Catalytic Upgrading of Bio-Oil by Reacting with Olefins and Alcohols over Solid Acids: Reaction Paths via Model Compound Studies
Abstract
:1. Introduction
2. Results and Discussion
2.1. Catalyst Characterization
, prepared by reacting silica gel with chlorosufonic acid in dichloromethane was obtained as a white solid in 98% yield. Table 1 summarizes the physical properties (surface area, pore size, pore volume and acidity amount) as well as chemical compositions of SSA and other four catalysts. The specific surface area was calculated using the BET equation. The total pore volume was determined at 77K for 300 min and also the average pore diameter were was calculated using the Barrett-Joyner-Halenda (BJH) method. The amount of H+ was calculated by titration of catalyst samples in water with standard sodium hydroxide (0.495M). These results show that SSA have a good specific surface area than the three ion exchange resins and high pore volume than Cs2.5/K10. This might be a reason for high catalytic performance of the SSA catalyst in the experimental conditions. Negligible decreases in pore volume, surface area and pore diameter of once used SSA catalyst (Table 1) displayed its good reusability. | Catalysts | Cs2.5/K10 | Amberlyst36 | Amberlyst15 | Dowex50X2 | SSA |
|---|---|---|---|---|---|
| Description | Cs2.5H0.5PW12O40 supported on clay | Macroreticular resin | Macroreticular resin | Microreticular resin | Silica sulfuric acid |
| Chemical composition | Cs2.5H0.5PW12O40/aluminosilicate (lamellar), 30% | Functionalized copolymers (styrene + DVB) | Copolymer (styrene + 20% DVB) | Copolymer (styrene + 2% DVB) | ![]() |
| Acidity type | Brönsted + Lewis | Brönsted | Brönsted | Brönsted | Brönsted |
| Acidity amount (meq·g−1) | 0.17 | 5.4 | 4.7 | 4.3 | 2.9 (2.7) |
| BET surface area (m2·g−1) | 181 | 35 | 51 | Gel (swells) | 308 (302) |
| Average pore diameter (nm) | 6.0 | 24 | 40-80 | NA | 2.1 (2.0) |
| pore volume (cm3·g−1) | 0.29 | 0.20 | 0.40 | NA | 0.509 (0.498) |
