Parameter Sensitivity Analysis for Fractional-Order Modeling of Lithium-Ion Batteries
Abstract
:1. Introduction
- All the battery internal dynamic behaviors, including SEI layer, charge transfer kinetics, double layer effects, and lithium-ion diffusion processes are accurately captured by simple free fractional-orders elements in the proposed model. With the proposed model, the battery voltage dynamics of charging and discharging can be precisely reproduced without using complex electrochemical equations. Thus, the proposed model can accurately predict dynamic behaviors inside the battery by using much less computational resources compared to classic electrochemical equations-based models. This feature makes the proposed model particularly suitable for implementation in real time embedded applications.
- The presented new fractional calculus method solves the boundary fitting problems using the innovative improved Oustaloup recursive algorithm, which, to the best of our knowledge, has never been used for lithium-ion battery models in the literature. This novel approach combines a boundary fitting optimization algorithm with a traditional Oustaloup recursive approximation method, thus the calculation accuracy and efficiency are both satisfied. In this case, a satisfactory fitting result can be efficiently achieved in the whole pre-specified frequency range. Compared to other fractional calculus approximation algorithms, the proposed efficient approach in this paper provides a more precise approximation of free fractional-orders derivative by a series of integer-order filters. From our point of view, this approach is a novel contribution in approximating lithium-ion battery free fractional-order models.
- The modeling parameter sensitivities, especially the effect of the values of fractional calculus on the battery model performance, are analyzed in this paper. This analysis provides insights into the influence of fractional-order parameters, and further shows which internal dynamic behaviors have more significant effects on battery terminal voltage.
2. Fractional-Order Models
2.1. An Improved Oustaloup Recursive Approximation Algorithm
2.2. Structure of Equivalent Fractional-Order Electrochemical Impedance Model
- Region A can be represented by a single Ohmic resistance , this area corresponds to battery Ohmic losses, including the resistances of current collectors, active material, electrolyte and separator.
- High frequency region B, which can be represented by a solid electrolyte interface (SEI) resistance , a SEI layer capacitance , and a fractional element , corresponds to the lithium-ion migration through the SEI film layer.
- Medium frequency region C, which can be represented by a charge transfer resistance , a double layer capacitance , and a fractional element , corresponds to the activation kinetics and double layer effects at the interface of electrolytes;
- Low frequency region D, which can be represented by a Warburg element and a fractional element , corresponds to lithium-ion diffusion processes in the active material of the electrodes.
2.3. Mathematical Description of Fractional-Order Model
2.4. Model Parameters Identification Method
- Initialize the original generation parameters within the given parameters variation range, which are achieved using recursive least squares [28]. Then the lumped parameters and are generated for the fractional-order transfer function (10).
- Fractional order value is used for calculating the fractional derivative using improved Oustaloup approximation Algorithm (3), where and [23].
- The detailed expression of fractional transfer function can be obtained by , and . Meanwhile, battery current is defined as the input of fractional transfer function, to calculate the output voltage of the transfer function.
- The predicted terminal voltage can be obtained using (8), then the fitness value can be obtained from estimation error . Based on the fitness value, GA will take a series of actions, including elitism selection, crossover and mutation, and output the new individual parameters for next estimation iteration.
3. Experimental Validation of the Fractional-Order Model
3.1. Experiment Setup
3.2. Identification Results
3.3. Accuracy of the Proposed Fractional-Order Model
4. Model Parameters Sensitivity Analysis
4.1. Sensitivity Analysis Method
- Select the fractional-order model parameters need to be analyzed, set an appropriate variation range (numerical boundary) of each parameter.
- Generate a series of 700 independent random numbers with a uniform distribution within in the selected parameter design range.
