Synthesis and Characterization of Bio-Based Polyesters: Poly(2-methyl-1,3-propylene-2,5-furanoate), Poly(isosorbide-2,5-furanoate), Poly(1,4-cyclohexanedimethylene-2,5-furanoate)
Abstract
:1. Introduction
2. Experimental
2.1. Materials
2.2. Polyester Synthesis
2.3. Polyester Characterization
3. Results and Discussion
3.1. Polyester Synthesis
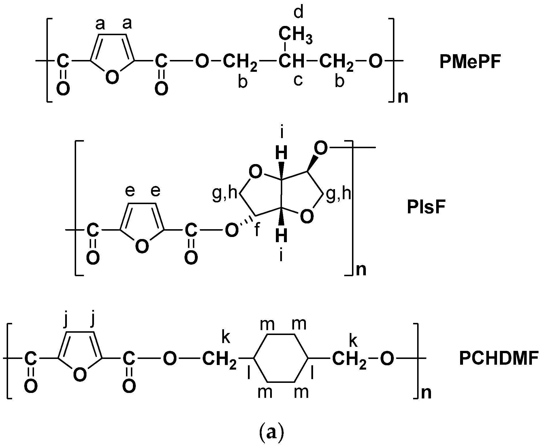
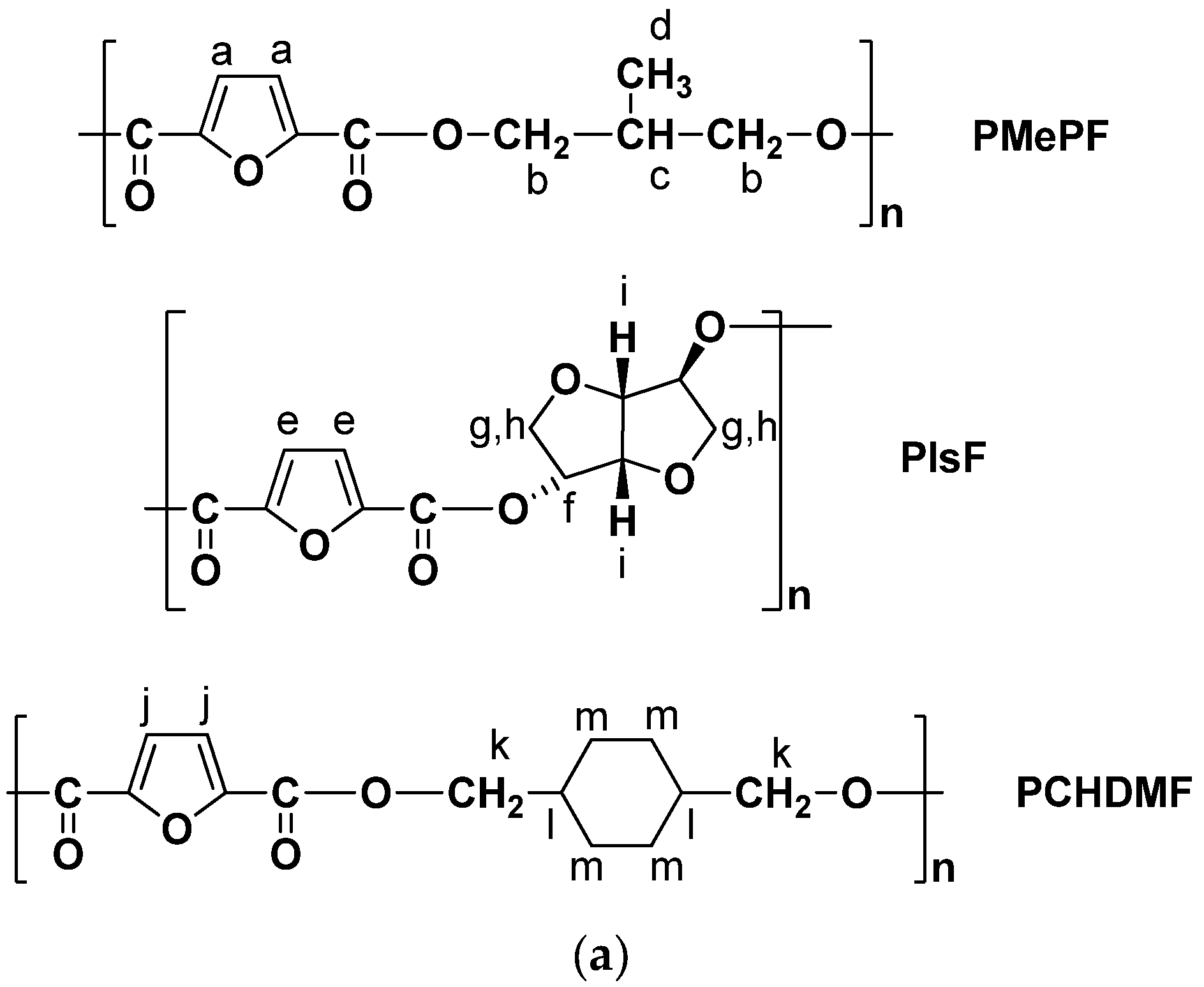
3.2. Structural Characterization
3.3. Thermal Characterization
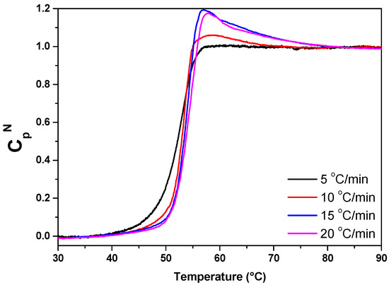
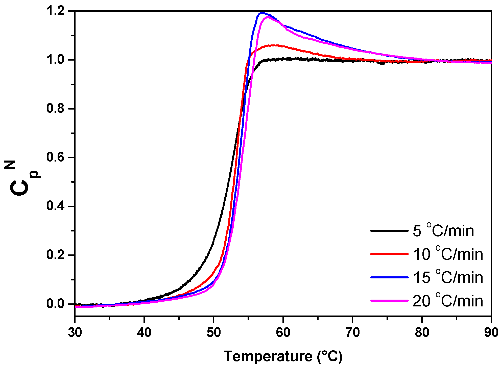
3.4. Prediction of Dynamic Fragility through Isoconversional and Standard Methods
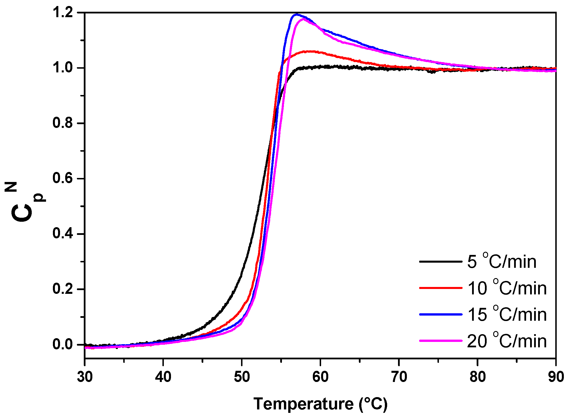
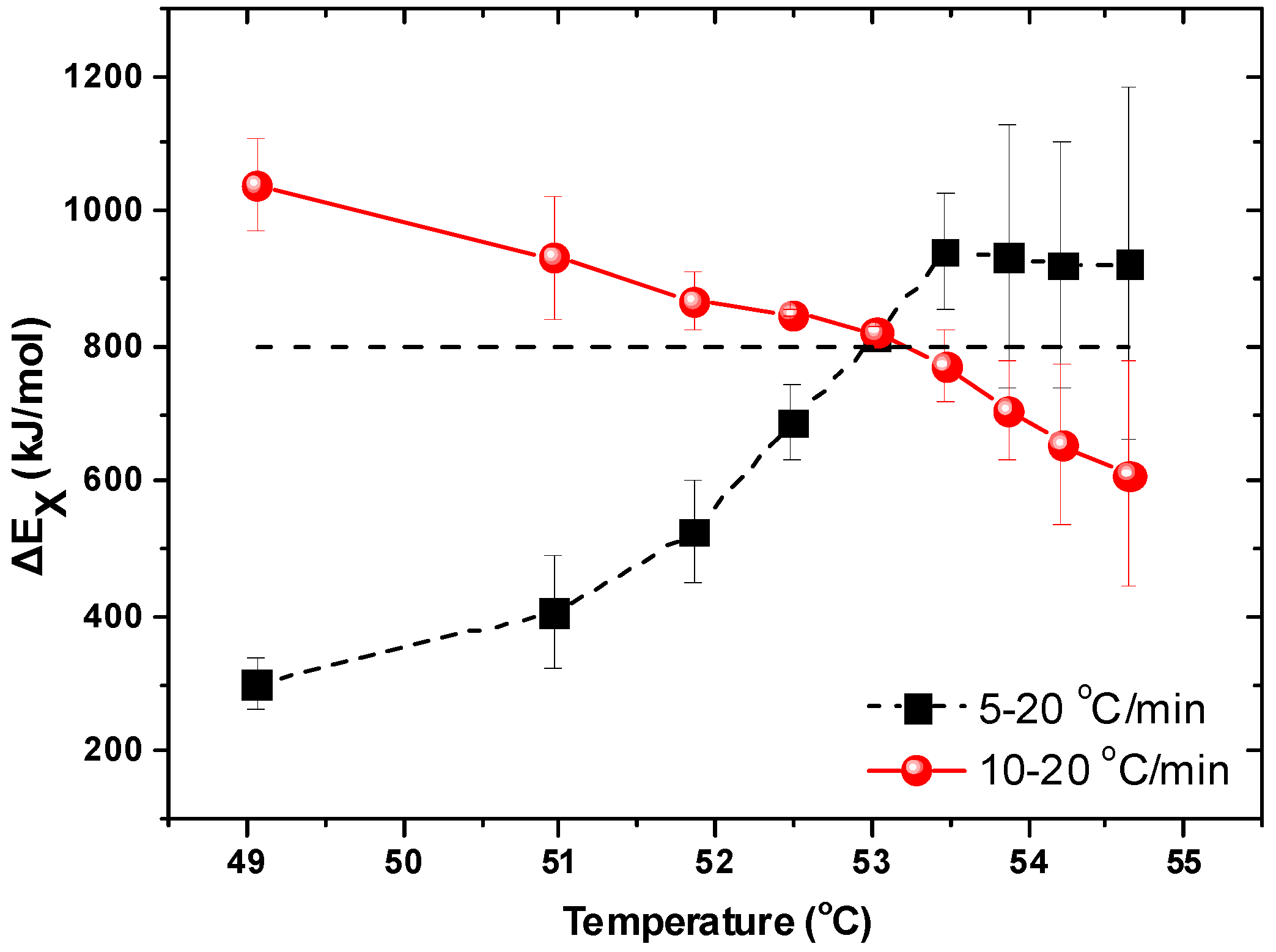
3.4.1. Variation of the Effective Activation Energy throughout the Glass Transition Temperature
3.4.2. Prediction of the Dynamic Fragility
3.5. Thermal Degradation
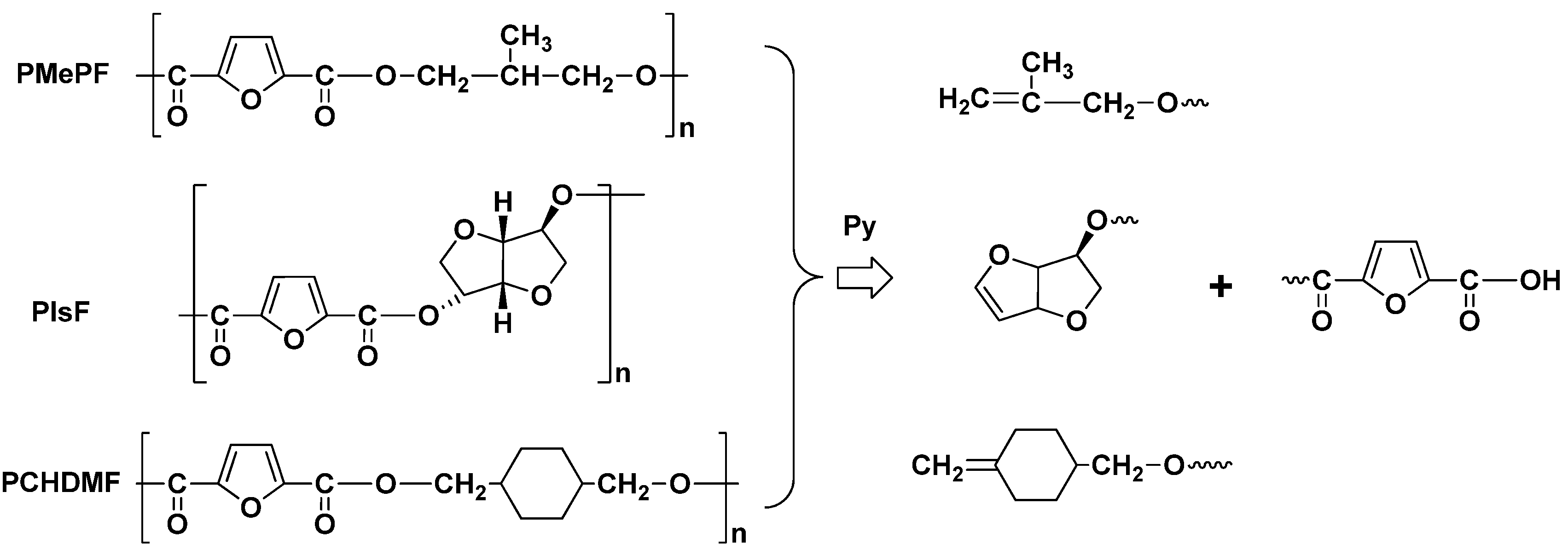
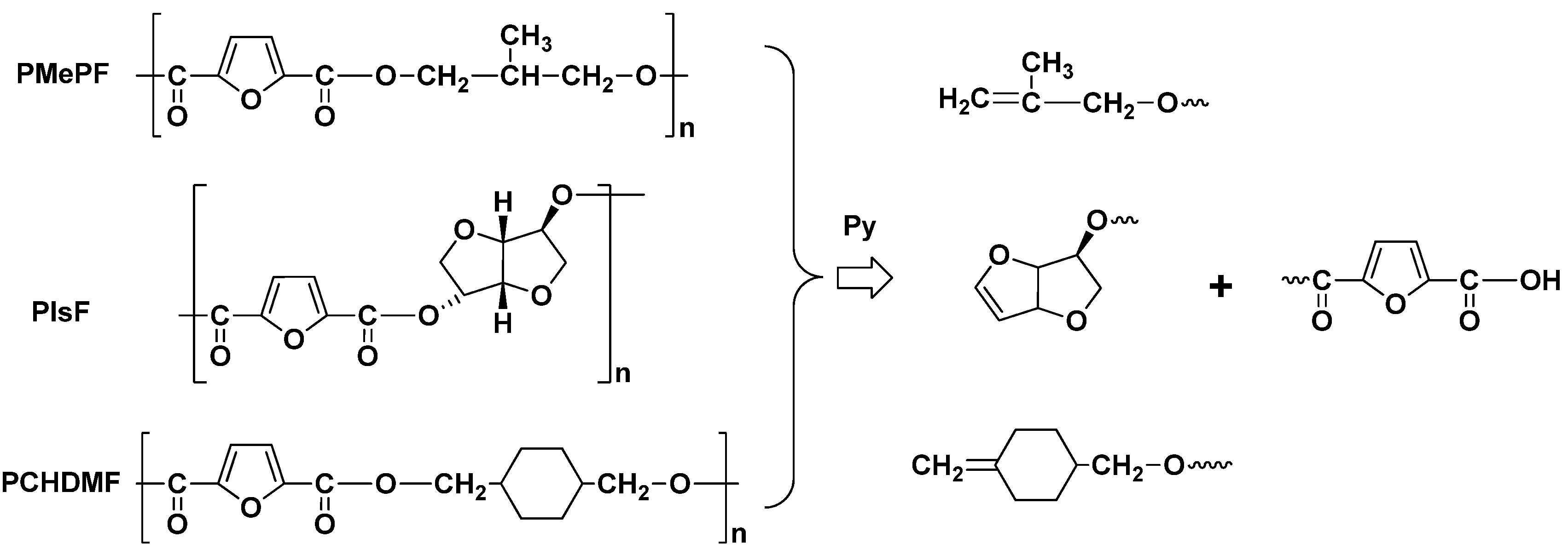
3.6. Decomposition Mechanism Study by Py/GC-MS
4. Conclusions
Author Contributions
Conflicts of Interest
References
- Liu, B.; Zhang, Z.; Lv, K.; Deng, K.; Duan, H. Efficient aerobic oxidation of biomass-derived 5-hydroxymethylfurfural to 2,5-diformylfuran catalyzed by magnetic nanoparticle supported manganese oxide. Appl. Catal. A Gen. 2014, 472, 64–71. [Google Scholar] [CrossRef]
- Zhang, Z.; Liu, B.; Lv, K.; Sun, J.; Deng, K. Aerobic oxidation of biomass derived 5-hydroxymethylfurfural into 5-hydroxymethyl-2-furancarboxylic acid catalyzed by a montmorillonite K-10 clay immobilized molybdenum acetylacetonate complex. Green Chem. 2014, 16, 2762–2770. [Google Scholar] [CrossRef]
