Thermal Stability of P-Type BiSbTe Alloys Prepared by Melt Spinning and Rapid Sintering
Abstract
:1. Introduction
2. Results and Discussion
2.1. Morphologies
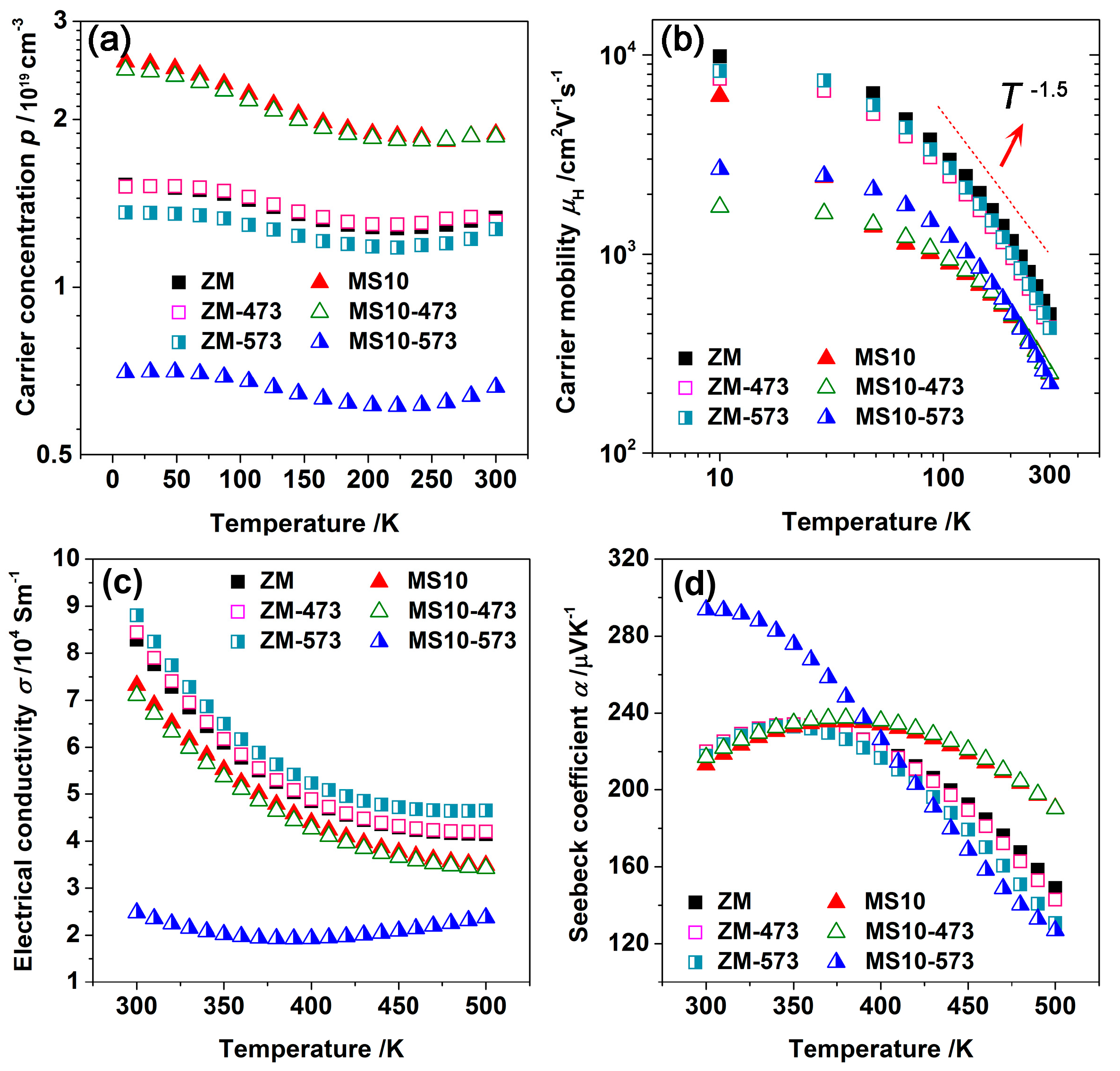
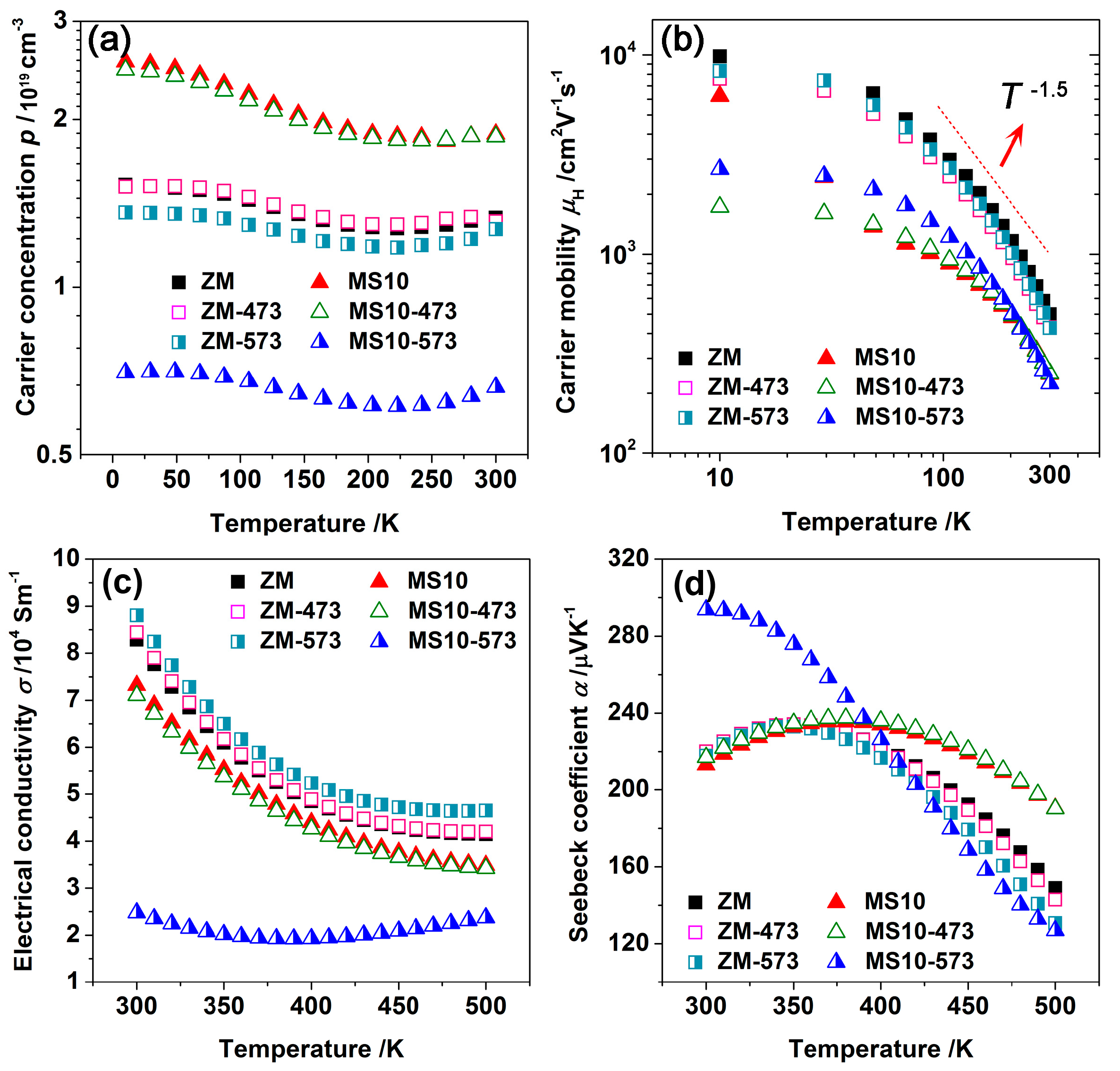
2.2. Thermoelectric Properties
2.3. Mechanical Properties
3. Materials and Methods
4. Conclusions
Supplementary Materials
Acknowledgments
Author Contributions
Conflicts of Interest
References
- Riffat, S.B.; Ma, X. Thermoelectrics: A review of present and potential applications. Appl. Therm. Eng. 2003, 23, 913–935. [Google Scholar] [CrossRef]
- Tan, G.; Zhao, L.D.; Kanatzidis, M.G. Rationally designing high-performance bulk thermoelectric materials. Chem. Rev. 2016, 116, 12123–12149. [Google Scholar] [CrossRef] [PubMed]
- Dresselhaus, M.S.; Chen, G.; Tang, M.Y.; Yang, R.G.; Lee, H.; Wang, D.Z.; Ren, Z.F.; Fleurial, J.P.; Gogna, P. New directions for low-dimensional thermoelectric materials. Adv. Mater. 2007, 19, 1043–1053. [Google Scholar] [CrossRef]
- Liu, W.; Yan, X.; Chen, G.; Ren, Z. Recent advances in thermoelectric nanocomposites. Nano Energy 2012, 1, 42–56. [Google Scholar] [CrossRef]
- Rowe, D.M.; Bhandari, C.M. Modern Thermoelectrics; Prentice Hall: Englewood Cliffs, NJ, USA, 1983. [Google Scholar]
- DiSalvo, F.J. Thermoelectric cooling and power generation. Science 1999, 285, 703–706. [Google Scholar] [CrossRef] [PubMed]
- Zhao, L.-D.; Tan, G.; Hao, S.; He, J.; Pei, Y.; Chi, H.; Wang, H.; Gong, S.; Xu, H.; Dravid, V.P. Ultrahigh power factor and thermoelectric performance in hole-doped single-crystal SnSe. Science 2016, 351, 141–144. [Google Scholar] [CrossRef] [PubMed]
- Zhao, L.-D.; Lo, S.-H.; Zhang, Y.; Sun, H.; Tan, G.; Uher, C.; Wolverton, C.; Dravid, V.P.; Kanatzidis, M.G. Ultralow thermal conductivity and high thermoelectric figure of merit in SnSe crystals. Nature 2014, 508, 373–377. [Google Scholar] [CrossRef] [PubMed]
- Duong, A.T.; Nguyen, V.Q.; Duvjir, G.; Duong, V.T.; Kwon, S.; Song, J.Y.; Lee, J.K.; Lee, J.E.; Park, S.; Min, T.; et al. Achieving ZT = 2.2 with Bi-doped n-type SnSe single crystals. Nat. Commun. 2016, 7, 13713. [Google Scholar] [CrossRef] [PubMed]
