Thermoluminescence as a Research Tool to Investigate Luminescence Mechanisms
Abstract
1. Introduction
2. Theoretical Background
2.1. Simple Model and Characteristics of TSL
2.2. Deviations from the Simple Model
2.3. Methods for Extracting Trap Parameters
3. Instrumentation
4. Thermoluminescence as a Research Tool
4.1. Energy Level Positions
4.2. Persistent Luminescence
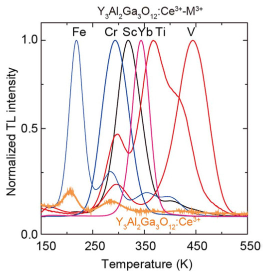
4.3. Band Gap Engineering
4.4. Tunnelling
4.5. Thermal Quenching
4.6. Photosynthesis
5. Conclusions
Acknowledgments
Conflicts of Interest
References
- Daniels, F.; Boyd, C.; Saunders, D. Thermoluminescence as a Research Tool. Science 1953, 117, 343–349. [Google Scholar] [CrossRef] [PubMed]
- Martini, M.; Meinardi, F. Thermally stimulated luminescence: New perspectives in the study of defects in solids. La Riv. del Nuovo Cim. 1997, 20, 1–71. [Google Scholar] [CrossRef]
- Murthy, K.V.R. Thermoluminescence and its Applications: A Review. Defect Diffus. Forum 2013, 347, 35–73. [Google Scholar] [CrossRef]
- Mihóková, E.; Nikl, M. Luminescent materials: Probing the excited state of emission centers by spectroscopic methods. Meas. Sci. Technol. 2015, 26, 12001. [Google Scholar] [CrossRef]
- Bos, A.J.J. Theory of thermoluminescence. Radiat. Meas. 2006, 41, 45–56. [Google Scholar] [CrossRef]
- McKeever, S.W.S. Thermoluminescence of Solids; Cambridge University Press: Cambridge, UK, 1988; ISBN 0521368111. [Google Scholar]
- Chen, R.; McKeever, S.W.S. Theory of Thermoluminescence and Related Phenomena; World Scientific: Singapore, 1997; ISBN 0810222955. [Google Scholar]
- Chen, R.; Pagonis, V. Thermally and Optically Stimulated Luminescence—A Simulation Approach; John Wiley: Chichester, UK, 2011; ISBN 978-0-470-74927-2. [Google Scholar]
- Sunta, C.M. Unraveling Thermoluminescence; Springer Series in Materials Science; Springer: New Delhi, India, 2015; Volume 202, ISBN 978-81-322-1939-2. [Google Scholar]
- Randall, J.T.; Wilkins, M.H.F. The Phosphorescence of Various Solids. Proc. R. Soc. A Math. Phys. Eng. Sci. 1945, 184, 347–364. [Google Scholar] [CrossRef]
- Randall, J.T.; Wilkins, M.H.F. Phosphorescence and Electron Traps. II. The Interpretation of Long-Period Phosphorescence. Proc. R. Soc. A Math. Phys. Eng. Sci. 1945, 184, 390–407. [Google Scholar] [CrossRef]
- Randall, J.; Wilkins, M. Phosphorescence and Electron Traps I. The Study of Trap Distributions. Proc. R. Soc. A Math. Phys. Eng. Sci. 1945, 184, 366–389. [Google Scholar] [CrossRef]
- Hoogenboom, J.E.; De Vries, W.; Dielhof, J.B.; Bos, A.J.J. Computerized analysis of glow curves from thermally activated processes. J. Appl. Phys. 1988, 64, 3193–3200. [Google Scholar] [CrossRef]
- Urbach, F. Zur Lumineszenz der Alkalihalogenide. Sitzungsberichte Akad. der Wiss. Wien 1930, 139, 363–372. [Google Scholar] [CrossRef]
- Murthy, K.V.R.; Virk, H.S. Luminescence Phenomena: An Introduction. Defect Diffus. Forum 2014, 347, 1–34. [Google Scholar] [CrossRef]
- Pagonis, V.; Kitis, G. Prevalence of first-order kinetics in thermoluminescence materials: An explanation based on multiple competition processes. Phys. Status Solidi Basic Res. 2012, 249, 1590–1601. [Google Scholar] [CrossRef]