- Casanova, O.; Iborra, S.; Corma, A. Biomass into Chemicals: Aerobic Oxidation of 5-Hydroxymethyl-2-furfural into 2,5-Furandicarboxylic Acid with Gold Nanoparticle Catalysts. ChemSusChem 2009, 2, 1138–1144. [Google Scholar] [CrossRef] [PubMed]
- Burgess, S.K.; Leisen, J.E.; Kraftschik, B.E.; Mubarak, C.R.; Kriegel, R.M.; Koros, W.J. Chain mobility, thermal, and mechanical properties of poly(ethylene furanoate) compared to poly(ethylene terephthalate). Macromolecules 2014, 47, 1383–1391. [Google Scholar] [CrossRef]
- Spagnuolo, M.L.; Marini, F.; Sarabia, L.A.; Ortiz, M.C. Migration test of Bisphenol A from polycarbonate cups using excitation-emission fluorescence data with parallel factor analysis. Talanta 2017, 167, 367–378. [Google Scholar] [CrossRef] [PubMed]
- Sousa, A.F.; Vilela, C.; Fonseca, A.C.; Matos, M.; Freire, C.S.R.; Gruter, G.-J.M.; Coelho, J.F.J.; Silvestre, A.J.D. Biobased polyesters and other polymers from 2,5-furandicarboxylic acid: A tribute to furan excellency. Polym. Chem. 2015, 6, 5961–5983. [Google Scholar] [CrossRef]
- Zhang, D.; Dumont, M.-J. Advances in polymer precursors and bio-based polymers synthesized from 5-hydroxymethylfurfural. J. Polym. Sci. Part A Polym. Chem. 2017, 55, 1478–1492. [Google Scholar] [CrossRef]
- Papageorgiou, G.Z.; Papageorgiou, D.G.; Terzopoulou, Z.; Bikiaris, D.N. Production of bio-based 2,5-furan dicarboxylate polyesters: Recent progress and critical aspects in their synthesis and thermal properties. Eur. Polym. J. 2016, 83, 202–229. [Google Scholar] [CrossRef]