- Tan, G.; Shi, F.; Hao, S.; Zhao, L.-D.; Chi, H.; Zhang, X.; Uher, C.; Wolverton, C.; Dravid, V.P.; Kanatzidis, M.G. Non-equilibrium processing leads to record high thermoelectric figure of merit in PbTe–SrTe. Nat. Commun. 2016, 7, 12167. [Google Scholar] [CrossRef] [PubMed]
- Biswas, K.; He, J.; Blum, I.D.; Wu, C.-I.; Hogan, T.P.; Seidman, D.N.; Dravid, V.P.; Kanatzidis, M.G. High-performance bulk thermoelectrics with all-scale hierarchical architectures. Nature 2012, 489, 414–418. [Google Scholar] [CrossRef] [PubMed]
- Fu, T.; Yue, X.; Wu, H.; Fu, C.; Zhu, T.; Liu, X.; Hu, L.; Ying, P.; He, J.; Zhao, X. Enhanced thermoelectric performance of PbTe bulk materials with figure of merit zT > 2 by multi-functional alloying. J. Materiomics 2016, 2, 141–149. [Google Scholar] [CrossRef]
- Gelbstein, Y.; Davidow, J.; Girard, S.N.; Chung, D.Y.; Kanatzidis, M. Controlling metallurgical phase separation reactions of the Ge0.87Pb0.13Te Alloy for high thermoelectric performance. Adv. Energy Mater. 2013, 3, 815–820. [Google Scholar] [CrossRef]
- Gelbstein, Y.; Davidow, J. Highly efficient functional GexPb1-xTe based thermoelectric alloys. Phys. Chem. Chem. Phys. 2014, 16, 20120–20126. [Google Scholar] [CrossRef] [PubMed]
- Goldsmid, H. Bismuth telluride and its alloys as materials for thermoelectric generation. Materials 2014, 7, 2577–2592. [Google Scholar] [CrossRef]
- Hao, F.; Qiu, P.; Tang, Y.; Bai, S.; Xing, T.; Chu, H.-S.; Zhang, Q.; Lu, P.; Zhang, T.; Ren, D.; et al. High efficiency Bi2Te3-based materials and devices for thermoelectric power generation between 100 and 300 °C. Energy Environ. Sci. 2016, 9, 3120–3127. [Google Scholar] [CrossRef]
- Zhang, Q.H.; Huang, X.Y.; Bai, S.Q.; Shi, X.; Uher, C.; Chen, L.D. Thermoelectric devices for power generation: Recent progress and future challenges. Adv. Eng. Mater. 2016, 18, 194–213. [Google Scholar] [CrossRef]