. Characteristic IR absorptions of Cs2.5/K10 are also summarized in Table 2. The IR bands at ca. 1075 cm−1, 1032 cm−1 and 982 cm−1 were due to P-O in the central tetrahedron, K10 clay and terminal W=O, respectively. The peaks at ca. 886 and 790 cm−1 (asymmetric W-O-W vibrations) are associated with the Keggin polyanion [18]. | SSA | Cs2.5/K10 | ||
|---|---|---|---|
| Absorption (cm−1) | Assignment | Absorption (cm−1) | Assignment |
| 3200~3500 | hydrogen bonded -OH | 1075 | P-O stretching |
| 1178 | S=O symmetrical stretching | 1032 | Si-O in K10 clay |
| 1000~1100 | Si-O-Si bridge stretching | 982 | terminal W=O |
| 971 | Si-OH stretching | 886,790 | W-O-W vibrations |
| 852, 886 | S-O stretching | ||
2.2. Catalytic Activity
), where the S atom has 3 O atoms attached, the S atom in SSA (
) has 4 O atoms attached. This causes the weaker basicity of
verses that of
. Thus, SSA is the strongest acid. The stronger the acid, the more 1-octene protonation is favored. Hence, more octyl cations are generated. With the increase in octyl cation concentration, both phenol alkylation (phenolic oxygen attack on the carbocation) and 1-octene isomerization reaction (loss of proton from the carbocation) would speed up accompanied with faster consumption of 1-octene. This is consistent with higher phenol conversion and both 1-octene isomerization activity and conversion to other products with SSA. | Catalyst | 1-Octene conversion (%) b | Phenol conversion (%) c | 1-Octene isomerization (%) d | 1-Butanol conversion (%) e | O-alkylates selectivity (%) f |
|---|---|---|---|---|---|
| Cs2.5/K10 | 10.1 | 1.2 | 1.9 | 68.2 | 42.0 |
| A36 | 14.0 | 6.1 | 13.5 | 94.3 | 67.7 |
| A15 | 27.1 | 27.6 | 54.1 | 97.4 | 73.7 |
| DX2 | 43.1 | 37.3 | 55.5 | 90.5 | 73.9 |
| SSA | 60.1 | 64.1 | 87.9 | 97.4 | 64.1 |
2.2. Reactivities of Model Bio-Oil Components

| Catalyst | Selectivity (%) | ||
|---|---|---|---|
| O-alkylates | C-alkylates | Di-C-alkylates | |
| Amberlyst 15 | 5.5 | 86.0 | 8.5 |
| Cs2.5/K10 | 3.2 | 65.9 | 30.9 |
| Amberlyst 36 | 8.0 | 86.3 | 5.7 |
| Dowex50WX2 | 33.5 | 63.2 | 3.3 |
| SSA | 37.2 | 34.4 | 28.4 |

| Catalyst | Selectivity (%) | b Yield (%) | |||
