Collector Efficiency in Downward-Type Internal-Recycle Solar Air Heaters with Attached Fins
Abstract
:1. Introduction
2. Theoretical Analysis

2.1. Temperature Distribution for the Fluid in Subchannel 1
2.2. Mixed Inlet Temperature
2.3. Outlet Temperature and Collector Efficiency
2.4. Mean Fluid and Absorbing Plate Temperatures
2.5. Heat Transfer Coefficients
      2.6. Calculation Method for and
      3. Results and Discussion
3.1. Numerical Example
| T (K) | ρ (kg/m 3) | Cp (J/kg ⋅ K) | k (W/kg ⋅ K) | μ (kg/m ⋅ s) | 
| 273 | 1.292 | 1006 | 0.0242 | 1.72 × 10−5 | 
| 293 | 1.204 | 1006 | 0.0257 | 1.81 × 10−5 | 
| 313 | 1.127 | 1007 | 0.0272 | 1.90 × 10−5 | 
| 333 | 1.059 | 1008 | 0.0287 | 1.99 × 10−5 | 
| 353 | 0.999 | 1010 | 0.0302 | 2.09 × 10−5 | 




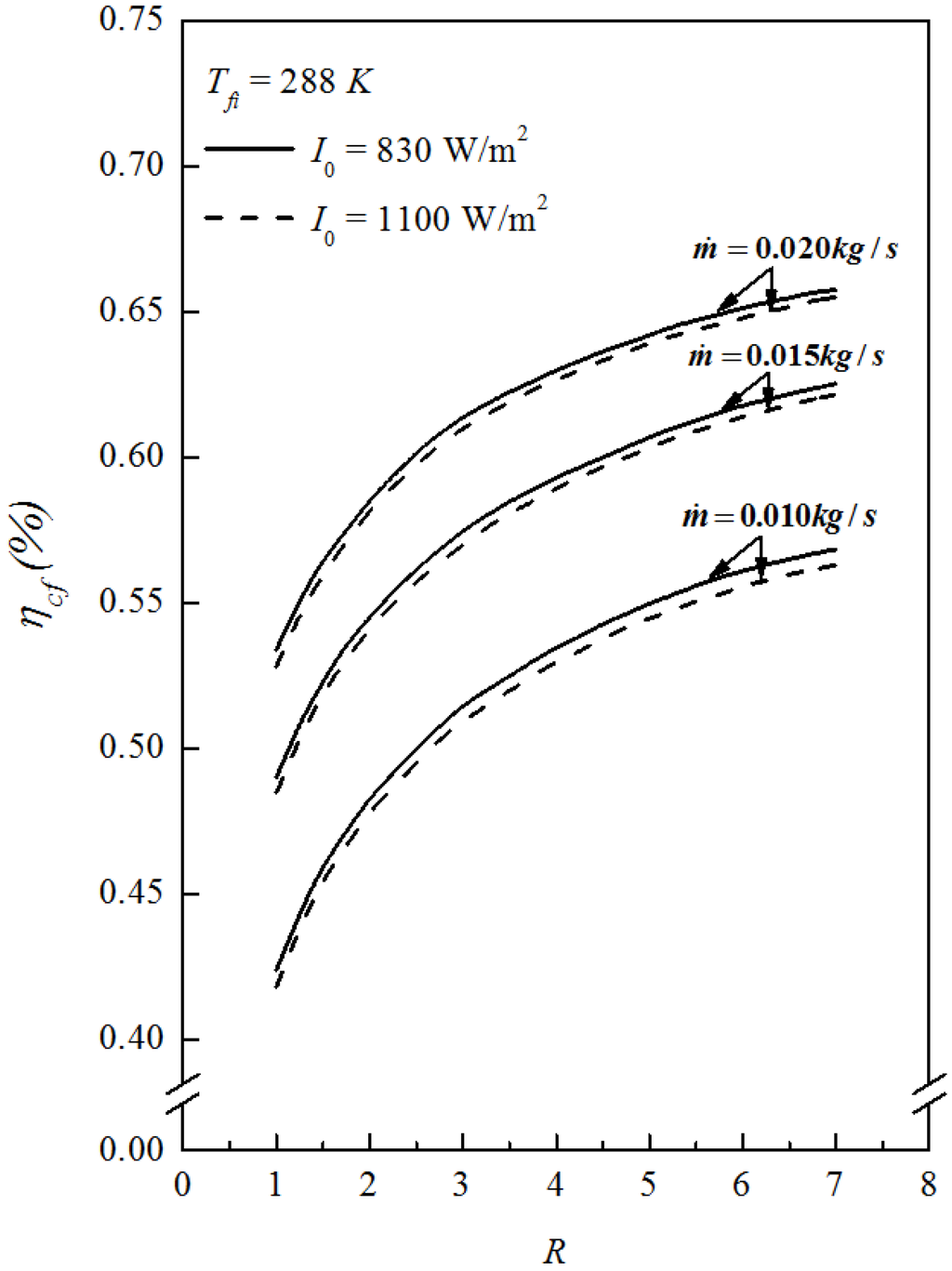
3.2. Effects of Operating Parameters on Collector Efficiency
3.3. Improvement in Performance by Recycling
3.4. Effect of Fin Attached on Performance
| (K) | (kg/s) | (%) | I (%) (Yeh and Ho, [22]) | (%) | |||||||
|---|---|---|---|---|---|---|---|---|---|---|---|
| R = 1 | R = 3 | R = 5 | R = 7 | R = 1 | R = 3 | R = 5 | R = 7 | ||||
| (a) | 288 | 0.01 | 24.60 | 48.61 | 89.39 | 106.96 | 117.53 | 72.56 | 109.71 | 128.70 | 132.32 | 
| 0.015 | 30.35 | 41.42 | 74.32 | 88.06 | 96.23 | 61.65 | 90.32 | 101.02 | 106.96 | ||
| 0.02 | 34.65 | 36.52 | 64.52 | 75.98 | 82.69 | 54.20 | 77.69 | 86.21 | 91.66 | ||
| 293 | 0.01 | 23.28 | 48.66 | 89.56 | 107.27 | 117.90 | 73.37 | 110.91 | 125.47 | 133.76 | |
| 0.015 | 28.75 | 41.54 | 74.64 | 88.50 | 96.74 | 62.40 | 91.41 | 102.26 | 108.28 | ||
| 0.02 | 32.84 | 36.67 | 64.89 | 76.46 | 83.25 | 54.94 | 78.78 | 87.46 | 92.21 | ||
| 298 | 0.01 | 21.96 | 48.69 | 89.81 | 107.56 | 118.26 | 74.09 | 111.98 | 126.73 | 135.11 | |
| 0.015 | 27.14 | 41.64 | 74.95 | 88.91 | 97.23 | 63.16 | 92.93 | 103.50 | 109.62 | ||
| 0.02 | 31.02 | 36.81 | 65.25 | 76.93 | 83.79 | 55.67 | 79.82 | 88.65 | 93.49 | ||
| (b) | 288 | 0.01 | 23.92 | 50.66 | 93.41 | 111.81 | 122.86 | 75.29 | 114.47 | 129.68 | 138.34 | 
| 0.015 | 29.73 | 43.17 | 77.48 | 91.80 | 100.31 | 63.91 | 94.01 | 105.21 | 111.47 | ||
| 0.02 | 34.11 | 37.99 | 67.07 | 78.95 | 85.93 | 56.08 | 81.24 | 89.56 | 94.46 | ||
| 293 | 0.01 | 22.90 | 50.68 | 93.52 | 112.05 | 123.16 | 76.03 | 115.54 | 130.91 | 139.61 | |
| 0.015 | 28.48 | 43.26 | 77.76 | 92.17 | 100.75 | 64.83 | 95.40 | 106.35 | 113.49 | ||
| 0.02 | 32.69 | 38.11 | 67.39 | 79.38 | 86.43 | 56.81 | 81.68 | 90.73 | 95.72 | ||
| 298 | 0.01 | 21.87 | 50.68 | 93.71 | 112.27 | 123.44 | 76.77 | 116.6 | 132.15 | 140.97 | |
| 0.015 | 27.21 | 43.34 | 78.02 | 92.53 | 101.17 | 65.42 | 96.14 | 107.68 | 114.11 | ||