- Pagonis, V.; Morthekai, P.; Kitis, G. Kinetic analysis of thermoluminescence glow curves in feldspar: Evidence for a continuous distribution of energies. Geochronometria 2014, 41, 168–177. [Google Scholar] [CrossRef]
- Gómez-Ros, J.M.; Correcher, V.; García-Guinea, J.; Delgado, A. Evolution of the trapped charge distribution due to trap emptying processes in a natural aluminosilicate. Radiat. Prot. Dosim. 2006, 119, 93–97. [Google Scholar] [CrossRef] [PubMed]
- Correcher, V.; Gomez-Ros, J.M.; Garcia-Guinea, J.; Lis, M.; Sanchez-Muñoz, L. Calculation of the activation energy in a continuous trap distribution system of a charoite silicate using initial rise and TL glow curve fitting methods. Radiat. Meas. 2008, 43, 269–272. [Google Scholar] [CrossRef]
- Srivastava, J.K.; Supe, S.J. Trap distribution analysis for thermoluminescence of CaSO4:Dy. J. Phys. D Appl. Phys. 1983, 16, 1813–1818. [Google Scholar] [CrossRef]
- Srivastava, J.K.; Supe, S.J. The thermoluminescence characterisation of Li2B4O7 doped with Cu. J. Phys. D Appl. Phys. 1989, 22, 1537–1543. [Google Scholar] [CrossRef]
- Whitley, V.H.; Larsen, N.A.; McKeever, S.W.S. Determination of ionisation energies and attempt-to-escape factors using thermally stimulated conductivity. Radiat. Prot. Dosim. 2002, 100, 147–152. [Google Scholar] [CrossRef]
- Botterman, J.; Smet, P.F. Persistent phosphor SrAl2O4:Eu,Dy in outdoor conditions: Saved by the trap distribution. Opt. Express 2015, 23, A868–A881. [Google Scholar] [CrossRef] [PubMed]
- Aitasalo, T.; Hölsä, J.; Jungner, H.; Krupa, J.-C.; Lastusaari, M.; Legendziewicz, J.; Niittykoski, J. Effect of temperature on the luminescence processes of SrAl2O4:Eu2+. Radiat. Meas. 2004, 38, 727–730. [Google Scholar] [CrossRef]
- Van Den Eeckhout, K.; Bos, A.J.J.; Poelman, D.; Smet, P.F. Revealing trap depth distributions in persistent phosphors. Phys. Rev. B-Condens. Matter Mater. Phys. 2013, 87, 1–11. [Google Scholar] [CrossRef]
- Pan, Z.; Lu, Y.-Y.; Liu, F. Sunlight-activated long-persistent luminescence in the near-infrared from Cr3+-doped zinc gallogermanates. Nat. Mater. 2011, 11, 58–63. [Google Scholar] [CrossRef] [PubMed]
- Zhuang, Y.; Ueda, J.; Tanabe, S.; Dorenbos, P. Band-gap variation and a self-redox effect induced by compositional deviation in ZnxGa2O3+x:Cr3+ persistent phosphors. J. Mater. Chem. C 2014, 2, 5502. [Google Scholar] [CrossRef]
- Guo, H.; Wang, Y.; Chen, W.; Zeng, W.; Han, S.; Li, G.; Li, Y. Controlling and revealing the trap distributions of Ca6BaP4 O17:Eu2+,R3+ (R = Dy, Tb, Ce, Gd, Nd) by codoping different trivalent lanthanides. J. Mater. Chem. C 2015, 3, 11212–11218. [Google Scholar] [CrossRef]
- Wang, J.; Zhang, H.; Liu, Y.; Dong, H.; Lei, B.; Zheng, M.; Xiao, Y.; Peng, M.; Wang, J. Insights into luminescence quenching and detecting trap distribution in Ba2Si5N8:Eu2+ phosphor with comprehensive considerations of temperature-dependent luminescence behaviors. J. Mater. Chem. C 2015, 3, 9572–9579. [Google Scholar] [CrossRef]
- Brylew, K.; Drozdowski, W.; Wojtowicz, A.J.; Kamada, K.; Yoshikawa, A. Studies of low temperature thermoluminescence of GAGG:Ce and LuAG:Pr scintillator crystals using the Tmax-Tstop method. J. Lumin. 2014, 154, 452–457. [Google Scholar] [CrossRef]
