Processing Conditions, Thermal and Mechanical Responses of Stretchable Poly (Lactic Acid)/Poly (Butylene Succinate) Films
Abstract
:1. Introduction
2. Materials and Methods
2.1. Materials
2.2. Preparation of PLA and/or PBS Based Plasticized Films
2.2.1. Optimization of Plasticizer Contents in PLA or PBS Based Films
2.2.2. Processing and Optimization of Plasticized PLA–PBS Based Blends
2.3. Characterization Techniques
3. Results and Discussion
3.1. Thermal Properties
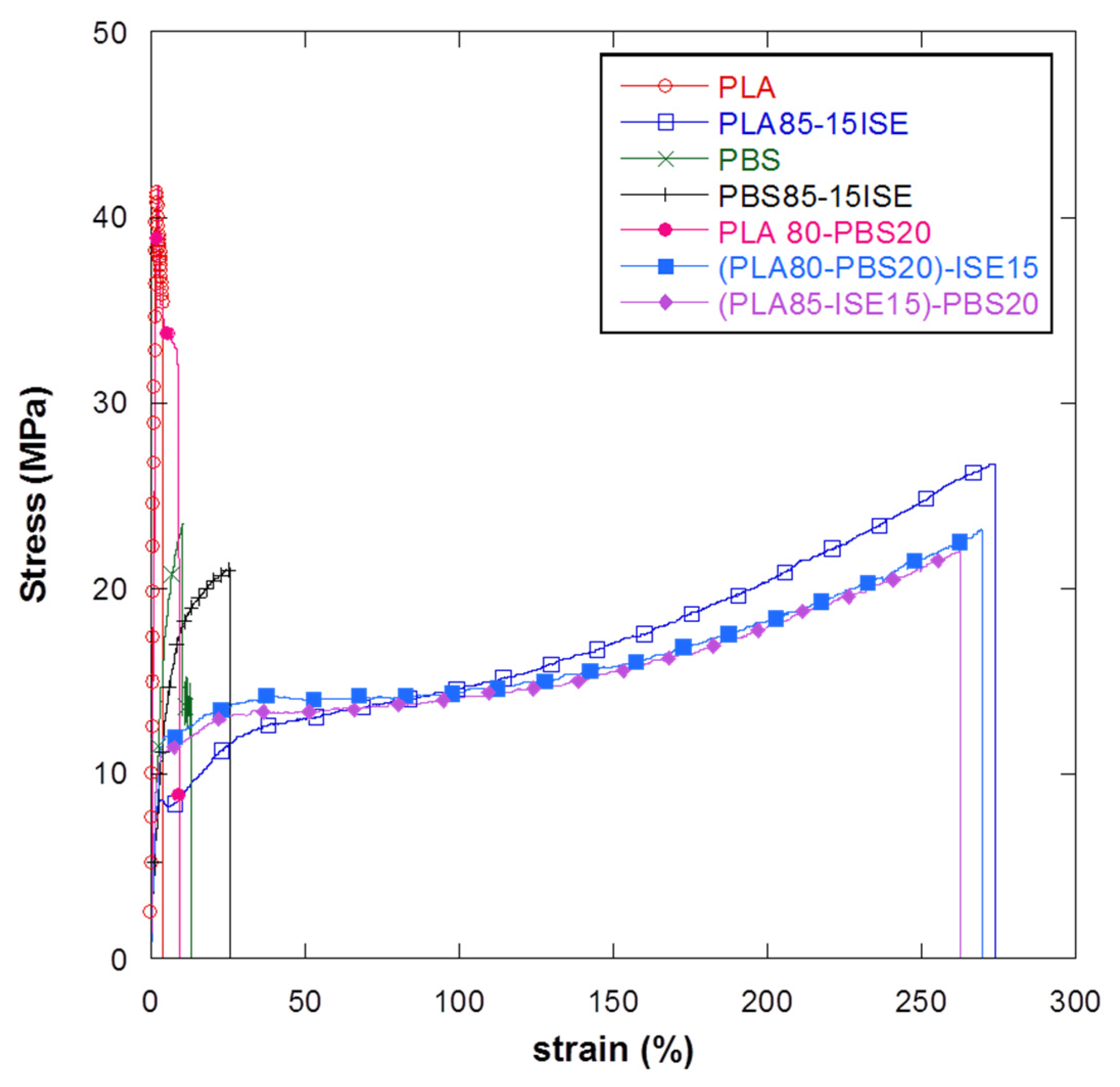
3.2. Mechanical Behaviour
3.3. Microstructure of Produced Films
3.4. Contact Angle Studies of PLA–PBS Based Films
4. Conclusions
Acknowledgments
Author Contributions
Conflicts of Interest
References
- Chen, G.-Q.; Patel, M.K. Plastics derived from biological sources: Present and future: A technical and environmental review. Chem. Rev. 2012, 112, 2082–2099. [Google Scholar] [CrossRef] [PubMed]
- Raquez, J.-M.; Habibi, Y.; Murariu, M.; Dubois, P. Polylactide (PLA)-based nanocomposites. Prog. Polym. Sci. 2013, 38, 1504–1542. [Google Scholar] [CrossRef]
- Ray, S.S.; Bousmina, M.; Okamoto, K. Structure and properties of nanocomposites based on Poly (butylene succinate-co-adipate) and organically modified montmorillonite. Macromol. Mater. Eng. 2005, 290, 759–768. [Google Scholar] [CrossRef]
- Qi, F.; Hanna, M.A. Rheological properties of amorphous and semicrystalline polylactic acid polymers. Ind. Crops Prod. 1999, 10, 47–53. [Google Scholar] [CrossRef]
- Ogata, N.; Jimenez, G.; Kawai, H.; Ogihara, T.J. Structure and thermal/mechanical properties of poly (l-lactide)-clay blend. J. Polym. Sci. Part B: Polym. Phys. 1997, 35, 389–396. [Google Scholar] [CrossRef]
- Bahari, K.; Mitomo, H.; Enjoji, T.; Yoshii, F.; Makuuchi, K. Radiation crosslinked poly (butylene succinate) foam and its biodegradation. Polym. Degrad. Stab. 1998, 62, 551–557. [Google Scholar] [CrossRef]
- Doi, Y.; Kasuya, K.; Abe, H.; Koyama, N.; Ishiwatari, S.; Takagi, K. Evaluation of biodegradabilities of biosynthetic and chemosynthetic polyesters in river water. Polym. Degrad. Stab. 1996, 51, 281–286. [Google Scholar] [CrossRef]
