Next Article in Journal
Dynamic TRM Estimation with Load–Wind Uncertainty Using Rolling Window Statistical Analysis for Improved ATC
Previous Article in Journal
Stackelberg Game-Based Two-Stage Operation Optimization Strategy for a Virtual Power Plant: A Case Study
 
 
Font Type:
Arial Georgia Verdana
Font Size:
Aa Aa Aa
Line Spacing:
Column Width:
Background:
Article

Broadband Stability Enhancement Method for Grid-Forming Converters Based on Frequency-Segmented Impedance Reshaping

1
China Electric Power Research Institute (CEPRI), Beijing 100192, China
2
State Key Laboratory of Power Grid Safety and Energy Conservation, Beijing 100192, China
*
Author to whom correspondence should be addressed.
Energies 2026, 19(3), 843; https://doi.org/10.3390/en19030843
Submission received: 7 December 2025 / Revised: 29 January 2026 / Accepted: 3 February 2026 / Published: 5 February 2026
(This article belongs to the Section F: Electrical Engineering)

Abstract

Grid-forming (GFM) converters are critical supporting equipment for power systems with high penetration of renewable energy. However, their complex interactions with the grid can lead to broadband instability, posing a serious threat to system security and stable operation. This paper proposes a frequency-segmented impedance reshaping method with grid-strength adaptation. First, frequency-segmented impedance models are established to reveal the stability problems. Subsequently, an outer-loop low-frequency stabilizer based on frequency feedback damping is designed to reshape the positive damping characteristics in the low-frequency band, and an inner-loop high-frequency stabilizer based on point-of-common-coupling voltage feedforward is designed to reduce the impedance magnitude in the high-frequency band. Finally, an adaptive gain-scheduling mechanism incorporating a real-time short-circuit ratio (RSCR) index is introduced to dynamically adjust key parameters in response to grid strength variations. Frequency-domain and time-domain analysis demonstrate that the proposed method effectively enhances the broadband damping capability of the converter, providing a systematic design approach and a practical engineering solution to address broadband stability issues in GFM converters.

1. Introduction

With the accelerated development of new power systems, the characteristics of high penetration of renewable energy sources and high proportion of power electronic devices are becoming increasingly prominent. The stability of traditional power systems is primarily built upon the physical electromagnetic characteristics of synchronous generators, featuring well-defined models and relatively mature analysis and control theories. However, the large-scale integration of renewable energy via power electronic devices has fundamentally transformed the dynamic characteristics of the generation side. Decoupled from the grid and lacking rotational inertia and inherent damping, power systems exhibit low-inertia and weak-damping features. Among the resulting challenges, broadband oscillation problems ranging from sub-synchronous and super-synchronous frequencies up to several hundred hertz have become a critical bottleneck threatening the secure and stable operation of power systems with high renewable energy penetration [1,2,3]. Broadband oscillation events have been reported worldwide. Their causes are complex, propagation is rapid, and they pose severe challenges to the security region of power grids. Examples include sub-synchronous oscillation in a doubly fed wind farm in Texas, USA, in 2009; sub-synchronous/super-synchronous oscillation in the Xinjiang grid in China in 2015; and high-frequency oscillation in the Yu-E back-to-back voltage source converter-based high-voltage direct current (VSC-HVDC) project in 2018 [4].
To enhance the grid’s ability to accommodate renewable energy and its operational resilience, GFM control technology has emerged [5,6]. By emulating the external characteristics of traditional synchronous generators, it can provide reliable voltage and frequency support to the power grid, compensating for the lack of inertia and damping in the system [7]. Currently, the advantages of GFM control are being explored in various fields, including high-voltage direct current transmission [8], wind power generation [9], and photovoltaic power generation [10].
However, while addressing the stability issues associated with traditional grid-following control, GFM converters themselves introduce new dynamic stability challenges. As a multi-time-scale, strongly non-linear dynamic system, the equivalent output impedance of a GFM converter exhibits characteristics different from those of traditional synchronous machines across various frequency bands. This can easily lead to interactions with capacitive and inductive elements in the grid, triggering stability problems. In the lower frequency range, the outer power loop control for maintaining synchronization often leads to significant negative damping characteristics in the sub-synchronous frequency bands, particularly in weak grids or systems with series-compensated lines, which can readily induce sub-synchronous oscillations [11,12]. In the high-frequency range, the output impedance of the GFM converter is dominated by the LC filter, exhibiting inherent resonant peaks. Furthermore, in application scenarios with significant background harmonics, the voltage distortion at the point of common coupling controlled by the GFM converter becomes severe, which is detrimental to the stable grid integration of renewable energy converters [13,14]. Therefore, how to systematically enhance the broadband stability of GFM converters is a core issue determining their success as future “primary power sources” for the grid.
The analysis of broadband oscillation problems primarily falls into two categories: time-domain and frequency-domain methods. Common time-domain approaches include simulation based on the electromagnetic transient (EMT) model [15] and eigenvalue analysis based on the state-space model [16]. Due to the diverse topologies and complex control methods of converter-based renewable energy generation systems, EMT-based simulations suffer from low efficiency, and eigenvalue analysis based on state-space models faces the curse of dimensionality. The impedance-based analysis method in the frequency domain is a powerful tool for analyzing and addressing such broadband stability issues. By reshaping the output impedance of the converter to satisfy the Nyquist stability criterion, oscillations can be prevented at their source. Existing research has conducted preliminary explorations into impedance reshaping for GFM converters. Reference [17] indicates that optimizing converter parameters can effectively improve the impedance characteristics of the system at oscillation frequencies, thereby reducing oscillation risks. Reference [18] proposes a harmonic stability analysis method based on sequence impedance to guide parameter design for oscillation avoidance. References [19,20] propose optimized design methods for control parameters affecting high-frequency stability, namely current loop and voltage feedforward, respectively. Reference [21] proposed virtual impedance control to enhance the stability of virtual synchronous generators in weak grids, while Reference [22] applied it for harmonic suppression. Reference [23] proposes an active damping method that introduces a low-frequency virtual positive resistor into the output impedance of the GFM converter by modifying the control loop, thereby reducing or even eliminating its original low-frequency negative resistance. Reference [24] proposes a sub-synchronous oscillation suppression strategy based on current feedback, optimizing the feedback coefficients using amplitude-phase characteristic contour diagrams. Reference [25] alters the system’s impedance characteristics and improves impedance interactions by adding a reshaping link based on an inertial phase-locked loop into the controller, thereby enhancing system stability. References [26,27] provide damping for the system through controls such as grid-connected current feedback and grid voltage feedforward. References [28,29] employ multi-resonant controllers to extract harmonic frequencies, providing sufficient damping at specified frequencies to suppress system harmonics. However, the aforementioned methods mostly have limitations: (1) They are isolated solutions targeting specific frequency bands, lacking a unified framework to collaboratively address broadband issues from low to high frequencies. (2) They target grid-following converters, with the output current as the control objective. (3) They involve fixed-parameter designs for a specific typical grid condition. Controllers with fixed parameters may sacrifice dynamic performance due to over-conservatism in strong grids while potentially failing to effectively suppress oscillations due to insufficient damping in weak grids. The inadequate adaptability and robustness of these methods severely constrain their prospects for engineering applications.
This paper aims to systematically address the aforementioned research gaps. The core research question is defined as follows: how to design a unified control framework that achieves frequency-band decoupling and coordinated reshaping, optimizes the output impedance characteristics of the GFM converter, and enables its key parameters to adapt to the real-time grid strength, thereby systematically enhancing the broadband stable operation capability. Centered on this research question, the main contributions of this paper are as follows:
  • A systematic “frequency-band decoupling and cooperative reshaping” framework is proposed. By constructing independent outer-loop and inner-loop stabilizers, this paper achieves coordinated mitigation of two stability issues with different physical mechanisms in GFM converters: low-frequency negative-damping oscillations and high-frequency harmonic instability.
  • A broadband adaptive stabilization mechanism based on RSCR partitioned gain-scheduling is developed. This mechanism incorporates quantifiable constraints (e.g., phase margin > 30°; impedance magnitude < −3 dB) into the parameter stability region and performs gain-scheduling via online short-circuit ratio (SCR) identification. It achieves robust controller performance against wide variations in grid strength.
  • A complete design procedure is provided, encompassing mathematical modeling, independent controller design, and online gain-scheduling, which demonstrates engineering practicality.
The subsequent sections of this paper are organized as follows: Section 2 establishes the frequency-segmented impedance model of the GFM converter; Section 3 elaborates on the design principles of the multi-band impedance reshaping stabilizers; Section 4 describes the adaptive mechanism based on RSCR; Section 5 validates the effectiveness of the proposed strategy through simulation and experiment; Section 6 presents the conclusions.

2. Impedance Modeling of GFM Converters

2.1. Control Architecture and Mathematical Model of GFM Converters

The main circuit topology and control system structure of the GFM converter are shown in Figure 1, where Vdc is the DC-link voltage, Uabc is the converter output voltage after the filter, YLf and YCf are the admittances of the AC-side filter, and YLg is the equivalent admittance on the grid side. The control of the GFM converter mainly consists of four parts: the virtual excitation loop, the virtual inertia and damping loop, the voltage loop, and the current loop. U*, Q*, P* and ω* are the reference values for voltage, reactive power, active power, and frequency, respectively; Dq is the voltage droop coefficient; K is the excitation integral coefficient; Tj is the virtual inertia time constant; Dp is the damping coefficient; rl and Lf are the equivalent impedance at the machine terminals; Rv and Lv are the virtual impedance; Hi(s) is the PI controller for the current loop; and Kid is the decoupling coefficient.
The core concept of the GFM converter is to emulate the output characteristics of a synchronous generator through control algorithms, autonomously establishing the grid voltage and frequency to provide active support. The outer control loops—the virtual excitation loop and the virtual inertia and damping loop—embody the essential features of GFM control. They generate the phase and amplitude references for the internal electromotive force by emulating the generator’s second-order rotor swing equation and first-order excitation voltage equation, as shown in (1) and (2), respectively. The inner control loop consists of a dual-loop voltage and current structure that controls the current and generates the reference modulation wave.
d θ d t = ω T j d ω d t = P * P D p ω 0 ω ω *
K d E m d t = Q * Q D q U U *

2.2. Impedance Modeling in the Frequency Domain

In practical GFM converter systems, due to the large DC-link capacitor between the wind turbine PWM rectifier/photovoltaic panels and the grid-connected inverter, or the support of high-capacity battery energy storage for the DC-link voltage in energy storage converters, the voltage fluctuation on the DC side is minimal during stable operation. Therefore, the DC side can be considered a stable value, and it does not affect the fundamental analysis of the AC-side-control-dominated broadband stability issues [6,30]. The small-signal circuit model of the GFM converter can be expressed as
Δ m = M i Δ i + M U Δ U = Z L f Δ i + Δ U Δ i = Y C f Δ U + Δ i g
where Δm, ΔU, Δi and Δig are the small-signal vectors of the machine terminal voltage, filter output voltage, output current, and grid-connected current, respectively. Mi and MU are the control gain matrices related to output current and voltage, respectively. In GFM control, this matrix simultaneously includes the gain matrices associated with the virtual excitation loop and the virtual inertia and damping loop.
The unified representation form of the sequence impedance matrix is
Z gen = M U + M i Y C f Z L f Y C f E 1 M i Z L f
where E is the identity matrix.
When considering frequency-coupling characteristics, this impedance matrix takes the form of a 2 × 2 non-diagonal matrix [31]. To simplify subsequent stability analysis, it is typically decoupled into positive-sequence impedance, Zp(s), and negative-sequence impedance, Zn(s), through coordinate transformation. Their expressions are given in (5):
Z GFMp ( s ) = 0.75 H v ( s ) K PWM H i ( s j ω 0 ) V l e j φ e ( E m P ( s j ω 0 ) + T ( s j ω 0 ) / ( 1 + M ( s j ω 0 ) ) ) + K PWM ( H i ( s j ω 0 ) j K d ) + 1 / Y L f ( s ) 0.75 H v ( s ) K PWM H i ( s j ω 0 ) I 1 e j ( φ e φ i ) ( E m P ( s j ω 0 ) T ( s j ω 0 ) / ( 1 + M ( s j ω 0 ) ) ) + H v ( s ) K PWM H i ( s j ω 0 ) + K PWM H i ( s j ω 0 ) Y C f ( s ) j K PWM K d Y C f ( s ) + Z f ( s ) Z GFMn ( s ) = 0.75 H v ( s ) K PWM H i ( s + j ω 0 ) V l e j φ e ( E m P ( s + j ω 0 ) + T ( s + j ω 0 ) / ( 1 + M ( s + j ω 0 ) ) ) + K PWM ( H i ( s + j ω 0 ) j K d ) + 1 / Y L f ( s ) 0.75 H v ( s ) K PWM H i ( s + j ω 0 ) I 1 e j ( φ e φ i ) ( E m P ( s + j ω 0 ) T ( s + j ω 0 ) / ( 1 + M ( s + j ω 0 ) ) ) + H v ( s ) K PWM H i ( s + j ω 0 ) + K PWM H i ( s + j ω 0 ) Y C f ( s ) j K PWM K d Y C f ( s ) + Z f ( s ) where   P ( s ) = 1 T j s 2 + ω 0 D p s ,           T ( s ) = 1 K s ,           M ( s ) = D q K s ,           H v ( s ) = 1 r l + R v + s ( L f + L v ) , H i ( s ) = K ip + K ii s ,           Z f ( s ) = L f C f s 2 + r l C f s r c C f s + 1 + 1 ,           φ e = arcsin 2 ω 0 L f P * 3 E m V l + π 2 ,
where Hv(s) is the voltage loop transfer function, Hi(s) is the current-loop PI controller transfer function, V1 is the fundamental voltage amplitude, Em is the fundamental frequency amplitude of the voltage modulation signal, and φi is the initial phase of the current.