|---|---|---|---|---|---|
| O-alkylates | C-alkylates | Di-C-alkylates | Octanols | Dioctyl ethers | |
| Amberlyst 15 | 82.5 | 16.0 | 1.5 | 5.4 | 0.2 |
| Cs2.5/K10 | 75.9 | 20.8 | 3.3 | 6.7 | 0.4 |
| Amberlyst 36 | 73.7 | 25.0 | 1.4 | 0.7 | 0.2 |
| Dowex50WX2 | 84.5 | 12.5 | 3.0 | 4.7 | 1.7 |
| SSA | 75.1 | 19.5 | 5.4 | 3.4 | 1.7 |

| Catalyst | Phenol Conversion (%) | b Yield (%) Octyl acetates |
|---|---|---|
| Amberlyst 15 | 5.6 | 0.6 |
| Cs2.5/K10 | 2.3 | 0.4 |
| Amberlyst 36 | 6.5 | 1.0 |
| Dowex50WX2 | 63.1 | 4.3 |
| SSA | 67.2 | 9.4 |

| Catalyst | Phenol Conversion (%) | b Yield (%) |
|---|---|---|
| Butyl octyl ethers | ||
| Amberlyst 15 | 40.7 | 0.17 |
| Cs2.5/K10 | 6.9 | nd |
| Dowex50WX2 | 40.6 | 0.69 |
| SSA | 69.2 | 0.24 |

| Added Reagent | Catalyst | Phenol conversion (%) | d Products yield (%) |
|---|---|---|---|
| Hydroxyacetone | SSA | 64.0 | Methyl cyclopentenolone (0.12) |
| Cs2.5/K10 | 2.2 | Methyl cyclopentenolone, (0.21) | |
| 2-Hydroxymethylfuran | SSA | 65.0 | UN b (0.18) |
| Cs2.5/K10 | 4.5 | UN b (0.87) | |
| D-glucose | SSA | 64.7 | Anhydrosugar c (0.14) |
| Cs2.5/K10 | 3.5 | Anhydrosugar c (0.20) | |
| A15 | 40.5 | octyl formates, 0.28 | |
| DX2 | 41.3 | octyl formates, 0.36 |
| 2-Hydroxymethylfuran | Hydroxyacetone | ||
|---|---|---|---|
| Compounds | Peak area (%) | Compounds | Peak area (%) |
| 2-hydroxymethylfuran | 78.3 | Propionic acid | 63.4 |
| Difurfuryl ether | 9.4 | Hydroxyacetone dimers | 24.8 |
| 5-Furfuryl-furfuryl alcohol | 4.9 | Methyl cyclopentenolone | 9.7 |
| Difuran-2-ylmethane | 4.8 | Unkown species | 1.8 |
| Others | 2.6 | ||



| Olefins | PC (%) b | Product distributions (GC area %) c |
|---|---|---|
| 1,7-Octadiene | 52.4 | Skeletal isomers (4.5%): 1,6-octadiene, 3,5-octadiene, 2-methyl-1,5-heptadiene, 2,4-dimethyl-1,5-hexadiene, 3-methyl-1,5-heptadiene, etc. Cycloolefins (14.2%): bicyclo[4.1.0]heptane, 2-methylbicyclo[2.2.1]heptane, 4-ethyl-1-cyclohexene,cyclooctene,1-ethyl-2-methylcyclopen-tene, 1,6-dimethyl-cyclohexene,ethylidenecyclohexane, 1,2-dimethyl-1-cyclohexene, etc. Alcohols and ethers (8.8%): 1,7-octanediol, 4-ethylcyclohexanol, 1-ethylcyclohexanol, 2-propyl-tetrahydropyran, 2,5-diethyltetrahydrofur-an, 2-propyltetrahydropyran, 2-butyl-3-ethyloxirane, etc. O-Alkylates (33.4%); Mono-C-alkylates (4.1%); Di-C-alkylates (10.1%) |