| 0.02 | 31.26 | 38.23 | 67.71 | 79.79 | 86.91 | 57.52 | 92.69 | 91.88 | 96.97 | ||
| (K) | (kg/s) | E (%) | ||||
|---|---|---|---|---|---|---|
| R = 1 | R = 3 | R = 5 | R = 7 | |||
| (a) | 288 | 0.01 | 49.27 | 22.73 | 20.33 | 12.58 | 
| 0.015 | 48.84 | 21.53 | 14.72 | 11.15 | ||
| 0.02 | 48.12 | 20.41 | 13.46 | 10.85 | ||
| 293 | 0.01 | 50.78 | 23.04 | 16.97 | 13.45 | |
| 0.015 | 50.22 | 22.47 | 15.55 | 11.93 | ||
| 0.02 | 49.82 | 21.41 | 14.39 | 10.76 | ||
| 298 | 0.01 | 52.17 | 24.69 | 17.82 | 14.25 | |
| 0.015 | 51.68 | 23.99 | 16.41 | 12.74 | ||
| 0.02 | 51.24 | 22.33 | 15.23 | 11.58 | ||
| (b) | 288 | 0.01 | 48.62 | 22.55 | 15.98 | 12.60 | 
| 0.015 | 48.04 | 21.33 | 14.41 | 11.13 | ||
| 0.02 | 47.62 | 21.13 | 13.44 | 9.93 | ||
| 293 | 0.01 | 50.02 | 23.55 | 16.03 | 13.36 | |
| 0.015 | 49.86 | 22.69 | 15.70 | 12.65 | ||
| 0.02 | 49.07 | 21.20 | 14.30 | 10.75 | ||
| 298 | 0.01 | 51.48 | 24.43 | 17.71 | 14.20 | |
| 0.015 | 50.75 | 23.22 | 16.37 | 12.79 | ||
| 0.02 | 50.46 | 22.12 | 15.15 | 11.58 | ||
4. Conclusions
Nomenclature:
surface area of the absorbing plate = BL (m2)  | |
total surface area of fins (m2)  | |
the width of absorber surface area = nw1 (m)  | |
| Cp | specific heat of air at constant pressure (J/kgK)  | 
equivalent diameter of the channel (m)  | |
further improvement of collector efficiency, defined by Equation (41)  | |
| F1, F2 | collector efficiency factors for subchannels 1 and 2, respectively  | 
height of the air tunnel in the solar collector, or the distance between glass cover and absorbing plate (m)  | |
convective heat-transfer coefficient for fluid flowing over the plate of duct ()  | |
| hp-c | convection coefficient between the plate and glass ()  | 
| hp-R | radiant heat-transfer coefficient between two parallel plates ()  | 
radiation coefficient from the glass to the air ()  | |
| hr,p-c | radiation coefficient from the plate to the glass ()  | 
convective feat-transfer coefficient between glass cover and ambient ()  | |
improvement of collector efficiency in the recycle device without fins, Equation (39)  | |
improvement of collector efficiency in the recycle device with attached fins, Equation (40)  | |
solar radiation incident ()  | |
thermal conductivity of air ()  | |
thermal conductivity of absorbing plate and fins ()  | |
collector length (m)  | |
mass-flow rate of air ()  | |
fin number  | |
Nusselt number  | |
useful gain of energy carried away by air per unit time ()  | |
reflux ratio  | |
Reynolds number of flow channel  | |
temperature ()  | |
fin thickness  | |
loss coefficient from the top of solar collector to the ambient()  | |
Average air velocity in the flow channel ()  | |
wind velocity ()  | |
distance between fins (m)  | |
