A Novel Pumped Hydro Combined with Compressed Air Energy Storage System
Abstract
:1. Introduction
| Type | Storage Capital Cost ($/kWh) | Plant Capital Cost ($/kW) | Storage Capital (MWh) | Efficiency (%) | Operation and maintenance cost ($/kW/yr) | Hours (full power ) | Power (MW) |
|---|---|---|---|---|---|---|---|
| CAES | >3 | >425 | 5–100,000 | >70 | 1.35 | 1–10 min | 0.5–2700 |
| Pumped Hydro | >10 | >600 | >20,000 | >70 | 4.3 | 10 s–4 min | 300–1800 |
| Flywheel | 300–25,000 | 280–360 | 0.0002–500 | 90–93 | 7.5 | <1s | 0.001–1 |
| Superconducting Magnet | 500–72,000 | 300 | 0.0002–100 | 95 | 1 | <1s | 0.001–2 |
| Battery Storage | 1–15 | 500–1500 | 0.0002–2 | 59 | - | <1s | 0.01–3 |
2. Physical Model and Working Principles


3. Characteristic of the PHCA System
| Type | Equipment | Cost (RMB) | Cost Fraction (%) | Total (RMB) |
|---|---|---|---|---|
| CAES a | Compressor | 220 | 11 | 2003 |
| Heat Exchanger | 80 | 4 | ||
| Expander | 541 | 27 | ||
| High Pressure Vessel | 200 | 10 | ||
| PHES b | Pump | 124 | 6 | 2066 |
| Hydro Turbine | 248 | 12 | ||
| PHCA | Compressor | 80 | 50 | 1704 |
| Pump | 124 | |||
| Hydro Turbine | 248 | |||
| High Pressure Vessel | 400 |
- Simple structure. In the process of energy storage and power generation of the CAPW, cooler and auxiliary heating systems are not required.
- High efficiency. The efficiency of the water pump and water turbine are both higher than that of the compressor and expander; thus, the efficiency of the CAPW has a more improved space than the CAES.
- Low cost. In the same scale of energy storage system, the costs of high pressure water pump and hydro turbine are less than those of the compressor and expander; furthermore, the CAPW does not need a cooler or heater, thereby saving system cost.
4. Thermodynamic Analysis of the PHCA System
- The gas in the vessel is assumed to be nitrogen due to its very low solubility in the water and the fact it is inactive and easily accessible.
- Nitrogen can be treated as ideal gas, and hydraulic water is incompressible in the thermodynamics analysis.
