Thermal Properties of the Mixed n-Octadecane/Cu Nanoparticle Nanofluids during Phase Transition: A Molecular Dynamics Study
Abstract
:1. Introduction
2. Model and Computational Method
2.1. Simulation Model and Molecular Force Fields
2.2. Computational Method
2.3. Thermal Conductivity Calculation
3. Results and Discussion
3.1. Diffusion Coefficient
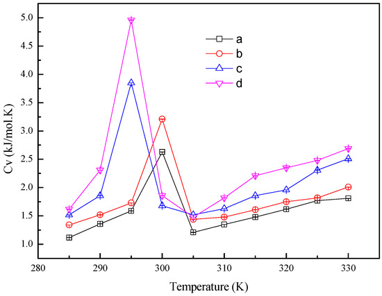
3.2. Heat Capacity
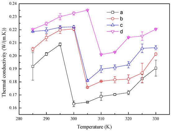
3.3. Thermal Conductivity
4. Conclusions
Acknowledgments
Author Contributions
Conflicts of Interest
References
- Zalba, B.; Marin, J.M.; Cabeza, L.F.; Mehling, H. Review on thermal energy storage with phase change: Materials, heat transfer analysis and applications. Appl. Therm. Eng. 2003, 23, 251–283. [Google Scholar] [CrossRef]
- Sharma, A.; Tyagi, V.V.; Chen, C.R.; Buddhi, D. Review on thermal energy storage with phase change materials and applications. Renew. Sustain. Energy Rev. 2009, 13, 318–345. [Google Scholar] [CrossRef]
- Xuan, Y.; Li, Q. Heat transfer enhancement of nanofluids. Int. J. Heat Fluid Flow 2000, 21, 58–64. [Google Scholar] [CrossRef]
- Wu, S.; Zhu, D.; Zhang, X.; Huang, J. Preparation and melting/freezing characteristics of Cu/paraffin nanofluid as phase-change material (PCM). Energy Fuel 2010, 24, 1894–1898. [Google Scholar] [CrossRef]
- Wang, N.; Zhang, X.R.; Zhu, D.D.; Gao, J.W. The investigation of thermal conductivity and energy storage properties of graphite/paraffin composites. J. Therm. Anal. Calorim. 2012, 107, 949–954. [Google Scholar] [CrossRef]
- Ho, C.J.; Gao, J.Y. Preparation and thermophysical properties of nanoparticle-in-paraffin emulsion as phase change material. Int. Commun. Heat Mass 2009, 36, 467–470. [Google Scholar] [CrossRef]
- Frenkel, D.; Smit, B. Understanding Molecular Simulation: From Algorithms to Applications, 2nd ed.; Academic Press: New York, NY, USA, 2002. [Google Scholar]
- Li, Q.; Liu, C. Molecular dynamics simulation of heat transfer with effects of fluid-lattice interactions. Int. J. Heat Mass Transf. 2012, 55, 8088–8092. [Google Scholar] [CrossRef]
- Peng, T.; Firouzi, M.; Li, Q.; Peng, K. Surface force at the nano-scale: Observation of non-monotonic surface tension and disjoining pressure. Phys. Chem. Chem. Phys. 2015, 17, 20502–20507. [Google Scholar] [CrossRef] [PubMed]
- Rao, Z.; Wang, S.; Peng, F. Self diffusion and heat capacity of n-alkanes based phase change materials: A molecular dynamics study. Int. J. Heat Mass Transf. 2013, 64, 581–589. [Google Scholar] [CrossRef]
- Rao, Z.; Wang, S.; Peng, F. Molecular dynamics simulations of nano-encapsulated and nanoparticle-enhanced thermal energy storage phase change materials. Int. J. Heat Mass Transf. 2013, 66, 575–584. [Google Scholar] [CrossRef]
- Wang, Y.; Chen, Z.; Ling, X. A molecular dynamics study of nano-encapsulated phase change material slurry. Appl. Therm. Eng. 2016, 98, 835–840. [Google Scholar] [CrossRef]
- Eastman, J.A.; Choi, S.U.S.; Li, S.; Yu, W.; Thompson, L.J. Anomalously increased effective thermal conductivities of ethylene glycol-based nanofluids containing copper nanoparticles. Appl. Phys. Lett. 2001, 78, 718–720. [Google Scholar] [CrossRef]
- Sun, H. COMPASS: An ab initio force-field optimized for condensed-phase applications—Overview with details on alkane and benzene compounds. J. Phys. Chem. B 1998, 102, 7338–7364. [Google Scholar] [CrossRef]
- BIOVIA. Materials Studio; Accelrys Software Inc.: San Diego, CA, USA, 2010. [Google Scholar]
- National Institute of Standards and Technology (NIST). Thermophysical Properties of Fluid Systems. Available online: http://webbook.nist.gov/chemistry/fluid/ (accessed on 18 November 2016).
- Berendsen, H.J.C.; Postma, J.P.M.; van Gunsteren, W.F.; DiNola, A.; Haak, J.R. Molecular dynamics with coupling to an external bath. J. Chem. Phys. 1984, 81, 3684–3690. [Google Scholar] [CrossRef]
- Muller-Plathe, F. A simple nonequilibrium molecular dynamics method for calculating the thermal conductivity. J. Chem. Phys. 1997, 106, 6082–6085. [Google Scholar] [CrossRef]
- Zhang, M.; Lussetti, E.; de Souza, L.E.S.; Muller-Plathe, F. Thermal conductivities of molecular liquids by reverse nonequilibrium molecular dynamics. J. Phys. Chem. B 2005, 109, 15060–15067. [Google Scholar] [CrossRef] [PubMed]
- Li, Q.; Peng, X.; Peng, T.; Tang, Q.; Zhang, X.; Huang, C. Molecular dynamics simulation of Cu/Au thin films under temperature gradient. Appl. Surf. Sci. 2015, 357, 1823–1829. [Google Scholar] [CrossRef]










| NEMD | Maxwell |
|---|---|
| 0.2142 | 0.2038 |
© 2017 by the authors. Licensee MDPI, Basel, Switzerland. This article is an open access article distributed under the terms and conditions of the Creative Commons Attribution (CC-BY) license ( http://creativecommons.org/licenses/by/4.0/).
Share and Cite
Li, Q.; Yu, Y.; Liu, Y.; Liu, C.; Lin, L. Thermal Properties of the Mixed n-Octadecane/Cu Nanoparticle Nanofluids during Phase Transition: A Molecular Dynamics Study. Materials 2017, 10, 38. https://doi.org/10.3390/ma10010038
Li Q, Yu Y, Liu Y, Liu C, Lin L. Thermal Properties of the Mixed n-Octadecane/Cu Nanoparticle Nanofluids during Phase Transition: A Molecular Dynamics Study. Materials. 2017; 10(1):38. https://doi.org/10.3390/ma10010038
Chicago/Turabian StyleLi, Qibin, Yinsheng Yu, Yilun Liu, Chao Liu, and Liyang Lin. 2017. "Thermal Properties of the Mixed n-Octadecane/Cu Nanoparticle Nanofluids during Phase Transition: A Molecular Dynamics Study" Materials 10, no. 1: 38. https://doi.org/10.3390/ma10010038
APA StyleLi, Q., Yu, Y., Liu, Y., Liu, C., & Lin, L. (2017). Thermal Properties of the Mixed n-Octadecane/Cu Nanoparticle Nanofluids during Phase Transition: A Molecular Dynamics Study. Materials, 10(1), 38. https://doi.org/10.3390/ma10010038