2.3. Impedance Characteristics in Frequency Bands

To verify the correctness of the impedance model ZGFM(s), impedance scanning verification was performed using the harmonic injection method. Figure 2a,b show the schematic diagram of the converter impedance measurement circuit and the basic steps for impedance measurement using the harmonic injection method, respectively. A controllable voltage source in series or a controllable current source in parallel is connected at the PCC. Perturbation voltage or current signals of different frequencies are injected, with the perturbation signals categorized as positive-sequence or negative-sequence. The perturbation amplitude is set between 1% and 5% of the rated value. The inverter terminal voltage and output current are recorded, and the perturbation frequency components are extracted. Defining the positive current direction as flowing from the grid to the converter, the impedance at the perturbation frequency can be calculated as
Z GFM ( ω ) = Δ U ( ω ) Δ I ( ω )
To ensure measurement accuracy, only one frequency point is measured at a time. The target frequency is preset, and a loop is used to proceed to the measurement cycle for the next frequency after each measurement is completed. This method yields the calculation results of the sequence impedance shown in Figure 3. The frequency scanning results match the derived model, confirming the validity of ZGFM(s).
The negative-sequence impedance of the converter primarily affects the system’s unbalanced operation characteristics and even-order harmonic behavior. As seen in Figure 3, the negative-sequence impedance exhibits resistive-inductive characteristics without any negative damping points in the sub–super-synchronous frequency band. In the high-frequency band, the magnitude and phase characteristics of the negative-sequence impedance are essentially consistent with those of the positive-sequence impedance. Therefore, under ideal, balanced three-phase and symmetric grid voltage conditions, neglecting the negative-sequence impedance generally does not affect the identification of the system’s dominant oscillatory modes by the stability criterion [6,30]. Focusing on the positive-sequence impedance as a representative in this paper is reasonable and valid.

2.3.1. Outer Control Loops and Low-Frequency Band Impedance

As shown in Figure 3, due to the capacitive nature of the series-compensated grid impedance in the low-frequency band, its magnitude is prone to intersect with the positive-sequence impedance magnitude of the GFM converter in the sub-synchronous frequency range. At the intersection frequency, the phase difference between the GFM converter and the series-compensated grid can approach 180°, and the real part of the impedance may exhibit negative-resistance characteristics, making the system susceptible to oscillatory instability.
To investigate the influence of control loop characteristics on the low-frequency impedance, the transfer functions of the outer control loops are derived, yielding the open-loop transfer function of the active power loop, GOuterLoop:
G OuterLoop ( s ) = 1 s L f + r l 3 4 M ( s ) V 1 s s 2 + ω 0 2 2 + ω 0 s 2 + ω 0 2 2 j T ( s ) e j P ( s ) + e j P ( s ) V 1 s s 2 + ω 0 2 j e j ω 0 P ( s ) + e j ω 0 P ( s ) V 1 ω 0 s 2 + ω 0 2 × e j ω 0 P ( s ) + e j ω 0 P ( s ) V 1 s s 2 + ω 0 2 j e j P ( s ) + e j P ( s ) V 1 ω 0 s 2 + ω 0 2
As shown in Figure 4, the bandwidth of GOuterLoop is approximately 69.8 Hz, with a magnitude gain of −29.22 dB at 100 Hz, which decreases further with increasing frequency. The magnitude and phase of GOuterLoop exhibit a jump at 50 Hz. They are consistent with the low-frequency impedance response of the GFM converter. This indicates that the low-frequency impedance characteristics of the GFM converter are mainly influenced by the control parameters of the virtual excitation loop and the virtual inertia and damping loop, manifesting as the characteristics of the outer control loops.
When the inner voltage and current loops are not considered, the simplified low-frequency impedance expression of the GFM converter can be derived as
Z GFML ( s ) = 0.75 V l e j φ e ( E m P ( s j ω 0 ) + T ( s j ω 0 ) ) + 1 / Y L f ( s ) 0.75 I 1 e j ( φ e φ i ) ( E m P ( s j ω 0 ) T ( s j ω 0 ) ) + 0.5 e j φ M ( s j ω 0 ) + Z f ( s )

2.3.2. Inner Control Loops and High-Frequency Band Impedance

In Figure 3, the GFM output impedance appears inductive in the mid-frequency band, exhibiting more stable characteristics during grid interaction. As frequency increases, the magnitude of the output impedance gradually rises, indicating a weakening of the converter’s voltage-source characteristic at higher frequencies, making it susceptible to background system harmonics within this frequency range. Simultaneously, the output impedance exhibits a resonant peak in the high-frequency band, accompanied by an abrupt phase shift to capacitive, posing a risk of harmonic oscillation during grid connection. The outer control loops of the GFM converter output the fundamental frequency reference voltage amplitude and phase information, typically without harmonic content. Therefore, to simplify the analysis, the outer control loops can be neglected in the mid-to-high frequency bands. An equivalent control block diagram of the converter is shown in Figure 5.
Based on Figure 5, the simplified high-frequency impedance expression for the GFM converter can be derived as
Z GFMH ( s ) = K PWM H i ( s j ω 0 ) + 1 / Y L f ( s ) 1 + Y C f ( s ) / Y L f ( s ) + K PWM H i ( s j ω 0 ) H v ( s ) + Y C f ( s ) K PWM H i ( s j ω 0 )
The complete impedance model and the frequency-segmented impedance models are plotted in Figure 6. The impedance curves obtained from (5) and (8) essentially overlap in the low-frequency band, while those from (5) and (9) essentially overlap in the high-frequency band. This leads to the conclusion that the output impedance in the low-frequency band manifests the characteristics of the outer control loops, whereas in the high-frequency band, it manifests the characteristics of the inner control loops. This allows for frequency-segmented impedance reshaping via additional control in the outer and inner loops, respectively. The quantitative basis for the decoupling of the output impedance by frequency bands will be elaborated in Section 3.3.
The analysis above fully considers the time and frequency scale separation characteristics of the control system. The complete broadband GFM output impedance is decoupled and modeled by frequency segments, which can be expressed in a piecewise function form. Table 1 summarizes the influence of each control loop on the output impedance.

3. Frequency-Segmented Impedance Reshaping Design

Based on the analysis of the inherent impedance characteristics of the GFM converter in Section 2, this section proposes a systematic frequency-segmented impedance reshaping scheme. Its core design philosophy is to “divide and conquer”: inject damping into the dynamic elements dominant in different frequency bands while ensuring that each stabilizer operates effectively within its design band with minimal mutual interference.

3.1. Outer-Loop Low-Frequency Stabilizer

3.1.1. Controller Design

The negative-resistance characteristics of the GFM converter in the sub/super-synchronous frequency bands and its coupling with series-compensated equipment are important causes of oscillation. The outer control loop, as the dominant element in this frequency band, determines the magnitude and phase of the low-frequency impedance. The core concept of the OLS design is to introduce a virtual damping term proportional to the frequency deviation without altering the original control mode. This term is in parallel with the original damping. Through amplitude and phase compensation, it makes the converter output impedance exhibit significantly positive impedance characteristics in the target frequency band, thereby avoiding oscillatory interaction with the grid. This damping injection method minimizes the impact on the stability of the original power control loop. Its structure is shown in Figure 7.
The mathematical model of the OLS control is as follows:
G P ( s ) = K P T w s 1 + T w s 1 + T 1 s 1 + T 2 s
where Kp is the gain coefficient of the OLS, Tw is the time constant of the DC blocking filter, and T1 and T2 are the lead-lag time constants. Let γ = T1/T2. The frequency deviation signal is filtered by a DC blocking stage for frequency selection and then processed through a lead-lag phase compensation stage and gain adjustment, ultimately generating an additional damping power command.
The power angle perturbation of the converter after adding the OLS is
θ = P P + ( G p ( s ) + D p ) ω 0 T j s 2 + ( G p ( s ) + D p ) s
The low-frequency equivalent impedance model of the GFM converter after adding the OLS is further derived as
Z GFML ( s ) = 0.75 V l e j φ e ( E m P ( s j ω 0 ) + T ( s j ω 0 ) ) + 1 / Y L f ( s ) 0.75 I 1 e j ( φ e φ i ) ( E m P ( s j ω 0 ) T ( s j ω 0 ) ) + 0.5 e j φ M ( s j ω 0 ) + Z f ( s ) where   P ( s ) = 1 T j s 2 + ( G p ( s ) + D p ) s

3.1.2. Frequency-Domain Performance Analysis

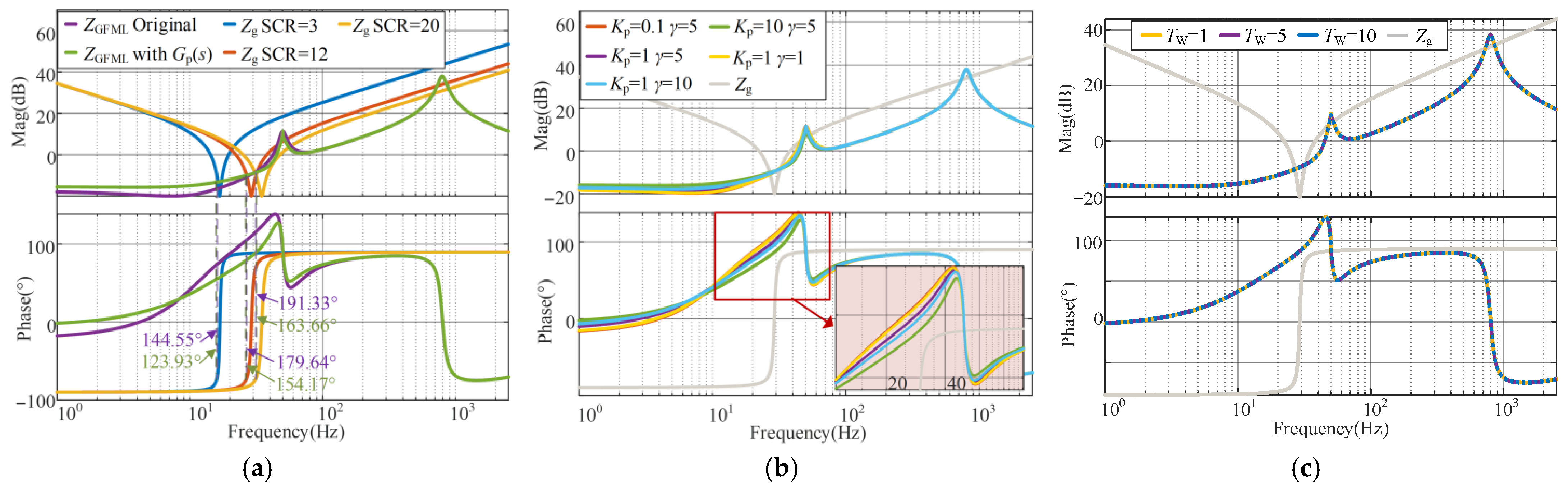
As shown in the comparison of impedance Bode plots in Figure 8, the addition of Gp(s) to the impedance model reshapes the output impedance, ZGFML(s), primarily in the low-frequency band.
According to Figure 8a, in the very low-frequency band below 5 Hz, the OLS reshapes the converter output impedance from resistive-capacitive to resistive-inductive, significantly enhancing the system’s inherent damping capability against traditional low-frequency power oscillations. In the low-frequency band above 10 Hz, the outer-loop stabilizer substantially reduces the phase of the converter output impedance to near 90°, approximating a pure inductive characteristic. For the series-compensated grid presented in Figure 8a, under conditions of low, medium, and high terminal SCR, the phase margin of the converter equipped with the OLS is improved without negative resistance, thereby enhancing system stability. Taking the scenario with SCR = 20 as an example, before adding the OLS, the system phase margin was −11.33°, and the GFM converter exhibited negative impedance, leading to oscillatory instability. After adding the OLS, the system phase margin becomes 16.34° with no negative impedance present, allowing the system to achieve a stable state.
Figure 8b,c illustrate the impact of parameter variations on the output impedance. Using the control variable method, increasing Kp gradually raises the output impedance phase below 5 Hz while gradually decreasing it above 10 Hz, leading to an overall improvement in low-frequency band stability. However, the enhancement of the damping term by increasing Kp affects the system’s dynamic response, hindering fast power regulation. Excessive damping may fail to meet practical dynamic performance requirements; thus, its value cannot be increased indefinitely. The parameter γ has a similar impedance reshaping effect to Kp, but its relative influence is smaller. The time constant, Tw, of the DC blocking filter serves to remove the frequency deviation under steady-state conditions and has little impact on the output impedance. However, its value should be optimized based on ensuring both adequate system dynamic response capability and sufficient damping suppression within the target frequency band.
According to Figure 7, the small-signal transfer function of the GFM output active power can be written as
Δ P = G power ( T W s + 1 ) ( T 2 s + 1 ) T j T W T 2 s 4 + ( T j ( T W + T 2 ) + K p T W T 1 + T W T 2 D p ) s 3 + ( T j + K p T W + D p ( T W + T 2 ) + G power T W T 2 ) s 2 + ( D p + G power ( T W + T 2 ) ) s + G power Δ P ref
The zeros of this transfer function are −1/Tw and −1/T2. To prevent excessive overshoot in the system response when zeros are too close to the imaginary axis, −1/Tw and 1/T2 should be positioned far from it. Meanwhile, Tw is the time constant of the DC blocking stage. To ensure sufficient damping suppression capability, the value of Tw should not be too small. Based on engineering experience, the denominator time constant of the lead-lag stage is set to a typical value of T2 = 0.1 s, and the DC blocking time constant is set to a typical value of Tw = 5 s.

