Using B4C Nanoparticles to Enhance Thermal and Mechanical Response of Aluminum
Abstract
:1. Introduction
2. Materials and Methods
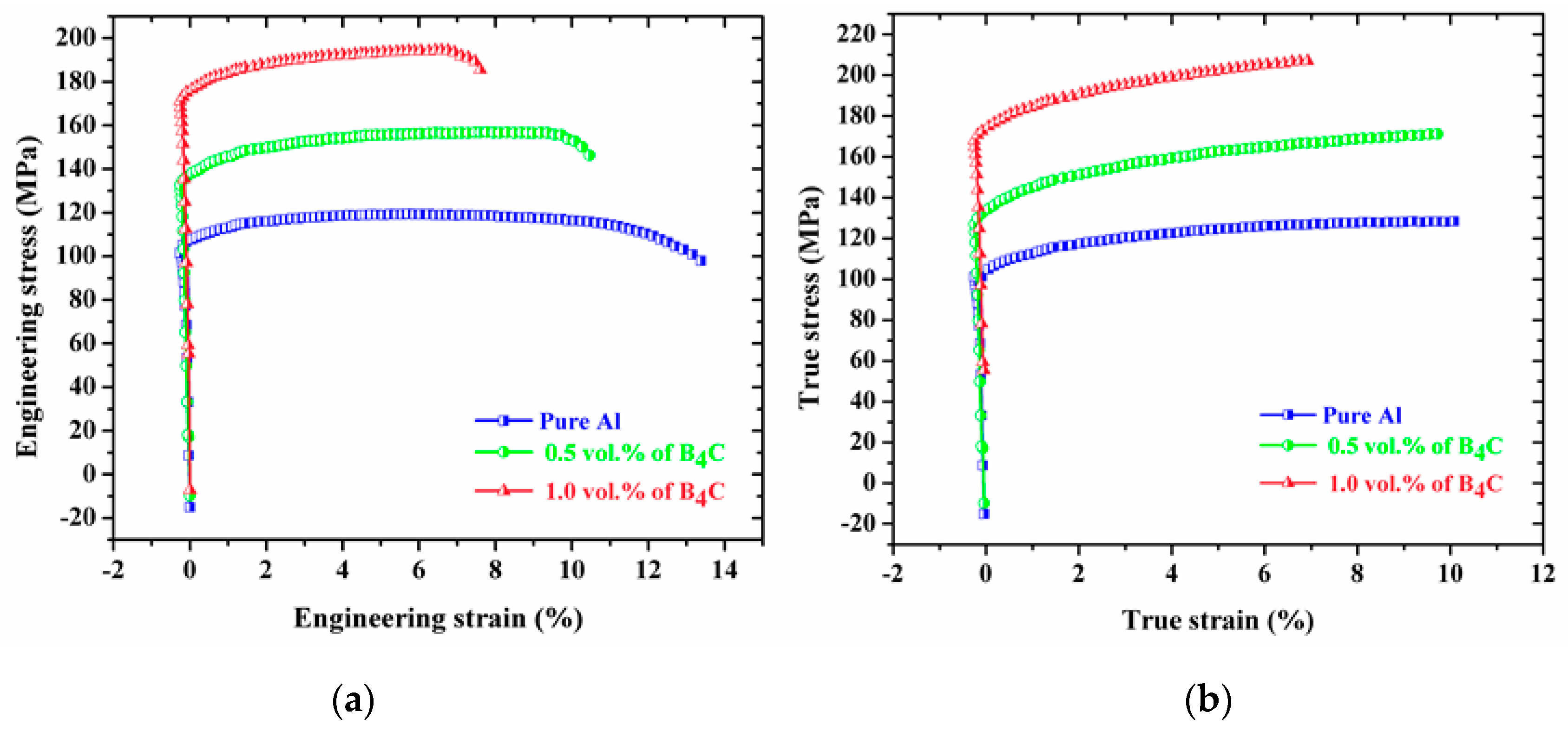
3. Results and Discussion
4. Conclusions
- The density of Al nanocomposites decreases, whereas the porosity increases with an increase in volume percentage of the reinforcement;
- The microstructural studies revealed the uniform distribution of the B4C particles in the Al matrix;
- Hardness of the Al-B4C nanocomposite increased with an increase in the amount of B4C particles;
- The CTE of the Al nanocomposites decreases with the increase in percentage of the reinforcement;
- The increasing presence of nano-sized B4C particulate leads to an increase in YS and UCS;
- The addition of hard B4C nanoparticles in pure aluminum led to an increase in both YS and UTS, but ductility behavior showed a reverse trend;
- The shear band and dimple formations were observed in Al nanocomposites under compression and tensile loading, respectively.