- Bhatia, A.; Gupta, R.K.; Bhattacharya, S.N.; Choi, H.J. Compatibility of biodegradable poly (lactic acid) (PLA) and poly (butylene succinate) (PBS) blends for packaging application. Korea-Aust. Rheol. J. 2007, 19, 125–131. [Google Scholar]
- Liu, X.; Dever, M.; Fair, N.; Benson, R.S. Thermal and mechanical properties of poly (lactic acid) and poly (ethylene/butylene succinate) blends. J. Polym. Environ. 1998, 5, 225–235. [Google Scholar] [CrossRef]
- Yokohara, T.; Yamaguchi, M. Structure and properties for biomass-based polyester blends of PLA and PBS. Eur. Polym. J. 2008, 44, 677–685. [Google Scholar] [CrossRef]
- Sung, B.P.; Sung, Y.H.; Cheol, W.M.; Seung, S.I.; Eui, S.Y. Plasticizer effect of novel PBS ionomer in PLA/PBS ionomer blends. Macromol. Res. 2010, 18, 463–471. [Google Scholar] [CrossRef]
- Zhou, J.; Wang, X.W.; Hua, K.; Duan, C.E.; Zhang, W.; Ji, J.H.; Yang, X.B. Enhanced mechanical properties and degradability of poly (butylene succinate) and poly(lactic acid) blends. Iran. Polym. J. 2013, 22, 267–275. [Google Scholar] [CrossRef]
- Nijenhuis, A.J.; Grijpma, D.W.; Pennings, A.J. Crosslinked poly (L-lactide) and poly (ε-caprolactone). Polymer 1996, 37, 2783–2791. [Google Scholar] [CrossRef]
- Wang, Y.; Qin, Y.Y.; Zhang, Y.J.; Yuan, M.W.; Li, H.L.; Yuan, M.L. Effects of N-octyl lactate as plasticizer on the thermal and functional properties of extruded PLA-based films. Int. J. Biol. Macromol. 2014, 67, 58–63. [Google Scholar] [CrossRef] [PubMed]
- Burgos, N.; Tolaguera, D.; Fiori, S.; Jimenez, A. Synthesis and characterization of lactic acid oligomers: Evaluation of performance as poly (lactic acid) plasticizers. J. Polym. Environ. 2014, 67, 227–235. [Google Scholar] [CrossRef]
- Beach, E.S.; Weeks, B.R.; Stern, R.; Anastas, P.T. Plastics additives and green chemistry. Pure Appl. Chem. 2013, 85, 1611–1624. [Google Scholar] [CrossRef]
- Battegazzore, D.; Bocchini, S.; Nicola, G.; Martini, E.; Frache, A. Isosorbide, a green plasticizer for thermoplastic starch that does not retrogradate. Carbohydr. Polym. 2015, 119, 78–84. [Google Scholar] [CrossRef] [PubMed]