- Run the fractional-order model using selected typical parameter values in order to get the model typical output voltage , where is the operating current (positive for discharging, negative for charging); Run the fractional-order model using generated sets of 700 independent numbers for one parameter to get the model distribution output voltages , where is the generated numbers. Then the relative sensitivity criteria at different operating current values of the selected parameter can be computed using the following equation:
- In order to calculate the overall parameter sensitivity over the whole battery operating current range, the parameter sensitivity index value can be defined as the sum of the relative sensitivity criteria at different battery operating current values:
4.2. MPSA Method Results and Discussion
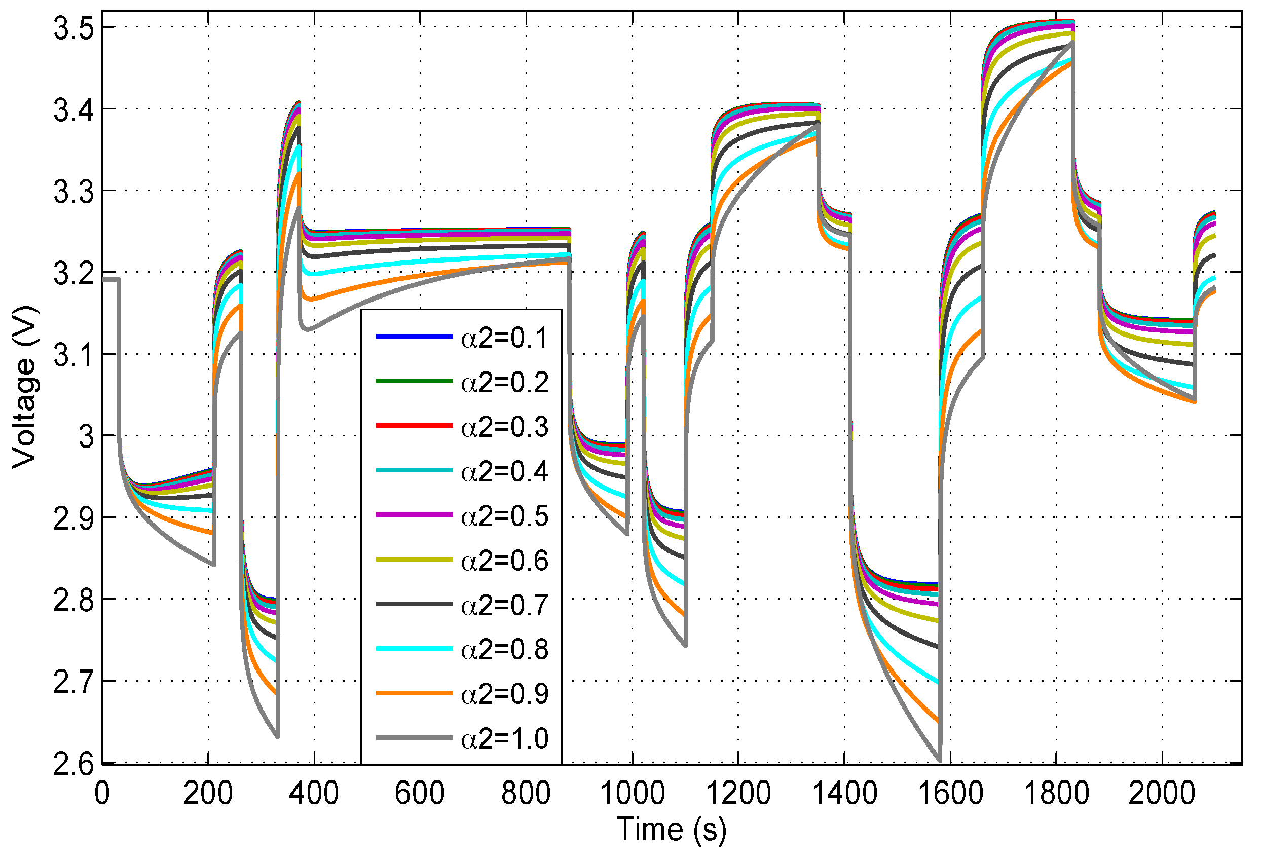
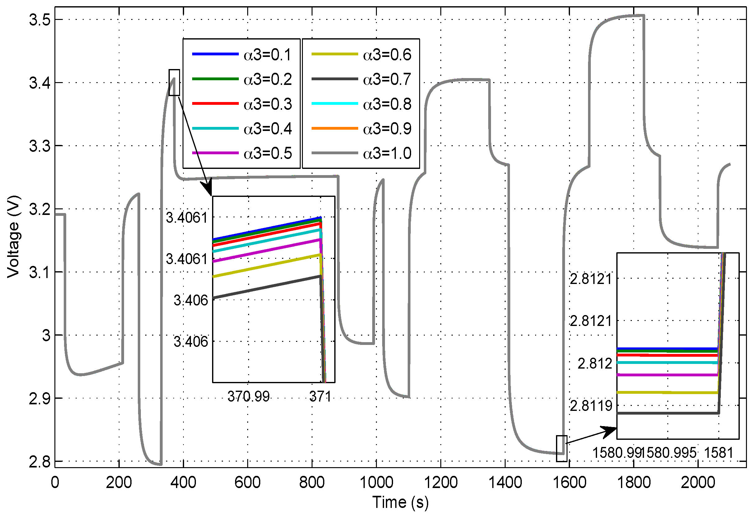
4.3. Dynamic Effect of Fractional-Order Parameters
5. Conclusions
Appendix A
A.1. Lacroix Definition
A.2. Cauchy Definition
A.3. Grünwald-Letnikov Definition
A.4. Riemann-Liouville Definition
A.5. Caputo Definition
A.6. Improved Oustaloup Recursive Approximation
A.6.1. Traditional Oustaloup Recursive Approximation
A.6.2. Improved Oustaloup Recursive Approximation
References
- Ravey, A.; Blunier, B.; Miraoui, A. Energy-Source-Sizing Methodology for Hybrid Fuel Cell Vehicles Based on Statistical Description of Driving Cycles. IEEE Trans. Veh. Technol. 2010, 61, 2452–2457. [Google Scholar] [CrossRef]
- Gao, F.; Blunier, B.; Miraoui, A.; El-Moudni, A. A multiphysic dynamic 1-d model of a proton-exchange-membrane fuel-cell stack for real-time simulation. IEEE Trans. Ind. Electron. 2010, 57, 1853–1864. [Google Scholar]
- Gao, F.; Blunier, B.; Miraoui, A. Proton Exchange Membrane Fuel Cell Modeling; Wiley: Hoboken, NJ, USA, 2012. [Google Scholar]
- Zhou, D.; Ravey, A.; Gao, F.; Paire, D.; Miraoui, A.; Zhang, K. On-line estimation of state-of-charge of Li-ion batteries using an Iterated Extended Kalman Particle Filter. In Proceedings of the IEEE Transportation Electrification Conference and Expo, Dearborn, MI, USA, 14–17 June 2015; pp. 1–5.
