Self-Compliant Bipolar Resistive Switching in SiN-Based Resistive Switching Memory
Abstract
:1. Introduction
2. Experimental
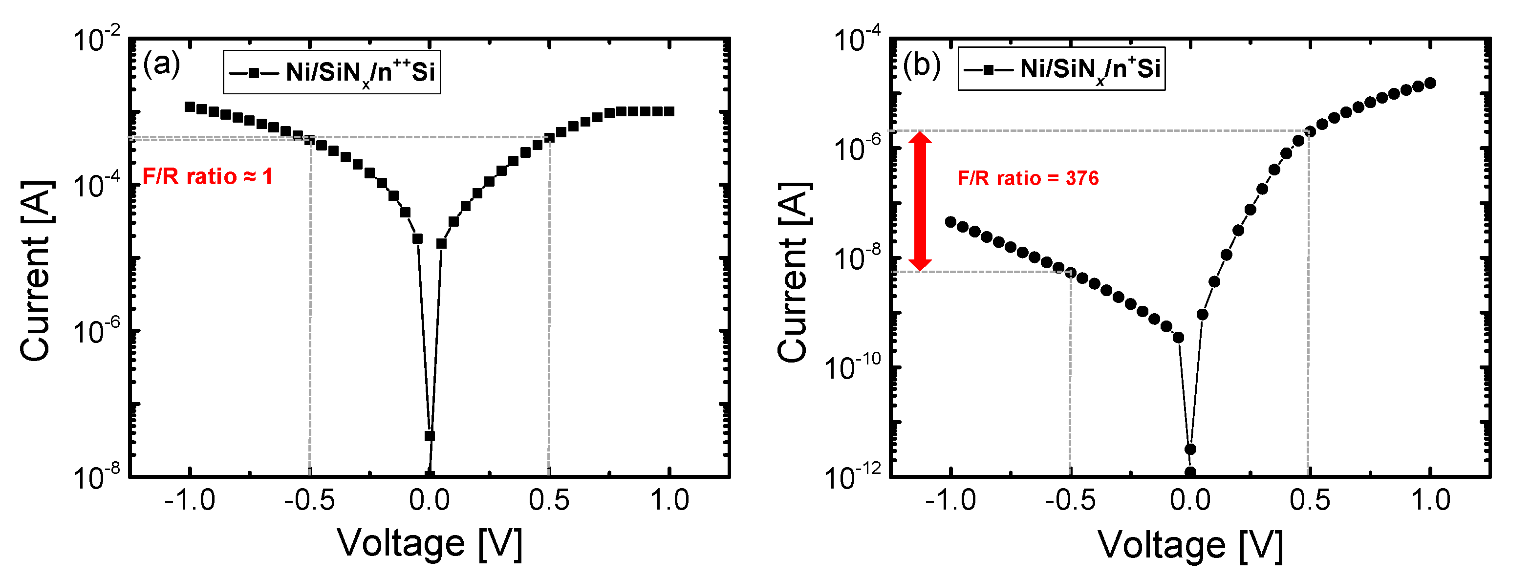
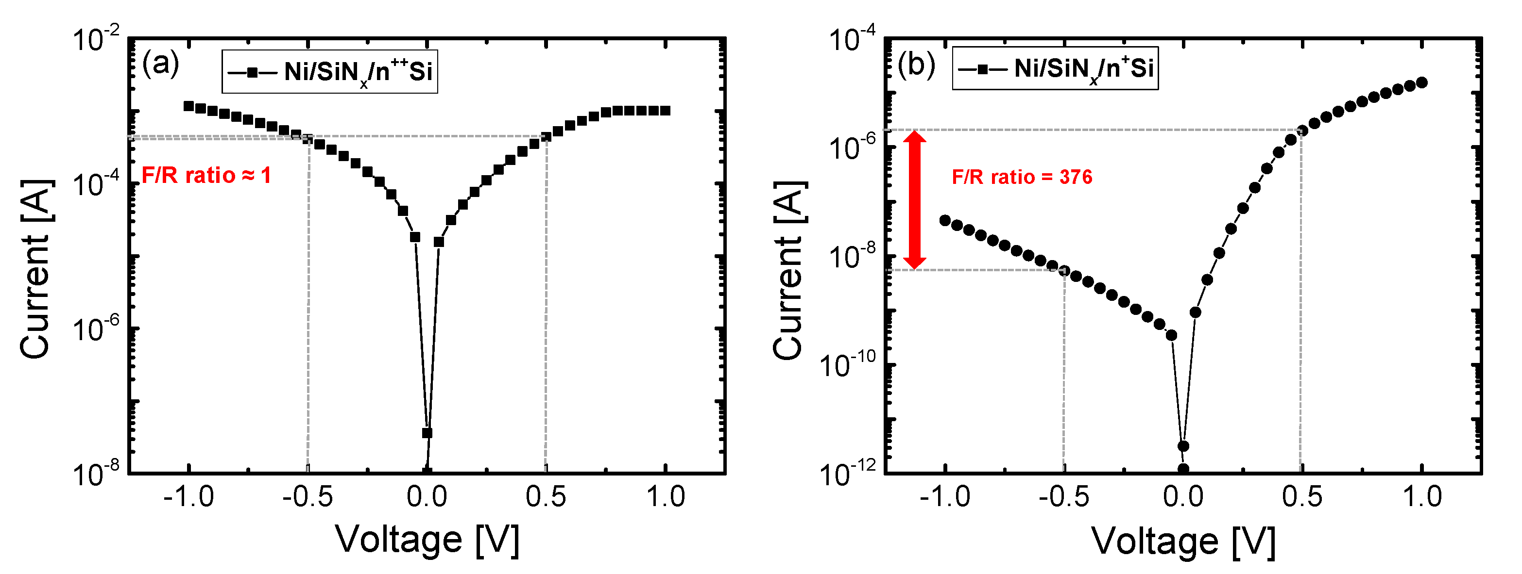
3. Results and Discussion
4. Conclusions
Acknowledgments
Author Contributions
Conflicts of Interest
References
- Kim, Y.; Kang, M.; Park, S.H.; Park, B.G. Three-Dimensional NAND Flash Memory Based on Single-Crystalline Channel Stacked Array. IEEE Electron. Device Lett. 2013, 34, 990–992. [Google Scholar] [CrossRef]
- Goux, L.; Lisoni, J.G.; Jurczak, M.; Wouters, D.J.; Courtade, L.; Muller, C. Coexistence of the bipolar and unipolar resistive-switching modes in NiO cells made by thermal oxidation of Ni layers. J. Appl. Phys. 2010, 107, 024512. [Google Scholar] [CrossRef]
- Xu, N.; Liu, L.F.; Sun, X.; Chen, C.; Wang, Y.; Han, D.D.; Liu, X.Y.; Han, R.Q.; Kang, J.F.; Yu, B. Bipolar switching behavior in TiN/ZnO/Pt resistive nonvolatile memory with fast switching and long retention. Semicond. Sci. Technol. 2008, 23, 075019. [Google Scholar] [CrossRef]
- Chen, B.; Gao, B.; Sheng, S.W.; Liu, L.F.; Liu, X.Y.; Chen, Y.S.; Wang, Y.; Han, R.Q.; Yu, B.; Kang, J.F. A novel operation scheme for oxide-based resistive-switching memory devices to achieve controlled switching behaviors. IEEE Electron. Device Lett. 2011, 32, 282–284. [Google Scholar] [CrossRef]
- Wong, H.S.P.; Lee, H.Y.; Yu, S.; Chen, Y.S.; Wu, Y.; Chen, P.S.; Lee, B.; Chen, F.T.; Tsai, M.J. Metal-Oxide RRAM. Proc. IEEE 2012, 100, 1951–1970. [Google Scholar] [CrossRef]
- Linn, E.; Rosezin, R.; Kügeler, C.; Waser, R. Complementary resistive switches for passive nanocrossbar memories. Nat. Mater. 2010, 9, 403–406. [Google Scholar] [CrossRef] [PubMed]
- Chang, Y.F.; Chen, P.Y.; Chen, Y.T.; Xue, F.; Wang, Y.; Zhou, F.; Fowler, B.; Lee, J.C. Study of polarity effect in SiOx-based resistive switching memory. Appl. Phys. Lett. 2012, 101, 052111. [Google Scholar] [CrossRef]
- Chang, Y.F.; Chen, P.Y.; Fowler, B.; Chen, Y.T.; Xue, F.; Wang, Y.; Zhou, F.; Lee, J.C. Understanding the resistive switching characteristics and mechanism in active SiOx-based resistive switching memory. J. Appl. Phys. 2012, 112, 123702. [Google Scholar] [CrossRef]