- González, K.; Martin, L.; González, A.; Retegi, A.; Eceiza, A.; Gabilondo, N. D-isosorbide and 1,3-propanediol as plasticizers for starch-based films: Characterization and aging study. J. Appl. Polym. Sci. 2017, 134, 44793. [Google Scholar] [CrossRef]
- Yin, B.; Hakkarainen, M. Oligomeric isosorbide esters as alternative renewable resource plasticizers for PVC. J. Appl. Polym. Sci. 2011, 119, 2400–2407. [Google Scholar] [CrossRef]
- Yang, Y.; Huang, J.; Zhang, R.; Zhu, J. Designing bio-based plasticizers: Effect of alkyl chain length on plasticization properties of isosorbide diesters in PVC blends. Mater. Des. 2017, 126, 29–36. [Google Scholar] [CrossRef]
- Wang, Q.; Wu, W.; Tang, Y.; Bian, J.; Zhu, S. Thermal degradation kinetics of plasticized poly (vinyl chloride) with six different plasticizers. J. Macromol. Sci. Part B Phys. 2017, 56, 420–434. [Google Scholar] [CrossRef]
- Kamthai, S.; Magaraphan, R. Thermal and mechanical properties of polylactic acid (PLA) and bagasse carboxymethyl cellulose (CMCB) composite by adding isosorbide diesters. AIP Conf. Proc. 2015, 1664, 060006. [Google Scholar] [CrossRef]
- Yang, Y.; Xiong, Z.; Zhang, L.; Tang, Z.; Zhang, R.; Zhu, J. Isosorbide dioctoate as a “green” plasticizer for poly (lactic acid). Mater. Des. 2016, 91, 262–268. [Google Scholar] [CrossRef]
- Srithep, Y.; Pholharn, D. Plasticizer effect on melt blending of polylactide stereocomplex. e-Polymers 2017. [Google Scholar] [CrossRef]
- Luzi, F.; Fortunati, E.; Jimenez, A.; Puglia, D.; Pezzolla, D.; Gigliotti, G.; Kenny, J.M.; Chiralt, A.; Torre, L. Production and characterization of PLA_PBS biodegradable blends reinforced with cellulose nanocrystals extracted from hemp fibres. Ind. Crops Prod. 2016, 93, 276–289. [Google Scholar] [CrossRef]
- Martin, O.; Avérous, L. Poly (lactic acid): Plasticization and properties of biodegradable multiphase systems. Polymer 2001, 42, 6209–6219. [Google Scholar] [CrossRef]
- Nikolic, M.S.; Djonlagic, J. Synthesis and characterization of biodegradable poly (butylene succinate-co-butylene adipate)s. Polym. Degrad. Stab. 2001, 74, 263–270. [Google Scholar] [CrossRef]
- EN ISO 527-2: 2012 Plastics-Determination of Tensile Properties—Part 2: Test Conditions for Moulding and Extrusion Plastics; ISO: Geneva, Switzerland, 2012.