- Goldsmid, H. Thermoelectric Refrigeration; Springer: New York, NY, USA, 2013. [Google Scholar]
- Kraemer, D.; Jie, Q.; McEnaney, K.; Cao, F.; Liu, W.; Weinstein, L.A.; Loomis, J.; Ren, Z.; Chen, G. Concentrating solar thermoelectric generators with a peak efficiency of 7.4%. Nat. Energy 2016, 1. [Google Scholar] [CrossRef]
- Zheng, Y.; Xie, H.; Shu, S.; Yan, Y.; Li, H.; Tang, X. High-temperature mechanical and thermoelectric properties of p-type Bi0.5Sb1.5Te3 commercial zone melting ingots. J. Electron. Mater. 2014, 43, 2017–2022. [Google Scholar] [CrossRef]
- Zheng, Y.; Zhang, Q.; Su, X.; Xie, H.; Shu, S.; Chen, T.; Tan, G.; Yan, Y.; Tang, X.; Uher, C.; et al. Mechanically robust BiSbTe alloys with superior thermoelectric performance: A case study of stable hierarchical nanostructured thermoelectric materials. Adv. Energy Mater. 2015, 5, 1401391. [Google Scholar] [CrossRef]
- Li, G.; Gadelrab, K.R.; Souier, T.; Potapov, P.L.; Chen, G.; Chiesa, M. Mechanical properties of BixSb2−xTe3 nanostructured thermoelectric material. Nanotechnology 2012, 23, 065703. [Google Scholar] [CrossRef] [PubMed]
- Poudel, B.; Hao, Q.; Ma, Y.; Lan, Y.; Minnich, A.; Yu, B.; Yan, X.; Wang, D.; Muto, A.; Vashaee, D.; et al. High-thermoelectric performance of nanostructured bismuth antimony telluride bulk alloys. Science 2008, 320, 634–638. [Google Scholar] [CrossRef] [PubMed]
- Mehta, R.J.; Karthik, C.; Jiang, W.; Singh, B.; Shi, Y.; Siegel, R.W.; Borca-Tasciuc, T.; Ramanath, G. High electrical conductivity antimony selenide nanocrystals and assemblies. Nano Lett. 2010, 10, 4417–4422. [Google Scholar] [CrossRef] [PubMed]
- Xie, W.; He, J.; Kang, H.J.; Tang, X.; Zhu, S.; Laver, M.; Wang, S.; Copley, J.R.D.; Brown, C.M.; Zhang, Q.; et al. Identifying the specific nanostructures responsible for the high thermoelectric performance of (Bi,Sb)2Te3 Nanocomposites. Nano Lett. 2010, 10, 3283–3289. [Google Scholar] [CrossRef] [PubMed]
- Lee, K.-H.; Kim, H.-S.; Kim, S.-I.; Lee, E.-S.; Lee, S.-M.; Rhyee, J.-S.; Jung, J.-Y.; Kim, I.-H.; Wang, Y.; Koumoto, K. Enhancement of thermoelectric figure of merit for Bi0.5Sb1.5Te3 by metal nanoparticle decoration. J. Electron. Mater. 2012, 41, 1165–1169. [Google Scholar] [CrossRef]