3.2. Inner-Loop High-Frequency Stabilizer

3.2.1. Controller Design

The high-impedance magnitude characteristics of the GFM converter in the high-frequency band and the inherent resonant peak of the LC filter are significant contributors to the high instability risk in this frequency range. For GFM converters that exhibit voltage source characteristics externally, we should focus more on output voltage stability rather than output current. The harmonic voltage at the point of common coupling (PCC) of the GFM converter at a specific high frequency, f, can be expressed as
U f = Z GFMH ( s ) Y L g ( s ) U gosc + Z GFM ( s ) I gosc 1 + Z GFMH ( s ) Y L g ( s ) = Y L g ( s ) U gosc + I gosc 1 / Z GFMH ( s ) + Y L g ( s )
where Ugosc is the system harmonic voltage source, and Igosc is the system harmonic current source. From (14), it can be seen that the output impedance of the GFM converter is inversely proportional to the harmonic voltage content, Uf, at the PCC; that is, a lower output impedance is more favorable for suppressing PCC harmonics. To fully leverage the voltage-source characteristics of the GFM converter, the core design idea of the IHS is to provide a broadband, high-gain damping path within the target high-frequency range, actively reducing the magnitude of the converter’s output impedance so that it exhibits low-impedance characteristics across the entire high-frequency band. This fundamentally undermines the amplitude condition for instability. Therefore, based on the derivation process of the high-frequency equivalent impedance function, the IHS is introduced into the modulation voltage generation stage, as shown in Figure 5.
The mathematical model of the IHS control is as follows:
G I ( s ) = K I Y L g ( s ) + Y L g ( s ) Y L f ( s ) K PWM H i ( s ) Y L f ( s ) K PWM Y C f ( s ) Y L f ( s ) K PWM H i ( s ) Y C f ( s )
where KI is the gain coefficient of the IHS, and the remaining parameters are related to the converter and the grid. The PCC voltage signal is processed through three sets of parallel transfer functions, ultimately generating an additional damping voltage command. Furthermore, to achieve better high-frequency damping suppression without affecting impedance characteristics in other frequency bands, a band-pass filter can be introduced for signal selection within specific frequency bands.
The PCC harmonic voltage of the converter after adding the IHS is
U f = Y L g ( s ) + Y L g ( s ) Y L f ( s ) K PWM H i ( s ) U g Y L g ( s ) + Y L f ( s ) K PWM H i ( s ) H v ( s ) + Y L f ( s ) K PWM H i ( s ) + Y L f ( s ) K PWM H i ( s ) Y C f ( s ) + Y L f ( s ) K PWM G I ( s ) + Y L f ( s ) + Y C f ( s ) + Y L f ( s ) K PWM H i ( s ) H v ( s ) U c * Y L g ( s ) + Y L f ( s ) K PWM H i ( s ) H v ( s ) + Y L f ( s ) K PWM H i ( s ) + Y L f ( s ) K PWM H i ( s ) Y C f ( s ) + Y L f ( s ) K PWM G I ( s ) + Y L f ( s ) + Y C f ( s )
Since the reference voltage command output by the outer control loop of the GFM converter typically contains fundamental frequency voltage amplitude and phase information to ensure system power transfer, with minimal harmonic components, Uc* is considered approximately zero. Therefore, when the grid harmonic content is significant or under non-ideal operating conditions, to ensure the converter output voltage, U, tracks the outer-loop command and is unaffected by grid voltage, Ug, disturbances, the first term on the right side of (16) should be minimized. Substituting (15) into (16) yields
U f = Y L g ( s ) + Y L g ( s ) Y L f ( s ) K PWM H i ( s ) Y L f ( s ) K PWM H i ( s ) H v ( s ) + Y L f ( s ) + ( 1 + K I ) Y L g ( s ) + Y L g ( s ) Y L f ( s ) K PWM H i ( s ) U g = 1 Y L f ( s ) K PWM H i ( s ) H v ( s ) + Y L f ( s ) Y L g ( s ) + Y L g ( s ) Y L f ( s ) K PWM H i ( s ) + ( 1 + K I ) U g
The IHS makes the first term on the right side of (16) independent of the filter capacitor and introduces a gain coefficient KI with controllable magnitude. From the above process, it can be seen that the design of the IHS transfer function is primarily related to the PCC voltage transfer function, differing from the parameter design of the full grid voltage feedforward in traditional LCL-type converters for harmonic suppression.
The high-frequency equivalent impedance model of the GFM converter after adding the IHS is further derived as
Z GFMH ( s ) = Y L f ( s ) K PWM H i ( s j ω 0 ) + 1 / Y L f ( s ) 1 + Y C f ( s ) / Y L f ( s ) + K PWM H i ( s j ω 0 ) H v ( s ) + Y C f ( s ) K PWM H i ( s j ω 0 ) + G I ( s j ω 0 ) K PWM

3.2.2. Frequency-Domain Performance Analysis

Within the impedance model, to avoid affecting other frequency bands, GI(s) incorporates a 4th-order Chebyshev band-pass filter with a rapid transition band attenuation. The passband is set to 200–2000 Hz with a passband ripple of 1 dB. As shown in the comparison of impedance Bode plots in Figure 9, the reshaping of the output impedance ZGFMH(s) is evident in the frequency band above 100 Hz.
According to Figure 9a, in the low-frequency band, the output impedance of the GFM converter with the IHS remains consistent with the original output impedance, ensuring no impact on the converter’s fundamental power control performance. Low-frequency components are effectively filtered out, achieving natural decoupling between high-frequency and low-frequency damping and preventing conflicts between the controllers. Across the entire designed high-frequency band, the output impedance magnitude |ZGFMH(s)| is significantly and uniformly reduced. This low-output impedance emphasizes the converter’s voltage-source characteristics, simultaneously transforming it into an effective “harmonic absorber” within this broadband range. It can suppress both known characteristic harmonics and unknown high-frequency oscillations, providing damping coverage across a wide frequency domain. Although the output impedance phase shows substantial fluctuation in the high-frequency band in Figure 9, each fluctuation spans a wide frequency range and, constrained by the overall low impedance magnitude, does not pose a stability risk to the system.
Furthermore, the original output impedance exhibits a resonant peak near 800 Hz due to the LC filter, which intersects with the grid impedance. According to the Nyquist stability criterion, a resonance risk exists when the phase margin condition is not met. With the addition of the IHS, this resonant peak is significantly attenuated, enhancing system stability.
Figure 9b illustrates the impact of parameter variations on the output impedance. Under the same system conditions, increasing KI leads to a more pronounced reduction in output impedance magnitude, i.e., enhanced suppression of high-frequency harmonics. When KI increases from 50 to 100, the minimum impedance magnitude decreases from −3.8 dB to −9.9 dB. However, increasing KI also expands its influence into lower-frequency bands, which is detrimental to the decoupled control across frequency segments. When the system condition changes, such as a decrease in the SCR, the damping gain for the same KI parameter weakens, leading to reduced suppression effectiveness against high-frequency harmonics. Additionally, a gain overshoot occurs at the low-frequency edge of the designed band. In this case, fine-tuning the KI is necessary to optimize damping and ensure high-frequency stability performance.