| Cyclohexene | 62.0 | Oligomers (0.2%):1-cyclohexyl-1-cyclohexene, etc. Alcohols and ethers(1.4%):cyclohexanol, di-cyclohexyl ether O-Alkylates (2.9%): cyclohexyl phenyl ether Mono-C-alkylates (33.4%): o-cyclohexylphenol, p-cyclohexylphenol Di-C-alkylates (26.8%); Tri-C-alkylates (8.3%):2,4,6-tricyclohexyl-phenol |
| 1-Octene | 74.5 | Skeletal isomers (12.1%):2-octene, 3-octene, 4-ocene, 1-octene. Alcohols and ethers (5.1%):2-octanol, 3-octanol dioctyl ethers, etc. O-Alkylates (48.6%):2-Octyl phenyl ether, 3-Octyl phenyl ether, etc. Mono-C-alkylates (14.5%): o-octylphenol, p-octylphenols, etc. Di-C-alkylates (11.5%): 2,4-di-octylphenols, 2,6-dioctylphenols, |
| 2,4,4-Trimethyl-pentene | 89.9 | Skeletal isomers (4.7%): 2,4,4-trimethyl-1-pentene, 3,4,4-trimethyl-2-pentene, etc. Fragments and oligomers (3.8%): 4,4-dimethyl-2-neopentyl-1-pentene, 2,2,4,6,6-pentamethyl-3-heptene, 2,2,4,4,6,8,8-heptamethyl-nonane, 2,4,4,6,6,8,8-heptamethyl-1-nonene, 2,2,4,6,6- pentamethyl-3-heptene, etc. Alcohols and ethers (1.8%): 2,5,5-trimethyl-2-pentanol Mono-C-alkylates (64.2%): p-(1,1,3,3-tetramethylbutyl)phenol, o-t-butylphenol, p-t-butylphenol, etc. Di-C-alkylates (12.1%): 2,4-di-t-butylphenol, 2,5-di-t-butylphenol, 2,6-di-t-butylphenol, 2-t-butyl-4-(1,1,3,3-tetramethylbutyl)phenol, etc. Tri-C-alkylates (6.7%): 2,4,6-tri-t-butylphenol |

| Catalyst | 1-Butanol Conv. (%) | Selectivity (%) | Yield (%) b | |||||
|---|---|---|---|---|---|---|---|---|
| Mono-O-octylates | Mono-C-octylates | Di-octylates | Octanols | Dioctyl ethers | Dibutyl ether | O-Butylate | ||
| A15 | 60.9 | 84.2 | 14.5 | 1.2 | 6.3 | 2.0 | 11.9 | 0.14 |
| DX2 | 58.7 | 84.8 | 14.1 | 1.0 | 6.9 | 2.1 | 11.9 | 0.61 |
| SSA | 74.8 | 82.3 | 13.8 | 3.9 | 4.8 | 1.9 | 12.4 | 0.1 |
| Cs2.5/K10 | 8.2 | 53.4 | 46.6 | 0 | 0.1 | Nd | 0.1 | Nd |