- Dai, H.; Wei, X.; Sun, Z.; Wang, J.; Gu, W. Online cell SOC estimation of Li-ion battery packs using a dual time-scale Kalman filtering for EV applications. Appl. Energy 2012, 95, 227–237. [Google Scholar]
- Ouyang, M.; Liu, G.; Lu, L.; Li, J.; Han, X. Enhancing the estimation accuracy in low state-of-charge area: A novel onboard battery model through surface state of charge determination. J. Power Sources 2014, 270, 221–237. [Google Scholar] [CrossRef]
- Plett, G.L. Extended Kalman filtering for battery management systems of LiPB-based HEV battery packs, Part2: Modeling and identification, Part3: State and parameter estimation. J. Power Sources 2004, 134, 252–292. [Google Scholar] [CrossRef]
- Hua, X.; Li, S.; Peng, H. A comparative study of equivalent circuit models for Li-ion batteries. J. Power Sources 2012, 198, 359–367. [Google Scholar] [CrossRef]
- Doyle, M.; Newman, J.; Gozdz, A.; Schmutz, C.; Tarascon, J. Comparison of Modeling Predictions with Experimental Data from Plastic Lithium-ion Cells. J. Electrochem. Soc. 1996, 143, 1890–1903. [Google Scholar] [CrossRef]
- Lee, J.L.; Chemistruck, A.; Plett, G.L. One-dimensional physics-based reduced-order model of lithium-ion dynamics. J. Power Sources 2012, 220, 430–448. [Google Scholar] [CrossRef]
- Guo, M.; Sikha, G.; White, R.E. Single-Particle Model for a Lithium-Ion Cell: Thermal Behavior. J. Electrochem. Soc. 2011, 158, 122–132. [Google Scholar] [CrossRef]
- Prada, E.; Domenico, D.D.; Creff, Y.; Bernard, J.; Sauvant-Moynot, V.; Huet, F. Simplified Electrochemical and Thermal Model of LiFePO4-Graphite Li-Ion Batteries for Fast Charge Applications. J. Electrochem. Soc. 2012, 159, 1508–1519. [Google Scholar] [CrossRef]
- Seaman, A.; Dao, T.; Mcphee, J. A survey of mathematics-based equivalent-circuit and electrochemical battery models for hybrid and electric vehicle simulation. J. Power Sources 2014, 256, 410–423. [Google Scholar] [CrossRef]
- Zhou, D.; Ravey, A.; Gao, F.; Miraoui, A.; Zhang, K. On-Line Estimation of Lithium Polymer Batteries State-of-Charge Using Particle Filter Based Data Fusion with Multi-Models Approach. In Proceedings of the IEEE Industry Applications Society Annual Meeting, Addison, TX, USA, 18–22 October 2015; pp. 1–8.
