Collaborative Optimal Scheduling of Hybrid Energy System for Data Center and Electric Vehicles Based on Computing Tasks Transferring Under Carbon Trading Mechanism
Abstract
1. Introduction
| Ref. | Storage | Integrated EVs | Based on Computing Tasks Transferring | Considering Carbon Policy | |||
|---|---|---|---|---|---|---|---|
| Electricity | Heat | Hydrogen | Carbon Tax | Carbon Trading | |||
| [7] | × | × | × | √ | × | × | × |
| [8] | × | × | × | √ | × | × | × |
| [9] | √ | × | × | √ | × | × | × |
| [10] | × | × | × | √ | × | × | × |
| [11] | √ | √ | × | √ | × | × | × |
| [12] | × | √ | √ | √ | × | × | × |
| [16] | × | × | × | × | × | √ | × |
| [18] | √ | × | × | × | × | × | × |
| [19] | √ | √ | × | × | × | × | × |
| [20] | √ | × | √ | × | × | × | × |
| [24] | × | × | × | √ | × | × | × |
| [25] | √ | × | × | × | √ | × | √ |
| [26] | × | × | × | × | √ | × | × |
| [27] | √ | √ | × | × | √ | × | × |
| [28] | √ | × | × | × | √ | √ | × |
| [29] | √ | × | √ | × | √ | × | × |
| [30] | √ | √ | √ | × | √ | × | √ |
| This study | × | √ | √ | √ | √ | × | √ |
- (1)
- A novel hybrid energy system architecture incorporating power-to-hydrogen technology and multi-energy storage devices is proposed to reliably meet the multi-energy demand of the DC and the EVs.
- (2)
- A collaborative optimal scheduling framework for joint energy and computing task management between the DC and EVs is developed under a carbon trading mechanism. This framework is designed to optimize overall system performance while safeguarding the economic interests of EV owners.
- (3)
- A comprehensive analysis is conducted to evaluate the influence of key carbon trading policy parameters (e.g., carbon prices) on the economic and environmental performance of the proposed collaborative system.
2. Problem Description
3. Energy and Computation Task Coordinated Scheduling
3.1. Objective Function
3.2. Constraints
3.2.1. Computing Tasks and Load-Shifting Constraints
3.2.2. Hybrid Energy System Operation Constraints
3.2.3. EVs Operation Constraints
4. Case Study
4.1. Optimization Results of Different Cases
4.1.1. Cost Analysis and Carbon Emission Analysis
4.1.2. Operational Scheduling in Different Cases
4.1.3. Operational Scheduling in Case 3 with Different EVs Behavior
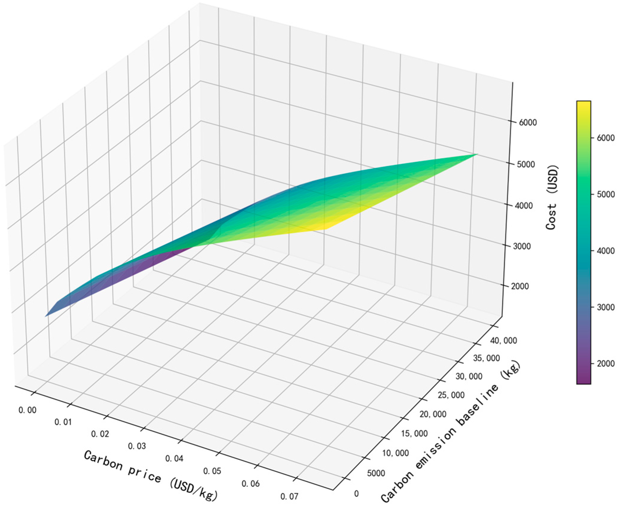
4.2. Sensitivity Analysis
4.2.1. Carbon Price Analysis
4.2.2. Carbon Emission Benchmark Analysis
4.2.3. Carbon Emission Coefficient Analysis
4.2.4. Comprehensive Analysis
5. Conclusions
Author Contributions
Funding
Institutional Review Board Statement
Informed Consent Statement
Data Availability Statement
Conflicts of Interest
Abbreviations
| DC | Data center |
| EVs | Electric vehicles |
| PGU | Power generation unit |
| WT | Wind turbine |
| PV | Photovoltaic |
| HYS | Hydrogen storage tank |
| FC | Fuel cell |
| AC | Absorption chiller |
| EC | Electric chiller |
| HES | Heat storage tank |
Appendix A
| Nomenclature | |||
|---|---|---|---|
| Indices | |||
| index of the slotted interval, | type of the computation tasks, | ||
| index for the computation tasks, | index for the EVs, | ||
| Parameters | |||
| total cost (USD) | wind speed (m/s) | ||
| energy procurement cost (USD) | cut-in wind speed of the turbine (m/s) | ||
| carbon emission cost (USD) | Rated wind speed of the turbine (m/s) | ||
| carbon emission (kg) | cut-out wind speed of the turbine (m/s) | ||
| initial carbon allowance (kg) | hourly solar radiation (kW/m2) | ||
| electricity price from power grid at time (USD/kWh) | surface area (m2) | ||
| natural gas price (USD/Nm3) | efficiency of the PV panels | ||
| carbon allowance coefficients for electricity | other losses | ||
| carbon allowance coefficient for natural gas (kg CO2/kWh) | compression efficiency coefficient | ||
| , , | emission factors for electricity | hydrogen to electrical conversion coefficient of HC (kW/kg) | |
