Synthesis, Characterization and Hexavalent Chromium Adsorption Characteristics of Aluminum- and Sucrose-Incorporated Tobermorite
Abstract
:1. Introduction
2. Experimental
2.1. Hydrothermal Synthesis
2.2. Characterization Methods
2.3. Adsorption Experiments
3. Results and Discussion
3.1. Synthesis of Tobermorite
3.2. Effects of Aluminum and Sucrose on Tobermorite
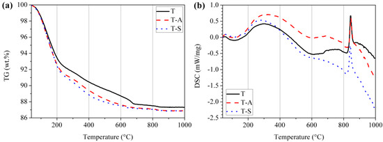
3.2.1. TG-DSC Analysis
3.2.2. FT-IR Analysis
3.2.3. NMR Analysis
3.2.4. SEM Analysis
3.2.5. BET Analysis
3.3. Cr(VI) Adsorption Characteristics
3.3.1. Effects of Solution pH
3.3.2. Effects of Contact Time and Adsorption Kinetic Study
3.3.3. Effects of the Initial Concentration of Cr(VI) and Adsorption Isotherms
3.3.4. Adsorption Mechanism
4. Conclusions
Acknowledgments
Author Contributions
Conflicts of Interest
References
- Hartmann, A.; Buhl, J.-C.H.; Van Breugel, K. Structure and phase investigations on crystallization of 11 Å tobermorite in lime sand pellets. Cem. Concr. Res. 2007, 37, 21–31. [Google Scholar] [CrossRef]
- Mostafa, N.Y.; Shaltout, A.A.; Omar, H.; Abo-El-Enein, S.A. Hydrothermal synthesis and characterization of aluminium and sulfate substituted 1.1 nm tobermorites. J. Alloy. Compd. 2009, 467, 332–337. [Google Scholar] [CrossRef]
- Komarneni, S.; Roy, R.; Roy, D.M.; Fyfe, C.A.; Kennedy, G.J.; Bothner-By, A.A.; Dadok, J.; Chesnick, A.S. 27Al and 29Si magic angle spinning nuclear magnetic resonance spectroscopy of Al-substituted tobermorites. J. Mater. Sci. 1985, 20, 4209–4214. [Google Scholar] [CrossRef]
- Komarneni, S.; Komarneni, J.S.; Newalkar, B.; Stout, S. Microwave-hydrothermal synthesis of Al-substituted tobermorite from zeolites. Mater. Res. Bull. 2002, 37, 1025–1032. [Google Scholar] [CrossRef]
- Shaw, S.; Clark, S.M.; Henderson, C.M.B. Hydrothermal formation of the calcium silicate hydrates, tobermorite (Ca5Si6O16(OH)2·4H2O) and xonotlite (Ca6Si6O17(OH)2): An in situ synchrotron study. Chem. Geol. 2000, 167, 129–140. [Google Scholar] [CrossRef]
- Eℓ-Hemaly, S.A.S.; Mitsudab, T.; Taylora, H.F.W. Synthesis of normal and anomalous tobermorites. Cem. Concr. Res. 1977, 7, 429–438. [Google Scholar] [CrossRef]
- Coleman, N.J.; Brassington, D.S. Synthesis of Al-substituted 11 Å tobermorite from newsprint recycling residue: A feasibility study. Mater. Res. Bull. 2003, 38, 485–497. [Google Scholar] [CrossRef]
- Coleman, N.J. Synthesis, structure and ion exchange properties of 11 Å tobermorites from newsprint recycling residue. Mater. Res. Bull. 2005, 40, 2000–2013. [Google Scholar] [CrossRef]
- Sun, G.K.; Young, J.F.; Kirkpatrick, R.J. The role of Al in C-S-H: NMR, XRD, and compositional results for precipitated samples. Cem. Concr. Res. 2006, 36, 18–29. [Google Scholar] [CrossRef]
- Black, L.; Stumm, A.; Garbev, K.; Stemmermann, P.; Hallam, K.R.; Allen, G.C. X-ray photoelectron spectroscopy of aluminium-substituted tobermorite. Cem. Concr. Res. 2005, 35, 51–55. [Google Scholar] [CrossRef]
- Coleman, N.J. Interactions of Cd(II) with waste-derived 11 Å tobermorites. Sep. Purif. Technol. 2006, 48, 62–70. [Google Scholar] [CrossRef]