- Zhou, D.; Zhang, K.; Ravey, A.; Gao, F.; Miraoui, A. On-Line Estimation of Lithium Polymer Batteries State-of-Charge Using Particle Filter Based Data Fusion with Multi-Models Approach. IEEE Trans. Ind. Appl. 2015. [Google Scholar] [CrossRef]
- Debnath, L. Recent applications of fractional calculus to science and engineering. Int. J. Math. Math. Sci. 2003, 54, 3413–3442. [Google Scholar] [CrossRef]
- Zhong, F.; Li, H.; Zhong, S.; Zhong, Q.; Yin, C. An SOC estimation approach based on adaptive sliding mode observer and fractional order equivalent circuit model for lithium-ion batteries. Commun. Nonlinear Sci. Numer Simulat. 2015, 24, 127–144. [Google Scholar] [CrossRef]
- Cugnet, M.; Sabatier, J.; Laruelle, S.; Grugeon, S.; Sahut, B.; Oustaloup, A.; Tarascon, J. On Lead-Acid-Battery Resistance and Cranking-Capability Estimation. IEEE Trans. Ind. Electron. 2010, 57, 909–917. [Google Scholar] [CrossRef]
- Alavi, S.M.M.; Birkl, C.R.; Howey, D.A. Time-domain fitting of battery electrochemical impedance models. J. Power Sources 2015, 288, 345–352. [Google Scholar] [CrossRef]
- Wu, H.; Yuan, S.; Yin, C. A Lithium-Ion Battery Fractional Order State Space Model and its Time Domain System Identification. In Proceedings of the FISITA World Automotive Congress, Beijing, China, 27–30 November 2012; pp. 795–805.
- Sabatier, J.; Cugnet, M.; Laruelle, S.; Grugeon, S.; Sahut, B.; Oustaloup, A.; Tarascon, J. A fractional order model for lead-acid battery crankability estimation. Commun. Nonlinear Sci. Numer Simulat. 2010, 15, 1308–1317. [Google Scholar] [CrossRef]
- Oustaloup, A.; Levron, F.; Mathieu, B.; Nanot, F.M. Frequency-Band Complex Noninteger Differentiator: Characterization and Synthesis. IEEE Trans. Circuit Syst. 2000, 47, 25–39. [Google Scholar] [CrossRef]
- Xue, D.; Zhao, C.; Chen, Y. A Modified Approximation Method of Fractional Order System. In Proceedings of the International Conference on Mechatronics and Automation, Luoyang, China, 25–28 June 2006; pp. 1043–1048.
- Andre, D.; Meiler, M.; Steiner, K.; Wimmer, C.; Soczka-Guth, T.; Sauer, D.U. Characterization of high-power lithium-ion batteries by electrochemical impedance spectroscopy. I. Experimental investigation. J. Power Sources 2011, 196, 5334–5341. [Google Scholar] [CrossRef]
- Zhang, S.; Xu, K.; Jow, T. EIS study on the formation of solid electrolyte interface in Li-ion battery. Electrochim. Acta 2006, 51, 1636–1640. [Google Scholar] [CrossRef]
- Radvanyi, E.; Havenbergh, K.; Porcher, W.; Jouanneau, S.; Bridel, J.; Put, S.; Franger, S. Study and modeling of the Solid Electrolyte Interphase behavior on nano-silicon anodes by Electrochemical Impedance Spectroscopy. Electrochim. Acta 2014, 137, 751–757. [Google Scholar] [CrossRef]
- Forman, J.; Moura, S.; Stein, J.; Fathy, H. Genetic identification and fisher identifiability analysis of the Doyle–Fuller–Newman model from experimental cycling of a LiFePO4 cell. J. Power Sources 2012, 210, 263–275. [Google Scholar] [CrossRef]
- Singh, A.; Izadian, A.; Anwar, S. Model based condition monitoring in lithium-ion batteries. J. Power Sources 2014, 268, 459–468. [Google Scholar] [CrossRef]
- He, H.; Xiong, R.; Fan, J. Evaluation of Lithium-Ion Battery Equivalent Circuit Models for State of Charge Estimation by an Experimental Approach. Energies 2011, 4, 582–598. [Google Scholar] [CrossRef]
- Chen, M.; Rincon-Mora, G. Accurate electrical battery model capable of predicting runtime and IV performance. IEEE Trans. Energy Convers. 2006, 21, 504–511. [Google Scholar] [CrossRef]
- Fares, R.L.; Webber, M.E. Combining a dynamic battery model with high-resolution smart grid data to assess microgrid islanding lifetime. Appl. Energy 2015, 137, 482–489. [Google Scholar] [CrossRef]
- Fares, R.L.; Webber, M.E. A flexible model for economic operational management of grid battery energy storage. Energy 2014, 78, 768–776. [Google Scholar] [CrossRef]
- Fridholm, B.; Wik, T.; Nilsson, M. Robust recursive impedance estimation for automotive lithium-ion batteries. J. Power Sources 2016, 304, 33–41. [Google Scholar] [CrossRef]
- Choi, J.; Harvey, J.; Conklin, M. Use of Multi-Parameter Sensitivity Analysis to Determine Relative Importance of Factors Influencing Natural Attenuation of Mining Contaminants. In US geological survey toxic substances hydrology program; Proceedings of the Technical Meeting, Charleston, SC, USA, 8–12 March 1999; pp. 185–192.