- Arruda, L.C.; Magaton, M.; Bretas, R.E.S.; Ueki, M.M. Influence of chain extender on mechanical, thermal and morphological properties of blown films of PLA/PBAT blends. Polym. Test. 2015, 43, 27–37. [Google Scholar] [CrossRef]
- Ali, F.; Chang, Y.W.; Kang, S.C.; Yoon, J.Y. Thermal, mechanical and rheological properties of poly (lactic acid)/epoxidized soybean oil blends. Polym. Bull. 2009, 62, 91–98. [Google Scholar] [CrossRef]
- Zhang, H.L.; Fang, J.Y.; Ge, H.H.; Han, L.J.; Wang, X.M.; Hao, Y.P.; Han, C.Y.; Dong, L.S. Thermal, mechanical, and rheological properties of polylactide/poly (1,2-propylene glycol adipate). Polym. Eng. Sci. 2013, 53, 112–118. [Google Scholar] [CrossRef]
- Su, Z.; Li, Q.; Liu, Y.; Hu, G.-H.; Wu, C. Multiple melting behavior of poly (lactic acid) filled with modified carbon black. J. Polym. Sci. B: Polym. Phys. 2009, 47, 1971–1980. [Google Scholar] [CrossRef]
- Ren, Z.; Dong, L.; Yang, Y. Dynamic mechanical and thermal properties of plasticized poly (lactic acid). J. Appl. Polym. Sci. 2006, 101, 1583–1590. [Google Scholar] [CrossRef]
- Weast, R.C. CRC Handbook of Chemistry and Physics, 70th ed.; CRC Press: Boca Raton, FL, USA, 1989. [Google Scholar]
- Park, J.W.; Im, S.S. Morphological changes during heating in poly (L-lactic acid)/poly (butylene succinate) blend systems as studied by synchrotron X-ray scattering. J. Polym. Sci. Part B: Polym. Phys. 2002, 40, 1931–1939. [Google Scholar] [CrossRef]
- Zhao, Y.; Qu, J.; Feng, Y.; Wu, Z.; Chen, F.; Tang, H. Mechanical and thermal properties of epoxidized soybean oil plasticized polybutylene succinate blends. Polym. Adv. Technol. 2012, 23, 632–638. [Google Scholar] [CrossRef]
- Teamsinsungvon, A.; Ruksakulpiwat, Y.; Jarukumjorn, K. Preparation and characterization of poly (lactic acid)/poly (butylene adipate-co-terepthalate) blends and their composite. Polym. Plast. Technol. Eng. 2013, 52, 1362–1367. [Google Scholar] [CrossRef]
- Arrieta, M.P.; Fortunati, E.; Dominici, F.; López, J.; Kenny, J.M. Bionanocomposite films based on plasticized PLA-PHB/cellulose nanocrystal blends. Carbohydr. Polym. 2015, 121, 265–275. [Google Scholar] [CrossRef] [PubMed]