- Lecointre, A.; Bessière, A.; Bos, A.J.J.; Dorenbos, P.; Viana, B.; Jacquart, S. Designing a red persistent luminescence phosphor: The example of YPO4:Pr3+,Ln3+ (Ln = Nd, Er, Ho, Dy). J. Phys. Chem. C 2011, 115, 4217–4227. [Google Scholar] [CrossRef]
- Luo, H.; Bos, A.J.J.; Dorenbos, P. Charge Carrier Trapping Processes in RE2O2S (RE = La, Gd, Y and Lu). J. Phys. Chem. C 2017. [Google Scholar] [CrossRef] [PubMed]
- Hoogenstraaten, W. Electron traps in ZnS phosphors. Philips Res. Rep. 1958, 13, 515–693. [Google Scholar]
- Kitis, G.; Tuyn, J.W.N. A simple method to correct for the temperature lag in TL glow-curve measurements. J. Phys. D. Appl. Phys. 1998, 31, 2065–2073. [Google Scholar] [CrossRef]
- Piters, T.M.; Bos, A.J.J. Effects of non-ideal heat transfer on the glow curve in thermoluminescence experiments. J. Phys. D Appl. Phys. 1999, 27, 1747–1756. [Google Scholar] [CrossRef]
- Garlick, G.F.J.; Gibson, A.F. The Electron Trap Mechanism of Luminescence in Sulphide and Silicate Phosphors. Proc. Phys. Soc. 1948, 60, 574–590. [Google Scholar] [CrossRef]
- Pagonis, V.; Kitis, G.; Furetta, C. Numerical and Practical Exercises in Thermoluminescence; Springer: New York, NY, USA, 2006; ISBN 0-387-26063-3. [Google Scholar]
- Chen, R.; Haber, G.A. Calculation of glow curves’ activation energies by numerical initial rise method. Chem. Phys. Lett. 1968, 2, 483–485. [Google Scholar] [CrossRef]
- Horowitz, Y.S.; Yossin, D. Computerized Glow curve deconvolution: Application to thermoluminescence dosimetry. Radiat. Prot. Dosim. 1995, 60, 1–114. [Google Scholar]
- Van Dijk, J.W.E. Thermoluminescence glow curve deconvolution and its statistical analysis using the flexibility of spreadsheet programs. Radiat. Prot. Dosim. 2006, 119, 332–338. [Google Scholar] [CrossRef] [PubMed]
- Stadtmann, H.; Wilding, G. Glow curve deconvolution for the routine readout of LiF:Mg,Ti thermoluminescent detectors. Radiat. Meas. 2017. [Google Scholar] [CrossRef]
- Chen, R.; Pagonis, V.; Lawless, J.L. Evaluated thermoluminescence trapping parameters-What do they really mean? Radiat. Meas. 2016, 91, 21–27. [Google Scholar] [CrossRef]
- Chen, R.; Pagonis, V. The role of simulations in the study of thermoluminescence (TL). Radiat. Meas. 2014, 71, 8–14. [Google Scholar] [CrossRef]
- Rappaport, F.; Lavergne, J. Thermoluminescence: Theory. Photosynth. Res. 2009, 101, 205–216. [Google Scholar] [CrossRef] [PubMed]
- Repetto, G.; Zurita, J.L.; Roncel, M.; Ortega, J.M. Thermoluminescence as a complementary technique for the toxicological evaluation of chemicals in photosynthetic organisms. Aquat. Toxicol. 2015, 158, 88–97. [Google Scholar] [CrossRef] [PubMed]
- Ducruet, J.M.; Vass, I. Thermoluminescence: Experimental. Photosynth. Res. 2009, 101, 195–204. [Google Scholar] [CrossRef] [PubMed]
- Townsend, P.D.; Kirsh, Y. Spectral measurement during thermoluminescence—An essential requirement. Contemp. Phys. 1989, 30, 337–354. [Google Scholar] [CrossRef]
- Piters, T.M.; Meulemans, W.H.; Bos, A.J.J. An automated research facility for measuring thermoluminescence emission spectra using an optical multichannel analyzer. Rev. Sci. Instrum. 1993, 64, 109. [Google Scholar] [CrossRef]
- Rhodes, M.W.; Wanwilairat, S.; Vilaithong, T.; Hoffmann, W. Low cost high resolution thermoluminescence spectrometer. Rev. Sci. Instrum. 2000, 71, 2053. [Google Scholar] [CrossRef]