- Jiang, M.; Liu, Q.; Zhang, Q.; Ye, C.; Zhou, G. A series of furan-aromatic polyesters synthesized via direct esterification method based on renewable resources. J. Polym. Sci. Part A Polym. Chem. 2012, 50, 1026–1036. [Google Scholar] [CrossRef]
- Vyazovkin, S.; Sbirrazzuoli, N.; Dranca, I. Variation of the Effective Activation Energy Throughout the Glass Transition. Macromol. Rapid Commun. 2004, 25, 1708–1713. [Google Scholar] [CrossRef]
- Ahn, J.S.; Kang, S.M.; Kim, M.K.; Kim, Y.J.; Yoon, K.C.; Park, O.O. Effect of alicyclic monomers on thermal properties of transparent biodegradable polyesters. Macromol. Res. 2016, 24, 609–616. [Google Scholar] [CrossRef]
- Thomas, J.M.; Raja, R. Review: The Materials Chemistry of Inorganic Catalysts. Aust. J. Chem. 2002, 54, 551–560. [Google Scholar] [CrossRef]
- Liu, Y.; Turner, S.R. Synthesis and properties of cyclic diester based aliphatic copolyesters. J. Polym. Sci. Part A Polym. Chem. 2010, 48, 2162–2169. [Google Scholar] [CrossRef]
- Devaney, R. The structure and electrical properties of poly(1,4-cyclohexylenedimethylene terephthalate), a new linear thermoplastic polyester. In Proceedings of the Annual Report 1962 Conference on Electrical Insulation, Hershey, PA, USA, 15–17 Octorber 1962. [Google Scholar]
- Wang, J.; Liu, X.; Zhang, Y.; Liu, F.; Zhu, J. Modification of poly(ethylene 2,5-furandicarboxylate) with 1,4-cyclohexanedimethylene: Influence of composition on mechanical and barrier properties. Polymer (UK) 2016, 103, 1–8. [Google Scholar] [CrossRef]