- Tsutsumi, T.; Nishimoto, S.; Kameshima, Y.; Miyake, M. Hydrothermal preparation of tobermorite from blast furnace slag for Cs+ and Sr2+ sorption. J. Hazard. Mater. 2014, 266, 174–181. [Google Scholar] [CrossRef] [PubMed]
- Mostafa, N.Y.; Kishar, E.A.; Abo-El-Enein, S.A. FTIR study and cation exchange capacity of Fe3+- and Mg2+-substituted calcium silicate hydrates. J. Alloy. Compd. 2009, 473, 538–542. [Google Scholar] [CrossRef]
- Salgado-Gómez, N.; Macedo-Miranda, M.G.; Olguín, M.T. Chromium VI adsorption from sodium chromate and potassium dichromate aqueous systems by hexadecyltrimethylammonium-modified zeolite-rich tuff. Appl. Clay Sci. 2014, 95, 197–204. [Google Scholar] [CrossRef]
- Thanos, A.G.; Katsou, E.; Malamis, S.; Psarras, K.; Pavlatou, E.A.; Haralambous, K.J. Evaluation of modified mineral performance for chromate sorption from aqueous solutions. Chem. Eng. J. 2012, 211–212, 77–88. [Google Scholar] [CrossRef]
- Eloussaief, M.; Kallel, N.; Yaacoubi, A.; Benzina, M. Mineralogical identification, spectroscopic characterization, and potential environmental use of natural clay materials on chromate removal from aqueous solutions. Chem. Eng. J. 2011, 168, 1024–1031. [Google Scholar] [CrossRef]
- Adamczuk, A.; Kołodyńska, D. Equilibrium, thermodynamic and kinetic studies on removal of chromium, copper, zinc and arsenic from aqueous solutions onto fly ash coated by chitosan. Chem. Eng. J. 2015, 274, 200–212. [Google Scholar] [CrossRef]
- Zdemir, E.; Duranolu, D.; Beker, Ü.; Avc, A.Ö. Process optimization for Cr(VI) adsorption onto activated carbons by experimental design. Chem. Eng. J. 2011, 172, 207–218. [Google Scholar] [CrossRef]
- Yuan, P.; Fan, M.D.; Yang, D.; He, H.P.; Liu, D.; Yuan, A.H.; Zhu, J.X.; Chen, T.H. Montmorillonite-supported magnetite nanoparticles for the removal of hexavalent chromium [Cr(VI)] from aqueous solutions. J. Hazard. Mater. 2009, 166, 821–829. [Google Scholar] [CrossRef] [PubMed]
- Dehghani, M.H.; Taher, M.M.; Bajpai, A.K.; Heibati, B.; Tyagi, I.; Asif, M.; Agarwal, S.; Gupta, V.K. Removal of noxious Cr(VI) ions using single-walled carbon nanotubes and multi-walled carbon nanotubes. Chem. Eng. J. 2015, 279, 344–352. [Google Scholar] [CrossRef]
- Rojas, G.; Silva, J.; Flores, J.A.; Rodriguez, A.; Ly, M.; Maldonado, H. Adsorption of chromium onto cross-linked chitosan. Sep. Purif. Technol. 2005, 44, 31–36. [Google Scholar] [CrossRef]
- Pardal, X.; Pochard, I.; Nonat, A. Experimental study of Si-Al substitution in calcium-silicate-hydrate (C-S-H) prepared under equilibrium conditions. Cem. Concr. Res. 2009, 39, 637–643. [Google Scholar] [CrossRef]
- Mostafa, N.Y. Influence of air-cooled slag on physicochemical properties ofautoclaved aerated concrete. Cem. Concr. Res. 2005, 35, 1349–1357. [Google Scholar] [CrossRef]
- Cameron, F.K.; Pattern, H.E. The solubility of lime in aqueous solutions of sugar and glycerol. J. Phys. Chem. 1910, 15, 67–72. [Google Scholar] [CrossRef]