- Arrieta, M.P.; Samper, M.D.; López, J.; Jiménez, A. Combined effect of poly (hydroxybutyrate) and plasticizers on polylactic acid properties for film intended for food packaging. J. Polym. Environ. 2014, 22, 460–470. [Google Scholar] [CrossRef]







| Formulations | Temperature Profile (°C) | Head Temperature (°C) | Filmature Parameters | Head Force (N) |
|---|---|---|---|---|
| PLA based plasticized films | ||||
| PLA | 180–190–200 | 195 | Speed = 300 rpm; Torque = 50 N·m | 800 |
| PLA85–ATBC15 | 180–190–200 | 185 | Speed = 450 rpm; Torque = 50 N·m | 500 |
| PLA80–ATBC20 | 180–190–200 | 180 | Speed = 470 rpm; Torque = 50 N·m | 600 |
| PLA70–ATBC30 | 180–190–200 | 170 | Speed = 470 rpm; Torque = 50 N·m | 600 |
| PLA85–ISE15 | 180–190–200 | 185 | Speed = 450 rpm; Torque = 50 N·m | 500 |
| PLA80–ISE20 | 180–190–200 | 185 | Speed = 450 rpm; Torque = 50 N·m | 600 |
| PLA70–ISE30 | 180–190–200 | 170 | Speed = 450 rpm; Torque = 50 N m | 400 |
| PBS based plasticized films | ||||
| PBS | 130–135–140 | 135 | Speed = 450 rpm; Torque = 50 N·m | 500 |
| PBS85–ATBC15 | 130–135–140 | 130 | Speed = 500 rpm; Torque = 50 N·m | 500 |
| PBS80–ATBC20 | 130–135–140 | 125 | Speed = 600 rpm; Torque = 50 N·m | 500 |
| PBS70–ATBC30 | 130–135–140 | 125 | Speed = 600 rpm; Torque = 50 N·m | 500 |
| PBS85–ISE15 | 130–135–140 | 135 | Speed = 450 rpm; Torque = 50 N·m | 500 |
| PBS80–ISE20 | 130–135–140 | 120 | Speed = 600 rpm; Torque = 50 N·m | 500 |
| PBS70–ISE30 | 130–135–140 | 120 | Speed = 730 rpm; Torque = 50 N·m | 500 |
| Formulations | Temperature Profile (°C) | Head Temperature (°C) | Filmature Parameters | Head Force (N) |
|---|---|---|---|---|
| PLA–PBS plasticized blend films | ||||
| PLA80–PBS20 | 180–190–200 | 205 | Speed = 622 rpm; Torque = 50 N·m | 500 |
| (PLA85–ISE15)–PBS20 | 180–190–200 | 205 | Speed = 787; Torque = 50 N·m | 500 |
| (PLA80–PBS20)–ISE15 | 180–190–200 | 205 | Speed = 787 rpm; Torque = 50 N·m | 500 |
| Formulations | Tg (°C) | Tcc (°C) | ΔHcc (J/g) | Tm1 (°C) | Tm2 (°C) | ΔHm (J/g) | Xc (%) | Tg (°C) |
|---|---|---|---|---|---|---|---|---|
| 1st Heating Scan | Cooling | |||||||
| PLA | 58.1 ± 0.4 | 120.7 ± 1.5 | 19.7 ± 2.2 | - | 150.9 ± 0.2 | 35.4 ± 0.5 | 16.7 ± 2.8 | 52.8 ± 2.0 |
| PLA85–ATBC15 | 30.8 ± 0.7 | 89.4 ± 0.1 | 30.0 ± 0.1 | 134.2 ± 0.2 | 146.5 ± 0.1 | 32.9 ± 0.1 | 3.1 ± 0.2 | 25.5 ± 2.3 |