- Bos, A.J.J.; Winkelman, A.J.M.; Le Masson, N.J.M.; Sidorenko, A.V.; Van Eijk, C.W. A TL/OSL Emission Spectrometer Extension of the. Radiat. Meas. 2002, 101, 111–114. [Google Scholar]
- Yoshizumi, M.T.; Caldas, L.V.E. TL emission spectra measurements using a spectrometer coupled to the Risoe TL/OSL reader. Radiat. Phys. Chem. 2014, 104, 292–296. [Google Scholar] [CrossRef]
- Bos, A.J.J.; Dorenbos, P.; Bessière, A.; Viana, B. Lanthanide energy levels in YPO4. Radiat. Meas. 2008, 43, 222–226. [Google Scholar] [CrossRef]
- Bos, A.J.J.; Van Duijvenvoorde, R.M.; Van Der Kolk, E.; Drozdowski, W.; Dorenbos, P. Thermoluminescence excitation spectroscopy: A versatile technique to study persistent luminescence phosphors. J. Lumin. 2011, 131, 1465–1471. [Google Scholar] [CrossRef]
- Thomsen, K.J.; Bøtter-Jensen, L.; Jain, M.; Denby, P.M.; Murray, A.S. Recent instrumental developments for trapped electron dosimetry. Radiat. Meas. 2008, 43, 414–421. [Google Scholar] [CrossRef]
- Lapp, T.; Jain, M.; Thomsen, K.J.; Murray, A.S.; Buylaert, J.P. New luminescence measurement facilities in retrospective dosimetry. Radiat. Meas. 2012, 47, 803–808. [Google Scholar] [CrossRef]
- Lapp, T.; Kook, M.; Murray, A.S.; Thomsen, K.J.; Buylaert, J.P.; Jain, M. A new luminescence detection and stimulation head for the Risø TL/OSL reader. Radiat. Meas. 2014, 81, 178–184. [Google Scholar] [CrossRef]
- Richter, D.; Richter, A.; Dornich, K. Lexsyg—A new system for luminescence research. Geochronometria 2013, 40, 220–228. [Google Scholar] [CrossRef]
- Richter, D.; Richter, A.; Dornich, K. Lexsyg smart—A luminescence detection system for dosimetry, material research and dating application. Geochronometria 2015, 42, 202–209. [Google Scholar] [CrossRef]
- Richter, D.; Mittelstraß, D.; Kreutzer, S.; Pintaske, R.; Dornich, K.; Fuchs, M. A new fully integrated X-ray irradiator system for dosimetric research. Appl. Radiat. Isot. 2016, 112, 122–130. [Google Scholar] [CrossRef] [PubMed]
- Dorenbos, P. Systematic behaviour in trivalent lanthanide charge transfer energies. J. Phys. Condens. Matter 2003, 15, 8417–8434. [Google Scholar] [CrossRef]
- Dorenbos, P. A Review on How Lanthanide Impurity Levels Change with Chemistry and Structure of Inorganic Compounds. ECS J. Solid State Sci. Technol. 2013, 2, R3001–R3011. [Google Scholar] [CrossRef]
- Dorenbos, P. The electronic structure of lanthanide doped compounds with 3d, 4d, 5d, or 6d conduction band states. J. Lumin. 2014, 151, 224–228. [Google Scholar] [CrossRef]
- Dorenbos, P. Charge transfer bands in optical materials and related defect level location. Opt. Mater. (Amst) 2017, 69, 8–22. [Google Scholar] [CrossRef]
- Dorenbos, P. Valence stability of lanthanide ions in inorganic compounds. Chem. Mater. 2005, 17, 6452–6456. [Google Scholar] [CrossRef]
- Bos, A.J.J.; Dorenbos, P.; Bessire, A.; Lecointre, A.; Bedu, M.; Bettinelli, M.; Piccinelli, F. Study of TL glow curves of YPO4 double doped with lanthanide ions. Radiat. Meas. 2011, 46, 1410–1416. [Google Scholar] [CrossRef]
- You, F.; Bos, A.J.J.; Shi, Q.; Huang, S.; Dorenbos, P. Thermoluminescence investigation of donor (Ce3+, Pr3+, Tb3+) acceptor (Eu+, Yb3+) pairs in Y3Al5O12. Phys. Rev. B-Condens. Matter Mater. Phys. 2012, 85, 1–7. [Google Scholar] [CrossRef]