- Ullmann, F. Ullmann’s Encyclopedia of Industrial Chemistry, 2nd ed.; Wiley-VCH Verlag GmbH & Co.: Weinheim, Germany, 2003. [Google Scholar]
- Tsanaktsis, V.; Papageorgiou, G.Z.; Bikiaris, D.N. A facile method to synthesize high-molecular-weight biobased polyesters from 2,5-furandicarboxylic acid and long-chain diols. J. Polym. Sci. Part A Polym. Chem. 2015, 53, 2617–2632. [Google Scholar] [CrossRef]
- Papageorgiou, G.Z.; Tsanaktsis, V.; Bikiaris, D.N. Synthesis of poly(ethylene furandicarboxylate) polyester using monomers derived from renewable resources: Thermal behavior comparison with PET and PEN. Phys. Chem. Chem. Phys. 2014, 16, 7946–7958. [Google Scholar] [CrossRef] [PubMed]
- Chen, T.; Jiang, G.; Zhang, J. Isothermal crystallization behavior and crystal structure of poly(ethylene terephthalate-co-1,4-cyclohexylene dimethylene terephthalate) (P(ET/CT)) copolyesters. Cryst. Res. Technol. 2014, 49, 232–243. [Google Scholar] [CrossRef]
- Papageorgiou, D.G.; Guigo, N.; Tsanaktsis, V.; Exarhopoulos, S.; Bikiaris, D.N.; Sbirrazzuoli, N.; Papageorgiou, G.Z. Fast Crystallization and Melting Behavior of a Long-Spaced Aliphatic Furandicarboxylate Biobased Polyester, Poly(dodecylene 2,5-furanoate). Ind. Eng. Chem. Res. 2016, 55, 5315–5326. [Google Scholar] [CrossRef]
- Tsanaktsis, V.; Terzopoulou, Z.; Nerantzaki, M.; Papageorgiou, G.Z.; Bikiaris, D.N. New poly(pentylene furanoate) and poly(heptylene furanoate) sustainable polyesters from diols with odd methylene groups. Mater. Lett. 2016, 178, 64–67. [Google Scholar] [CrossRef]