| Products | Peak area (%) | ||||
|---|---|---|---|---|---|
| Cs2.5/K10 | A36 | A15 | DX2 | SSA | |
| Unreacted | |||||
| 1-octene | 48.4 | 54.1 | 26.4 | 20.3 | 4.0 |
| 1-butanol | 1.0 | 0.2 | 0.1 | 0.3 | 0.2 |
| phenol | 40.4 | 21.9 | 15.7 | 15.3 | 9.6 |
| 1-Dodecane (Internal standard) | 1.4 | 1.4 | 1.5 | 1.8 | 3.0 |
| In common | |||||
| 1-Octene isomers | 1.0 | 8.5 | 31.1 | 25.3 | 28.9 |
| Phenol octylates | 0.8 | 2.9 | 12.4 | 18.8 | 35.3 |
| Octanols | 0.1 | 2.3 | 2.6 | 3.8 | 1.5 |
| Dioctyl ethers | 0.1 | Nd | 0.1 | 0.3 | 1.3 |
| b 1-Octene oligmers and their hydrates | 3.8 | 4.2 | 4.7 | 5.0 | 6.1 |
| Octyl acetates | 0.8 | 0.9 | 1.6 | 6.7 | 4.8 |
| 1,1-Dibutoxyethane | 0.3 | 0.1 | 0.1 | 0.1 | 0.1 |
| Dibutyl ether | 1.4 | 0.1 | 0.3 | 0.4 | 2.7 |
| Butyl acetate | 0.3 | 2.9 | 3.0 | 1.7 | 2.3 |
| Butyl levulinate | 0.1 | 0.6 | 0.3 | 0.2 | 0.4 |
| Independent | |||||
| 2-Hydroxy-3-methylcyclopent-2-enone | 0.1 | Nd | 0.1 | 0.1 | Nd |
| 2-(2-Furylmethyl)furan | 0.1 | Nd | Nd | Nd | Nd |

| Addition amounts (g) | Butyl levulinate yields (Area %) | ||
|---|---|---|---|
| 2-Hydroxymethylfuran | d-glucose | 1-Butanol | |
| 0.15 | 0.15 | 0.15 | 0.22 |
| 0.15 | 0.30 | 0.30 | 0.34 |
| 0.15 | 0.30 | 0.30 | 0.98 |
| 0.30 | 0.15 | 0.30 | 1.39 |
| 0.30 | 0.30 | 0.60 | 2.45 |
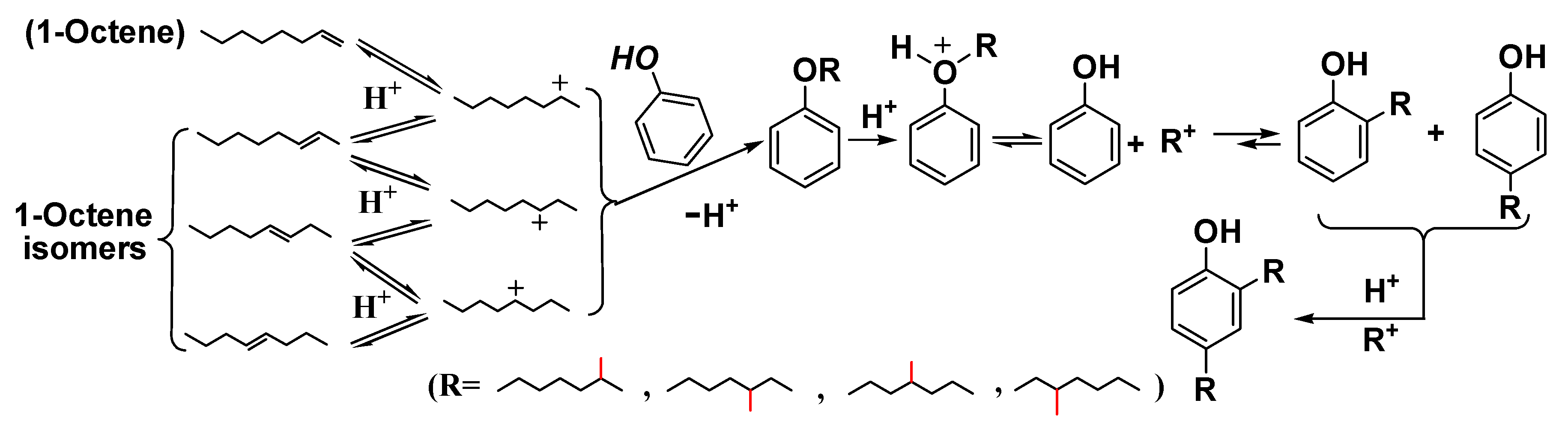
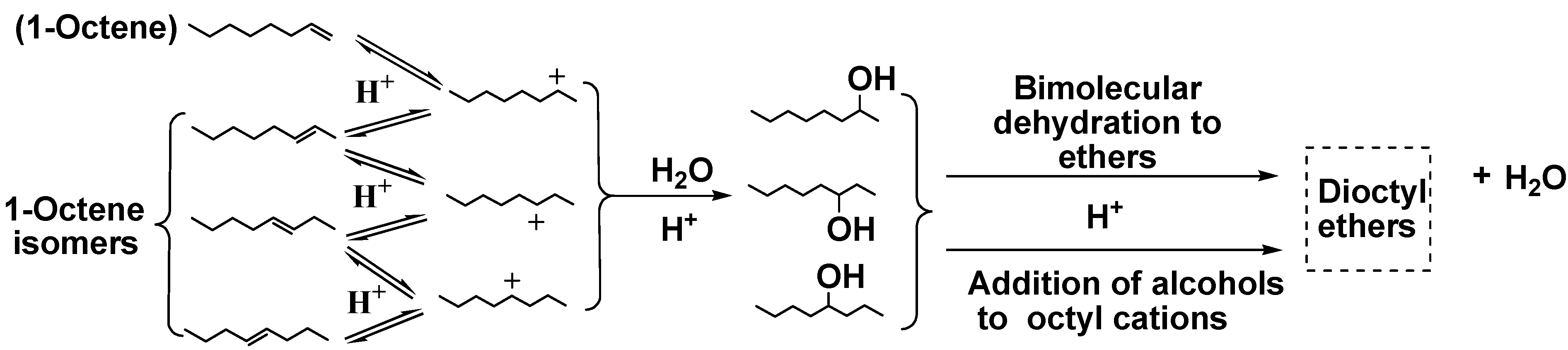
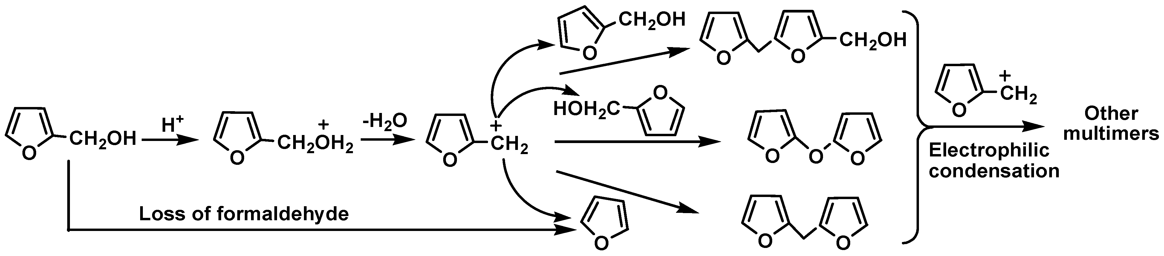
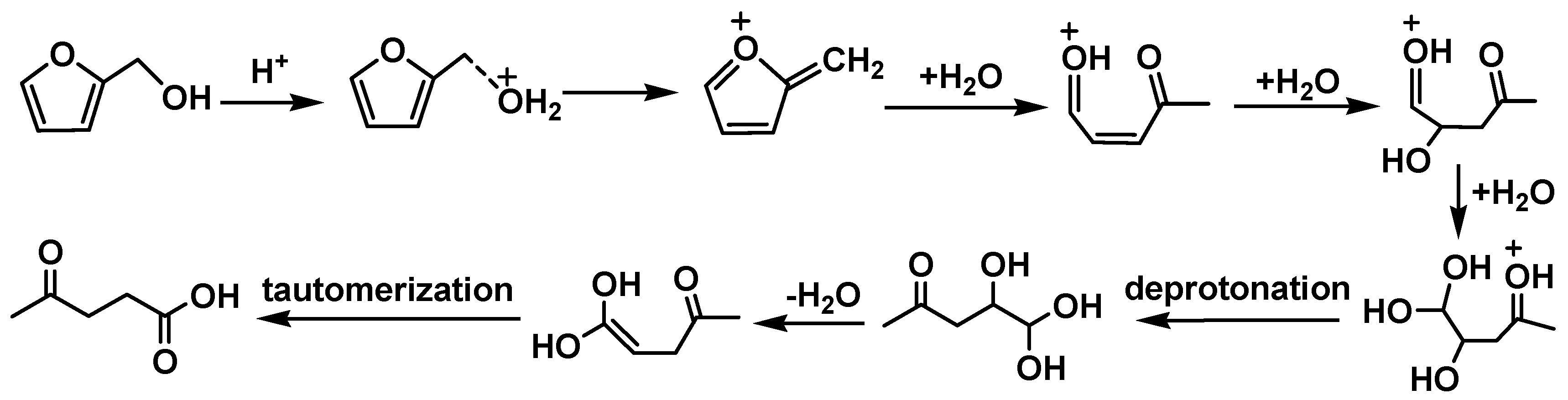
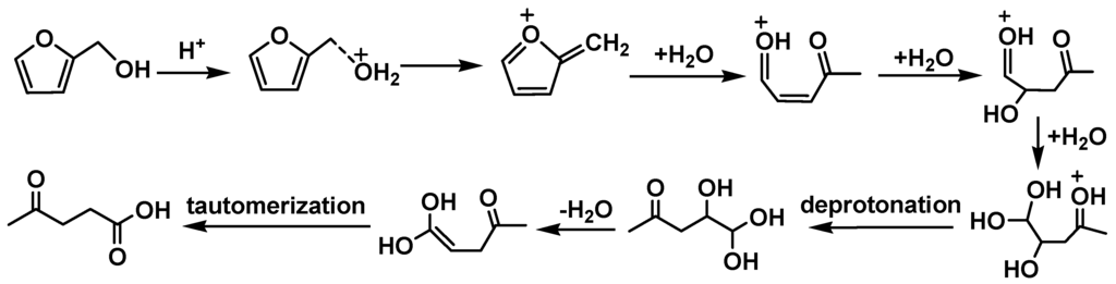
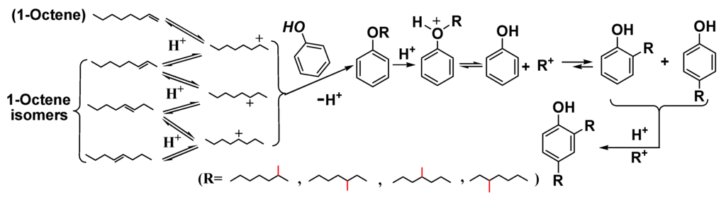
2.3. Proposed Reaction Pathways for Model Bio-Oil Components

3. Experimental Section
3.1. Catalyst Preparation
3.2. Catalytic Reactions
4. Conclusions
Acknowledgments
References
- Ragauskas, A.J.; Williams, C.K.; Davison, B.H.; Britovsek, G.; Cairney, J.; Eckert, C.A.; Frederick, W.J., Jr.; Hallett, J.P.; Leak, D.J.; Liotta, C.L.; et al. The path forward for biofuels and biomaterials. Science 2006, 311, 484–489. [Google Scholar] [CrossRef] [PubMed]