- Krumpel, A.H.; Bos, A.J.J.; Bessière, A.; Van Der Kolk, E.; Dorenbos, P. Controlled electron and hole trapping in YPO4: Ce3+, Ln3+ and LuPO4: Ce3+, Ln3+ (Ln = Sm, Dy, Ho, Er, Tm). Phys. Rev. B-Condens. Matter Mater. Phys. 2009, 80, 1–10. [Google Scholar] [CrossRef]
- Luo, H.; Bos, A.J.J.; Dobrowolska, A. Low-temperature VUV photoluminescence and thermoluminescence of UV excited afterglow phosphor Sr3AlxSi1−xO5:Ce3+, Ln3+ (Ln = Er, Nd, Sm, Dy and Tm). Phys. Chem. Chem. Phys. 2015, 17, 15419–15427. [Google Scholar] [CrossRef] [PubMed]
- Yukihara, E.G.; Milliken, E.D.; Oliveira, L.C.; Orante-Barrón, V.R.; Jacobsohn, L.G.; Blair, M.W. Systematic development of new thermoluminescence and optically stimulated luminescence materials. J. Lumin. 2013, 133, 203–210. [Google Scholar] [CrossRef]
- Oliveira, L.C.; Yukihara, E.G.; Baffa, O. MgO:Li,Ce,Sm as a high-sensitivity material for Optically Stimulated Luminescence dosimetry. Sci. Rep. 2016, 6, 24348. [Google Scholar] [CrossRef] [PubMed]
- Luo, H.; Bos, A.J.J.; Dorenbos, P. Controlled Electron-Hole Trapping and Detrapping Process in GdAlO3 by Valence Band Engineering. J. Phys. Chem. C 2016, 120, 5916–5925. [Google Scholar] [CrossRef]
- You, F.; Bos, A.J.J.; Shi, Q.; Huang, S.; Dorenbos, P. Electron transfer process between Ce3+ donor and Yb3+ acceptor levels in the bandgap of Y3Al5O12 (YAG). J. Phys. Condens. Matter 2011, 23, 215502. [Google Scholar] [CrossRef] [PubMed]
- Hamilton, D.S.; Gayen, S.K.; Pogatshnik, G.J.; Ghen, R.D.; Miniscalco, W.J. Optical-absorption and photoionization measurements from the excited states of Ce3+:Y3Al5O12. Phys. Rev. B 1989, 39, 8807–8815. [Google Scholar] [CrossRef]
- Babin, V.; Hanus, M.; Krasnikov, A.; Kučera, M.; Nikl, M.; Zazubovich, S. Determination of the position of the 5d excited levels of Ce3+ ions with respect to the conduction band in the epitaxial films of the multicomponent (Lu,Gd)3(Ga,Al)5O12:Ce garnets. Opt. Mater. (Amst) 2016, 62, 465–474. [Google Scholar] [CrossRef]
- Wu, Y.; Nikl, M.; Jary, V.; Ren, G. Thermally induced ionization of 5d1 state of Ce3+ ion in Gd3Ga3Al2O12 host. Chem. Phys. Lett. 2013, 574, 56–60. [Google Scholar] [CrossRef]
- Matsuzawa, T.; Aoki, Y.; Takeuchi, N.; Murayama, Y. A New Long Phosphorescent Phosphor with High Brightness, SrAl2O4:Eu2+,Dy3+. J. Electrochem. Soc. 1996, 143, 2670. [Google Scholar] [CrossRef]
- Ueda, J.; Hashimoto, A.; Takemura, S.; Ogasawara, K.; Dorenbos, P.; Tanabe, S. Vacuum referred binding energy of 3 d transition metal ions for persistent and photostimulated luminescence phosphors of cerium-doped garnets. J. Lumin. 2017, 192, 371–375. [Google Scholar] [CrossRef]
- Aitasalo, T.; Ho, J.; Lastusaari, M.; Niittykoski, J. Thermoluminescence Study of Persistent Luminescence Materials: Eu2+- and R3+-Doped Calcium Aluminates, CaAl2O4:Eu2+,R3+. J. Phys. Chem. B 2006, 110, 4589–4598. [Google Scholar] [CrossRef] [PubMed]
- Asami, K.; Ueda, J.; Tanabe, S. Trap depth and color variation of Ce3+-Cr3+ co-doped Gd3(Al,Ga)5O12 garnet persistent phosphors. Opt. Mater. (Amst) 2016, 62, 171–175. [Google Scholar] [CrossRef]
- Bessière, A.; Lecointre, A.; Priolkar, K.R.; Gourier, D. Role of crystal defects in red long-lasting phosphorescence of CaMgSi2O6:Mn diopsides. J. Mater. Chem. 2012, 22, 19039. [Google Scholar] [CrossRef]