- Gomes, M.; Gandini, A.; Silvestre, A.J.D.; Reis, B. Synthesis and characterization of poly(2,5-furan dicarboxylate)s based on a variety of diols. J. Polym. Sci. Part A Polym. Chem. 2011, 49, 3759–3768. [Google Scholar] [CrossRef]
- Tsanaktsis, V.; Terzopoulou, Z.; Exarhopoulos, S.; Bikiaris, D.N.; Achilias, D.S.; Papageorgiou, D.G.; Papageorgiou, G.Z. Sustainable, eco-friendly polyesters synthesized from renewable resources: Preparation and thermal characteristics of poly(dimethyl-propylene furanoate). Polym. Chem. 2015, 6, 8284–8296. [Google Scholar] [CrossRef]
- Flynn, J.H.; Wall, L.A. General Treatment of the Thermogravimetry of Polymers. J. Res. Natl. Bur. Stand. A Phys. Chem. 1966, 70A, 487–523. [Google Scholar] [CrossRef]
- Ozawa, T. A New Method of Analyzing Thermogravimetric Data. Bull. Chem. Soc. Jpn. 1965, 38, 1881–1886. [Google Scholar] [CrossRef]
- Badrinarayanan, P.; Zheng, W.; Simon, S.L. Isoconversion analysis of the glass transition. Thermochim. Acta 2008, 468, 87–93. [Google Scholar] [CrossRef]
- Vyazovkin, S.; Sbirrazzuoli, N.; Dranca, I. Variation in Activation Energy of the Glass Transition for Polymers of Different Dynamic Fragility. Macromol. Chem. Phys. 2006, 207, 1126–1130. [Google Scholar] [CrossRef]
- Badrinarayanan, P.; Simon, S.L.; Lyng, R.J.; O’Reilly, J.M. Effect of structure on enthalpy relaxation of polycarbonate: Experiments and modeling. Polymer (Guildf) 2008, 49, 3554–3560. [Google Scholar] [CrossRef]
- Papageorgiou, G.Z.; Achilias, D.S.; Karayannidis, G.P. Estimation of thermal transitions in poly(ethylene naphthalate): Experiments and modeling using isoconversional methods. Polymer (Guildf) 2010, 51, 2565–2575. [Google Scholar] [CrossRef]