- Kim, K.T.; Choi, S.Y.; Shin, E.H.; Moon, K.S.; Koo, H.Y.; Lee, G.-G.; Ha, G.H. The influence of CNTs on the thermoelectric properties of a CNT/Bi2Te3 composite. Carbon 2013, 52, 541–549. [Google Scholar] [CrossRef]
- Li, J.; Tan, Q.; Li, J.F.; Liu, D.W.; Li, F.; Li, Z.Y.; Zou, M.; Wang, K. BiSbTe-based nanocomposites with high ZT: The effect of SiC nanodispersion on thermoelectric properties. Adv. Funct. Mater. 2013, 23, 4317–4323. [Google Scholar] [CrossRef]
- Zhang, T.; Jiang, J.; Xiao, Y.; Zhai, Y.; Yang, S.; Xu, G. Enhanced thermoelectric figure of merit in p-type BiSbTeSe alloy with ZnSb addition. J. Mater. Chem. A 2013, 1, 966–969. [Google Scholar] [CrossRef]
- Xiao, Y.; Chen, G.; Qin, H.; Wu, M.; Xiao, Z.; Jiang, J.; Xu, J.; Jiang, H.; Xu, G. Enhanced thermoelectric figure of merit in p-type Bi0.48Sb1.52Te3 alloy with WSe2 addition. J. Mater. Chem. A 2014, 2, 8512–8516. [Google Scholar] [CrossRef]
- Zhang, Q.; Ai, X.; Wang, L.; Chang, Y.; Luo, W.; Jiang, W.; Chen, L. Improved thermoelectric performance of silver nanoparticles-dispersed Bi2Te3 composites deriving from hierarchical two-phased heterostructure. Adv. Funct. Mater. 2014. [Google Scholar] [CrossRef]
- Grasso, S.; Tsujii, N.; Jiang, Q.; Khaliq, J.; Maruyama, S.; Miranda, M.; Simpson, K.; Mori, T.; Reece, M.J. Ultra low thermal conductivity of disordered layered p-type bismuth telluride. J. Mater. Chem. C 2013, 1, 2362–2367. [Google Scholar] [CrossRef]
- Hu, L.; Zhu, T.; Liu, X.; Zhao, X. Point defect engineering of high-performance bismuth-telluride-based thermoelectric materials. Adv. Funct. Mater. 2014, 24, 5211–5218. [Google Scholar] [CrossRef]
- Kim, S.I.; Lee, K.H.; Mun, H.A.; Kim, H.S.; Hwang, S.W.; Roh, J.W.; Yang, D.J.; Shin, W.H.; Li, X.S.; Lee, Y.H.; et al. Dense dislocation arrays embedded in grain boundaries for high-performance bulk thermoelectrics. Science 2015, 348, 109–114. [Google Scholar] [CrossRef] [PubMed]