height of fin (m)  | |
axis along the flow direction (m)  | 
Greek Letters
collector efficiency of a solar air collector with recycle but without fins  | |
collector efficiency of a single-pass solar air collector without recycle and fins  | |
collector efficiency of a solar air collector with recycle and fins  | |
fin efficiency  | |
the Stefan-Boltzmann constant ()  | |
emissivity of glass cover  | |
emissivity of absorbing plate  | |
emissivity of bottom plate  | |
transmittance of glass cover  | |
absorptivity of the absorbing plate  | |
modified factor for attached fins, defined by Equation (4)  | 
Subscripts
ambient  | |
fluid  | |
inlet  | |
mean value  | |
outlet at subchannel 1 (z = L)  | |
absorbing plate  | |
bottom plate  | |
| 1,2 | subchannel 1, subchannel 2  | 
Superscripts
| 0 | mixed  | 
| ′ | Outlet at the first pass or inlet at subchannel 2 (z = L)  | 
Acknowledgement
Conflicts of Interest
References
- Gary, H.P.; Adhikari, R.S. Performance evaluation of a single solar air heater with n-subcollectors connected in different combinations. Int. J. Energy Res. 2000, 23, 403–414. [Google Scholar]
 - Belusko, M.; Saman, W.; Bruno, F. Performance of jet impingement in unglazed air collectors. Sol. Energy 2008, 82, 389–398. [Google Scholar] [CrossRef]
 - Duffie, J.A.; Beckman, W.A. Solar Engineering of Thermal Process, 2nd ed.; Wiley: New York, NY, USA, 1991. [Google Scholar]
 - Tan, H.M.; Charter, W.S. Experimental investigation of force-convective heat transfer for fully-developed turbulent flow in a rectangular duct with asymmetric heating. Sol. Energy 1970, 13, 121–125. [Google Scholar] [CrossRef]
 - Close, D.J.; Dunkle, R.V. Behaviour of absorbent energy storage beds. Sol. Energy 1976, 18, 287–292. [Google Scholar] [CrossRef]
 - Seluck, M.K. Solar Air Heater and Their Applications; Sayigh, A.A.M., Ed.; Academic Press: New York, NY, USA, 1977. [Google Scholar]
 - Tonui, J.K.; Tripanagnostopoulos, Y. Improved PV/T solar collectors with heat extraction by force or natural air circulation. Renew. Energy 2007, 32, 623–637. [Google Scholar] [CrossRef]
 - Yeh, H.M.; Ting, Y.C. Effects of free convection on collector efficiencies of solar air heaters. Appl. Energy 1986, 22, 145–155. [Google Scholar] [CrossRef]
 - Mohamad, A.A. High efficiency solar air heater. Sol. Energy 1997, 60, 71–76. [Google Scholar] [CrossRef]
 - Yeh, H.M. Theory of baffle solar air heaters. Energy 1992, 17, 692–702. [Google Scholar]
 - Gao, W.F.; Lin, W.X.; Lu, E.R. Numerical study on natural convection inside the channel between the flat plate cover and sine-wave absorber of a cross-corrugated solar air-heater. Energy Convers. Manag. 2000, 41, 145–151. [Google Scholar] [CrossRef]
