3 were 0.11% and 93%, respectively. As a result, the shear bond strength of mortar adhesive decreased when the mortar adhesive was mixed with the adsorbent material. The required physical performance of KS L 1592 was satisfied, even though the adhesive strength had decreased.
Table 4.
Test results of mortar adhesive.
4. Conclusions
Porous carbon materials are widely used as adsorbent materials for adsorbing pollutants due to their excellent porosity and their wide range of specific surface areas, pore diameter, and pore volume. Therefore, the pore diameter, pore volume, and specific surface area were analyzed using BET to select the adsorbent material. Among the porous carbon materials tested, xGnP C-500 had better pore diameter, pore volume, and specific surface area as adsorbent material than other porous carbon materials. The porous properties of xGnP C-500 grade was 450.38 m2/g of BET surface area, 0.7169 cm3/g of pore volume in adsorption and 9.58 nm of average pore diameter, respectively. The selected xGnP C-500 as an adsorbent material was mixed with a commonly used mortar adhesive; mortar adhesive is widely used in the interior finishing of building materials, and is known to contain various pollutants. The toluene adsorption performance of the mortar adhesive when mixed with the adsorbent material, xGnP C-500, was evaluated using a 20 L small chamber test according to ISO 16000-23 and 24 [19,20]. It was confirmed that the toluene adsorption performance of the mortar adhesive mixed with xGnP C-500 improved by 28.7% of toluene adsorption rate after seven days on average and 22% of total amount of adsorption toluene, respectively. Therefore, it is possible to reduce the concentration of toluene released from finishing of building materials in the construction stage using xGnP C-500 grade as adsorbent. The physical properties of the prepared specimen using adsorbent material were also analyzed. The measurements were carried out according to the Korean Standard, KS L 1592:2011 [21]. The results of the required physical performance specified in KS L 1592:2011 [21] was satisfied of all tested items, even though the adhesive strength had decreased. Consequently, it was confirmed that the mortar adhesives prepared using the xGnP C-500 as adsorbent material improved the adsorption performance of toluene and satisfied the required physical properties. In further study, adsorption performance of various xGnP C grades for application of building materials will be studied.
Acknowledgments
This research was supported by a grant (17RERP-B082204-04) from Residential Environment Research Program funded by Ministry of Land, Infrastructure and Transport of Korean government. This work was supported by the Soongsil University Research Fund of 2014.
Author Contributions
Seunghwan Wi, Seong Jin Chang, Su-Gwang Jeong, and Jongki Lee designed and conducted the experiment. Sumin Kim, Taeyeon Kim, Kyung-Won Park, and Dong Ryeol Lee designed the project. All authors contributed to the analysis and conclusion.
Conflicts of Interest
The authors declare no conflict of interest.
References
- Jones, A.P. Indoor air quality and health. Atmos. Environ. 1999, 33, 4535–4564. [Google Scholar] [CrossRef]
- Kim, S.; Kim, H.; Moon, S. Evaluation of VOC emissions from building finishing materials using a small chamber and VOC analyser. Indoor Built Environ. 2006, 15, 511–523. [Google Scholar] [CrossRef]
- Kim, K.; Kim, S.; Kim, H.; Park, J.C. Formaldehyde and TVOC emission behaviors according to finishing treatment with surface materials using 20 L chamber and FLEC. J. Hazard. Mater. 2010, 177, 90–94. [Google Scholar] [CrossRef] [PubMed]
- Page, N.P.; Mehlman, M. Health effects of gasoline refueling vapors and measured exposures at service stations. Toxicol. Ind. Health 1989, 5, 869–890. [Google Scholar] [CrossRef] [PubMed]
- Shiue, A.; Kang, Y.; Hu, S.; Jou, G.; Lin, C.; Hu, M.; Lin, S. Vapor adsorption characteristics of toluene in an activated carbon adsorbent-loaded nonwoven fabric media for chemical filters applied to cleanrooms. Build. Environ. 2010, 45, 2123–2131. [Google Scholar] [CrossRef]
- Anbia, M.; Khataei, N.K. Ordered nanoporous carbon as an effective adsorbent in solid-phase microextraction of toluene and chlorinated toluenes in water samples. J. Saudi Chem. Soc. 2012, 20 (Suppl. 1), S38–S45. [Google Scholar] [CrossRef]
- Zhang, W.; Zhang, L.Y.; Zhao, X.J.; Zhou, Z. Citrus pectin derived porous carbons as a superior adsorbent toward removal of methylene blue. J. Solid State Chem. 2016, 243, 101–105. [Google Scholar] [CrossRef]
- Razali, M.; Kim, J.F.; Attfield, M.; Budd, P.M.; Drioli, E.; Lee, Y.M.; Szekely, G. Sustainable wastewater treatment and recycling in membrane manufacturing. Green Chem. 2015, 17, 5196–5205. [Google Scholar] [CrossRef]