- Xu, Z.J.; Hu, L.P.; Ying, P.J.; Zhao, X.B.; Zhu, T.J. Enhanced thermoelectric and mechanical properties of zone melted p-type (Bi,Sb)2Te3 thermoelectric materials by hot deformation. Acta Mater. 2015, 84, 385–392. [Google Scholar] [CrossRef]
- Su, X.; Wei, P.; Li, H.; Liu, W.; Yan, Y.; Li, P.; Su, C.; Xie, C.; Zhao, W.; Zhai, P.; et al. Multi-scale microstructural thermoelectric materials: Transport behavior, non-equilibrium preparation, and applications. Adv. Mater. 2017, 1602013. [Google Scholar] [CrossRef] [PubMed]
- Liu, W.; Kim, H.S.; Jie, Q.; Ren, Z. Importance of high power factor in thermoelectric materials for power generation application: A perspective. Scr. Mater. 2016, 111, 3–9. [Google Scholar] [CrossRef]
- Case, E. Thermal fatigue and waste heat recovery via thermoelectrics. J. Electron. Mater. 2012, 41, 1811–1819. [Google Scholar] [CrossRef]
- Yamashita, O.; Tomiyoshi, S. Effect of annealing on thermoelectric properties of bismuth telluride compounds doped with various additives. J. Appl. Phys. 2003, 95, 161–169. [Google Scholar] [CrossRef]
- Yamashita, O.; Sugihara, S. High-performance bismuth-telluride compounds with highly stable thermoelectric figure of merit. J. Mater. Sci. 2005, 40, 6439–6444. [Google Scholar] [CrossRef]
- Zhao, L.; Zhang, B.-P.; Liu, W.; Zhang, H.; Li, J.-F. Effects of annealing on electrical properties of n-type Bi2Te3 fabricated by mechanical alloying and spark plasma sintering. J. Alloys Compd. 2009, 467, 91–97. [Google Scholar] [CrossRef]
- Zhao, L.D.; Zhang, B.P.; Li, J.F.; Zhang, H.L.; Liu, W.S. Enhanced thermoelectric and mechanical properties in textured n-type Bi2Te3 prepared by spark plasma sintering. Solid State Sci. 2008, 10, 651–658. [Google Scholar] [CrossRef]
- Wereszczak, A.A.; Kirkland, T.P.; Jadaan, O.M.; Wang, H. Strength of bismuth telluride. In Advances in Electronic Ceramics II; John Wiley & Sons, Inc.: Hoboken, NJ, USA, 2010; pp. 131–140. [Google Scholar]