- Hsieh, C.C.; Roy, A.; Rai, A.; Chang, Y.F.; Banergee, S.K. Characteristics and mechanism study of cerium oxide based random access memories. Appl. Phys. Lett. 2015, 106, 173108. [Google Scholar] [CrossRef]
- Celano, U.; Goux, L.; Degraeve, R.; Fantini, A.; Richard, O.; Bender, H.; Jurczak, M.; Vandervorst, W. Imaging the three-dimensional conductive channel in filamentary-based oxide resistive switching memory. Nano Lett. 2015, 15, 7970–7975. [Google Scholar] [CrossRef] [PubMed]
- Chang, Y.F.; Chang, T.C.; Chang, C.Y. Investigation statistics of bipolar multilevel memristive mechanism and characterizations in a thin FeOx transition layer of TiN/SiO2/FeOx/Fe structure. J. Appl. Phys. 2011, 110, 053703. [Google Scholar] [CrossRef]
- Feng, L.W.; Chang, C.Y.; Chang, Y.F.; Chang, T.C.; Wang, S.Y.; Chen, S.C.; Lin, C.C.; Chen, S.C.; Chiang, P.W. Improvement of resistance switching characteristics in a thin FeOx transition layer of TiN/SiO2/FeOx/FePt structure by rapid annealing. Appl. Phys. Lett. 2010, 96, 222108. [Google Scholar] [CrossRef]
- Wang, Z.Q.; Li, X.H.; Xu, H.Y.; Wang, W.; Yu, H.; Zhang, X.T.; Liu, Y.X.; Liu, Y.C. Effects of compliance currents on the formation and rupture of conducting filaments in unipolar resistive switching of CoO film. J. Phys. D Appl. Phys. 2010, 43, 385105. [Google Scholar] [CrossRef]
- Long, S.; Lian, X.; Ye, T.; Cagli, C.; Perniola, L.; Miranda, E.; Liu, M.; Suñé, J. Cycle-to-cycle intrinsic reset satistics in HfO2-based unipolar RRAM devices. IEEE Electron. Device Lett. 2013, 34, 623–625. [Google Scholar] [CrossRef]
- Lee, M.J.; Lee, C.B.; Lee, D.; Lee, S.R.; Chang, M.; Hur, J.H.; Kim, Y.B.; Kim, C.J.; Seo, D.H.; Seo, S.; et al. A fast, high-endurance and scalable non-volatile memory device made from asymmetric Ta2O5-X/TaO2-X bilayer structures. Nat. Mater. 2011, 10, 625–630. [Google Scholar] [CrossRef] [PubMed]
- Kim, S.; Kim, H.D.; Choi, S.J. Numerical study of read scheme in one-selector one-resistor crossbar array. Solid-State Electron. 2015, 114, 80–86. [Google Scholar] [CrossRef]