| emission factor for natural gas (kg CO2/kWh) | electricity to hydrogen conversion coefficient of EL (kg/kW) | ||
| unit carbon price (USD/kg) | electrical conversion efficiency (kW/kg) | ||
| scheduling interval | PGU electrical efficiency coefficient (kW/Nm3) | ||
| arriving time of computing task | PGU thermal efficiency | ||
| processing time of computing task | AC component cooling efficiency | ||
| deadline time of computing task | EC component cooling efficiency | ||
| number of computing task | HES charging efficient | ||
| distinct level of computing task | HES discharging coefficient | ||
| number of servers | arrive time of EV | ||
| maximum capacity of each server | departure time of EV | ||
| maximum power consumption of all servers | initial battery level of EV | ||
| basic power consumption of all servers | battery capacity of EV | ||
| cooling demand related to electricity demand coefficient of DC | maximum electricity store rate of EV | ||
| rated wind power output (kWh) | maximal charging limit of EV | ||
| EL’s capacity (kg) | maximal discharging limit of EV | ||
| HYS’s capacity | demand electricity at departure time limit of EV | ||
| HES’s capacity (kg) | discharging efficient of EV | ||
| charging efficient of EV | |||
| Continuous decision variables (in time period t) | |||
| electricity purchased from power grid (kWh) | stored hydrogen of HYS (kg) | ||
| natural gas consumption (Nm3) | hydrogen charged of HYS (kg) | ||
| transfer coefficient of computing task | hydrogen discharged of HYS (kg) | ||
| electricity demand of the DC (kWh) | PGU generate electricity (kWh) | ||
| cooling demand of the DC (kWh) | cooling input of EC (kWh) | ||
| electricity generated by the WT (kWh) | cooling output of AC (kWh) | ||
| electricity output of PV (kWh) | stored thermal energy in HES (kWh) | ||
| hydrogen produced by the EL (kg) | heating recovered form PGU (kWh) | ||
| electricity consumption of EL (kWh) | electricity discharged from EV (kWh) | ||
| hydrogen output from the HC (kg) | electricity charged to EV (kWh) | ||
| hydrogen consumption (kg) | stored electricity of the EV (kWh) | ||
| the electricity consumption by HC (kWh) | thermal charged of HES (kWh) | ||
| the electrical energy output of the FC (kWh) | thermal discharged of HES (kWh) | ||
| the CPU utilization of the servers | thermal consumption of AC (kWh) | ||
| Binary decision variables (in time period t) | |||
| 1 if electricity to hydrogen operating state of EL; 0 otherwise | 1 if HES in charging state; 0 otherwise | ||
| 1 if hydrogen to electricity operating state of FC; 0 otherwise | 1 if EV in charging state; 0 otherwise | ||
| 1 if HYS in charging state; 0 otherwise | |||
References
- Wang, Z.; Wang, Y.; Ji, H.; Hasanien, H.M.; Zhao, J.; Yu, L.; He, J.; Yu, H.; Li, P. Distributionally robust planning for data center park considering operational economy and reliability. Energy 2024, 290, 130185. [Google Scholar] [CrossRef]
- Liu, Y.; Wei, X.; Xiao, J.; Liu, Z.; Xu, Y.; Tian, Y. Energy consumption and emission mitigation prediction based on data center traffic and PUE for global data centers. Glob. Energy Interconnect. 2020, 3, 272–282. [Google Scholar] [CrossRef]
- Liu, W.; Jin, B.; Wang, D.; Yu, Z. Performance modeling and advanced exergy analysis for low-energy consumption data center with waste heat recovery, flexible cooling and hydrogen energy. Energy Convers. Manag. 2023, 297, 117756. [Google Scholar] [CrossRef]
- Zhang, X.; Kong, X.; Yan, R.; Liu, Y.; Xia, P.; Sun, X.; Zeng, R.; Li, H. Data-driven cooling, heating and electrical load prediction for building integrated with electric vehicles considering occupant travel behavior. Energy 2023, 264, 126274. [Google Scholar] [CrossRef]
- Chart: Over 30 million! China’s Number of Electric Vehicles has Seen a Rapid Increase in Ownership. Available online: https://www.gov.cn/zhengce/jiedu/tujie/202501/content_6999527.htm (accessed on 5 December 2025).