- Brito, H.F.; Hölsä, J.; Jungner, H.; Laamanen, T.; Lastusaari, M.; Malkamäki, M.; Rodrigues, L.C.V. Persistent luminescence fading in Sr2MgSi2O7:Eu2+,R3+ materials: A thermoluminescence study. Opt. Mater. Express 2012, 2, 287. [Google Scholar] [CrossRef]
- Denis, G.; Deniard, P.; Rocquefelte, X.; Benabdesselam, M.; Jobic, S. The thermally connected traps model applied to the thermoluminescence of Eu2+ doped Ba13−xAl22−2xSi10+2xO66 materials (x∼0.6). Opt. Mater. (Amst) 2010, 32, 941–945. [Google Scholar] [CrossRef]
- Dobrowolska, A.; Karsu, E.C.; Bos, A.J.J.; Dorenbos, P. Spectroscopy, thermoluminescence and afterglow studies of CaLa4(SiO4)3O:Ln (Ln = Ce, Nd, Eu, Tb, Dy). J. Lumin. 2015, 160, 321–327. [Google Scholar] [CrossRef]
- Feng, P.; Zhang, J.; Wu, C.; Liu, X.; Wang, Y. Self-activated afterglow luminescence of un-doped Ca2ZrSi4O12 material and explorations of new afterglow phosphors in a rare earth element-doped Ca2ZrSi4O12 system. Mater. Chem. Phys. 2013, 141, 495–501. [Google Scholar] [CrossRef]
- Ju, G.; Hu, Y.; Chen, L.; Wang, X. Investigation of the persistent luminescence of LiBaPO4:Eu2+. J. Mater. Res. 2014, 29, 519–526. [Google Scholar] [CrossRef]
- Katayama, Y.; Kobayashi, H.; Ueda, J.; Viana, B.; Tanabe, S. Persistent luminescence properties of Cr3+-Sm3+ activated LaAlO3 perovskite. Opt. Mater. Express 2016, 6, 1500. [Google Scholar] [CrossRef]
- Li, Y.; Gecevicius, M.; Qiu, J. Long persistent phosphors—From fundamentals to applications. Chem. Soc. Rev. 2016, 45, 2090–2136. [Google Scholar] [CrossRef] [PubMed]
- Liepina, V.; Millers, D.; Smits, K. Tunneling luminescence in long lasting afterglow of SrAl2O4:Eu,Dy. J. Lumin. 2017, 185, 151–154. [Google Scholar] [CrossRef]
- Rosticher, C.; Chaneac, C.; Bos, A.J.J.; Viana, B. Study on the persistent luminescence of diopside nanotracers CaMgSi2O6: Eu2+, Mn2+, Pr3+. Proc. SPIE 2016, 9749, 97490–97491. [Google Scholar] [CrossRef]
- Singh, T.B.; Mashangva, M.; Gartia, R.K. Trap spectroscopy and thermoluminescence of persistent luminescent materials. Indian J. Pure Appl. Phys. 2013, 51, 223–229. [Google Scholar]
- Tang, W.; Wang, M.; Meng, X.; Lin, W. Luminescence properties of tunable white-light long-lasting phosphor YPO4: Eu3+, Tb3+, Sr2+, Zr4+. Opt. Mater. (Amst) 2016, 54, 120–125. [Google Scholar] [CrossRef]
- Van den Eeckhout, K.; Poelman, D.; Smet, P. Persistent Luminescence in Non-Eu2+-Doped Compounds: A Review. Materials (Basel) 2013, 6, 2789–2818. [Google Scholar] [CrossRef] [PubMed]
- Van den Eeckhout, K.; Smet, P.F.; Poelman, D. Persistent Luminescence in Eu2+-Doped Compounds: A Review. Materials (Basel) 2010, 3, 2536–2566. [Google Scholar] [CrossRef]
- Zhang, J.; Ma, X.; Qin, Q.; Shi, L.; Sun, J.; Zhou, M.; Liu, B.; Wang, Y. The synthesis and afterglow luminescence properties of a novel red afterglow phosphor: SnO2:Sm3+,Zr4+. Mater. Chem. Phys. 2012, 136, 320–324. [Google Scholar] [CrossRef]
- Zúñiga-Rivera, N.J.; Salas-Castillo, P.; Chernov, V.; Díaz-Torres, L.A.; Meléndrez, R.; García-Gutierrez, R.; Carrillo-Torres, R.C.; Barboza-Flores, M. Thermally and optically stimulated luminescence in long persistent orthorhombic strontium aluminates doped with Eu, Dy and Eu, Nd. Opt. Mater. (Amst) 2017, 67, 91–97. [Google Scholar] [CrossRef]