- Zhou, J.; Kim, K.H.; Lu, W. Crossbar RRAM Arrays: Selector Device Requirements during Read Operation. IEEE Trans. Electron. Device Lett. 2014, 61, 1369–1367. [Google Scholar] [CrossRef]
- Chang, K.C.; Chang, T.C.; Tsai, T.M.; Zhang, R.; Hung, Y.C.; Syu, Y.E.; Chang, Y.F.; Chen, M.C.; Chu, T.J.; Chen, H.L.; et al. Physical and chemical mechanisms in oxide-based resistance random access memory. Nanoscale Res. Lett. 2015, 10, 120. [Google Scholar] [CrossRef] [PubMed]
- Chang, Y.F.; Fowler, B.; Chen, Y.C.; Zhou, F.; Pan, C.H.; Chang, T.C.; Lee, J.C.; Chang, T.C.; Chang, C.Y. Demonstration of Synaptic Behaviors and Resistive Switching Characterizations by Proton Exchange Reactions in Silicon Oxide. Sci. Rep. 2016, 6, 21268. [Google Scholar] [CrossRef] [PubMed]
- Huang, J.J.; Tseng, Y.M.; Hsu, C.W.; Hou, T.H. Bipolar Nonlinear Ni/TiO2/Ni Selector for 1S1R Crossbar Array Applications. IEEE Electron. Device Lett. 2011, 32, 1427–1429. [Google Scholar] [CrossRef]
- Ji, L.; Chang, Y.F.; Fowler, B.; Chen, Y.C.; Tsai, T.M.; Chang, K.C.; Chen, M.C.; Chang, T.C.; Sze, S.M.; Yu, E.T.; et al. Integrated One Diode-One Resistor Architecture in Nanopillar SiOx Resistive Switching Memory by Nanosphere Lithography. Nano Lett. 2014, 14, 813–818. [Google Scholar] [CrossRef] [PubMed]
- Jana, D.; Samanta, S.; Maikap, S.; Cheng, H.M. Evolution of complementary resistive switching characteristics using IrOx/GdOx/Al2O3/TiN structure. Appl. Phys. Lett. 2016, 108, 011605. [Google Scholar] [CrossRef]
- Burr, G.W.; Shenoy, R.S.; Virwani, K.; Narayanan, P.; Padilla, A.; Kurdi, B.; Hwang, H. Access devices for 3D crosspoint memory. J. Vac. Sci. Technol. B 2014, 32, 040802. [Google Scholar] [CrossRef]
- Kim, S.; Jung, S.; Kim, M.H.; Cho, S.; Park, B.G. Resistive switching characteristics of Si3N4-based resistive-switching random-access memory cell with tunnel barrier for high density integration and low-power applications. Appl. Phys. Lett. 2015, 106, 212106. [Google Scholar] [CrossRef]
- Wang, Z.; Kang, J.; Yu, Z.; Fang, Y.; Ling, Y.; Cai, Y.; Huang, R.; Wang, Y. Modulation of nonlinear resistive switching behavior of a TaOx-based resistive device through interface engineering. Nanotechnology 2016, 28, 055204. [Google Scholar] [CrossRef] [PubMed]