- Al-Wakeel, E.I.; El-Korashy, S.A. Reaction mechanism of the hydrothermally treated CaO-SiO2-Al2O3 and CaO-SiO2-Al2O3-CaSO4 systems. J. Mater. Sci. 1996, 31, 1909–1913. [Google Scholar] [CrossRef]
- Mackenzie, J.E.; Quin, J.P. CXXVII.—Compounds of hydroxides of the alkaline earths with sugars. J. Chem. Soc. 1929, 951–964. [Google Scholar] [CrossRef]
- Tränkle, S.; Jahn, D.; Neumann, T.; Nicoleau, L.; Hüsing, N.; Volkmer, D. Conventional and microwave assisted hydrothermal syntheses of 11 Å tobermorite. J. Mater. Chem. A 2013, 35, 10318–10326. [Google Scholar] [CrossRef]
- Maeshima, T.; Noma, H.; Sakiyama, M.; Mitsuda, T. Natural 1.1 and 1.4 nm tobermorites from Fuka, Okayama, Japan: Chemical analysis, cell dimensions, 29Si NMR and thermal behavior. Cem. Concr. Res. 2003, 33, 1515–1523. [Google Scholar] [CrossRef]
- Wang, S.P.; Peng, X.Q.; Tang, L.P.; Zeng, L.; Lan, C. Influence of inorganic admixtures on the 11 Å-tobermorite formation prepared from steel slags: XRD and FTIR analysis. Constr. Build. Mater. 2014, 60, 42–47. [Google Scholar] [CrossRef]
- Gabrovšek, R.; Kurbus, B.; Mueller, D.; Wieker, W. Tobermorite formation in the system CaO, C3S-SiO2-Al2O3-NaOH-H2O under hydrothermal conditions. Cem. Concr. Res. 1993, 23, 321–328. [Google Scholar] [CrossRef]
- Bae, S.; Taylor, R.; Kilcoyne, D.; Moon, J.; Monteiro, P.J.M. Effects of incorporating high-volume fly ash into tricalcium silicate on the degree of silicate polymerization and aluminum substitution for silicon in calcium silicate hydrate. Materials 2017, 10, 131. [Google Scholar] [CrossRef]
- Youssef, H.; Ibrahim, D.; Komarneni, S.; Mackenzie, K.J.D. Synthesis of 11 Å Al-substituted tobermorite from trachyte rock by hydrothermal treatment. Ceram. Int. 2010, 36, 203–209. [Google Scholar] [CrossRef]
- Carja, G.; Nakamura, R.; Aida, T.; Niiyama, H. Texturtal properties of layered double hydroxides: Effect of magnesium substitution by copper or iron. Microporous Mesoporous Mater. 2001, 47, 275–284. [Google Scholar] [CrossRef]
- Guan, W.; Ji, F.Y.; Chen, Q.K.; Yan, P.; Zhang, Q. Preparation and phosphorus recovery performance of porous Calcium-silicate-hydrate. Ceram. Int. 2013, 39, 1385–1391. [Google Scholar] [CrossRef]
- Odler, I. The BET-specific surface area of hydrated Portland cement and related materials. Cem. Concr. Res. 2003, 33, 2049–2056. [Google Scholar] [CrossRef]
- Wu, Q.P.; You, R.R.; Lv, Q.F.; Xu, Y.L.; You, W.J.; Yu, Y. Efficient simultaneous removal of Cu(II) and Cr2O72− from aqueous solution by a renewable amphoteric functionalized mesoporous silica. Chem. Eng. J. 2015, 281, 491–501. [Google Scholar] [CrossRef]
- Li, T.; Shen, J.F.; Huang, S.T.; Li, N.; Ye, M.X. Hydrothermal carbonization synthesis of a novel montmorillonite supported carbon nanosphere adsorbent for removal of Cr(VI) from waste water. Appl. Clay Sci. 2014, 93–94, 48–55. [Google Scholar] [CrossRef]
- Doyle, W.P.; Eddy, P. Infra-red of chromates (V) of calcium, strontium and barium. Spectrochim. Acta A 1967, 28, 1903–1907. [Google Scholar] [CrossRef]















| Temperature Range (°C) | Weight Change (%) | ||