- Crowley, K.J.; Zografi, G. The use of thermal methods for predicting glass-former fragility. Thermochim. Acta 2001, 380, 79–93. [Google Scholar] [CrossRef]
- Terzopoulou, Z.; Tsanaktsis, V.; Nerantzaki, M.; Achilias, D.S.; Vaimakis, T.; Papageorgiou, G.Z.; Bikiaris, D.N. Thermal degradation of biobased polyesters: Kinetics and decomposition mechanism of polyesters from 2,5-furandicarboxylic acid and long-chain aliphatic diols. J. Anal. Appl. Pyrolysis 2016, 117, 162–175. [Google Scholar] [CrossRef]
- Tsanaktsis, V.; Vouvoudi, E.; Papageorgiou, G.Z.; Papageorgiou, D.G.; Chrissafis, K.; Bikiaris, D.N. Thermal degradation kinetics and decomposition mechanism of polyesters based on 2,5-furandicarboxylic acid and low molecular weight aliphatic diols. J. Anal. Appl. Pyrolysis 2015, 112, 369–378. [Google Scholar] [CrossRef]
- Terzopoulou, Z.; Karakatsianopoulou, E.; Kasmi, N.; Majdoub, M.; Papageorgiou, G.Z.; Bikiaris, D.N. Effect of catalyst type on recyclability and decomposition mechanism of poly(ethylene furanoate) biobased polyester. J. Anal. Appl. Pyrolysis 2017, in press. [Google Scholar] [CrossRef]
- Terzopoulou, Z.; Tsanaktsis, V.; Nerantzaki, M.; Papageorgiou, G.Z.; Bikiaris, D.N. Decomposition mechanism of polyesters based on 2,5-furandicarboxylic acid and aliphatic diols with medium and long chain methylene groups. Polym. Degrad. Stab. 2016, 132, 127–136. [Google Scholar] [CrossRef]















| Polyester | [η] (dL/g) |
|---|---|
| PMePF | 0.42 |
| PIsF | 0.39 |
| PCHDMF | 0.52 |
| Material | ΔETg (kJ/mol) | Tg (°C) | m | D | ΔE (kJ/mol/K) |