- Kim, S.; Cho, S.; Park, B.G. Fully Si compatible SiN resistive switching memory with large self-rectification ratio. AIP Adv. 2016, 6, 015021. [Google Scholar] [CrossRef]
- Jiang, X.; Ma, Z.; Xu, J.; Chen, K.; Xu, L.; Li, W.; Huang, X.; Feng, D. a-SiNx: H-based ultra-low power resistive random access memory with tunable Si dangling bond conduction paths. Sci. Rep. 2015, 5, 15762. [Google Scholar] [CrossRef] [PubMed]
- Yang, G.R.; Zhao, Y.P.; Hub, Y.Z.; Chow, T.P.; Gutmann, R.J. XPS and AFM study of chemical mechanical polishing of silicon nitride. Thin Solid Films 1998, 333, 219–223. [Google Scholar] [CrossRef]
- Xu, Z.; Yu, L.; Wu, Y.; Dong, C.; Deng, N.; Xu, X.; Miao, J.; Jiang, Y. Low-energy Resistive Random Access Memory Devices with No Need for a Compliance Current. Sci. Rep. 2015, 5, 10409. [Google Scholar] [CrossRef] [PubMed]
- Chang, Y.F.; Fowler, B.; Zhou, F.; Chen, Y.C.; Lee, J.C. Study of self-compliance behaviors and internal filament characteristics in intrinsic SiOx-based resistive switching memory. Appl. Phys. Lett. 2016, 108, 033504. [Google Scholar] [CrossRef]
- Chen, C.; Yang, Y.C.; Zeng, F.; Pan, F. Bipolar resistive switching in Cu/AlN/Pt nonvolatile memory device. Appl. Phys. Lett. 2010, 97, 083502. [Google Scholar] [CrossRef]
- Jeon, D.S.; Park, J.H.; Kim, M.J.; Kim, T.G. Low power NiN-based resistive switching memory device using Ti doping. Appl. Phys. Lett. 2016, 109, 183507. [Google Scholar] [CrossRef]
- Kim, S.; Park, B.G. Nonlinear and multilevel resistive switching memory in Ni/Si3N4/Al2O3/TiN structures. Appl. Phys. Lett. 2016, 108, 212103. [Google Scholar] [CrossRef]
- Kim, S.; Park, B.G. Improved multi-level capability in Si3N4-based resistive switching memory using continuous gradual reset switching. J. Phys. D Appl. Phys. 2017, 50, 02LT01. [Google Scholar] [CrossRef]
- Chang, Y.F.; Fowler, B.; Chen, Y.C.; Lee, J.C. Proton exchange reactions in SiOx-based resistive switching memory: Review and insights from impedance spectroscopy. Prog. Solid State Chem. 2016, 44, 75–85. [Google Scholar] [CrossRef]