- The vessel is considered as an adiabatic container to make the analysis of the PHCA system simplified to calculate.
- There is no net transfer of water vapor between the water and nitrogen and no pressure loss in the pipes of the gas liquid flows.
4.1. Initial Compression Process
4.2. Water Injection Process for Energy Storage



4.3. Electricity Generation
5. Analysis and Discussion of Influencing Parameters
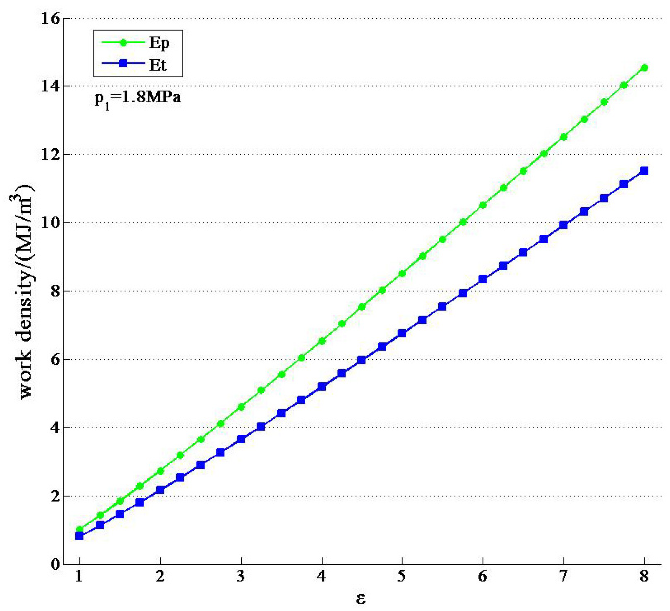
5.1. The Influences of Work Density


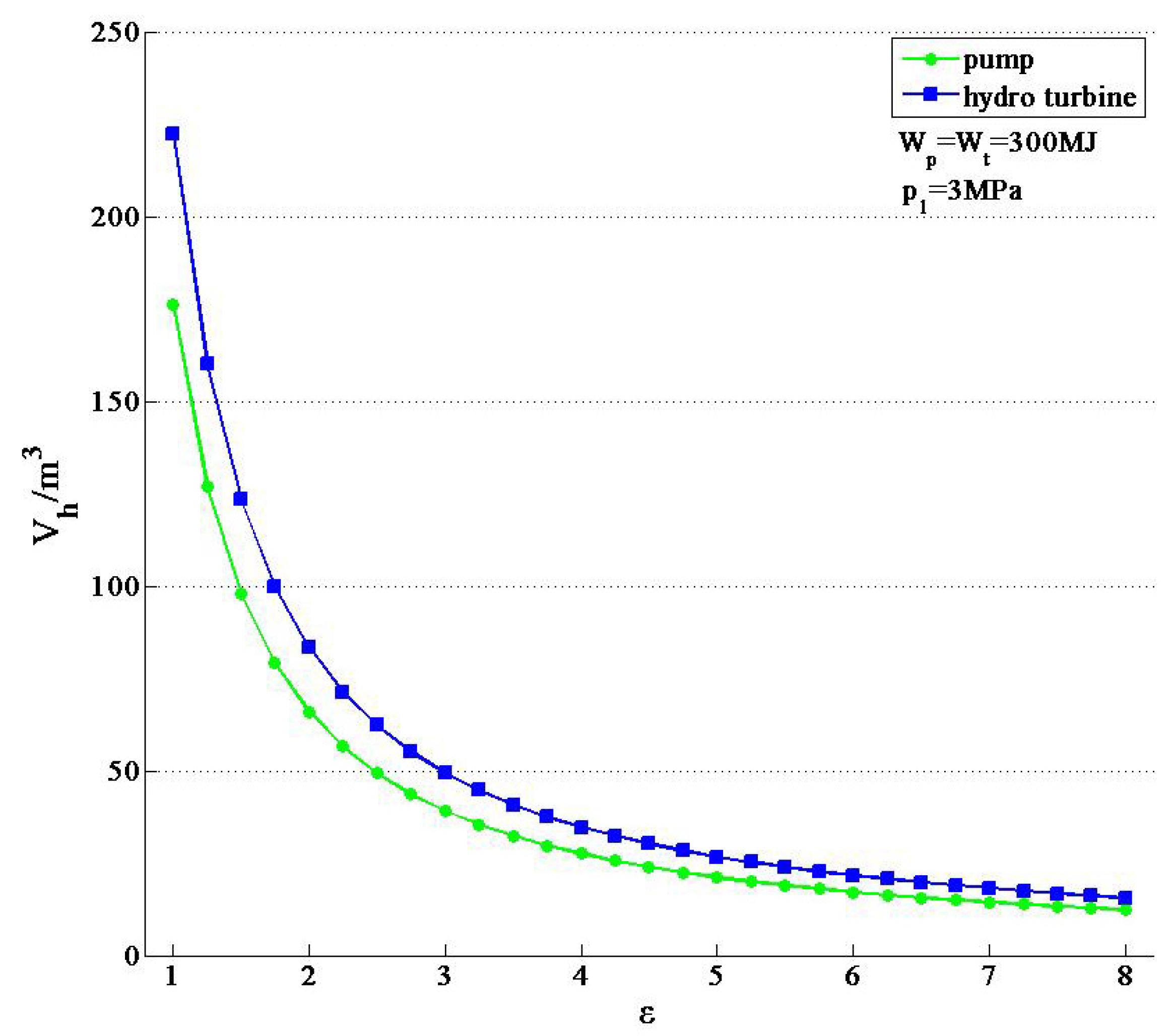
5.2. Change Relations among Preset Pressure, Vessel Volume and Water-Air Volume Ratio



5.3. Influence of Water Pump Efficiency and Water Turbine Efficiency
6. Conclusions
- The PHCA has the advantages of simple structure, high efficiency and low cost compared with the CAES, and does not need special geologic conditions like a pumped hydro storage system.
- In the analysis above, the work density is increasing when pre-set pressure and water to air volume ratio is increasing. In addition, any two of the pre-set pressure, vessel volume, and water to air volume ratios have an inverse relationship in the condition of certain total work input and output. This result can play a guiding role in constructing a specific power system.
- On the premise of assuming the charge and discharge as an isothermal process, the PHCA efficiency is proportional to the pump efficiency and water turbine efficiency.
Acknowledgements
Nomenclature
| P | Pressure (Pa) | Cp | Specific heat (J K−1 kg−1) |
| T | Temperature (K) | Rg | Gas constant (J K−1 kg−1) |
| V | Volume (m3) | m | Quality (kg) |
| k | Adiabatic index (-) | ε | Water and air volume ratio (-) |
| ρ | Density (kg m−3) | η | Efficiency (-) |
| Subscripts | |||
| w | Water | t | Hydro turbine |
| n | Nitrogen | c | Compressor |
| p | Pump | a | Air |
References
- Daneshi, A.; Sadrmomtazi, N.; Daneshi, H.; Khederzadeh, M. Wind power integrated with compressed air energy storage. In Proceedings of 2010 IEEE International Conference on Power and Energy (PECon), Kuala Lumpur, Malaysia, 29 November–1 December 2010; pp. 634–639.