3.3. Controller Band Coordination

(1)
Boundary Analysis Based on Control Bandwidth
The bandwidth of a control loop determines the dominant frequency range of its dynamic response.
After adding the proposed OLS, the Bode plot of GOuterLoop shows no significant change in Figure 10a, confirming that the OLS’s function remains within the domain of the outer control loop. Its bandwidth is 69.8 Hz.
The Bode plots of the Chebyshev band-pass filter and the IHS are shown in Figure 10b. With the given parameter settings, the effective frequency band of the Chebyshev band-pass filter is approximately 200–2000 Hz. Under typical parameters, the IHS provides damping in the frequency band above 128.3 Hz.
(2)
Boundary Analysis Based on Impedance Sensitivity
The magnitude of the impedance sensitivity value reflects the degree of influence a parameter has on the frequency-domain characteristics of the output impedance Z(s). A larger absolute value of impedance sensitivity indicates a greater impact of parameter changes on the frequency-domain characteristics of Z(s) and, consequently, on the system’s stability characteristics. The sensitivity function of the output impedance can be expressed as
G k ( k , s ) = lim Δ k 0 G ( k + Δ k , s ) G ( k , s ) Δ k
where k is the parameter for sensitivity analysis, and Δk represents a very small interval approaching zero.
Because the analytical expression for sensitivity is overly complex and difficult to solve, this paper introduces a five-point numerical difference formula. An algebraic calculation method is employed to solve for impedance sensitivity, with a computational accuracy of O(h4) [32]. The expression is
G k ( k , s ) = lim Δ k 0 G ( k + 2 Δ k , s ) + 8 G ( k + Δ k , s ) 8 G ( k Δ k , s ) + G ( k 2 Δ k , s ) 12 Δ k
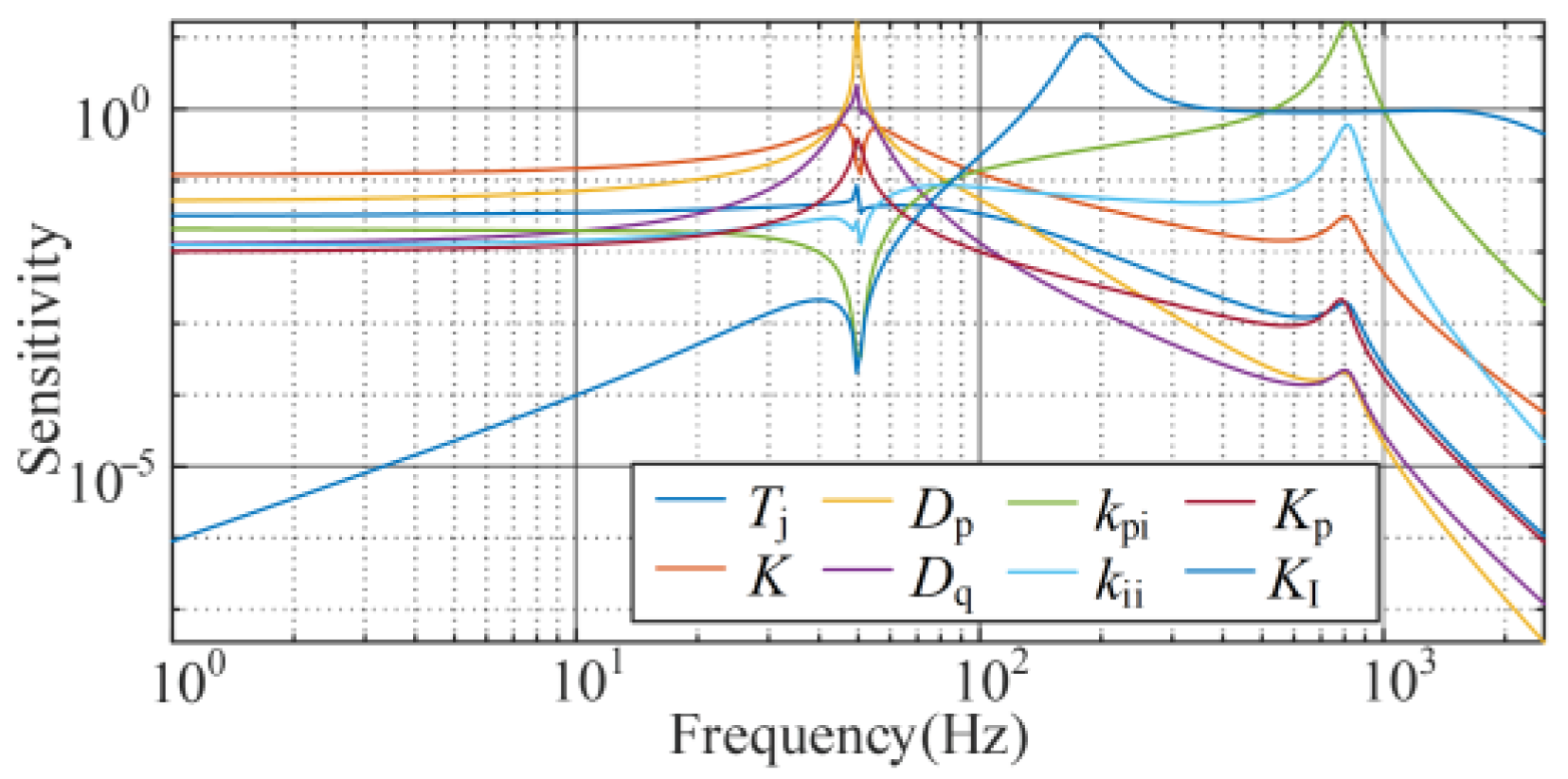
Figure 11 plots the impedance sensitivity curves for each key control parameter. Table 2 provides statistics on the average impedance sensitivity values for each parameter, segmented by 69.8 Hz and 128.3 Hz boundary into low- and high-frequency bands. Within the low-frequency band, the average impedance sensitivity of the control parameters, sorted in descending order, is Dp > K > Dq > Tj > KP > Kii > Kpi > KI, indicating the dominance of outer-loop control parameters. Conversely, within the high-frequency band, the order is KI > Kpi > Kii > K > Tj > Dp > KP > Dq, showing the dominance of inner-loop control parameters. This validates the correctness of the frequency-band partitioning for the control loops established earlier.
It is noteworthy that in the super-synchronous frequency band of 69.8–128.3 Hz, the impedance sensitivity curves exhibit significant overlap. Within this range, the sensitivities corresponding to the outer-loop and inner-loop control parameters are comparable, indicating severe dynamic coupling, which makes it difficult to distinguish the dominant control loop. However, within this band, the GFM output impedance exhibits resistive-inductive characteristics, with low and smoothly varying magnitude and no significant resonant peaks. This indicates that this band inherently possesses a strong stability foundation and is less prone to triggering oscillations. Furthermore, under typical parameters, the outer control loop bandwidth is less than 69.8 Hz, and the inner loop’s effective band (via the band-pass filter) is greater than 128.3 Hz. Both loops have low gain in this transition band, achieving natural frequency band isolation. Therefore, we choose to regard the transition band as a stability buffer zone, relying on the controller design for natural decoupling. The output impedance of the GFM converter can be expressed in a piecewise form as
Z GFM ( ω ) = Z GFML ( ω ) , ω < ω L 0 Z GFM 0 ( ω ) , ω L 0 ω ω H 0 Z GFMH ( ω ) , ω > ω H 0
where ωL0 and ωH0 are the boundary frequencies for the low-frequency and high-frequency intervals, respectively. Conservative values should be selected by combining the influence boundaries from the control loop bandwidth analysis and the results of the impedance sensitivity calculations.

3.4. Modeling Methodology

Figure 12 systematically presents the complete methodological flowchart for the frequency-segmented impedance modeling of the GFM converter.
(1)
A full impedance model incorporating virtual synchronous machine control and the dual voltage-current loops is established based on small-signal linearization, and its accuracy is verified via the harmonic injection method.
(2)
Through frequency-band characteristic analysis, key stability issues such as negative damping in the low-frequency band and high impedance amplitude in the high-frequency band are identified.
(3)
Based on differences in control bandwidth and parameter-impedance sensitivity, the impedance model is decoupled into frequency segments, leading to the derivation of a simplified low-frequency impedance model dominated by the outer loop and a simplified high-frequency impedance model dominated by the inner loop.
(4)
Utilizing these segmented models, the outer-loop low-frequency stabilizer and the inner-loop high-frequency stabilizer are designed independently. Controller parameters are determined through frequency-domain analysis and parameter optimization.
(5)
The effectiveness of the control strategy is evaluated via simulation.
The research ultimately forms a complete frequency-segmented impedance reshaping modeling framework, providing a practical mathematical model foundation for system integration and design.

4. Adaptive Impedance Reshaping Strategy Based on Gain-Scheduling

The operating conditions of actual power grids are time-varying, making it difficult for fixed-parameter controllers to maintain optimal performance across all grid strength scenarios. To achieve engineering-friendly adaptive control and ensure the small-signal stability of GFM converters throughout their entire operating cycle, this section proposes a gain-scheduling strategy based on RSCR partitioning. Its core principle is to discretize the grid operating state into distinct strength modes by online identification of the SCR. Based on an offline-mapped broadband parameter stability region, the controller switches to a preset optimized parameter set for each mode. This approach significantly enhances the system’s adaptability to varying grid conditions without requiring complex broadband impedance identification.

4.1. Online Grid Strength Identification

Grid strength is commonly quantified by the SCR, defined as the ratio of the short-circuit capacity to the equipment capacity [33]. During real-time operation of converter-based sources, an RSCR index based on single-point measurement information can be introduced [34,35]:
R SCR = U N E g U U E g
where UN is the rated terminal voltage, Eg is the system Thevenin equivalent voltage, and U is the converter output voltage.
Assuming no drastic changes in the system state, a passive measurement method based on two time instants is employed. The system Thevenin equivalent parameters are estimated by inverting locally measured voltage and current data to compute the real-time terminal SCR. The state equation of the system equivalent model can be expressed as
E g r ( t ) = E g r ( t ) + j E g i ( t ) U ( t ) = U r ( t ) + j U i ( t )
Assuming the system parameters remain constant between the two sampled time instants, the system Thevenin equivalent parameters can be solved:
X ( t 1 ) = X ( t 2 ) = A ( t 1 ) A ( t 2 ) 1 S ( t 1 ) S ( t 2 ) where ,   A ( t ) = 1 0 P ( t ) U r ( t ) + Q ( t ) U i ( t ) / U 2 P ( t ) U i ( t ) Q ( t ) U r ( t ) / U 2 0 1 P ( t ) U i ( t ) + Q ( t ) U r ( t ) / U 2 P ( t ) U r ( t ) + Q ( t ) U i ( t ) / U 2
where X(t) = [Egr(t), Egi(t), Rg(t), Xg(t)]T is the system state vector, A(t) is the system regression matrix, and S(t) = [Ur(t), Ui(t)]T is the local observation vector.
In practical applications, issues such as algorithm divergence or parameter drift may arise when the system is near steady state (leading to insufficient data excitation) or experiences large disturbances (violating the assumption of constant system parameters). Therefore, a data screening mechanism based on changes in voltage and current is introduced, setting thresholds for voltage and current variations. Concurrently, based on the physical characteristics of the system, parameter constraints are applied to the identification results, X(t), to exclude the interference of poor-quality data on the identification outcome.

4.2. Optimized Parameter Selection

The effectiveness of gain-scheduling relies on parameters tuned for different grid strengths during the offline stage. Although the SCR is a fundamental-frequency index, it exhibits a strong correlation with broadband stability. Setting the series compensation capacitance as a constant value. To simplify the analysis, the influence of line resistance is ignored. This approach actually corresponds to the design requirement under the worst-case scenario where the system-side damping is zero, ensuring a conservative calculation result for the parameter stability region [36].
As analyzed in Section 3, for the low-frequency band, the oscillation risk increases with a higher system SCR, requiring an increase in the OLS gain coefficient, Kp, to maintain stability. However, in strong grids, this may sacrifice dynamic performance due to excessive damping. For the high-frequency band analysis, the converter’s harmonic suppression capability decreases with a lower system SCR, necessitating an increase in the IHS gain coefficient, KI. However, excessive gain is detrimental to decoupled control across frequency bands. By treating system stability requirements as constraints and optimizing dynamic performance and frequency band decoupling as the core design objectives, the following optimization objective function is obtained:
min K P , K I ε 1 K P + ε 2 J decouple ( K P , K I )
where ε1 and ε2 are design weights that can be adjusted to reflect preferences for different objectives. A smaller Kp helps mitigate excessive suppression of power dynamics by the outer-loop damping, thereby improving time-domain dynamic performance. Jdecouple is an impedance deviation index reflecting the degree of influence of the additional control on the transition band, [ωL0, ωH0]. A smaller Jdecouple indicates less coupling between the stabilizers. Jdecouple can be expressed as
J decouple ( K P , K I ) = max ω ω L 0 , ω H 0 Z GFML ( ω ) Z GFM 0 ( ω ) Z GFM 0 ( ω ) , Z G F M H ( ω ) Z GFM 0 ( ω ) Z GFM 0 ( ω )
The model constraints include the following:
(1)
GFM Output Impedance Self-Stability Constraint
σ Z GFM s = min σ k Z GFM s < 0     k = 1 , 2 , , n
where σ is the oscillation damping of the most severe mode, k is the oscillation mode index, and n is the number of oscillation modes. This constraint requires all poles of the GFM to be located in the left-half plane.
(2)
Low-Frequency Band Stability Constraint
π Z GFML ω L Z g ω L > P L
where ωL is the crossover frequency of the low-frequency band interval, and PL is the minimum phase margin constraint. Note that the external characteristics of the GFM converter can be regarded as a voltage source; therefore, the impedance ratio for stability assessment is the GFM converter output impedance divided by the grid impedance.
(3)
High-Frequency Band Impedance Magnitude Constraint
Z GFMH ω H < M H
where ωH is the frequency within the key high-frequency damping band interval, and MH is the maximum impedance magnitude threshold constraint.
(4)
Frequency Band Decoupling Constraint
ω H 0 ω L 0 min ω Z GFMH ω H 1 Z GFM 0 ω H 1 > δ Z H > Ω L H
where ωL0 and ωH0 are the boundary frequencies separating the low-frequency and high-frequency intervals, respectively. ΩLH is the influence band constraint, ωH1 is the frequency within the overall high-frequency band interval, and δZH is a quantitative coefficient representing the influence of the IHS on the output impedance.
Given the characteristic that GFM converters tend to operate stably at low SCR but are prone to instability at high SCR, the grid strength is categorized into three modes: weak (SCR = 1–3), medium (SCR = 3–10), and strong (SCR = 10–20). Using Kp and KI as key parameter variables, parameter sweeps were conducted within reasonable ranges. Figure 13 shows the parameter stability region calculated based on the converter data in Section 5.1 of the manuscript, with settings PL = 30°, MH = −3 dB, ΩLH = 100 Hz and ωH ∈ [200 Hz, 1000 Hz]. Based on the objective of optimal dynamic performance, the final typical parameters (Kp, KI) for the three grid strength modes were determined: weak grid strength (0.5, 650), medium grid strength (10, 280), and strong grid strength (35, 85).
The parameter variation pattern indicates that as grid strength weakens, Kp decreases accordingly to balance stability and dynamic performance, while KI increases to ensure the effectiveness of high-frequency band control. All parameter sets strictly satisfy the full-frequency-band stability constraints, providing a reliable foundation for online gain-scheduling. Furthermore, to enhance control stability, prevent oscillatory instability caused by frequent control switching, and avoid transient impacts from rapid switching, a hysteresis comparison mechanism and a smooth transition mechanism are added when the SCR changes.