- Miadreza, S.-K.; Ehsan, H.-F.; Osório, G.J.; Gil, F.A.S.; Aghaei, J.; Barani, M.; Catalão, J.P.S. Optimal behavior of electric vehicle parking lots as demand response aggregation agents. IEEE Trans. Smart Grid 2016, 7, 2654–2665. [Google Scholar] [CrossRef]
- Li, S.; Brocanelli, M.; Zhang, W.; Wang, X. Integrated Power Management of Data Centers and Electric Vehicles for Energy and Regulation Market Participation. IEEE Trans. Smart Grid 2014, 5, 2283–2294. [Google Scholar] [CrossRef]
- Yu, L.; Jiang, T.; Zou, Y. Distributed Online Energy Management for Data Centers and Electric Vehicles in Smart Grid. IEEE Internet Things J. 2016, 3, 1373–1384. [Google Scholar] [CrossRef]
- Aujla, G.S.; Kumar, N. SDN-based energy management scheme for sustainability of data centers: An analysis on renewable energy sources and electric vehicles participation. J. Parallel Distrib. Comput. 2018, 117, 228–245. [Google Scholar] [CrossRef]
- Wang, X.; Wang, X.; Liu, Y.; Xiao, C.; Zhao, R.; Yang, Y.; Liu, Z. A Sustainability Improvement Strategy of Interconnected Data Centers Based on Dispatching Potential of Electric Vehicle Charging Stations. Sustainability 2022, 14, 6814. [Google Scholar] [CrossRef]
- Yuan, H.; Feng, K.; Li, W.; Sun, X. Multi-objective optimization of virtual energy hub plant integrated with data center and plug-in electric vehicles under a mixed robust-stochastic model. J. Clean. Prod. 2022, 363, 132365. [Google Scholar] [CrossRef]
- Xu, Y.; Liu, R.; Tang, L.; Wu, H.; She, C. Risk-averse multi-objective optimization of multi-energy microgrids integrated with power-to-hydrogen technology, electric vehicles and data center under a hybrid robust-stochastic technique. Sustain. Cities Soc. 2022, 79, 103699. [Google Scholar] [CrossRef]
- Koholé, Y.W.; Ngouleu, C.A.W.; Fohagui, F.C.V.; Tchuen, G. Optimization of an off-grid hybrid photovoltaic/wind/diesel/fuel cell system for residential applications power generation employing evolutionary algorithms. Renew. Energy 2024, 224, 120131. [Google Scholar] [CrossRef]
- Liang, J.; Chen, D.; Xu, S. Energy-Constrained optimization of data center layouts: An integer linear programming approach. Energies 2025, 18, 5040. [Google Scholar] [CrossRef]
- Keskin, I.; Soykan, G. Reliability, availability, and life-cycle cost (LCC) analysis of combined cooling, heating and power (CCHP) integration to data centers considering electricity and cooling supplies. Energy Convers. Manag. 2023, 291, 117254. [Google Scholar] [CrossRef]
- Wang, J.; Deng, H.; Liu, Y.; Wang, Y. Integrated Optimization of Configurations and Operations of Integrated Energy System for Data Center. Sci. Technol. Eng. 2023, 23, 1968–1977. (In Chinese) [Google Scholar] [CrossRef]
- Chatzivasileiadi, A.; Ampatzi, E.; Knight, I. Characteristics of electrical energy storage technologies and their applications in buildings. Renew. Sustain. Energy Rev. 2013, 25, 814–830. [Google Scholar] [CrossRef]
- He, W.; Xu, Q.; Liu, S.; Wang, T.; Wang, F.; Wu, X.; Wang, Y.; Li, H. Analysis on data center power supply system based on multiple renewable power configurations and multi-objective optimization. Renew. Energy 2024, 222, 119865. [Google Scholar] [CrossRef]
- Han, O.; Ding, T.; Zhang, X.; Mu, C.; He, X.; Zhang, H.; Jia, W.; Ma, Z. A shared energy storage business model for data center clusters considering renewable energy uncertainties. Renew. Energy 2023, 202, 1273–1290. [Google Scholar] [CrossRef]