- Cavallo, A.J. Energy storage technologies for utility scale intermittent renewable energy systems. J. Solar Energy Eng. 2001, 123, 387–389. [Google Scholar] [CrossRef]
- Bradshaw, D.T. Pumped hydro electric storage (PHS) and compressed air energy storage (CAES). IEEE Trans. Energy Convers. 2000, 22, 95–102. [Google Scholar]
- Linden, S.V. Bulk energy storage potential in the USA, current developments and future prospects. Energy 2006, 31, 3446–3457. [Google Scholar] [CrossRef]
- Cavallo, A. Controllable and affordable utility-scale electricity from intermit-tent wind resources and compressed air energy storage (CAES). Energy 2007, 32, 120–127. [Google Scholar] [CrossRef]
- Lund, H.; Salgi, G. The role of compressed air energy storage (CAES) in future sustainable energy systems. Energy Convers. Manag. 2009, 50, 1172–1179. [Google Scholar] [CrossRef]
- Cavallo, A. Controllable and affordable utility-scale electricity from intermittent wind resources and compressed air energy storage (CAES). Energy 2007, 32, 120–127. [Google Scholar] [CrossRef]
- Martínez, M.; Molina, M.G. Dynamic performance of compressed air energy storage (CAES) plant for applications in power systems. In Proceedings of IEEE/PES Transmission and Distribution and Expositon, Sao Paulo, Brazil, 8–10 November 2010; pp. 496–503.
- Daneshi, H.; Srivastava, A.K.; Daneshi, A. Generation scheduling with integration of wind power and compressed air energy storage. In Proceedings of 2010 IEEE PES Transmission and Distribution Conference and Exposition, New Orleans, LA, USA, 19–22 April 2010; pp. 1–6.
- Ibrahim, H.; Younes, R. Study and design of a hybrid wind–diesel-compressed air energy storage system for remote areas. Appl. Energy 2010, 87, 1749–1762. [Google Scholar] [CrossRef]
- Grazzini, G.; Milazzo, A. A thermodynamic analysis of multistage adiabatic CAES. Proc. IEEE 2012, 100, 461–472. [Google Scholar] [CrossRef]
- Kim, Y.M.; Favrat, D. Energy and exergy analysis of a micro-compressed air energy storage and air cycle heating and cooling system. Energy 2010, 35, 213–220. [Google Scholar] [CrossRef]
- Yang, C.J.; Jackson, R.B. Opportunities and barriers to pumped-hydro energy storage in the United States. Renew. Sustain. Energy. Rew. 2011, 15, 839–844. [Google Scholar] [CrossRef]
- Wang, Z. Thermal and Power Mechanical Basis; [in Chinese]; China Machine Press: Beijing, China, 2000. [Google Scholar]
- Drury, E.; Denholm, P.; Sioshansi, R. The value of compressed air energy storage in energy and reserve markets. Energy 2011, 36, 4959–4973. [Google Scholar] [CrossRef]
- Caralis, G.; Papantonis, D.; Zervos, A. The role of pumped storage systems towards the large scale wind integration in the Greek power supply system. Renew. Sustain. Energy Rev. 2012, 16, 2558–2565. [Google Scholar] [CrossRef]
- KIM, Y.M.; Shin, D.G.; Favrat, D. Operating characteristics of constant-pressure compressed air energy storage (CAES) system combined with pumped hydro storage based on energy and exergy analysis. Energy 2011, 36, 6220–6233. [Google Scholar] [CrossRef]
© 2013 by the authors; licensee MDPI, Basel, Switzerland. This article is an open access article distributed under the terms and conditions of the Creative Commons Attribution license (http://creativecommons.org/licenses/by/3.0/).
Share and Cite
Wang, H.; Wang, L.; Wang, X.; Yao, E. A Novel Pumped Hydro Combined with Compressed Air Energy Storage System. Energies 2013, 6, 1554-1567. https://doi.org/10.3390/en6031554
Wang H, Wang L, Wang X, Yao E. A Novel Pumped Hydro Combined with Compressed Air Energy Storage System. Energies. 2013; 6(3):1554-1567. https://doi.org/10.3390/en6031554
Chicago/Turabian StyleWang, Huanran, Liqin Wang, Xinbing Wang, and Erren Yao. 2013. "A Novel Pumped Hydro Combined with Compressed Air Energy Storage System" Energies 6, no. 3: 1554-1567. https://doi.org/10.3390/en6031554
APA StyleWang, H., Wang, L., Wang, X., & Yao, E. (2013). A Novel Pumped Hydro Combined with Compressed Air Energy Storage System. Energies, 6(3), 1554-1567. https://doi.org/10.3390/en6031554