- Fu, C.; Wang, Z.; Liu, J.; Jiang, H.; Li, G.; Zhi, C. Large scale fabrication of graphene for oil and organic solvent absorption. Prog. Nat. Sci. Mater. Int. 2016, 26, 319–323. [Google Scholar] [CrossRef]
- Seo, J.; Kato, S.; Ataka, Y.; Yang, J. Influence of environmental factors on performance of sorptive building materials. Indoor Built Environ. 2010, 19, 413–421. [Google Scholar] [CrossRef]
- Liu, C.; Tang, Z.; Chen, Y.; Su, S.; Jiang, W. Characterization of mesoporous activated carbons prepared by pyrolysis of sewage sludge with pyrolusite. Bioresour. Technol. 2010, 101, 1097–1101. [Google Scholar] [CrossRef] [PubMed]
- Huang, Q.; Vinh-Thang, H.; Malekian, A.; Eić, M.; Trong-On, D.; Kaliaguine, S. Adsorption of n-heptane, toluene and o-xylene on mesoporous UL-ZSM5 materials. Microporous Mesoporous Mater. 2006, 87, 224–234. [Google Scholar] [CrossRef]
- Ryu, Y.; Lee, H.; Yoo, H.; Lee, C. Adsorption equilibria of toluene and gasoline vapors on activated carbon. J. Chem. Eng. Data 2002, 47, 1222–1225. [Google Scholar] [CrossRef]
- Lee, W.; Park, J.; Sok, J.; Reucroft, P. Effects of pore structure and surface state on the adsorption properties of nano-porous carbon materials in low and high relative pressures. Appl. Surf. Sci. 2005, 246, 77–81. [Google Scholar] [CrossRef]
- Kim, K.C.; Yoon, T.; Bae, Y. Applicability of using CO2 adsorption isotherms to determine BET surface areas of microporous materials. Microporous Mesoporous Mater. 2016, 224, 294–301. [Google Scholar] [CrossRef]
- Chui, S.S.; Lo, S.M.; Charmant, J.P.; Orpen, A.G.; Williams, I.D. A chemically functionalizable nanoporous material. Science 1999, 283, 1148–1150. [Google Scholar] [CrossRef] [PubMed]
- Petit, J.; Comelli, B.; Perrin, R.; Wirquin, E. Effect of formulation parameters on adhesive properties of ANSI 118–15 and 118–11 compliant tile adhesive mortars. Int. J. Adhes. Adhes. 2016, 66, 73–80. [Google Scholar] [CrossRef]
- Petit, J.; Wirquin, E. Evaluation of various cellulose ethers performance in ceramic tile adhesive mortars. Int. J. Adhes. Adhes. 2013, 40, 202–209. [Google Scholar] [CrossRef]
- Indoor Air—Part 23: Performance Test for Evaluating the Reduction of Formaldehyde Concentrations by Sorptive Building Materials; ISO 16000-23; International Organization for Standardization: Vernier, Geneva, Switzerland, 2009.
- Indoor Air—Part 24: Performance Test for Evaluating the Reduction of Volatile Organic Compound (Except Formaldehyde) Concentrations by Sorptive Building Materials; ISO 16000-24; International Organization for Standardization: Vernier, Geneva, Switzerland, 2009.
- Cement for Ceramic Tiles; KS L 1592; Korean Agency for Technology and Standards: Eumseong-gun, Chungcheongbuk-do, Korea, 2011.
- Kim, S.; Drzal, L.T. High latent heat storage and high thermal conductive phase change materials using exfoliated graphite nanoplatelets. Sol. Energy Mater. Sol. Cells 2009, 93, 136–142. [Google Scholar] [CrossRef]
- Lee, J.; Kim, J.; Kim, S.; Kim, J.T. Thermal extractor analysis of VOCs emitted from building materials and evaluation of the reduction performance of exfoliated graphite nanoplatelets. Indoor Built Environ. 2013, 22, 68–76. [Google Scholar] [CrossRef]
- Lee, J.; Kim, S. The determination of the adsorption performance of graphite for VOCs and formaldehyde. Energy Build. 2012, 46, 56–61. [Google Scholar] [CrossRef]
- Standard Guide for Small-Scale Environmental Chamber Determinations of Organic Emissions from Indoor Materials/Products; ASTM D5116-97; ASTM International: West Conshohocken, PA, USA, 1997.
- Standard Test Method for Determining Formaldehyde Factors in Air from Wood Products Using a Small Scale Chamber; ASTM-D6007-96; ASTM International: West Conshohocken, PA, USA, 1996.
- Guideline for the Determination of Steady State Concentrations in Test Chambers; ECA-IAQ Report No. 2; Commission of the European Communities: Luxembourg, 1989.
- Guideline for the Characterization of Volatile Organic Compounds Emitted from Indoor Materials and Products Using Small Test Chambers; ECA-IAQ Report No. 8; Commission of the European Communities: Brussels, Belgium, 1991.
- Determination of VOCs Emitted from Indoor Materials and Products—Inter Laboratory Comparison of Small Chamber Measurements; ECA-IAQ Report No. 13; Commission of the European Communities: Brussels, Belgium, 1993.
- Determination of VOCs Emitted from Indoor Materials and Products—Second Inter Laboratory Comparison of Small Chamber Measurements; ECA-IAQ Report No. 16; Commission of the European Communities: Brussels, Belgium, 1995.
© 2017 by the authors. Licensee MDPI, Basel, Switzerland. This article is an open access article distributed under the terms and conditions of the Creative Commons Attribution (CC BY) license (http://creativecommons.org/licenses/by/4.0/).