4.3. Method Workflow

As shown in Figure 14, the method workflow consists of two parts: offline design and online execution. The offline part first establishes the frequency-segmented impedance model based on multi-frequency scales. Subsequently, combined with grid strength categorization, parameter sweeps for reshaping are conducted at multiple characteristic points within each mode. The intersection of the local stability regions from all characteristic points is then identified to form the robust parameter stability region for that mode. Finally, the tuned sets of typical parameters for the three modes are stored in a database for online query.
The online part estimates the RSCR based on system response data. According to the grid strength corresponding to the RSCR, the mode identification logic is triggered, and the corresponding optimized parameter set is retrieved. The controller parameters then smoothly transition to the target values, with the updated parameters taking effect immediately, achieving online reshaping of the impedance characteristics.

4.4. Method Evaluation

4.4.1. Control Complexity and Resource Requirement Analysis

(1)
Architecture and Signals. The OLS, IHS and RSCR fully reuse the frequency deviation PCC voltage signals and power signals already available within the converter’s existing control architecture. This eliminates the need for additional sensors or sampling channels, thereby avoiding hardware costs and synchronization issues.
(2)
Controller Structure. The OLS consists of a DC blocking filter combined with a lead-lag compensator. The IHS is composed of a band-pass filter combined with inherent system parameters, requiring no complex stages such as harmonic voltage extraction. This results in a simple controller design with minimal memory and computational overhead.
(3)
Adaptive Mechanism. The RSCR-based gain-scheduling strategy employs an offline parameter table with online lookup, avoiding complex real-time optimization calculations. The RSCR identification is based on a two-time-instant passive measurement method, which has a low computational load and operates at a period significantly slower than the control loops, thus not affecting real-time performance.

4.4.2. Robustness Assessment

(1)
Measurement Noise. The method filters out high-frequency disturbances through data preprocessing and screening mechanisms, utilizes the inherent smoothing effect of the algorithm to suppress random noise deviations, and eliminates outliers by incorporating physical constraint validation. Simultaneously, the logical inertia of the gain-scheduling prevents frequent mode switching.
(2)
Rapidly Changing Conditions. For rapidly changing operating conditions, although the online identification may transiently fail, the offline-tuned parameter stability region itself possesses robustness. As long as the system operating point remains within the coverage of the grid strength modes and without erroneous triggering or misjudgment, the controller can still ensure stable system operation.

4.4.3. Economic and Engineering Applicability Assessment

(1)
Cost-Effectiveness. No additional hardware is required; deployment can be achieved solely through software upgrades. By suppressing broadband oscillations, the method reduces risks such as grid disconnection and equipment damage, thereby enhancing system safety and economic benefits.
(2)
Tuning Effort. The frequency-band decoupled design of the OLS and IHS supports independent parameter tuning. The parameters exhibit robustness within a reasonable range. The adaptive mechanism automatically switches parameter sets according to grid strength, significantly reducing the debugging workload for adapting to varying operating conditions.
(3)
Commissioning Complexity. A step-by-step commissioning strategy can be adopted, first verifying the basic control and then enabling the stabilizers. The parameter sets are pre-validated offline, requiring only minor on-site fine-tuning. Performance evaluation relies on standard tests (e.g., impedance scanning, harmonic distortion rate) and does not require special equipment.

4.4.4. Comparison with Existing Methods

To clearly illustrate the systematic improvements of the proposed method over existing methods, its core features are summarized and compared in Table 3.
As shown in Table 3, the proposed method offers a more systematic solution in terms of the comprehensiveness of frequency-band coverage, the conciseness of the control architecture, parameter adaptivity, and engineering implementation friendliness. It thus holds promise for more effectively addressing the broadband stability issues of GFM converters in complex and variable power grids.

5. Case Analysis

To comprehensively verify the effectiveness of the proposed impedance reshaping strategy and its gain-scheduling-based adaptive mechanism, this section builds a series of electromagnetic transient simulation models ranging from single converters to multi-machine systems on the MATLAB/Simulink R2021b platform. The analysis covers three aspects: time-domain oscillation suppression, system-level stability enhancement, and conventional operational performance.

5.1. Time-Domain Oscillation Suppression

As shown in Figure 15, the GFM converter is connected to the grid via a transmission line with series compensation. The relevant parameters of the GFM converter are listed in Table 4. Among them, it should be noted that Rc is the damping resistor in series with the capacitor branch of the LC filter. Its primary function is to suppress the high-frequency resonant peak of the LC filter and improve the converter’s impedance characteristics in the high-frequency band. It must be selected by balancing damping effectiveness and loss requirements, but it does not affect the functionality of the proposed method. The total line inductance is set to Lg = 10 mH, and the calculated GFM terminal SCR is 7.7. Concurrently, to simulate complex grid background harmonics, the 5th and 11th voltage harmonics with an amplitude of 15%|U| are injected into the system, and the 7th and 13th current harmonics with an amplitude of 15%|I| are injected at the grid-connection node. At t = 2.5 s, the series capacitor Cg = 0.004 F is switched into the circuit. To illustrate the advantages of the proposed reshaping control method, comparative experiments are conducted using the virtual impedance method from traditional active damping.
Figure 16 shows the Bode plots of the GFM output impedance with and without the proposed method, under the system parameters from Section 5.1. Before applying the proposed method, the magnitudes of the GFM output impedance and the grid impedance intersect at 22.84 Hz. At this frequency, the phase margin is 6.39°, and the phase of the GFM output impedance is 94.75°, exhibiting negative-resistance characteristics and posing a risk of sub-synchronous oscillatory instability. Concurrently, the GFM output impedance magnitude is high in the high-frequency band, exceeding 10 dB within the 200 Hz–2000 Hz range, making it susceptible to background system harmonics in this frequency range. After applying the proposed method, the intersection occurs at 22.53 Hz. Here, the phase margin improves to 31.36°, and the GFM output impedance phase becomes 70.77°, exhibiting positive-resistance characteristics, thereby eliminating the risk of sub-synchronous oscillatory instability. Moreover, the impedance magnitude at high frequencies decreases, falling below −3 dB within a range of 200–1000 Hz.
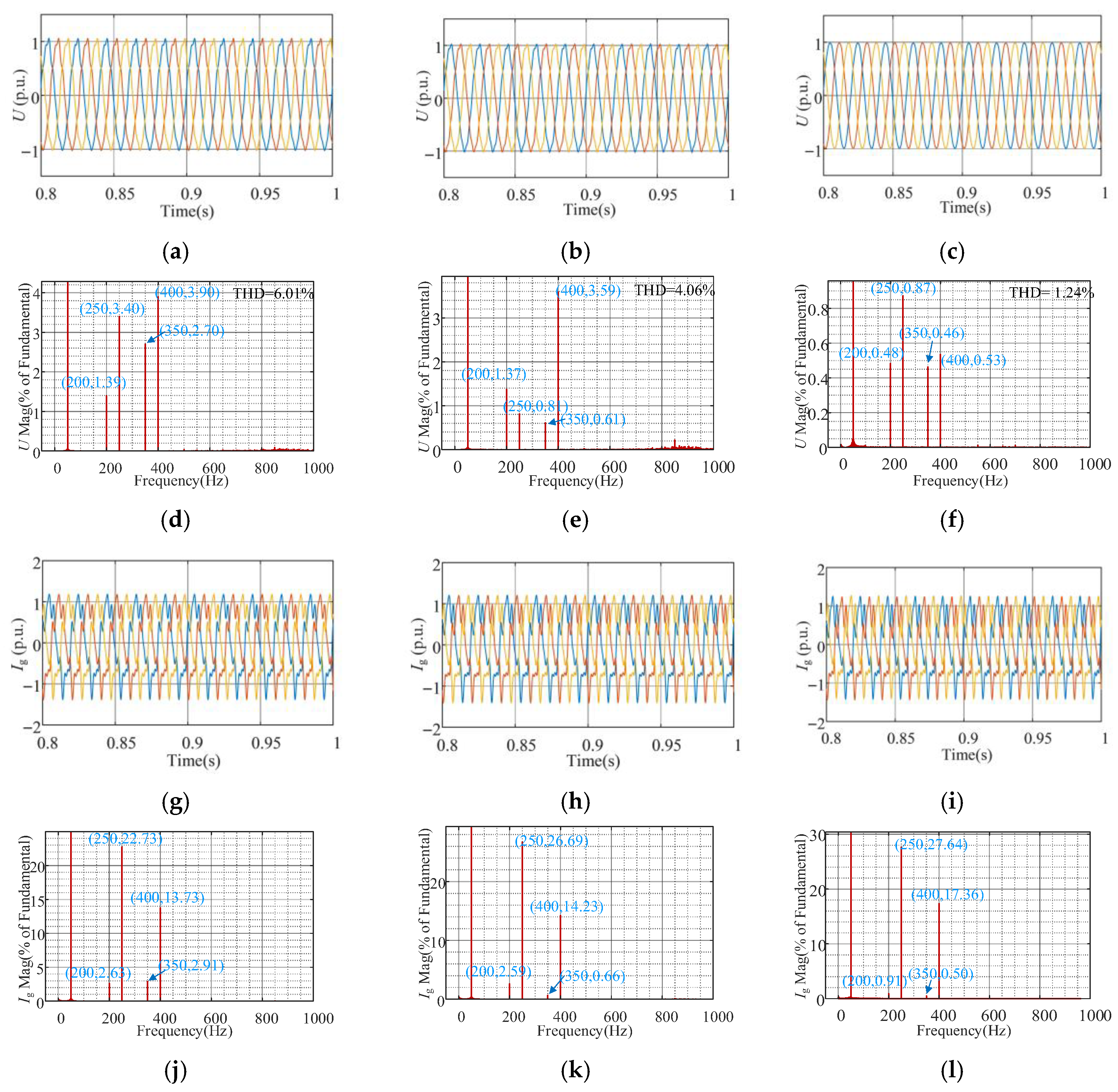
Figure 17a–l shows the time-domain waveforms of the terminal voltage/current and the grid-side voltage/current. Figure 18a–l presents the corresponding voltage and current spectral distribution.
For the low-frequency band, after switching in the series capacitor, the disturbance caused severe distortion in the voltage and current, exciting a 23 Hz voltage/current oscillation in the system. The oscillation amplitude was 1.52% for the voltage component and 147.88% for the current component, corresponding to a 27 Hz sub-synchronous power oscillation, which is detrimental to stable system operation. After enabling the proposed frequency-segmented impedance reshaping control, the damping of the 23 Hz oscillatory mode was enhanced, and the sub-synchronous oscillation at the point of common coupling was sufficiently suppressed. Within 0.5 s after the oscillation onset, the voltage component amplitude decayed to 0.09% and the current component amplitude to 10.95%.
For the high-frequency band, the terminal harmonic voltages were significantly suppressed. THD decreased from 11.53% to 1.18%, effectively preserving the voltage-source support characteristic of the GFM converter. Furthermore, the content of the 7th and 13th current harmonics at the converter terminal increased from 12.34% and 9.78% to 16.00% and 15.96%, respectively. Conversely, the content of the 7th and 13th current harmonics on the grid side decreased from 2.78% and 5.46% to 0.55% and 0.29%, respectively. This indicates that the GFM converter can absorb harmonic currents excited by harmonic current sources within the system. In summary, the results demonstrate that the proposed method not only ensures the self-stability of the GFM converter but also enables it to act as a grid-side damper, providing active damping support for the entire power system. The time-domain analysis results are consistent with the frequency-domain analysis results.
The traditional active damping strategy used for comparison in this paper employs the method of adding virtual impedance in the voltage loop with the same resistance-inductance ratio as the filter Rl and Lf. At t = 2.5 s, the converter virtual impedance is set to 10%(Lf + Rl). At this point, the virtual impedance value is small, providing insufficient damping, resulting in an insignificant oscillation attenuation effect in the low-frequency band. At t = 3.0 s, after increasing the virtual impedance to 20% (Lf + Rl), although the system damping can be further increased, it faces issues of high losses and steady-state operating point deviation, which adversely affect the voltage-source control characteristics of the converter. The THD increases from 11.53% to 14.60%. Furthermore, the series virtual impedance method can only suppress the output current harmonics of the single converter unit and cannot suppress the grid-side current harmonics of the system. The content of the 7th and 13th current harmonics on the grid side increases from 2.78% and 5.46% to 3.25% and 6.95%, respectively.
In Appendix A, the proposed method is compared with multi-loop harmonic resonant control (MHRC) and adaptive virtual impedance (AVI). Multi-loop harmonic resonant control targets specific frequencies, lacking broadband coverage from sub-synchronous to high frequencies and being sensitive to frequency deviations. Adaptive virtual impedance adjusts impedance with grid strength but often fails to concurrently address low-frequency negative damping and high-frequency stability due to its single reshaping mechanism and complex broadband parameter coordination. The proposed method employs a frequency-segmented design to achieve both positive damping at sub-synchronous frequencies and impedance suppression at high frequencies, ensuring broadband coverage and high adaptability. Frequency-domain analysis and time-domain simulations validate its effectiveness.