| PLA80–ATBC20 | 31.8 ± 0.2 | 90.1 ± 0.6 | 28.5 ± 1.2 | 134.5 ± 0.3 | 146.4 ± 0.1 | 30.1 ± 0.1 | 2.1 ± 1.7 | 24.1 ± 0.5 |
| PLA70–ATBC30 | 13.4 ± 3.0 | 61.6 ± 1.0 | 12.8 ± 1.0 | - | 142.3 ± 0.2 | 27.3 ± 0.1 | 21.9 ± 1.6 | 6.0 ± 0.7 |
| PLA85–ISE15 | 34.8 ± 5.0 | 85.9 ± 3.8 | 25.6 ± 1.8 | 135.0 ± 0.5 | 147.7 ± 0.1 | 35.6 ± 0.6 | 10.7 ± 3.0 | 23.8 ± 1.5 |
| PLA80–ISE20 | 29.4 ± 1.2 | 67.5 ± 0.6 | 22.8 ± 3.4 | - | 145.3 ± 0.2 | 38.6 ± 3.0 | 21.0 ± 0.5 | 23.4 ± 0.7 |
| PLA70–ISE30 | 28.6 ± 2.7 | 66.9 ± 1.5 | 21.1 ± 0.3 | - | 143.0 ± 0.8 | 39.1 ± 0.7 | 27.3 ± 1.5 | 21.0 ± 1.1 |
| 2nd Heating Scan | ||||||||
| PLA | 61.5 ± 0.2 | 129.6 ± 0.7 | 12.8 ± 1.6 | - | 152.0 ± 0.7 | 15.1 ± 3.0 | 2.5 ± 1.5 | |
| PLA85–ATBC15 | 31.7 ± 0.6 | 96.1 ± 0.1 | 27.2 ± 3.0 | 135.7 ± 0.1 | 147.0 ± 0.4 | 32.5 ± 1.6 | 5.7 ± 1.7 | |
| PLA80–ATBC20 | 30.5 ± 0.9 | 95.8 ± 0.3 | 24.7 ± 4.4 | 135.9 ± 0.6 | 146.7 ± 0.6 | 27.4 ± 3.9 | 3.6 ± 0.7 | |
| PLA70–ATBC30 | 14.3 ± 2.5 | 78.9 ± 0.1 | 20.5 ± 1.2 | 127.0 ± 0.2 | 142.6 ± 0.1 | 26.5 ± 0.5 | 9.0 ± 2.6 | |
| PLA85–ISE15 | 32.5 ± 0.1 | 93.7 ± 0.3 | 27.1 ± 0.8 | 136.1 ± 0.1 | 147.7 ± 0.1 | 33.0 ± 1.2 | 6.2 ± 2.5 | |
| PLA80–ISE20 | 30.2 ± 0.5 | 91.6 ± 0.1 | 26.9 ± 1.1 | 134.8 ± 0.2 | 146.1 ± 0.1 | 30.5 ± 1.1 | 4.8 ± 3.0 | |
| PLA70–ISE30 | 26.5 ± 0.6 | 84.4 ± 0.2 | 21.0 ± 0.9 | 133.5 ± 0.3 | 143.9 ± 0.2 | 27.8 ± 0.8 | 10.5 ± 0.1 | |
| Materials | Chemical Formula | ρ (g/cm3) | δ (J/cm3)1/2 |
|---|---|---|---|
| ATBC-Acetyl Tributyl Citrate | ![]() | 1.046 | 19.2 |
| ISE-Isosorbide dimethyl ether | ![]() | 1.15 | 14.7 |
| PLA | ![]() | 1.24 | 19.4 |
| PBS | ![]() | 1.26 | 21.8 |
| Formulations | Tg (°C) | Tcc (°C) | ΔHcc (J/g) | Tm (°C) | ΔHm (J/g) | Xc (%) | Tc (°C) |
|---|---|---|---|---|---|---|---|
| 1st Heating Scan | Cooling | ||||||
| PBS | 41.9 ± 0.2 | 87.4 ± 0.4 | 13.1 ± 2.0 | 114.3 ± 0.1 | 79.9 ± 0.6 | 60.6 ± 2.4 | 79.1 ± 0.6 |
| PBS85–ATBC15 | 41.9 ± 1.4 | 87.2 ± 0.2 | 13.8 ± 2.1 | 113.0 ± 0.4 | 77.9 ± 0.6 | 68.3 ± 2.8 | 75.1 ± 0.4 |
| PBS80–ATBC20 | 41.5 ± 8.8 | 90.1 ± 0.5 | 11.9 ± 0.7 | 112.8 ± 0.2 | 70.9 ± 2.7 | 66.8 ± 2.3 | 73.0 ± 0.1 |
| PBS85–ISE15 | 41.1 ± 0.6 | 88.1 ± 0.9 | 12.5 ± 2.1 | 113.2 ± 0.1 | 75.8 ± 0.2 | 67.3 ± 2.0 | 75.8 ± 0.6 |