|---|---|---|---|
| T | T-A | T-S | |
| 40–100 | 1.48 | 1.64 | 1.66 |
| 100–400 | 8.06 | 8.95 | 9.48 |
| 650–720 | 0.54 | 0.13 | 0.10 |
| Total | 12.68 | 13.12 | 13.17 |
| Sample | Pseudo-First-Order Model | Pseudo-Second-Order Model | ||||
|---|---|---|---|---|---|---|
| qe (mg/g) | k1 (min−1) | R2 | qe (mg/g) | k2 × 103 (mg/g/min) | R2 | |
| T | 10.79 | 0.01518 | 0.9851 | 12.98 | 1.9040 | 0.9929 |
| T-A | 20.37 | 0.01757 | 0.9125 | 21.48 | 1.0251 | 0.9883 |
| T-S | 22.57 | 0.02257 | 0.9652 | 23.43 | 1.2394 | 0.9967 |
| Sample | Langmuir Isotherm | Freundlich Isotherm | ||||
|---|---|---|---|---|---|---|
| qm (mg/g) | KL (L/mg) | R2 | kF | n | R2 | |
| T | 14.27 | 0.0243 | 0.9991 | 1.5362 | 2.54 | 0.9293 |
| T-A | 28.92 | 0.0116 | 0.9768 | 0.9557 | 1.70 | 0.9277 |
| T-S | 31.65 | 0.0109 | 0.9767 | 0.9704 | 1.67 | 0.9341 |
| Adsorbents | Sarea (m2/g) | qmax (mg/g) | Equilibrium Time (h) | Optimum pH | T (°C) | References |
|---|---|---|---|---|---|---|
| T | 67.04 | 14.27 | 3 | 4 | 20 | This study |
| T-A | 74.39 | 28.92 | 3 | 4 | 20 | This study |
| T-S | 89.19 | 31.65 | 3 | 3 | 20 | This study |
| Zeolite-rich tuff | 5.29 | 1.16 | 2 | 3 | 18 | [14] |
| Vermiculite | - | 27 | 3 | 4 | 25 | [15] |
| Bentonite | - | 24 | 3 | 4 | 25 | [15] |
| Attapulgite | - | 15 | 3 | 4 | 25 | [15] |
| Zeolite | - | 13 | 3 | 4 | 25 | [15] |
| Natural clay | 116 | 4.5 | 2 | 5 | 20 | [16] |
| Natural clay | 140 | 10.9 | 2 | 5 | 20 | [16] |
| Activated carbons | 1462 | 262 | 24 | 2 | 60 | [18] |
| Magnetite nanoparticles | - | 15.3 | 2 | 2.5 | 25 | [19] |
| CNT | 700 (SWCNT); 270 (MWCNT) | 2.35 (SWCNT); 1.26 (MWCNT) | 1 | 2.5 | 25 | [20] |
| chitosan | - | 215 | - | 4 | 25 | [21] |
© 2017 by the authors. Licensee MDPI, Basel, Switzerland. This article is an open access article distributed under the terms and conditions of the Creative Commons Attribution (CC BY) license (http://creativecommons.org/licenses/by/4.0/).
Share and Cite
Zhao, Z.; Wei, J.; Li, F.; Qu, X.; Shi, L.; Zhang, H.; Yu, Q. Synthesis, Characterization and Hexavalent Chromium Adsorption Characteristics of Aluminum- and Sucrose-Incorporated Tobermorite. Materials 2017, 10, 597. https://doi.org/10.3390/ma10060597
Zhao Z, Wei J, Li F, Qu X, Shi L, Zhang H, Yu Q. Synthesis, Characterization and Hexavalent Chromium Adsorption Characteristics of Aluminum- and Sucrose-Incorporated Tobermorite. Materials. 2017; 10(6):597. https://doi.org/10.3390/ma10060597
Chicago/Turabian StyleZhao, Zhiguang, Jiangxiong Wei, Fangxian Li, Xiaoling Qu, Liang Shi, Haidong Zhang, and Qijun Yu. 2017. "Synthesis, Characterization and Hexavalent Chromium Adsorption Characteristics of Aluminum- and Sucrose-Incorporated Tobermorite" Materials 10, no. 6: 597. https://doi.org/10.3390/ma10060597
APA StyleZhao, Z., Wei, J., Li, F., Qu, X., Shi, L., Zhang, H., & Yu, Q. (2017). Synthesis, Characterization and Hexavalent Chromium Adsorption Characteristics of Aluminum- and Sucrose-Incorporated Tobermorite. Materials, 10(6), 597. https://doi.org/10.3390/ma10060597