- Pabon, J.J.G.; Wang, J.; Chamanehpour, E.; Salami, D.; Khosravi, A. Dynamic integration of solar-powered hydrogen systems with fuel cells and district heating for green data centers. Int. J. Hydrog. Energy 2025, 196, 152557. [Google Scholar] [CrossRef]
- Zhang, L.; Deng, J.; Li, Q.; Yang, Y.; Lei, M. Research on data center computing resources and energy load Co-optimization considering spatial-temporal allocation. Comput. Electr. Eng. 2024, 116, 109206. [Google Scholar] [CrossRef]
- Fotopoulou, M.; Tsekouras, G.; Rakopoulos, D.; Kontargyri, V. Demand response optimization for the enhancement of the distribution system’s operation. Sustain. Energy Grids Netw. 2025, 44, 102051. [Google Scholar] [CrossRef]
- Hou, D.; Wang, L.; Ma, Y.; Lyu, L.; Liu, W.; Li, S. Joint Optimal Scheduling of Power Grid and Internet Data Centers Considering Time-of-Use Electricity Price and Adjustable Tasks for Renewable Power Integration. Sustainability 2025, 17, 3374. [Google Scholar] [CrossRef]
- Li, B.; Wang, S.; Chen, Y.; Han, Y.; Yang, W. Joint Network Expansion Planning with Internet Data Center and Charging Stations for EV Sharing System. IEEE Trans. Ind. Inform. 2024, 20, 13251–13261. [Google Scholar] [CrossRef]
- Duarte, J.L.R.; Fan, N. Operations of data centers with onsite renewables considering greenhouse gas emissions. Sustain. Comput. Inform. Syst. 2023, 40, 100903. [Google Scholar] [CrossRef]
- Wang, J.; Deng, H.; Liu, Y.; Guo, Z.; Wang, Y. Coordinated optimal scheduling of integrated energy system for data center based on computing load shifting. Energy 2023, 267, 126585. [Google Scholar] [CrossRef]
- Han, J.; Han, K.; Han, T.; Wang, Y.; Han, Y.; Lin, J. Data-driven distributionally robust optimization of low-carbon data center energy systems considering multi-task response and renewable energy uncertainty. J. Build. Eng. 2025, 102, 111937. [Google Scholar] [CrossRef]
- Xu, P.; Wang, J.; Duan, Z.; Wu, B.; Xu, C. A dual-layer optimization model of configuration and operation of the integrated energy system with a data center to improve both economic and reliability performances. J. Build. Eng. 2025, 111, 113252. [Google Scholar] [CrossRef]
- Han, J.; Yan, Y.; Wang, Y.; Han, K.; Han, Y.; Lin, J. Dual-time scale collaborative optimization of data center energy system: Considering multi-task response mechanism and hybrid hydrogen-battery energy storage. J. Energy Storage 2025, 119, 116244. [Google Scholar] [CrossRef]
- Fan, J.; Yan, R.; He, Y.; Zhang, J.; Zhao, W.; Liu, M.; An, S.; Ma, Q. Stochastic optimization of combined energy and computation task scheduling strategies of hybrid system with multi-energy storage system and data center. Renew. Energy 2025, 242, 122466. [Google Scholar] [CrossRef]
- Cheung, H.; Wang, S.; Zhuang, C.; Gu, J. A simplified power consumption model of information technology (IT) equipment in data centers for energy system real-time dynamic simulation. Appl. Energy 2018, 222, 329–342. [Google Scholar] [CrossRef]
- Li, J.; Li, Z.; Ren, K.; Liu, X. Towards optimal electric demand management for internet data centers. IEEE Trans. Smart Grid 2012, 3, 183–192. [Google Scholar] [CrossRef]
- Chu, X.; Ge, Y.; Zhou, X.; Li, L.; Yang, D. Modeling and Analysis of Electric Vehicle-Power Grid-Manufacturing Facility (EPM) Energy Sharing System under Time-of-Use Electricity Tariff. Sustainability 2020, 12, 4836. [Google Scholar] [CrossRef]
- Li, N.; Zhao, X.; Shi, X.; Pei, Z.; Mu, H.; Taghizadeh-Hesary, F. Integrated energy systems with CCHP and hydrogen supply: A new outlet for curtailed wind power. Appl. Energy 2021, 303, 117619. [Google Scholar] [CrossRef]