Acknowledgments
Author Contributions
Conflicts of Interest
References
- Miracle, D.B. Metal matrix composites from science to technological significance. Compos. Sci. Technol. 2005, 65, 2526–2540. [Google Scholar] [CrossRef]
- Miserez, A.; Mortensen, A. Fracture of aluminum reinforced with densely packed ceramic particles: Influence of matrix hardening. Acta Mater. 2004, 52, 5331–5345. [Google Scholar] [CrossRef]
- Surappa, M.K.; Rohatgi, P.K. Preparation and properties of cast aluminum-ceramic particle composites. J. Mater. Sci. 1981, 16, 983–993. [Google Scholar] [CrossRef]
- Kaczmar, J.W.; Pietrzak, K.; Wlosinski, W. The production and application of metal matrix composite materials. J. Mater. Proc. Technol. 2000, 106, 58–67. [Google Scholar] [CrossRef]
- Reddy, M.P.; Ubaid, F.; Shakoor, A.; Gururaj, P.; Vyasaraj, M.; Mohamed, A.M.A.; Gupta, M. Effect of reinforcement concentration on the properties of hot extruded Al-Al2O3 composites synthesized through microwave sintering process. Mater. Sci. Eng. A 2017, 696, 60–69. [Google Scholar] [CrossRef]
- Ghasali, E.; Pakseresht, A.; Rahbari, A.; Shahed, H.E.; Alizadeh, M.T. Mechanical properties and microstructure characterization of spark plasma and conventional sintering of Al-SiC-TiC composites. J. Alloys Compd. 2016, 666, 366–371. [Google Scholar] [CrossRef]
- Shirvanimoghaddam, K.; Khayyam, H.; Abdizadeh, H.; Akbari, M.K.; Pakseresht, A.H.; Ghasali, E.; Naebe, M. Boron carbide reinforced aluminum matrix composite: Physical, mechanical characterization and mathematical modeling. Mater. Sci. Eng. A 2016, 658, 135–149. [Google Scholar] [CrossRef]
- Reddy, M.P.; Ubaid, F.; Shakoor, A.; Mohamed, A.M.A.; Madhuri, W. Structural and mechanical properties of microwave sintered Al-Ni50Ti50 composites. J. Sci. Adv. Mater. Dev. 2016, 1, 362–366. [Google Scholar]
- Alizadeh, A.; Nassaj, E.T.; Baharvandi, H.R. Preparation and investigation of Ale4 wt % B4C nanocomposite powders using mechanical milling. Bull. Mater. Sci. 2011, 34, 1039–1048. [Google Scholar] [CrossRef]
- Lee, S.H.; Kima, H.D.; Choi, S.C.; Nishimura, T.; Lee, J.S.; Tanaka, H. Chemical composition and microstructure of Al3BC3 prepared by different densification methods. J. Eur. Ceram. Soc. 2010, 30, 1015–1020. [Google Scholar] [CrossRef]
- Antony, M.D.; Prakash, A.; Jaswin, M.A. Microstructural analysis of aluminum hybrid metal matrix composites developed using stir casting process. Int. J. Adv. Eng. 2015, 1, 333–339. [Google Scholar]
- Liu, B.; Huang, W.M.; Wang, H.W.; Wang, M.L.; Li, X.F. Compressive behavior of high particle content B4C/Al composite at elevated temperature. Trans. Nonferrous Met. Soc. China 2013, 23, 2826–2832. [Google Scholar] [CrossRef]
- Alihosseini, H.; Dehghani, K.; Kamali, J. Manufacturing seamless square tubes of B4C-reinforced aluminum composites by extrusion. Int. J. Adv. Manuf. Technol. 2017, 90, 1921–1930. [Google Scholar] [CrossRef]
- Ghasali, E.; Alizadeh, V.; Ebadzadeh, T. Mechanical and microstructure comparison between microwave and spark plasma sintering of Al-B4C composite. J. Alloy. Compd. 2016, 655, 93–98. [Google Scholar] [CrossRef]
- Ghasali, E.; Alizadeh, M.; Ebadzadeh, T.; Pakseresht, A.H.; Rahbari, V. Investigation on microstructural and mechanical properties of B4C—Aluminum matrix composites prepared by microwave sintering. J. Mater. Res. Technol. 2015, 4, 411–415. [Google Scholar] [CrossRef]