|---|---|---|---|---|---|
| PMePF | 799 ± 14 | 53.0 | 128 | 5.26 | −82.6 |
| PIsF | 810 ± 46 | 161.9 | 97.2 | 7.26 | −32.4 |
| PET [10] | 156 | −110.6 | |||
| PEN [29] | 451 | 123 | 60 | 13.5 | −15.6 |
| Rt (min) | MW (amu) | Possible Structure |
|---|---|---|
| 1.37 | 44 | CO2 |
| 1.56 | 68 | ![]() |
| 1.70 | 70 | ![]() |
| 2.01 | 90 | ![]() |
| 3.00 | 112 | ![]() |
| 9.49 | 168 | ![]() |
| 9.82 | 166 | ![]() |
| 12.56 | 162 | ![]() |
| 13.13 | 184 | ![]() |
| 17.59 | 264 | ![]() |
| 19.62 | 278 | ![]() |
| 23.43 | 322 | ![]() |
| 24.64 | 378 | ![]() |
| 24.88 | 376 | ![]() |
| 26.52 | 389 | unidentified |
| 28.01 | 420 | ![]() |
| 29.84 | 474 | ![]() |
| Rt (min) | MW (amu) | Possible Structure |
|---|---|---|
| 1.38 | 44 | CO2 |
| 1.57 | 68 | ![]() |
| 4.26 | 112 | ![]() |
| 5.97 | 126 | ![]() |
| 7.34 | 128 | ![]() |
| 11.02 | 146 | ![]() |
| 12.57 | 162 | ![]() |
| 17.88 | 180 | ![]() |
| 18.74 | 197 | ![]() |
| 24.19 | 222 | ![]() |
| Rt (min) | MW (amu) | Possible Structure |
|---|---|---|
| 1.37 | 44 | CO2 |
| 1.56 | 68 | ![]() |
| 3.48 | 108 | ![]() |
| 4.01 | 108 | ![]() |
| 5.97 | 127 | ![]() |
| 7.76 | 144 | ![]() |
| 8.11 | 144 | ![]() |
| 15.89 | 192 | unidentified |
| 16.18 | 112 | ![]() |
| 20.16 | 250 | ![]() |
| 20.40 | 247 | unidentified |
| 24.24 | 296 | ![]() |
| 24.40 | 332 | ![]() |
| 24.67 | 332 | ![]() |
| 26.26 | 372 | ![]() |
| 26.43 | 316 | unidentified |
| 27.90 | 390 | ![]() |
© 2017 by the authors. Licensee MDPI, Basel, Switzerland. This article is an open access article distributed under the terms and conditions of the Creative Commons Attribution (CC BY) license (http://creativecommons.org/licenses/by/4.0/).