5.2. System-Level Stability Verification

To evaluate the system-level performance of the proposed method in a complex grid, an equivalent direct-drive wind farm grid integration system is adopted as a test case, as shown in Figure 19. The wind turbines in the wind farm are equivalently aggregated into two units based on the single-machine multiplication and equal power loss principle. The SVG in the wind farm is replaced by an energy storage device controlled by the GFM converter proposed in this paper, with a capacity of 20% of the wind farm’s installed capacity.
The system operates stably in the initial state. At t = 2 s, the output power of the wind farm gradually increases. The variation in wind turbine output power is shown in Figure 20a. The terminal RSCR of the GFM converter is shown in Figure 20b.
As shown in Figure 20 and Figure 21, after the wind farm output power increases, the RSCR of the GFM converter continuously decreases, transitioning gradually from a strong grid (RSCR = 15.4) to a weak grid (RSCR = 2.1). To ensure broadband system stability, the key control parameters for impedance reshaping are adjusted accordingly; the parameter sets (Kp, KI) change successively to (35, 85), (10, 280), and (0.5, 650).
Figure 22a–d and Figure 23a–d show the time-domain waveforms and spectra of the GFM converter’s PCC voltage and grid-side current before and after implementing the reshaping control based on gain-scheduling. When keeping the key parameters fixed at (35, 85), the PCC voltage broadband THD values under the three grid strength levels are 4.38%, 10.82%, and 4.19%. The grid-side current broadband THD values are 0.61%, 2.71%, and 2.01%. After activating the proposed method, the system remains stable throughout the entire process. Due to the hysteresis and delay-response control implemented in the parameter switching process, no significant transient impact is observed in the voltage and current time-domain waveforms. Furthermore, the non-fundamental frequency components decay rapidly at the corresponding moments. The PCC voltage broadband THD values become 4.38%, 7.21%, and 2.87%, while the grid-side current broadband THD values become 0.61%, 1.63%, and 1.36%. The broadband damping capability is improved, demonstrating that this control strategy can provide effective damping support for the regional wind farm system.

5.3. Conventional Operational Performance Verification

To ensure that the proposed impedance reshaping method does not affect the basic operational functions of the converter, conventional functional tests involving frequency step changes and voltage step changes were conducted separately.
As shown in Figure 24a, the grid frequency steps from 50 Hz to 49.9 Hz at t = 2.5 s and recovers to its initial value at t = 3.5 s. After implementing the impedance reshaping method, the active power output of the GFM converter increases from 0.95 p.u. to 1.58 p.u., demonstrating its active frequency support functionality to the grid. As shown in Figure 24b, the grid voltage drops from 1.0 p.u. to 0.9 p.u. at t = 2.5 s and recovers to its initial value at t = 3.5 s. After implementing the impedance reshaping method, the reactive power output of the GFM converter increases from 0.03 p.u. to 0.40 p.u., demonstrating its active voltage support functionality to the grid. In summary, the proposed impedance reshaping method achieves broadband stability enhancement for the grid-connected system while having minimal impact on the active support functions of the GFM control.
It is noteworthy that the OLS of the GFM converter acts as a transient damping link that blocks the DC component. It affects the dynamic characteristics of the converter’s output power, such as overshoot and settling time, but has little impact on the steady-state power target value. In engineering applications, when the damping, Dp, serves as steady-state damping control and duplicates the primary frequency regulation function while affecting power control accuracy, directly employing the transient damping link can be considered.

5.4. Experiment Verification

To further validate the effectiveness of the proposed method, we conducted hardware-in-the-loop (HIL) tests based on the HYPERSIM digital-analog hybrid real-time simulation system from the China Electric Power Research Institute. The hardware version is 5607 OPAL-RT, and the software version is HYPERSIM 2022.2.0.o293. The control algorithm was implemented on a DSP TMS320C6657. The controller of the GFM converter under test was connected to the HIL test system via physical I/O. The test loop is shown in Figure 25, where the converter is connected to an ideal voltage source through series impedance. Key parameters of the experimental platform refer to Section 5.1.
To verify the effectiveness of the proposed frequency-segmented impedance reshaping method across different frequency bands, this section selects two broadband stability test conditions: sub-synchronous oscillation and high-frequency harmonic disturbance. The specific settings are as follows:
Test Condition 1: At t = 3 s, a series capacitor Cg = 0.004 F is switched into the circuit.
Test Condition 2: The 5th and 11th voltage harmonics with an amplitude of 15%|U|, and the 7th and 13th current harmonics with an amplitude of 15%|I| are injected into the system at the grid-connection point.
Both Test Condition 1 and Test Condition 2 are compared with the traditional control mode that does not include the proposed strategy. The results are shown in Figure 26, Figure 27, Figure 28 and Figure 29, where the y-axis for voltage curves is in volts (V) and for current curves is in amperes (A).
For Test Condition 1, shown in Figure 26a–d and Figure 27a–d, under the traditional control mode, a sudden increase in the series compensation level excited a 22 Hz voltage and current oscillation in the system. The oscillation amplitudes were 1.27 V for the voltage component and 7.84 A for the current component. Observing the current waveform confirmed sub-synchronous oscillatory instability. With the proposed method enabled, within 0.5 s after the oscillation onset, the voltage component amplitude decayed to 0.36 V and the current component amplitude to 1.26 A, demonstrating sufficient suppression of the sub-synchronous oscillation. These results verify the positive damping effect of the OLS on sub-synchronous oscillations.
For Test Condition 2, shown in Figure 28a–d and Figure 29a–d, the traditional control mode was severely affected by voltage and current harmonics. After applying the proposed method, the influence of harmonic voltage and current sources on the terminal voltage was significantly reduced. The THD decreased from 12.65% to 1.13%. Furthermore, the grid-side 7th and 13th harmonic currents excited by the harmonic current source decreased from 0.39 A and 0.7 A to 0.03 A and 0.04 A, respectively. This indicates that the equivalent output impedance of the GFM converter in the high-frequency band is reduced, aligning with the control objective. These results demonstrate the positive high-frequency damping effect of the IHS.

6. Conclusions

This paper systematically proposes a comprehensive solution for the broadband stability issues arising from the interaction between GFM converters and the grid, encompassing frequency-segmented impedance modeling, impedance reshaping, and adaptive gain-scheduling. Through theoretical analysis, frequency-domain design, and time-domain simulation, the following key outcomes have been achieved:
  • Frequency-segmented impedance decoupling, reshaping, and coordinated stability enhancement. Simplified impedance models for the low-frequency and high-frequency bands were established, clarifying that the outer and inner loops dominate the impedance characteristics in their respective bands. Accordingly, the designed OLS and IHS reshape the positive damping characteristics in the low-frequency band and reduce the impedance magnitude in the high-frequency band, respectively. The frequency-domain results demonstrate that this method improves the phase margin and eliminates negative resistance in the low-frequency band while suppressing resonant peaks in the high-frequency band, achieving the goal of coordinated, “frequency-segmented and loop-specific” damping.
  • Development of a gain-scheduling adaptive mechanism based on SCR partitioning. This enhances the controller’s robustness against grid strength variations. By online identification of the RSCR, the grid is categorized into strength modes, with a pre-stored optimized parameter set for each mode. This method avoids complex online impedance identification, achieving parameter adaptation solely through table lookup and smooth switching. The test results show that the system maintains full-band stability even during dynamic grid strength changes, significantly improving the controller’s adaptability to operating conditions and meeting the engineering goal of adaptive operation.
  • Comprehensive validation of the proposed strategy through multi-dimensional experiments. In the single-converter system, the method successfully suppressed sub-synchronous oscillations and significantly reduced harmonic distortion rates. Meanwhile, it did not affect the converter’s active frequency and voltage support functions. In the equivalent wind farm system, it achieved smooth parameter switching and stable operation under different grid strengths. The results comprehensively confirm that the proposed method meets the expected targets in single-converter-level and system-level stability.

Author Contributions

Conceptualization, H.S. (Huadong Sun) and W.L.; methodology, H.S. (Hangyu Sun) and W.L.; software, H.S. (Hangyu Sun); validation, H.S. (Hangyu Sun) and L.Y.; formal analysis, H.S. (Hangyu Sun); investigation, H.S. (Hangyu Sun); resources, D.A.; data curation, H.W. and D.A.; writing—original draft preparation, H.S. (Hangyu Sun); writing—review and editing, H.S. (Huadong Sun), W.L. and D.A.; visualization, H.S. (Hangyu Sun) and Y.D.; supervision, W.L.; project administration, W.L.; funding acquisition, D.A. All authors have read and agreed to the published version of the manuscript.

Funding

This research was funded by the Science and Technology Project of the State Grid Corporation of China, grant number 5230HQ250017-255-YYGG.

Data Availability Statement

The original contributions presented in the study are included in the article; further inquiries can be directed to the corresponding author.

Conflicts of Interest

The authors declare no conflicts of interest.

Appendix A

Appendix A.1. Comparison with Multi-Loop Harmonic Resonant Control

The typical control structure of MHRC is
G MHRC ( s ) = h 2 k h ω c s s 2 + 2 ω c s + ω h 2
where kh is the resonant controller gain, ωc is the bandwidth of the resonant controller, ωh is the angular frequency of the resonant controller, and h is the order of the target harmonic.
MHRC is configured to extract typical 5th, 7th, 11th, and 13th harmonics for damping control. The resonant controller gains were designed so that the impedance reshaping effect at the corresponding frequencies matched that of the proposed method. Figure A1a compares the GFM output impedance reshaping results of the proposed method and MHRC. At the designed frequency points, both methods achieve a low impedance magnitude (approximately −6 dB), effectively avoiding interference from high-frequency system signals. However, in other frequency bands not specifically targeted, MHRC causes significant and sharp variations in the output impedance magnitude. It even leads to overshoot, where the impedance magnitude exceeds the original value, degrading the voltage-source characteristic, and is detrimental to improving the system’s broadband stability.
Figure A1. Method comparison in frequency domain. (a) MHRC; (b) AVI.
Figure A1. Method comparison in frequency domain. (a) MHRC; (b) AVI.
Energies 19 00843 g0a1
Time-domain simulations are conducted based on the case in Section 5.1 for verification. To simulate complex grid background harmonics, the fifth and eighth voltage harmonics with an amplitude of 15%|U|, and the fourth and seventh current harmonics with an amplitude of 15%|I| were injected into the system.
Figure A2a,d,g,j illustrate the voltage and current responses under traditional control. As shown in Figure A2b,e,h,k, MHRC effectively suppresses only the preset fifth and seventh harmonics. The terminal voltage component amplitudes for these harmonics decreased from 3.40% and 2.70% to 0.81% and 0.61%, respectively, and the grid-side seventh harmonic current amplitude decreased from 2.91% to 0.66%. However, MHRC has little effect on the fourth and eighth harmonics. The amplitudes of the fourth and eighth terminal voltage components and the grid-side fourth current component remain high. In contrast, the proposed method shown in Figure A2c,f,i,l does not require separating frequency information and significantly suppresses all four types of injected harmonics. The terminal voltage THD of the GFM converter is 1.24%, and the grid-side fourth and seventh harmonic currents are 0.91% and 0.50%, respectively, both clearly superior to the traditional method and MHRC.
Figure A2. Comparison between MHRC and the proposed method in time domain. (a) Terminal voltage with traditional method; (b) terminal voltage with MHRC; (c) terminal voltage with the proposed method; (d) terminal voltage spectra with traditional method; (e) terminal voltage spectra with MHRC; (f) terminal voltage spectra with the proposed method; (g) grid-side current with traditional method; (h) grid-side current with MHRC; (i) grid-side current with the proposed method; (j) grid-side current spectra with traditional method; (k) grid-side current spectra with MHRC; (l) grid-side current spectra with the proposed method.
Figure A2. Comparison between MHRC and the proposed method in time domain. (a) Terminal voltage with traditional method; (b) terminal voltage with MHRC; (c) terminal voltage with the proposed method; (d) terminal voltage spectra with traditional method; (e) terminal voltage spectra with MHRC; (f) terminal voltage spectra with the proposed method; (g) grid-side current with traditional method; (h) grid-side current with MHRC; (i) grid-side current with the proposed method; (j) grid-side current spectra with traditional method; (k) grid-side current spectra with MHRC; (l) grid-side current spectra with the proposed method.
Energies 19 00843 g0a2