- Huber, G.W.; Iborra, S.; Corma, A. Synthesis of transportation fuels from biomass: Chemistry, catalysts, and engineering. Chem. Rev. 2006, 106, 4044–4098. [Google Scholar] [CrossRef] [PubMed]
- Amidon, T.E.; Wood, C.D.; Shupe, A.M.; Wang, Y.; Graves, M.; Liu, S.J. Biorefinery: Conversion of woody biomass to chemicals, energy and materials. J. Biobased Mater. Bioenergy 2008, 2, 100–120. [Google Scholar] [CrossRef]
- Butt, D. Thermochemical Processing of Agroforestry Biomass for Furans, Phenols, Cellulose and Essential Oils; Final Report for RIRDC Project PN99.2006; RIRDC Publication (No.06/121): Melbourne, Australia, 2006. [Google Scholar]
- Mohan, D.; Pittman, C.U., Jr.; Steele, P.H. Pyrolysis of wood/biomass for bio-oil: A critical review. Energy Fuels 2006, 20, 848–889. [Google Scholar] [CrossRef]
- Czernik, S.; Bridgwater, A.V. Overview of applications of biomass fast pyrolysis oil. Energy Fuels 2004, 18, 590–598. [Google Scholar] [CrossRef]
- Diebold, J.P. A review of the chemical and physical mechanisms of the storage stability of fast pyrolysis bio-oils. In Fast Pyrolysis of Biomass: A Handbook; CPL Scientific Publishing: Newbury, UK, 2002; Volume 2, pp. 243–292. [Google Scholar]
- Elliot, D.C.; Hart, T.R.; Neuenschwander, G.G.; Rotness, L.J.; Zacher, A.H. Catalytic hydroprocessing of biomass fast pyrolysis bio-oil to produce hydrocarbon products. Environ. Progr. Sustain. Energy 2009, 28, 441–449. [Google Scholar] [CrossRef]
- Ben, H.; Mu, W.; Deng, Y.; Ragauskas, A.J. Production of renewable gasoline from aqueous phase hydrogenation of lignin pyrolysis oil. Fuel 2013, 103, 1148–1153. [Google Scholar] [CrossRef]
- Venderbosch, R.H.; Prins, W. Fast pyrolysis technology development. Biofuels Bioprod. Biorefin. 2010, 4, 178–208. [Google Scholar] [CrossRef]
- Mortensen, P.M.; Grunwaldt, J.D.; Jensen, P.A.; Knudsen, K.G.; Jensen, A.D. A review of catalytic upgrading of bio-oil to engine fuels. Appl. Catal. A 2011, 407, 1–19. [Google Scholar] [CrossRef]
- Bulushev, D.A.; Ross, J.R.H. Catalysis for conversion of biomass to fuels via pyrolysis and gasification: A review. Catal. Today 2011, 171, 1–13. [Google Scholar] [CrossRef]