 - Ho, C.D.; Yeh, H.M.; Sheu, W.S. An analytical study of heat and mass transfer through a parallel-plate channel with recycle. Int. J. Heat Mass Transf. 1998, 41, 2589–2599. [Google Scholar] [CrossRef]
 - Ho, C.D.; Yeh, H.M.; Sheu, W.S. The Influence of recycle on double-pass heat and mass transfer through a parallel-plate. Int. J. Heat Mass Transf. 1999, 42, 1707–1722. [Google Scholar] [CrossRef]
 - McAdams, W.H. Heat Transmission, 3rd ed.; McGraw-Hill: New York, NY, USA, 1954. [Google Scholar]
 - Yeh, H.M.; Tsai, S.W.; Lin, C.S. A study of the separation efficiency in thermal diffusion column with a vertical permeable barrier. AIChE J. 1986, 32, 971–980. [Google Scholar] [CrossRef]
 - Yeh, H.M.; Tsai, S.W.; Chiang, C.L. Recycle effects on heat and mass transfer through a parallel-plate channel. AIChE J. 1987, 33, 1743–1746. [Google Scholar] [CrossRef]
 - Yeh, H.M.; Ho, C.D. Solar air heaters with external recycle. App. Therm. Eng. 2009, 29, 1694–1701. [Google Scholar] [CrossRef]
 - Bennett, C.O.; Myers, J.E. Momentum, Heat and Mass Transfer, 2nd ed.; McGraw-Hill Inc.: New York, NY, USA, 1974; p. 445. [Google Scholar]
 - Klein, S.A. Calculation of flat-plate loss coefficients. Sol. Energy 1975, 17, 79–80. [Google Scholar] [CrossRef]
 - Hottel, H.C.; Woertz, B.B. Performance of flat-plate solar-heat collector. Trans. ASME 1942, 64, 91–104. [Google Scholar]
 - Kays, W.M.; Crawford, M.E. Convective Heat- and Mass- Transfer, 2nd ed.; McGraw-Hill: New York, NY, USA, 1980. [Google Scholar]
 - Yeh, H.M.; Ho, C.D. Downward-type solar air heaters with internal recycle. J. Taiwan Inst. Chem. Eng. 2011, 42, 286–291. [Google Scholar] [CrossRef]
 
© 2013 by the authors; licensee MDPI, Basel, Switzerland. This article is an open access article distributed under the terms and conditions of the Creative Commons Attribution license (http://creativecommons.org/licenses/by/3.0/).
Share and Cite
Yeh, H.-M.; Ho, C.-D. Collector Efficiency in Downward-Type Internal-Recycle Solar Air Heaters with Attached Fins. Energies 2013, 6, 5130-5144. https://doi.org/10.3390/en6105130
Yeh H-M, Ho C-D. Collector Efficiency in Downward-Type Internal-Recycle Solar Air Heaters with Attached Fins. Energies. 2013; 6(10):5130-5144. https://doi.org/10.3390/en6105130
Chicago/Turabian StyleYeh, Ho-Ming, and Chii-Dong Ho. 2013. "Collector Efficiency in Downward-Type Internal-Recycle Solar Air Heaters with Attached Fins" Energies 6, no. 10: 5130-5144. https://doi.org/10.3390/en6105130
APA StyleYeh, H.-M., & Ho, C.-D. (2013). Collector Efficiency in Downward-Type Internal-Recycle Solar Air Heaters with Attached Fins. Energies, 6(10), 5130-5144. https://doi.org/10.3390/en6105130
        