Appendix A.2. Comparison with Adaptive Virtual Impedance

The typical form of AVI is
U ref = U ref 0 Z v ( a ( t ) ) I
where a(t) represents the time-varying system state.
As shown in Figure A1b, the AVI superimposes a near-linear modification on the original converter output impedance, affecting the magnitude and phase characteristics across the entire frequency band. This makes it difficult to apply differentiated corrections for impedance deficiencies in different frequency bands. Although it achieves control effects similar to the proposed method in the sub-synchronous frequency band, in the high-frequency band above 100 Hz, the impedance magnitude becomes larger than the original, weakening the voltage-source control characteristic and potentially exacerbating high-frequency stability. Therefore, the AVI algorithm faces the challenge of balancing its effects between low and high-frequency bands.
Time-domain simulations are conducted based on the case in Section 5.1 for verification. At t = 3 s and t = 4.5 s, series capacitors were switched into the circuit, increasing the series compensation level from 0% to 25% and then to 40%, respectively. Concurrently, to simulate complex grid background harmonics, the fifth voltage harmonic with an amplitude of 15%|U| and the seventh current harmonic with an amplitude of 15%|I| were injected into the system at the grid-connection node. The adaptive adjustment of its impedance parameters was based on ensuring a phase margin greater than 30°using the source-load impedance ratio Nyquist stability criterion.
Figure A3a,d,g,j illustrate the voltage and current responses under traditional control. As shown in Figure A3b,e,h,k, after the series capacitors were switched in at t = 3 s and t = 4.5 s, sub-synchronous oscillations were triggered in both instances. The AVI adjusts the output impedance in response to grid strength variations, thereby restoring system stability. Figure A3 also displays the terminal voltage and grid-side current spectra at t = 5 s. The AVI and the proposed method shown in Figure A3c,f,i,l reduced the dominant 24 Hz oscillatory current component from 58.5% to 5.0% and 6.91%, respectively.
However, regarding the high-frequency harmonic components, the AVI, due to the introduction of a series of additional impedances, further weakened the equivalent grid strength, leading to a more severe terminal voltage harmonic distortion (THD = 5.40%). Simultaneously, a larger proportion of the seventh harmonic current generated by the harmonic current source was diverted to the grid side. In contrast, the proposed method demonstrated significant effectiveness in harmonic suppression. Due to the action of the IHS, the terminal voltage distortion was greatly reduced (THD = 0.78%), and the GFM converter was shaped into a harmonic current sink, effectively lowering the grid-side seventh harmonic current content.
Figure A3. Comparison between AVI and the proposed method in time domain. (a) Terminal voltage with traditional method; (b) terminal voltage with AVI; (c) terminal voltage with the proposed method; (d) terminal voltage spectra with traditional method; (e) terminal voltage spectra with AVI; (f) terminal voltage spectra with the proposed method; (g) grid-side current with traditional method; (h) grid-side current with AVI; (i) grid-side current with the proposed method; (j) grid-side current spectra with traditional method; (k) grid-side current spectra with AVI; (l) grid-side current spectra with the proposed method.
Figure A3. Comparison between AVI and the proposed method in time domain. (a) Terminal voltage with traditional method; (b) terminal voltage with AVI; (c) terminal voltage with the proposed method; (d) terminal voltage spectra with traditional method; (e) terminal voltage spectra with AVI; (f) terminal voltage spectra with the proposed method; (g) grid-side current with traditional method; (h) grid-side current with AVI; (i) grid-side current with the proposed method; (j) grid-side current spectra with traditional method; (k) grid-side current spectra with AVI; (l) grid-side current spectra with the proposed method.
Energies 19 00843 g0a3aEnergies 19 00843 g0a3b

Appendix B

The proposed method is implemented and validated using MATLAB/Simulink r2021b. A screenshot of the software interface is shown in Figure A4.
Figure A4. Screenshot of the software interface.
Figure A4. Screenshot of the software interface.
Energies 19 00843 g0a4