- Zhao, D.; Gao, F.; Massonnat, P.; Dou, M.; Miraoui, A. Parameter Sensitivity Analysis and Local Temperature Distribution Effect for a PEMFC System. IEEE Trans. Energy Convers. 2015, 30, 1008–1018. [Google Scholar] [CrossRef]
- Gao, F.; Blunier, B.; Miraoui, A.; El-Moudni, A. Proton exchange membrane fuel cell multi-physical dynamics and stack spatial non-homogeneity analyses. J. Power Sources 2010, 195, 7609–7626. [Google Scholar] [CrossRef]
- Petras, I. Fractional-Order Nonlinear Systems: Modeling. Analysis and Simulation; Springer: Berlin, Germany, 2011. [Google Scholar]






















| Battery | Nominal capacity (Ah) | Nominal voltage (V) | Max voltage (V) | Operating temperature (℃) |
|---|---|---|---|---|
| WB-LYP40AHA | 40.0 | 3.4 | 4.0 | −45~85 |
| LiFePO4 | 15.0 | 3.2 | 4.3 | −45~70 |
| Parameter | WB-LYP40AHA | LiFePO4 |
|---|---|---|
| Battery | Test | 2-RC Model | Fractional-Order Model | ||
|---|---|---|---|---|---|
| RMSE (%) | MAE (V) | RMSE (%) | MAE (V) | ||
| WB-LYP40AHA | Hybrid pulse test | 2.2582 | 0.1860 | 1.3100 | 0.1307 |
| DST | 0.7430 | 0.0307 | 0.3640 | 0.0125 | |
| LiFePO4 | Hybrid pulse test | 5.0504 | 0.7991 | 3.5621 | 0.4052 |
| DST | 5.0310 | 0.4438 | 1.2203 | 0.0386 | |
| Parameter | Typical value | Variation range | Index value | Sensitivity |
|---|---|---|---|---|
| Highly sensitive | ||||
| Highly sensitive | ||||
| Sensitive | ||||
| Sensitive | ||||
| Sensitive | ||||
| Insensitive | ||||
| Insensitive | ||||
| Insensitive |
© 2016 by the authors; licensee MDPI, Basel, Switzerland. This article is an open access article distributed under the terms and conditions of the Creative Commons by Attribution (CC-BY) license (http://creativecommons.org/licenses/by/4.0/).
Share and Cite
Zhou, D.; Zhang, K.; Ravey, A.; Gao, F.; Miraoui, A. Parameter Sensitivity Analysis for Fractional-Order Modeling of Lithium-Ion Batteries. Energies 2016, 9, 123. https://doi.org/10.3390/en9030123
Zhou D, Zhang K, Ravey A, Gao F, Miraoui A. Parameter Sensitivity Analysis for Fractional-Order Modeling of Lithium-Ion Batteries. Energies. 2016; 9(3):123. https://doi.org/10.3390/en9030123
Chicago/Turabian StyleZhou, Daming, Ke Zhang, Alexandre Ravey, Fei Gao, and Abdellatif Miraoui. 2016. "Parameter Sensitivity Analysis for Fractional-Order Modeling of Lithium-Ion Batteries" Energies 9, no. 3: 123. https://doi.org/10.3390/en9030123
APA StyleZhou, D., Zhang, K., Ravey, A., Gao, F., & Miraoui, A. (2016). Parameter Sensitivity Analysis for Fractional-Order Modeling of Lithium-Ion Batteries. Energies, 9(3), 123. https://doi.org/10.3390/en9030123