- Luo, Y.; Yang, J.; Jiang, Q.; Li, W.; Fu, L.; Xiao, Y.; Zhang, D.; Zhou, Z.; Cheng, Y. Effect of cooling rate on the thermoelectric and mechanical performance of Bi0.5Sb1.5Te3 prepared under a high magnetic field. Intermetallics 2016, 72, 62–68. [Google Scholar] [CrossRef]
- Hyun, D.-B.; Hwang, J.-S.; Shim, J.-D.; Oh, T.S. Thermoelectric properties of (Bi0.25Sb0.75)2Te3 alloys fabricated by hot-pressing method. J. Mater. Sci. 2001, 36, 1285–1291. [Google Scholar] [CrossRef]
- Miller, G.; Li, C.-Y. Evidence for the existence of antistructure defects in bismuth telluride by density measurements. J. Phys. Chem. Solids 1965, 26, 173–177. [Google Scholar] [CrossRef]
- Shen, J.J.; Zhang, S.N.; Yang, S.H.; Yin, Z.Z.; Zhu, T.J.; Zhao, X.B. Thermoelectric and thermomechanical properties of the hot pressed polycrystalline Bi0.5Sb1.5Te3 alloys. J. Alloys Compd. 2011, 509, 161–164. [Google Scholar] [CrossRef]
- Ibach, H.; Ruin, E. Thermal Expansion of Tellurium. Phys. Status Solidi B 1970, 41, 719–724. [Google Scholar] [CrossRef]
- Wachtman, J.B.; Cannon, W.R.; Matthewson, M.J. Mechanical Properties of Ceramics; John Wiley & Sons Inc.: New York, NY, USA, 2009. [Google Scholar]
- Hu, L.; Zhu, T.; Wang, Y.; Xie, H.; Xu, Z.; Zhao, X. Shifting up the optimum figure of merit of p-type bismuth telluride-based thermoelectric materials for power generation by suppressing intrinsic conduction. NPG Asia Mater. 2014, 6, e88. [Google Scholar] [CrossRef]
- Zhao, L.D.; Wu, H.J.; Hao, S.Q.; Wu, C.I.; Zhou, X.Y.; Biswas, K.; He, J.Q.; Hogan, T.P.; Uher, C.; Wolverton, C.; et al. All-scale hierarchical thermoelectrics: MgTe in PbTe facilitates valence band convergence and suppresses bipolar thermal transport for high performance. Energy Environ. Sci. 2013, 6, 3346–3355. [Google Scholar] [CrossRef]
- Goldsmid, H.J. Electronic Refrigeration; Pion: London, UK, 1986. [Google Scholar]
- Ren, F.; Case, E.; Timm, E.; Jacobs, M.; Schock, H. Weibull analysis of the biaxial fracture strength of a cast p-type LAST-T thermoelectric material. Philos. Mag. Lett. 2006, 86, 673–682. [Google Scholar] [CrossRef]