- Chang, Y.F.; Fowler, B.; Zhou, F.; Wang, Y.; Chen, P.Y.; Xue, F.; Chen, Y.C.; Chen, Y.T.; Bringhurst, B.; Lee, J.C. Electroforming and resistive switching in silicon dioxide resistive memory devices. RSC Adv. 2015, 5, 21215–21236. [Google Scholar]
- Chang, Y.F.; Fowler, B.; Chen, Y.C.; Chen, Y.T.; Wang, Y.; Xue, F.; Zhou, F.; Lee, J.C. Intrinsic SiOx-based unipolar resistive switching memory. I. Oxide stoichiometry effects on reversible switching and program window optimization. J. Appl. Phys. 2014, 116, 043708. [Google Scholar] [CrossRef]
- Chen, C.; Pan, F.; Wang, Z.S.; Yang, J.; Zeng, F. Bipolar resistive switching with self-rectifying effects in Al/ZnO/Si structure. J. Appl. Phys. 2012, 111, 013702. [Google Scholar] [CrossRef]
- Yan, P.; Li, Y.; Hui, Y.J.; Zhong, S.J.; Zhou, Y.X.; Xu, L.; Liu, N.; Qian, H.; Sun, H.J.; Miao, X.S. Conducting mechanisms of forming-free TiW/Cu2O/Cu memristive devices. Appl. Phys. Lett. 2015, 107, 083501. [Google Scholar] [CrossRef]











© 2017 by the authors. Licensee MDPI, Basel, Switzerland. This article is an open access article distributed under the terms and conditions of the Creative Commons Attribution (CC BY) license (http://creativecommons.org/licenses/by/4.0/).
Share and Cite
Kim, S.; Chang, Y.-F.; Kim, M.-H.; Kim, T.-H.; Kim, Y.; Park, B.-G. Self-Compliant Bipolar Resistive Switching in SiN-Based Resistive Switching Memory. Materials 2017, 10, 459. https://doi.org/10.3390/ma10050459
Kim S, Chang Y-F, Kim M-H, Kim T-H, Kim Y, Park B-G. Self-Compliant Bipolar Resistive Switching in SiN-Based Resistive Switching Memory. Materials. 2017; 10(5):459. https://doi.org/10.3390/ma10050459
Chicago/Turabian StyleKim, Sungjun, Yao-Feng Chang, Min-Hwi Kim, Tae-Hyeon Kim, Yoon Kim, and Byung-Gook Park. 2017. "Self-Compliant Bipolar Resistive Switching in SiN-Based Resistive Switching Memory" Materials 10, no. 5: 459. https://doi.org/10.3390/ma10050459
APA StyleKim, S., Chang, Y.-F., Kim, M.-H., Kim, T.-H., Kim, Y., & Park, B.-G. (2017). Self-Compliant Bipolar Resistive Switching in SiN-Based Resistive Switching Memory. Materials, 10(5), 459. https://doi.org/10.3390/ma10050459