- Chen, H.; Hu, J.; Bai, S. Optimization of Waste-to-Energy Technology Portfolios Under the Carbon Trading Mechanism. Chin. J. Manag. Sci. 2025. Epub ahead of printing. (In Chinese) [Google Scholar] [CrossRef]














| Parameters | Values | Unit |
|---|---|---|
| 0.055 (1:00~7:00, 23:00~24:00) 0.099 (8:00~11:00, 15:00~18:00) 0.174 (12:00~14:00, 19:00~22:00) | USD/kWh | |
| 0.362 | USD/Nm3 | |
| 0.037 | USD/kg | |
| 0.789 | kg CO2/kWh | |
| 0.385 | kg CO2/kWh | |
| 36 | - | |
| −0.38 | - | |
| 0.0034 | - | |
| 0.097 | kg CO2/kWh |
| Parameters | Values | Unit |
|---|---|---|
| 3.5 | m/s | |
| 11 | m/s | |
| 25 | m/s | |
| 140 | m2 | |
| 0.204 | - | |
| 0.86 | - | |
| 0.02 | kg/kW | |
| 0.95 | - | |
| 3 | kW/kg | |
| 9.09 | kW/kg | |
| 0.36 | kW/ Nm3 | |
| 0.80 | - | |
| 0.70 | - | |
| 4 | - | |
| 0.95 | - | |
| 0.9 | - | |
| 0.9 | - | |
| 0.9 | - | |
| 0.4 | - | |
| 0.4 | - |
| Total Cost | Energy Cost | Carbon Emission Cost | ||
|---|---|---|---|---|
| Power Grid | Natural Gas | |||
| Case 0 | 135,432.51 | 15,963.65 | 0 | 119,468.86 |
| Case 1 | 22,322.52 | 5773.71 | 0 | 16,548.81 |
| Case 2 | 27,410.01 | 4086.31 | 9871.96 | 13,451.74 |
| Case 3 | 21,158.52 | 4117.74 | 3305.30 | 13,735.48 |
| Total | Power Grid | Natural Gas | |
|---|---|---|---|
| Case 0 | 3,352,075.56 | 3,352,075.56 | 0 |
| Case 1 | 494,606.52 | 494,606.52 | 0 |
| Case 2 | 410,864.45 | 408,219.20 | 2645.25 |
| Case 3 | 411,800.26 | 410,914.59 | 885.67 |
| Time | Total Cost (USD) | Carbon Emission (kg) | |
|---|---|---|---|
| 8-h duration | 1:00–8:00 | 32,353.65 | 435,037.97 |
| 9:00–16:00 | 22,918.20 | 412,286.08 | |
| 17:00–24:00 | 33,134.71 | 456,452.10 | |
| 16-h duration | 1:00–16:00 | 21,652.23 | 411,936.57 |
| 8:00–24:00 | 22,424.48 | 412,149.77 | |
| 24-h duration | 1:00–24:00 | 21,158.52 | 411,800.26 |
Disclaimer/Publisher’s Note: The statements, opinions and data contained in all publications are solely those of the individual author(s) and contributor(s) and not of MDPI and/or the editor(s). MDPI and/or the editor(s) disclaim responsibility for any injury to people or property resulting from any ideas, methods, instructions or products referred to in the content. |
© 2026 by the authors. Licensee MDPI, Basel, Switzerland. This article is an open access article distributed under the terms and conditions of the Creative Commons Attribution (CC BY) license.
Share and Cite
Chu, X.; Yin, L. Collaborative Optimal Scheduling of Hybrid Energy System for Data Center and Electric Vehicles Based on Computing Tasks Transferring Under Carbon Trading Mechanism. Energies 2026, 19, 1138. https://doi.org/10.3390/en19051138
Chu X, Yin L. Collaborative Optimal Scheduling of Hybrid Energy System for Data Center and Electric Vehicles Based on Computing Tasks Transferring Under Carbon Trading Mechanism. Energies. 2026; 19(5):1138. https://doi.org/10.3390/en19051138
Chicago/Turabian StyleChu, Xiaolin, and Linsen Yin. 2026. "Collaborative Optimal Scheduling of Hybrid Energy System for Data Center and Electric Vehicles Based on Computing Tasks Transferring Under Carbon Trading Mechanism" Energies 19, no. 5: 1138. https://doi.org/10.3390/en19051138
APA StyleChu, X., & Yin, L. (2026). Collaborative Optimal Scheduling of Hybrid Energy System for Data Center and Electric Vehicles Based on Computing Tasks Transferring Under Carbon Trading Mechanism. Energies, 19(5), 1138. https://doi.org/10.3390/en19051138