- Wereszczak, A.A.; Ragan, M.E.; Strong, K.T.; Ritt, P.J.; Wang, H.; Salvador, J.R.; Yang, J. Strength of n- and p-type skutterudites. In Advanced Materials for Sustainable Developments; John Wiley & Sons, Inc.: Hoboken, NJ, USA, 2010; pp. 49–59. [Google Scholar]
- Salvador, J.R.; Waldo, R.A.; Wong, C.A.; Tessema, M.; Brown, D.N.; Miller, D.J.; Wang, H.; Wereszczak, A.A.; Cai, W. Thermoelectric and mechanical properties of melt spun and spark plasma sintered n-type Yb- and Ba-filled skutterudites. Mater. Sci. Eng. B 2013, 178, 1087–1096. [Google Scholar] [CrossRef]





| Samples | Annealing Temperature | α μVK−1 | σ 104 S m−1 | p 1019 cm−3 | μH cm2 V−1 s−1 |
|---|---|---|---|---|---|
| ZM | Unannealed | 218 | 8.3 | 1.3 | 390 |
| 473 K | 220 | 8.4 | 1.3 | 404 | |
| 573 K | 218 | 8.8 | 1.3 | 423 | |
| MS10 | Unannealed | 213 | 7.3 | 1.9 | 242 |
| 473 K | 217 | 7.1 | 1.9 | 238 | |
| 573 K | 294 | 2.5 | 0.7 | 234 |
© 2017 by the authors. Licensee MDPI, Basel, Switzerland. This article is an open access article distributed under the terms and conditions of the Creative Commons Attribution (CC BY) license (http://creativecommons.org/licenses/by/4.0/).
Share and Cite
Zheng, Y.; Tan, G.; Luo, Y.; Su, X.; Yan, Y.; Tang, X. Thermal Stability of P-Type BiSbTe Alloys Prepared by Melt Spinning and Rapid Sintering. Materials 2017, 10, 617. https://doi.org/10.3390/ma10060617
Zheng Y, Tan G, Luo Y, Su X, Yan Y, Tang X. Thermal Stability of P-Type BiSbTe Alloys Prepared by Melt Spinning and Rapid Sintering. Materials. 2017; 10(6):617. https://doi.org/10.3390/ma10060617
Chicago/Turabian StyleZheng, Yun, Gangjian Tan, Yubo Luo, Xianli Su, Yonggao Yan, and Xinfeng Tang. 2017. "Thermal Stability of P-Type BiSbTe Alloys Prepared by Melt Spinning and Rapid Sintering" Materials 10, no. 6: 617. https://doi.org/10.3390/ma10060617
APA StyleZheng, Y., Tan, G., Luo, Y., Su, X., Yan, Y., & Tang, X. (2017). Thermal Stability of P-Type BiSbTe Alloys Prepared by Melt Spinning and Rapid Sintering. Materials, 10(6), 617. https://doi.org/10.3390/ma10060617