- Zuo, Y.; Chen, X.; Liu, X. Long lasting phosphorescence properties and multi-peak fitting on thermoluminescence of red LaAlO3:Eu3+ phosphor. Chem. Res. Chin. Univ. 2015, 31, 427–429. [Google Scholar] [CrossRef]
- Fasoli, M.; Vedda, A.; Nikl, M.; Jiang, C.; Uberuaga, B.P.; Andersson, D.A.; McClellan, K.J.; Stanek, C.R. Band-gap engineering for removing shallow traps in rare-earth Lu3Al5O12 garnet scintillators using Ga3+ doping. Phys. Rev. B-Condens. Matter Mater. Phys. 2011, 84, 1–4. [Google Scholar] [CrossRef]
- Nikl, M.; Mihokova, E.; Pejchal, J.; Vedda, A.; Zorenko, Y.; Nejezchleb, K. The antisite LuAl defect-related trap in Lu3Al5O12:Ce single crystal. Phys. Status Solidi 2005, 242, R119–R121. [Google Scholar] [CrossRef]
- Ueda, J.; Dorenbos, P.; Bos, A.J.J.; Kuroishi, K.; Tanabe, S. Control of electron transfer between Ce3+ and Cr3+ in the Y3Al5−xGaxO12 host via conduction band engineering. J. Mater. Chem. C 2015, 12, 19–21. [Google Scholar] [CrossRef]
- Katayama, Y.; Hashimoto, A.; Xu, J.; Ueda, J.; Tanabe, S. Thermoluminescence investigation on Y3Al5−xGaxO12:Ce3+-Bi3+ green persistent phosphors. J. Lumin. 2017, 183, 355–359. [Google Scholar] [CrossRef]
- Luo, J.; Wu, Y.; Zhang, G.; Zhang, H.; Ren, G. Composition–property relationships in (Gd3−xLux)(GayAl5−y)O12:Ce (x = 0, 1, 2, 3 and y = 0, 1, 2, 3, 4) multicomponent garnet scintillators. Opt. Mater. (Amst) 2013, 36, 476–481. [Google Scholar] [CrossRef]
- Visocekas, R.; Ceva, T.; Marti, C.; Lefaucheux, F.; Robert, M.C. Tunneling processes in afterglow of calcite. Phys. Status Solidi 1976, 35, 315–327. [Google Scholar] [CrossRef]
- Visocekas, R.; Barthou, C.; Blanc, P. Thermal quenching of far-red Fe3+ thermoluminescence of volcanic K-feldspars. Radiat. Meas. 2014, 61, 52–73. [Google Scholar] [CrossRef]
- Avouris, P.; Morgan, T.N. A tunneling model for the decay of luminescence in inorganic phosphors: The case of Zn2SiO4:Mn. J. Chem. Phys. 1981, 74, 4347–4355. [Google Scholar] [CrossRef]
- Delbecq, C.J.; Toyozaka, Y.; Yuster, P.H. Tunneling recombination of trapped electrons and holes in KCl: AgCl and KCl: TlCl. Phys. Rev. B 1974, 9, 4497–4505. [Google Scholar] [CrossRef]
- Dobrowolska, A.; Bos, A.J.J.; Dorenbos, P. Electron tunnelling phenomena in YPO4: Ce,Ln (Ln = Er, Ho, Nd, Dy). J. Phys. D Appl. Phys. 2014, 47, 335301. [Google Scholar] [CrossRef]
- Kitaura, M.; Sato, A.; Kamada, K.; Ohnishi, A.; Sasaki, M. Phosphorescence of Ce-doped Gd3Al2Ga3O12 crystals studied using luminescence spectroscopy. J. Appl. Phys. 2014, 115, 83517. [Google Scholar] [CrossRef]
- Vedda, A.; Nikl, M.; Fasoli, M.; Mihokova, E.; Pejchal, J.; Dusek, M.; Ren, G.; Stanek, C.R.; McClellan, K.J.; Byler, D.D. Thermally stimulated tunneling in rare-earth-doped oxyorthosilicates. Phys. Rev. B-Condens. Matter Mater. Phys. 2008, 78, 1–8. [Google Scholar] [CrossRef]
- Poolton, N.R.J.; Kars, R.H.; Wallinga, J.; Bos, A.J.J. Direct evidence for the participation of band-tails and excited-state tunnelling in the luminescence of irradiated feldspars. J. Phys. Condens. Matter 2009, 21, 485505. [Google Scholar] [CrossRef] [PubMed]
- Şahiner, E.; Kitis, G.; Pagonis, V.; Meriç, N.; Polymeris, G.S. Tunnelling recombination in conventional, post-infrared and post-infrared multi-elevated temperature IRSL signals in microcline K-feldspar. J. Lumin. 2017, 188, 514–523. [Google Scholar] [CrossRef]