- Inoue, A.; Yamamoto, M.; Kimura, H.M.; Masumoto, V. Ductile aluminum-base amorphous alloys with two separate phases. J. Mater. Sci. Lett. 1987, 6, 194–196. [Google Scholar] [CrossRef]
- Kim, D.H.; Kim, W.T. Formation and crystallization of Al–Ni–Ti amorphous alloys. Mater. Sci. Eng. A 2004, 385, 44–53. [Google Scholar] [CrossRef]
- Olszo, A.; Szala, J.; Śleziona, V.; Foramen, B.; Myalski, J. Influence of Al–Al2O3 composite powder on the matrix microstructure in composite casts. Mater. Cheract. 2002, 49, 165–169. [Google Scholar] [CrossRef]
- Zakaria, H.M. Microstructural and corrosion behavior of Al/SiC metal matrix composites. Ain Shams Eng. J. 2014, 5, 831–838. [Google Scholar] [CrossRef]
- Singh, V.; Chauhan, S.; Gope, P.C. Enhancement of wettability of aluminum based silicon carbide reinforced particulate metal matrix composite. High Temp. Mater. Proc. 2015, 34, 163–170. [Google Scholar] [CrossRef]
- Gururaj, P.; Vyasaraj, M.; Kumar, M.G.; Gupta, M. Enhancing the hardness/compression/damping response of magnesium by reinforcing with biocompatiblesilica nanoparticulates. Int. J. Mater. Res. 2016, 107, 1091–1099. [Google Scholar]
- Standard Test Method for Knoop and Vickers Hardness of Materials; ASTM E384-08; ASTM International: West Conshohocken, PA, USA, 2011.
- Standard Test Methods of Compression Testing of Metallic Materials at Room Temperature; ASTM E9-89a; ASTM International: West Conshohocken, PA, USA, 2009.
- Standard Test Methods for Tension Testing of Metallic Materials; ASTM E8M-01; ASTM International: West Conshohocken, PA, USA, 2015.
- Busquets, D.; Amigo, V.; Salvador, M.D. Analysis of boron carbide aluminum matrix composites. J. Compos. Mater. 2009, 43, 987–995. [Google Scholar]
- Sezer, A.O.; Brand, J.I. Chemical vapor deposition of boron carbide. Mater. Sci. Eng. B 2010, 79, 191–202. [Google Scholar] [CrossRef]
- Vintila, R.; Charest, A.; Drew, R.A.L. Synthesis and consolidation via spark plasma sintering of nanostructured Al-5356/B4C composite. Mater. Sci. Eng. A 2011, 528, 4395–4407. [Google Scholar] [CrossRef]
- Prasad, V.V.B.; Bhat, B.V.R.; Mahajan, Y.R. Structure-property correlation in discontinuously reinforced aluminum matrix composites as a function of relative particle size ratio. Mater. Sci. Eng. A 2002, 337, 179–186. [Google Scholar] [CrossRef]
- Khakbiz, M.; Akhlaghi, F. Synthesis and structural characterization of Al-B4C nano composite powders by mechanical alloying. J. Alloys Compd. 2009, 479, 334–341. [Google Scholar] [CrossRef]
- Wong, W.L.E.; Gupta, M. Using microwave energy to synthesize light weight/energy saving magnesium based materials: A review. Technologies 2015, 3, 1–18. [Google Scholar] [CrossRef]
- Abouelmagd, G. Hot deformation and wear resistance of P/M aluminum metal matrix composite. J. Mater. Proc. Technol. 2004, 155, 1395–1401. [Google Scholar] [CrossRef]
- Sharifi, M.E.; Karimzadeh, F.; Enayati, M.H. Fabrication and evaluation of mechanical and tribological properties of boron carbide reinforced aluminum matrix nanocomposites. Mater. Des. 2011, 32, 3263–3271. [Google Scholar] [CrossRef]
- Zheng, R.; Hao, X.; Yuan, Y. Effect of high volume fraction of B4C particles on the microstructure and mechanical properties of aluminum alloy based composites. J. Alloys Compd. 2013, 576, 291–298. [Google Scholar] [CrossRef]
- Thevenot, F. Boron carbide—A comprehensive review. J. Eur. Ceram. Soc. 1990, 6, 205–225. [Google Scholar] [CrossRef]
- Chu, K.; Jia, C.C.; Li, W.S. On CTE of SPS consolidated SiCp/Al composites with various particle size distributions. J. Mater. Sci. Technol. 2012, 28, 1397–1401. [Google Scholar] [CrossRef]