Share and Cite
Terzopoulou, Z.; Kasmi, N.; Tsanaktsis, V.; Doulakas, N.; Bikiaris, D.N.; Achilias, D.S.; Papageorgiou, G.Z. Synthesis and Characterization of Bio-Based Polyesters: Poly(2-methyl-1,3-propylene-2,5-furanoate), Poly(isosorbide-2,5-furanoate), Poly(1,4-cyclohexanedimethylene-2,5-furanoate). Materials 2017, 10, 801. https://doi.org/10.3390/ma10070801
Terzopoulou Z, Kasmi N, Tsanaktsis V, Doulakas N, Bikiaris DN, Achilias DS, Papageorgiou GZ. Synthesis and Characterization of Bio-Based Polyesters: Poly(2-methyl-1,3-propylene-2,5-furanoate), Poly(isosorbide-2,5-furanoate), Poly(1,4-cyclohexanedimethylene-2,5-furanoate). Materials. 2017; 10(7):801. https://doi.org/10.3390/ma10070801
Chicago/Turabian StyleTerzopoulou, Zoi, Nejib Kasmi, Vasilios Tsanaktsis, Nikolaos Doulakas, Dimitrios N. Bikiaris, Dimitris S. Achilias, and George Z. Papageorgiou. 2017. "Synthesis and Characterization of Bio-Based Polyesters: Poly(2-methyl-1,3-propylene-2,5-furanoate), Poly(isosorbide-2,5-furanoate), Poly(1,4-cyclohexanedimethylene-2,5-furanoate)" Materials 10, no. 7: 801. https://doi.org/10.3390/ma10070801
APA StyleTerzopoulou, Z., Kasmi, N., Tsanaktsis, V., Doulakas, N., Bikiaris, D. N., Achilias, D. S., & Papageorgiou, G. Z. (2017). Synthesis and Characterization of Bio-Based Polyesters: Poly(2-methyl-1,3-propylene-2,5-furanoate), Poly(isosorbide-2,5-furanoate), Poly(1,4-cyclohexanedimethylene-2,5-furanoate). Materials, 10(7), 801. https://doi.org/10.3390/ma10070801






