- Jain, M.; Guralnik, B.; Andersen, M.T. Stimulated luminescence emission from localized recombination in randomly distributed defects. J. Phys. Condens. Matter 2012, 24, 385402. [Google Scholar] [CrossRef] [PubMed]
- Pagonis, V.; Chen, R.; Kulp, C.; Kitis, G. An overview of recent developments in luminescence models with a focus on localized transitions. Radiat. Meas. 2017. [Google Scholar] [CrossRef]
- Akselrod, M.S.; Agersnap Larsen, N.; Whitley, V.; McKeever, S.W.S. Thermal quenching of F-center luminescence in Al2O3:C. J. Appl. Phys. 1998, 84, 3364–3373. [Google Scholar] [CrossRef]
- Mandowski, A.; Bos, A.J.J.; Mandowska, E.; Orzechowski, J. Monte-Carlo method for determining the quenching function from variable heating rate measurements. Radiat. Meas. 2010, 45, 284–287. [Google Scholar] [CrossRef]
- Bos, A.J.J.; Poolton, N.R.J.; Wallinga, J.; Bessire, A.; Dorenbos, P. Energy levels in YPO4:Ce3+,Sm3+ studied by thermally and optically stimulated luminescence. Radiat. Meas. 2010, 45, 343–346. [Google Scholar] [CrossRef]
- Mandowski, A.; Bos, A.J.J. Explanation of anomalous heating rate dependence of thermoluminescence in YPO4:Ce3+,Sm3+ based on the semi-localized transition (SLT) model. Radiat. Meas. 2011, 46, 1376–1379. [Google Scholar] [CrossRef]
- Ueda, J.; Dorenbos, P.; Bos, A.J.J.; Meijerink, A.; Tanabe, S. Insight into the Thermal Quenching Mechanism for Y3Al5O12:Ce3+ through Thermoluminescence Excitation Spectroscopy. J. Phys. Chem. C 2015, 119, 25003–25008. [Google Scholar] [CrossRef]
- Arnold, B.Y.W.; Sherwood, H.K. Are Chloroplasts Semiconductors? Proc. Natl. Acad. Sci. USA 1957, 43, 105–114. [Google Scholar] [CrossRef]
- Vass, I. The history of photosynthetic thermoluminescence. Photosynth. Res. 2003, 76, 303–318. [Google Scholar] [CrossRef] [PubMed]
- Ducruet, J.-M. Chlorophyll thermoluminescence of leaf discs: simple instruments and progress in signal interpretation open the way to new ecophysiological indicators. J. Exp. Bot. 2003, 54, 2419–2430. [Google Scholar] [CrossRef] [PubMed]
- Havaux, M. Spontaneous and thermoinduced photon emission: New methods to detect and quantify oxidative stress in plants. Trends Plant Sci. 2003, 8, 409–413. [Google Scholar] [CrossRef]














© 2017 by the author. Licensee MDPI, Basel, Switzerland. This article is an open access article distributed under the terms and conditions of the Creative Commons Attribution (CC BY) license (http://creativecommons.org/licenses/by/4.0/).
Share and Cite
Bos, A.J.J. Thermoluminescence as a Research Tool to Investigate Luminescence Mechanisms. Materials 2017, 10, 1357. https://doi.org/10.3390/ma10121357
Bos AJJ. Thermoluminescence as a Research Tool to Investigate Luminescence Mechanisms. Materials. 2017; 10(12):1357. https://doi.org/10.3390/ma10121357
Chicago/Turabian StyleBos, Adrie J. J. 2017. "Thermoluminescence as a Research Tool to Investigate Luminescence Mechanisms" Materials 10, no. 12: 1357. https://doi.org/10.3390/ma10121357
APA StyleBos, A. J. J. (2017). Thermoluminescence as a Research Tool to Investigate Luminescence Mechanisms. Materials, 10(12), 1357. https://doi.org/10.3390/ma10121357