- Bridgwater, A.V. Review of fast pyrolysis of biomass and product upgrading. Biomass Bioenergy 2012, 38, 68–94. [Google Scholar] [CrossRef]
- Zhang, H.; Xiao, R.; Wang, D.; He, G.; Shao, S.; Zhang, J.; Zhong, Z. Biomass fast pyrolysis in a fluidized bed reactor under N2, CO2, CO., CH4 and H2 atmospheres. Bioresour. Technol. 2011, 102, 4258–4264. [Google Scholar] [CrossRef] [PubMed]
- Zabeti, M.; Nguyen, T.S.; Lefferts, L.; Heeres, H.J.; Seshan, K. In situ catalytic pyrolysis of lignocellulose using alkali-modified amorphous silica alumina. Bioresour. Technol. 2012, 118, 374–381. [Google Scholar] [CrossRef] [PubMed]
- Wan, Y.Q.; Chen, P.; Zhang, B.; Yang, C.; Liu, Y.; Lin, X.; Ruan, R. Microwave-assisted pyrolysis of biomass: Catalysts to improve product selectivity. J. Anal. Appl. Pyrolysis 2009, 86, 161–167. [Google Scholar] [CrossRef]
- Zhang, Z.J.; Wang, Q.W.; Yang, X.L.; Chatterjee, S.; Pittman, C.U., Jr. Sulfonic acid resin-catalyzed addition of phenols, carboxylic acids, and water to olefins: Model reactions for catalytic upgrading of bio-oil. Bioresour. Technol. 2010, 101, 3685–3695. [Google Scholar] [CrossRef] [PubMed]
- Yang, X.L.; Chatterjee, S.; Zhang, Z.J.; Zhu, X.F.; Pittman, C.U., Jr. Reactions of phenol, water, acetic acid, methanol, and 2-hydroxymethylfuran with olefins as models for bio-oil upgrading. Ind. Eng. Chem. Res. 2010, 49, 2003–2013. [Google Scholar] [CrossRef]
- Zhang, Z.J.; Wang, Q.W.; Tripathi, P.; Pittman, C.U., Jr. Catalytic upgrading of bio-oil using 1-octene and 1-butanol over sulfonic acid resin catalysts. Green Chem. 2011, 13, 940–949. [Google Scholar] [CrossRef]
- Cheng, C.L.; Chien, L.J.; Lee, W.J.; Che, P.Y.; Chen, B.Y.; Chang, J.S. High yield bio-butanol production by solvent-producing bacterial microflora. Bioresour. Technol. 2012, 113, 58–64. [Google Scholar] [CrossRef] [PubMed]
- DuPont/BP. DuPont and BP Announce Partnership to Develop Advanced Biofuel; DuPont Press Release: Wilmington, NC, USA, 2006; Available online: http://multivu.prnewswire.com/mnr/dupont/24656/ (accessed on 4 March 2013).