- Radhika, N.; Raghu, R. Development of functionally graded aluminum composites using centrifugal casting and influence of reinforcements on mechanical and wear properties. Trans. Nonferrous Met. Soc. China 2016, 26, 905–916. [Google Scholar] [CrossRef]
- Donnish, V.; Reynaud, S.; Haber, R.A. Boron carbide: Structure, properties, and stability under stress. J. Am. Ceram. Soc. 2011, 94, 3605–3628. [Google Scholar]
- Topcu, I.; Gulsoy, H.O.; Kadioglu, N. Processing and mechanical properties of B4C reinforced Al matrix composites. J. Alloys Compd. 2009, 482, 516–521. [Google Scholar] [CrossRef]
- Rama Rao, S.; Padmanabhan, G. Fabrication and mechanical properties of aluminum-boron carbide composites. Int. J. Mater. Biomater. Appl. 2012, 2, 15–18. [Google Scholar]
- Meenashisundaram, G.K.; Nai, M.H.; Gupta, M. Effects of primary processing techniques and significance of hall-petch strengthening on the mechanical response of magnesium matrix composites containing TiO2 nanoparticulates. Nanomaterials 2015, 5, 1256–1283. [Google Scholar] [CrossRef] [PubMed]
- Zhang, Z.; Chen, D.L. Contribution of Orowan strengthening effect in particulate reinforced metal matrix nanocomposites. Mater. Sci. Eng. A 2008, 483, 148–152. [Google Scholar] [CrossRef]
- Hassan, S.F.; Gupta, M. Effect of particulate size of alumina reinforcement on microstructure and mechanical behavior of solidification processed elemental Mg. J. Alloys Compd. 2006, 419, 84–90. [Google Scholar] [CrossRef]
- Kouzeli, M.; Mortensen, A. Size dependent strengthening in particle reinforced aluminum. Acta Mater. 2002, 50, 39–51. [Google Scholar] [CrossRef]










| Sample | Hardness | Young’s Modulus (GPa) | Compressive Properties | Tensile Properties | ||||
|---|---|---|---|---|---|---|---|---|
| (Hv) | (GPa) | CYS (MPa) | UCS(MPa) | TYS (MPa) | UTS (MPa) | Elongation (%) | ||
| Pure Al | 37.14 | 5.15 | 73.19 | 79.10 | 313.63 | 105.12 | 116.41 | 13.6 |
| Al-0.5 vol. % B4C | 78.85 | 9.60 | 78.52 | 98.56 | 482.54 | 132.68 | 156.90 | 10.6 |
| Al-1.0 vol. % B4C | 135.56 | 17.44 | 88.63 | 124.24 | 524.67 | 173.14 | 194.41 | 7.7 |
© 2017 by the authors. Licensee MDPI, Basel, Switzerland. This article is an open access article distributed under the terms and conditions of the Creative Commons Attribution (CC BY) license (http://creativecommons.org/licenses/by/4.0/).
Share and Cite
Ubaid, F.; Matli, P.R.; Shakoor, R.A.; Parande, G.; Manakari, V.; Mohamed, A.M.A.; Gupta, M. Using B4C Nanoparticles to Enhance Thermal and Mechanical Response of Aluminum. Materials 2017, 10, 621. https://doi.org/10.3390/ma10060621
Ubaid F, Matli PR, Shakoor RA, Parande G, Manakari V, Mohamed AMA, Gupta M. Using B4C Nanoparticles to Enhance Thermal and Mechanical Response of Aluminum. Materials. 2017; 10(6):621. https://doi.org/10.3390/ma10060621
Chicago/Turabian StyleUbaid, Fareeha, Penchal Reddy Matli, Rana Abdul Shakoor, Gururaj Parande, Vyasaraj Manakari, Adel Mohamed Amer Mohamed, and Manoj Gupta. 2017. "Using B4C Nanoparticles to Enhance Thermal and Mechanical Response of Aluminum" Materials 10, no. 6: 621. https://doi.org/10.3390/ma10060621
APA StyleUbaid, F., Matli, P. R., Shakoor, R. A., Parande, G., Manakari, V., Mohamed, A. M. A., & Gupta, M. (2017). Using B4C Nanoparticles to Enhance Thermal and Mechanical Response of Aluminum. Materials, 10(6), 621. https://doi.org/10.3390/ma10060621