| PBS80–ISE20 | 41.5 ± 0.3 | 90.6 ± 0.2 | 12.9 ± 1.4 | 111.8 ± 0.1 | 69.7 ± 0.5 | 64.4 ± 2.2 | 74.6 ± 0.1 |
| PBS80–ISE30 | 42.5 ± 0.2 | 90.5 ± 0.2 | 11.0 ± 0.3 | 111.8 ± 0.6 | 66.2 ± 1.7 | 71.6 ± 2.6 | 74.1 ± 0.5 |
| Tg PLA (°C) | Tm PBS (°C) | Tcc (°C) | Tm1 (°C) | Tm2 (°C) | |||
| PLA80–PBS20 | 56.6 ± 0.5 | 113.0 ± 0.4 | 106.6 ± 0.4 | 147.0 ± 0.3 | 153.0 ± 0.3 | ||
| (PLA15–ISE15)–PBS20 | 34.3 ± 0.2 | 110.6 ± 0.1 | 79.1 ± 0.1 | 134.6 ± 0.2 | 147.3 ± 0.3 | ||
| (PLA80–PBS20)–ISE15 | 32.8 ± 0.4 | 111.0 ± 0.3 | 78.4 ± 0.4 | 134.5 ± 0.4 | 146.8 ± 0.5 | ||
| 2nd Heating Scan | |||||||
| Formulations | Tcc (°C) | ΔHcc (J/g) | Tm (°C) | ΔHm (J/g) | Xc (%) | ||
| PBS | 102.3 ± 0.1 | 8.4 ± 0.8 | 113.7 ± 0.3 | 69.5 ± 0.9 | 55.5 ± 0.1 | ||
| PBS85–ATBC15 | 97.3 ± 0.3 | 9.4 ± 1.8 | 112.5 ± 0.1 | 70.5 ± 4.2 | 65.2 ± 6.5 | ||
| PBS80–ATBC20 | 95.6 ± 0.4 | 9.4 ± 0.5 | 111.8 ± 0.2 | 65.9 ± 5.2 | 64.8 ± 5.3 | ||
| PBS85–ISE15 | 98.5 ± 0.4 | 7.3 ± 0.1 | 112.7 ± 0.1 | 71.2 ± 2.7 | 68.1 ± 2.8 | ||
| PBS80–ISE20 | 96.4 ± 0.2 | 8.7 ± 0.5 | 111.3 ± 0.1 | 66.6 ± 2.1 | 65.5 ± 3.0 | ||
| PBS80–ISE30 | 96.5 ± 0.5 | 9.0 ± 1.0 | 111.2 ± 0.6 | 61.1 ± 3.1 | 67.5 ± 5.5 | ||
| Tg PLA (°C) | Tm PBS (°C) | Tcc (°C) | Tm1 (°C) | Tm2 (°C) | |||
| PLA80–PBS20 | 55.3 ± 0.4 | 113.1 ± 0.2 | 109.3 ± 0.3 | 147.4 ± 0.4 | 152.9 ± 0.5 | ||
| (PLA15–ISE15)–PBS20 | 34.7 ± 0.3 | 111.0 ± 0.1 | 87.1 ± 0.1 | 135.5 ± 0.2 | 147.1 ± 0.4 | ||
| (PLA80–PBS20)–ISE15 | 34.7 ± 0.3 | 111.3 ± 0.1 | 87.6 ± 0.4 | 135.5 ± 0.4 | 147.1 ± 0.4 | ||
| Formulations | EYoung (MPa) | σY (MPa) | εY (%) | σB (MPa) | εB (%) |
|---|---|---|---|---|---|
| PLA based plasticized films | |||||
| PLA | 2777 ± 242 | 46.4 ± 7.3 | 1.9 ± 0.3 | 43.6 ± 7.3 | 5.4 ± 2.1 |
| PLA85–ISE15 | 768 ± 166 | 10.3 ± 2.6 | 2.8 ± 0.2 | 22.3 ± 5.8 | 208.6 ± 58.4 |
| PLA80–ISE20 | 312 ± 3 | 5.4 ± 0.2 | 2.9 ± 1.7 | 15.7 ± 2.3 | 196.1 ± 35.3 |
| PLA70–ISE30 | 315 ± 15 | 5.7 ± 1.1 | 2.5 ± 0.4 | 11.7 ± 3.2 | 160.3 ± 85.7 |
| PLA85–ATBC15 | 272 ± 69 | 4.1 ± 0.4 | 3.3 ± 0.3 | 14.1 ± 4.7 | 228.6 ± 59.9 |
| PLA80–ATBC20 | 167 ± 87 | 2.4 ± 1.3 | 3.2 ± 0.5 | 9.8 ± 3.1 | 199.1 ± 5.6 |
| PLA70–ATBC30 | 123 ± 10 | 5.1 ± 0.3 | 12.4 ± 1.1 | 13.5 ± 1.1 | 181.9 ± 19.9 |
| PBS based plasticized films | |||||
| PBS | 501 ± 108 | - | - | 24.2 ± 2.2 | 9.7 ± 1.9 |