- Zhang, Z.J.; Sui, S.J.; Tan, S.; Wang, Q.W.; Pittman, C.U., Jr. Catalytic conversion of bio-oil to oxygen-containing fuels by simultaneous reactions with 1-butanol and 1-octene over solid acids: Model compound studies and reaction pathways. Bioresour. Technol. 2012, 130, 789–792. [Google Scholar] [CrossRef] [PubMed]
- Minakata, S.; Komatsu, M. Organic reactions on silica in water. Chem. Rev. 2009, 109, 711–724. [Google Scholar] [CrossRef] [PubMed]
- Meng, F.B.; Zhang, B.Y.; Liu, L.M.; Zang, B.L. Liquid-crystalline elastomers produced by chemical crosslinking agents containing sulfonic acid groups. Polymer 2003, 44, 3935–3943. [Google Scholar] [CrossRef]
- Marcelo, E.; Domine, C.; Veen, V.; Schuurman, Y.; Mirodatos, C. Coprocessing of oxygenated biomass compounds and hydrocarbons for the production of sustainable fuel. ChemSusChem 2008, 1, 179–181. [Google Scholar] [CrossRef] [PubMed]
- Corma, A.; Hube, G.W.; Sauvanaud, L.; O’Connor, P. Biomass to chemicals: Catalytic conversion of glycerol/water mixtures into acrolein, reaction network. J. Catal. 2008, 257, 163–171. [Google Scholar] [CrossRef]
- Kim, T.; Assary, R.S.; Marshall, C.L.; Gosztola, D.J.; Curtiss, L.A.; Stair, P.C. Acid-catalyzed furfuryl alcohol polymerization: Characterizations of molecular structure and thermodynamic properties. ChemCatChem 2011, 3, 1451–1458. [Google Scholar] [CrossRef]
- Horvat, J.; Klaic, B.; Metelko, B.; Sunjic, V. Mechanism of levulinic acid formation. Tetrahedron. Lett. 1985, 26, 2111–2114. [Google Scholar] [CrossRef]
- González Maldonado, G.M.; Assary, R.S.; Dumesic, J.; Curtiss, L.A. Experimental and theoretical studies of the acid-catalyzed conversion of furfuryl alcohol to levulinic acid in aqueous solution. Energy Environ. Sci. 2012, 5, 6981–6989. [Google Scholar] [CrossRef]
- Shaabani, A.; Rahmati, A. Silica sulfuric acid as an efficient and recoverable catalyst for the synthesis of trisubstituted imidazoles. J. Mol. Catal. A 2006, 249, 246–248. [Google Scholar] [CrossRef]
- Kamalakar, G.; Komura, K.; Sugi, Y. Tungstophosphoric acid supported on MCM-41 mesoporous silicate: An efficient catalyst for the di-tert-butylation of cresols with tert-butanol in supercritical carbon dioxide. Appl. Catal. A Gen. 2006, 310, 155–163. [Google Scholar] [CrossRef]
© 2013 by the authors; licensee MDPI, Basel, Switzerland. This article is an open access article distributed under the terms and conditions of the Creative Commons Attribution license (http://creativecommons.org/licenses/by/3.0/).
Share and Cite
Zhang, Z.; Pittman, C.U., Jr.; Sui, S.; Sun, J.; Wang, Q. Catalytic Upgrading of Bio-Oil by Reacting with Olefins and Alcohols over Solid Acids: Reaction Paths via Model Compound Studies. Energies 2013, 6, 1568-1589. https://doi.org/10.3390/en6031568
Zhang Z, Pittman CU Jr., Sui S, Sun J, Wang Q. Catalytic Upgrading of Bio-Oil by Reacting with Olefins and Alcohols over Solid Acids: Reaction Paths via Model Compound Studies. Energies. 2013; 6(3):1568-1589. https://doi.org/10.3390/en6031568
Chicago/Turabian StyleZhang, Zhijun, Charles U. Pittman, Jr., Shujuan Sui, Jianping Sun, and Qingwen Wang. 2013. "Catalytic Upgrading of Bio-Oil by Reacting with Olefins and Alcohols over Solid Acids: Reaction Paths via Model Compound Studies" Energies 6, no. 3: 1568-1589. https://doi.org/10.3390/en6031568
APA StyleZhang, Z., Pittman, C. U., Jr., Sui, S., Sun, J., & Wang, Q. (2013). Catalytic Upgrading of Bio-Oil by Reacting with Olefins and Alcohols over Solid Acids: Reaction Paths via Model Compound Studies. Energies, 6(3), 1568-1589. https://doi.org/10.3390/en6031568