| PBS85–ISE15 | 350 ± 18 | 16.7 ± 0.6 | 8.4 ± 0.4 | 20.9 ± 0.4 | 29.6 ± 3.2 |
| PBS80–ISE20 | 311 ± 23 | 15.2 ± 0.8 | 8.3 ± 0.9 | 18.1 ± 1.1 | 26.2 ± 7.6 |
| PBS70–ISE30 | 276 ± 6 | 13.7 ± 0.4 | 8.2 ± 0.4 | 16.6 ± 0.8 | 28.6 ± 5.9 |
| PBS85–ATBC15 | 310 ± 68 | 11.2 ± 1.1 | 4.6 ± 0.3 | 18.5 ± 1.5 | 14.6 ± 1.2 |
| PBS80–ATBC20 | 275 ± 25 | - | - | 6.3 ± 1.1 | 3.7 ± 2.5 |
| PLA–PBS plasticized blend films | |||||
| PLA80–PBS20 | 2405 ± 109 | 43.5 ± 2.2 | 2.1 ± 0.1 | 33.7 ± 2.8 | 10.5 ± 5.4 |
| (PLA85–ISE15)–PBS20 | 758 ± 53 | 11.5 ± 0.4 | 4.6 ± 1.9 | 19.9 ± 3.2 | 241.6 ± 37.6 |
| (PLA80–PBS20)–ISE15 | 511 ± 121 | 11.1 ± 1.3 | 4.8 ± 1.7 | 19.8 ± 2.5 | 249.5 ± 19.4 |
| Materials | CA (°) |
|---|---|
| PLA based plasticized films | |
| PLA | 68 ± 2 |
| PLA85–ISE15 | 65 ± 1 |
| PLA–PBS plasticized blend films | |
| PLA80–PBS20 | 61 ± 1 |
| (PLA85–ISE15)–PBS20 | 56 ± 1 |
| (PLA80–PBS20)–ISE15 | 56 ± 2 |
© 2017 by the authors. Licensee MDPI, Basel, Switzerland. This article is an open access article distributed under the terms and conditions of the Creative Commons Attribution (CC BY) license (http://creativecommons.org/licenses/by/4.0/).
Share and Cite
Fortunati, E.; Puglia, D.; Iannoni, A.; Terenzi, A.; Kenny, J.M.; Torre, L. Processing Conditions, Thermal and Mechanical Responses of Stretchable Poly (Lactic Acid)/Poly (Butylene Succinate) Films. Materials 2017, 10, 809. https://doi.org/10.3390/ma10070809
Fortunati E, Puglia D, Iannoni A, Terenzi A, Kenny JM, Torre L. Processing Conditions, Thermal and Mechanical Responses of Stretchable Poly (Lactic Acid)/Poly (Butylene Succinate) Films. Materials. 2017; 10(7):809. https://doi.org/10.3390/ma10070809
Chicago/Turabian StyleFortunati, Elena, Debora Puglia, Antonio Iannoni, Andrea Terenzi, José Maria Kenny, and Luigi Torre. 2017. "Processing Conditions, Thermal and Mechanical Responses of Stretchable Poly (Lactic Acid)/Poly (Butylene Succinate) Films" Materials 10, no. 7: 809. https://doi.org/10.3390/ma10070809
APA StyleFortunati, E., Puglia, D., Iannoni, A., Terenzi, A., Kenny, J. M., & Torre, L. (2017). Processing Conditions, Thermal and Mechanical Responses of Stretchable Poly (Lactic Acid)/Poly (Butylene Succinate) Films. Materials, 10(7), 809. https://doi.org/10.3390/ma10070809