References

  1. Zhou, X.; Chen, S.; Lu, Z.; Huang, Y.; Ma, S.; Zhao, Q. Technology Features of the New Generation Power System in China. Proc. Chin. Soc. Electr. Eng. 2018, 38, 1893–1904. [Google Scholar]
  2. Chen, L.; Xu, S.; Sun, H.; Bi, J.; Song, R.; Yi, J.; Guo, Q. A Survey on Wide-Frequency Oscillation for Power Systems with High Penetration of Power Electronics. Proc. Chin. Soc. Electr. Eng. 2021, 41, 2297–2309. [Google Scholar]
  3. Liu, Z.; Li, D.; Wang, W.; Wang, J.; Gong, D. A Review of the Research on the Wide-Band Oscillation Analysis and Suppression of Renewable Energy Grid-Connected Systems. Energies 2024, 17, 1809. [Google Scholar] [CrossRef]
  4. Sun, H.; Li, W.; Ai, D.; Sun, H. Response Driven Broadband Oscillation Source Analysis and Localization System in “Double-High” Power System. Power Syst. Technol. 2025; in press. [Google Scholar]
  5. Qiu, L.; Gu, M.; Chen, Z.; Du, Z.; Zhang, L.; Li, W.; Huang, J.; Fang, J. Oscillation Suppression of Grid-Following Converters by Grid-Forming Converters with Adaptive Droop Control. Energies 2024, 17, 5230. [Google Scholar] [CrossRef]
  6. Han, F.; Zhang, X.; Li, M.; Li, F.; Zhao, W. Stability Control for Grid-Connected Inverters Based on Hybrid-Mode of Grid-Following and Grid-Forming. IEEE Trans. Ind. Electron. 2024, 71, 10750–10760. [Google Scholar] [CrossRef]
  7. Xu, H.; Yu, C.; Liu, C.; Wang, Q.; Zhang, X. An Improved Virtual Inertia Algorithm of Virtual Synchronous Generator. J. Mod. Power Syst. Clean Energy 2020, 8, 377–386. [Google Scholar] [CrossRef]
  8. Leon, A.E.; Mauricio, J.M. Virtual Synchronous Generator for VSC-HVDC Stations with DC Voltage Control. IEEE Trans. Power Syst. 2023, 38, 728–738. [Google Scholar] [CrossRef]
  9. Xie, Z.; Yang, S.; Dai, P.; Yang, S.; Zhang, X. Grid-Side Coupling Analysis and Suppression Strategy of Grid-Forming Full-Power Wind Turbines. Trans. China Electrotech. Soc. 2023, 38, 3745–3758, 3768. [Google Scholar]
  10. Zhou, X.; Cheng, S.; Wu, X.; Rao, X. Influence of Photovoltaic Power Plants Based on VSG Technology on Low Frequency Oscillation of Multi-Machine Power Systems. IEEE Trans. Power Deliv. 2022, 37, 5376–5384. [Google Scholar] [CrossRef]
  11. Xie, X.; Liu, W.; Liu, H.; Du, Y.; Li, Y. A System-Wide Protection Against Unstable SSCI in Series-Compensated Wind Power Systems. IEEE Trans. Power Deliv. 2018, 33, 3095–3104. [Google Scholar] [CrossRef]
  12. Wu, W.; Zhou, L.; Chen, Y.; Luo, A.; Dong, Y.; Zhou, X.; Xu, Q.; Yang, L.; Guerrero, J.M. Sequence-Impedance-Based Stability Comparison Between VSGs and Traditional Grid-Connected Inverters. IEEE Trans. Power Electron. 2019, 34, 46–52. [Google Scholar] [CrossRef]
  13. Li, Z.; Tang, X.; He, Y.; Liu, P.; Li, X. Admittance Reshaping Method of Converter for Suppressing Background Harmonic of Grid. Proc. Chin. Soc. Electr. Eng. 2024, 44, 704–714. [Google Scholar]
  14. Xu, J.; Cao, X.; Hao, Z.; Yang, Q. A Harmonic Current Suppression Method for Virtual Synchronous Rectifier Based on Feedforward of Grid Harmonic Voltage. Trans. China Electrotech. Soc. 2022, 37, 2018–2029. [Google Scholar]
  15. Zhu, Y. Development and Application of Power System Digital-Analog Hybrid Simulation Technology. Electric. Power Constr. 2015, 36, 42–47. [Google Scholar]
  16. Han, Y.; Sun, H.; Huang, B.; Qin, S. Discrete-Time Domain Modal Analysis of Oscillatory Stability of Renewables Integrated Power Systems. IEEE Trans. Power Deliv. 2022, 37, 4248–4260. [Google Scholar] [CrossRef]
  17. Li, Y.; Shuai, Z.; Fang, J.; Wu, X. Stability Improvement Method for Multi-Converter Distribution Systems Based on Impedance Sensitivity. CSEE J. Power Energy Syst. 2025, 11, 318–328. [Google Scholar]
  18. Cao, W.; Ma, Y.; Wang, F. Sequence-Impedance-Based Harmonic Stability Analysis and Controller Parameter Design of Three-Phase Inverter-Based Multibus AC Power Systems. IEEE Trans. Power Electron. 2017, 32, 7674–7693. [Google Scholar] [CrossRef]
  19. Man, J.; Xie, X.; Chen, L.; Yao, Q.; Li, P. Overview of Modeling Analysis and Mitigation Strategies of High-Frequency Resonance in MMC-HVDC Systems. Proc. Chin. Soc. Electr. Eng. 2022, 1, 3308–3321. [Google Scholar]
  20. Su, Y.; Li, B.; Li, S.; Yao, D.; Chu, Z. Research on High-Frequency Oscillation and Suppression Strategies of Flexible HVDC Transmission. Electr. Eng. 2021, 13, 44–47. [Google Scholar]
  21. Rodríguez-Cabero, A.; Roldán-Pérez, J.; Prodanovic, M. Virtual Impedance Design Considerations for Virtual Synchronous Machines in Weak Grids. IEEE J. Emerg. Sel. Top. Power Electron. 2020, 8, 1477–1489. [Google Scholar] [CrossRef]
  22. Roldan-Perez, J.; Rodriguez-Cabero, A.; Prodanovic, M. Harmonic Virtual Impedance Design for Parallel-Connected Grid-Tied Synchronverters. IEEE J. Emerg. Sel. Top. Power Electron. 2019, 7, 493–503. [Google Scholar] [CrossRef]
  23. Li, G.; Chen, Y.; Luo, A.; He, Z.; Wang, H.; Zhu, Z. Analysis and Mitigation of Subsynchronous Resonance in Series-Compensated Grid-Connected System Controlled by a Virtual Synchronous Generator. IEEE Trans. Power Electron. 2020, 35, 11096–11107. [Google Scholar] [CrossRef]
  24. Zhang, Q.; Liu, J.; Chen, B.; Du, X.; Zou, X. A Sub-Synchronous Oscillation Suppression Strategy for the Grid-Forming Converter Based on Grid-Connected Current Feedback. Trans. China Electrotech. Soc. 2025, 40, 2795–2806. [Google Scholar]
  25. Li, G.; Chen, Y.; Luo, A.; Wang, Y. An Inertia Phase-Locked Loop for Suppressing Sub-Synchronous Resonance of Renewable Energy Generation System Under Weak Grid. IEEE Trans. Power Syst. 2021, 36, 4621–4631. [Google Scholar] [CrossRef]
  26. Khajeh, K.G.; Farajizadeh, F.; Solatialkaran, D.; Zare, F.; Yaghoobi, J.; Mithulananthan, N. A Full-Feedforward Technique to Mitigate the Grid Distortion Effect on Parallel Grid-Tied Inverters. IEEE Trans. Power Electron. 2022, 37, 8404–8419. [Google Scholar] [CrossRef]
  27. Zhang, H.; Ruan, X.; Lin, Z.; Wu, L.; Ding, Y.; Guo, Y. Capacitor Voltage Full Feedback Scheme for LCL-Type Grid-Connected Inverter to Suppress Current Distortion Due to Grid Voltage Harmonics. IEEE Trans. Power Electron. 2021, 36, 2996–3006. [Google Scholar] [CrossRef]
  28. Yang, Q.; Liang, Y.; Wei, J.; Liu, Y.; Yuan, Z. Research on Harmonic Suppression Strategy of Grid-Connected Inverter Under Multi-Harmonic Sources. Trans. China Electrotech. Soc. 2023, 38, 2908–2920. [Google Scholar]
  29. Lai, Y.; Sun, Y.; Shan, P.; Ge, J.; Wang, T.; Li, Y. Active Mitigation Method for Harmonic Currents in Distorted Grid Based on a Grid-Forming Converter. Proc. Chin. Soc. Electr. Eng. 2025; in press. [Google Scholar]
  30. Wu, W.; Chen, Y.; Zhou, L.; Luo, A.; Zhou, X.; He, Z.; Yang, L.; Xie, Z.; Liu, J.; Zhang, M. Sequence Impedance Modeling and Stability Comparative Analysis of Voltage-Controlled VSGs and Current-Controlled VSGs. IEEE Trans. Ind. Electron. 2019, 66, 6460–6472. [Google Scholar] [CrossRef]
  31. Shi, K.; Wang, Y.; Sun, Y.; Xu, P.; Gao, F. Frequency-Coupled Impedance Modeling of Virtual Synchronous Generators. IEEE Trans. Power Syst. 2021, 36, 3692–3700. [Google Scholar] [CrossRef]
  32. Lv, S.; Sun, H.; Song, R.; Zheng, C.; Yang, D.; Dong, H. Frequency-domain Aggregation Modeling Method for Direct-drive Wind Farm Clusters Connected to Collection Station Oriented to Power Grid Equivalence. Autom. Electr. Power Syst. 2025, 49, 106–116. [Google Scholar]
  33. Yu, L.; Xu, S.; Sun, H.; Zhao, B.; Wu, G.; Zhou, X. Multiple Renewable Short-Circuit Ratio for Assessing Weak System Strength with Inverter-Based Resources. CSEE J. Power Energy Syst. 2024, 10, 2271–2282. [Google Scholar]
  34. Peng, L.; Zhao, J.; Tang, Y.; Mili, L.; Gu, Z.; Zheng, Z. Real-Time LCC-HVDC Maximum Emergency Power Capacity Estimation Based on Local PMUs. IEEE Trans. Power Syst. 2021, 36, 1049–1058. [Google Scholar] [CrossRef]
  35. Yu, L.; Sun, H.; Xu, S.; Peng, L.; Zhao, B.; Wang, H.; Zhou, X. Research on the Real-Time Measurement Method of the Strength of the Power System with High Penetration of Renewable Energies. Proc. Chin. Soc. Electr. Eng. 2025, 45, 1741–1751. [Google Scholar]
  36. Liu, H.; Xie, X.; Gao, X.; Liu, H.; Li, Y. Stability Analysis of SSR in Multiple Wind Farms Connected to Series-Compensated Systems Using Impedance Network Model. IEEE Trans. Power Syst. 2018, 33, 3118–3128. [Google Scholar] [CrossRef]
Figure 1. Control block diagram of the GFM converter.
Figure 1. Control block diagram of the GFM converter.
Energies 19 00843 g001
Figure 2. Impedance scanning. (a) Impedance scanning circuit; (b) overall impedance measurement process.
Figure 2. Impedance scanning. (a) Impedance scanning circuit; (b) overall impedance measurement process.
Energies 19 00843 g002
Figure 3. Bode plot of ZGFM(s).
Figure 3. Bode plot of ZGFM(s).
Energies 19 00843 g003
Figure 4. Bode plot of GOuterLoop.
Figure 4. Bode plot of GOuterLoop.
Energies 19 00843 g004
Figure 5. Equivalent control block diagram for high-frequency impedance analysis.
Figure 5. Equivalent control block diagram for high-frequency impedance analysis.
Energies 19 00843 g005
Figure 6. Bode plot of the GFM converter output impedance.
Figure 6. Bode plot of the GFM converter output impedance.
Energies 19 00843 g006
Figure 7. Equivalent control block diagram for low-frequency band impedance analysis.
Figure 7. Equivalent control block diagram for low-frequency band impedance analysis.
Energies 19 00843 g007
Figure 8. Output impedance with the OLS. (a) Comparison with/without OLS; (b) comparison with different Kp and γ; (c) comparison with different Tw.
Figure 8. Output impedance with the OLS. (a) Comparison with/without OLS; (b) comparison with different Kp and γ; (c) comparison with different Tw.
Energies 19 00843 g008
Figure 9. Output impedance with the IHS. (a) Comparison with/without IHS; (b) comparison with different parameters.
Figure 9. Output impedance with the IHS. (a) Comparison with/without IHS; (b) comparison with different parameters.
Energies 19 00843 g009
Figure 10. Control bandwidth. (a) OLS operating frequency band; (b) IHS operating frequency band.
Figure 10. Control bandwidth. (a) OLS operating frequency band; (b) IHS operating frequency band.
Energies 19 00843 g010
Figure 11. Impedance sensitivity.
Figure 11. Impedance sensitivity.
Energies 19 00843 g011
Figure 12. Modeling methodology flowchart.
Figure 12. Modeling methodology flowchart.
Energies 19 00843 g012
Figure 13. Parameter stability region.
Figure 13. Parameter stability region.
Energies 19 00843 g013
Figure 14. Method workflow.
Figure 14. Method workflow.
Energies 19 00843 g014
Figure 15. Schematic of the single-converter circuit.
Figure 15. Schematic of the single-converter circuit.
Energies 19 00843 g015
Figure 16. Bode plots of frequency-domain impedance.
Figure 16. Bode plots of frequency-domain impedance.
Energies 19 00843 g016
Figure 17. Voltage and current time-domain waveform. (a) Terminal voltage without reshaping control; (b) terminal current without reshaping control; (c) grid-side voltage without reshaping control; (d) grid-side current without reshaping control; (e) terminal voltage with the proposed method; (f) terminal current with the proposed method; (g) grid-side voltage with the proposed method; (h) grid-side current with the proposed method; (i) terminal voltage with virtual impedance; (j) terminal current with virtual impedance; (k) grid-side voltage with virtual impedance; (l) grid-side current with virtual impedance.
Figure 17. Voltage and current time-domain waveform. (a) Terminal voltage without reshaping control; (b) terminal current without reshaping control; (c) grid-side voltage without reshaping control; (d) grid-side current without reshaping control; (e) terminal voltage with the proposed method; (f) terminal current with the proposed method; (g) grid-side voltage with the proposed method; (h) grid-side current with the proposed method; (i) terminal voltage with virtual impedance; (j) terminal current with virtual impedance; (k) grid-side voltage with virtual impedance; (l) grid-side current with virtual impedance.
Energies 19 00843 g017aEnergies 19 00843 g017b
Figure 18. Voltage and current spectra. (a) Terminal voltage without reshaping control; (b) terminal current without reshaping control; (c) grid-side voltage without reshaping control; (d) grid-side current without reshaping control; (e) terminal voltage with the proposed method; (f) terminal current with the proposed method; (g) grid-side voltage with the proposed method; (h) grid-side current with the proposed method; (i) terminal voltage with virtual impedance; (j) terminal current with virtual impedance; (k) grid-side voltage with virtual impedance; (l) grid-side current with virtual impedance.
Figure 18. Voltage and current spectra. (a) Terminal voltage without reshaping control; (b) terminal current without reshaping control; (c) grid-side voltage without reshaping control; (d) grid-side current without reshaping control; (e) terminal voltage with the proposed method; (f) terminal current with the proposed method; (g) grid-side voltage with the proposed method; (h) grid-side current with the proposed method; (i) terminal voltage with virtual impedance; (j) terminal current with virtual impedance; (k) grid-side voltage with virtual impedance; (l) grid-side current with virtual impedance.
Energies 19 00843 g018
Figure 19. Equivalent grid integration system of the wind farm.
Figure 19. Equivalent grid integration system of the wind farm.
Energies 19 00843 g019
Figure 20. System state changes. (a) Wind farm output power; (b) RSCR.
Figure 20. System state changes. (a) Wind farm output power; (b) RSCR.
Energies 19 00843 g020
Figure 21. Parameter gain-scheduling.
Figure 21. Parameter gain-scheduling.
Energies 19 00843 g021
Figure 22. Voltage and current time-domain waveform. (a) PCC voltage with fixed reshaping parameters; (b) grid-side current with fixed reshaping parameters; (c) PCC voltage with the proposed method; (d) grid-side current with the proposed method.
Figure 22. Voltage and current time-domain waveform. (a) PCC voltage with fixed reshaping parameters; (b) grid-side current with fixed reshaping parameters; (c) PCC voltage with the proposed method; (d) grid-side current with the proposed method.
Energies 19 00843 g022
Figure 23. Voltage and current spectra. (a) PCC voltage with fixed reshaping parameters; (b) grid-side current with fixed reshaping parameters; (c) PCC voltage with the proposed method; (d) grid-side current with the proposed method.
Figure 23. Voltage and current spectra. (a) PCC voltage with fixed reshaping parameters; (b) grid-side current with fixed reshaping parameters; (c) PCC voltage with the proposed method; (d) grid-side current with the proposed method.
Energies 19 00843 g023
Figure 24. Terminal voltage, active power, and reactive power. (a) Frequency step change; (b) voltage step change.
Figure 24. Terminal voltage, active power, and reactive power. (a) Frequency step change; (b) voltage step change.
Energies 19 00843 g024
Figure 25. Test platform.
Figure 25. Test platform.
Energies 19 00843 g025
Figure 26. Test Condition 1: Traditional control. (a) Terminal voltage; (b) grid-side current; (c) terminal voltage spectra; (d) grid-side current spectra.
Figure 26. Test Condition 1: Traditional control. (a) Terminal voltage; (b) grid-side current; (c) terminal voltage spectra; (d) grid-side current spectra.
Energies 19 00843 g026
Figure 27. Test Condition 1: Proposed method. (a) Terminal voltage; (b) grid-side current; (c) terminal voltage spectra; (d) grid-side current spectra.
Figure 27. Test Condition 1: Proposed method. (a) Terminal voltage; (b) grid-side current; (c) terminal voltage spectra; (d) grid-side current spectra.
Energies 19 00843 g027
Figure 28. Test Condition 2: Traditional control. (a) Terminal voltage; (b) grid-side current; (c) terminal voltage spectra; (d) grid-side current spectra.
Figure 28. Test Condition 2: Traditional control. (a) Terminal voltage; (b) grid-side current; (c) terminal voltage spectra; (d) grid-side current spectra.
Energies 19 00843 g028aEnergies 19 00843 g028b
Figure 29. Test Condition 2: Proposed method. (a) Terminal voltage; (b) grid-side current; (c) terminal voltage spectra; (d) grid-side current spectra.
Figure 29. Test Condition 2: Proposed method. (a) Terminal voltage; (b) grid-side current; (c) terminal voltage spectra; (d) grid-side current spectra.
Energies 19 00843 g029
Table 1. Influence of control loops on output impedance.
Table 1. Influence of control loops on output impedance.
Control LoopDominant Frequency BandInfluence on Impedance CharacteristicsPotential Stability Issues
Outer loopLow-frequency band (sub/super-synchronous frequency band)Determines low-frequency gain and phase margin; negative damping.Sub-synchronous oscillation with synchronous machines or series-compensated lines.
Inner loopMedium-to-high-frequency bandDetermines high-frequency gain and phase margin; fixed phase lag, high-impedance amplitude.High-frequency resonance with LC filters or grid components.
Table 2. Impedance sensitivity average by frequency band.
Table 2. Impedance sensitivity average by frequency band.
TjKDpDqKpiKiiKPKI
<69.8 Hz0.04150.27450.45340.17380.02940.03520.03960.0178
>128.3 Hz0.00840.03670.00710.00181.62400.09570.00282.1290
Table 3. Method comparison.
Table 3. Method comparison.
MethodEffective Frequency BandParameter Tuning ComplexityController Structure ComplexityParameter AdaptationAdditional SamplingOperating Point DeviationSystem-level Validation
Virtual Impedance [21,23]Sub-synchronousMediumLowFixedNonePossibleAbsent
Current Feedback [24]Sub-synchronousHighMediumFixedNonePossibleAbsent
Inertia PLL [25]Sub-synchronousMediumLowFixedNoneNoneAbsent
Full-Feedforward [26,27]Medium-to-highHighMediumFixedRequiredNonePresent [26]
Multi-loop Harmonic Resonant Control [22,28,29]Medium-to-highHighHighFixedRequired [28]NoneAbsent
Proposed MethodSub-synchronous & medium-to-highMediumLowAdaptiveNoneNonePresent
Table 4. GFM converter parameters.
Table 4. GFM converter parameters.
ParameterValueParameterValue
Sn6 kWKp10
Uabc380 VKI280
Vdc700 VHi(s)6 + 1100/s
Tj6.28 sLf2 mH
Dp10Cf20 μF
Dq200Rl0.3 Ω
K6Rc1 Ω
Disclaimer/Publisher’s Note: The statements, opinions and data contained in all publications are solely those of the individual author(s) and contributor(s) and not of MDPI and/or the editor(s). MDPI and/or the editor(s) disclaim responsibility for any injury to people or property resulting from any ideas, methods, instructions or products referred to in the content.

Share and Cite

MDPI and ACS Style

Sun, H.; Li, W.; Sun, H.; Ai, D.; Wang, H.; Du, Y.; Yu, L. Broadband Stability Enhancement Method for Grid-Forming Converters Based on Frequency-Segmented Impedance Reshaping. Energies 2026, 19, 843. https://doi.org/10.3390/en19030843

AMA Style

Sun H, Li W, Sun H, Ai D, Wang H, Du Y, Yu L. Broadband Stability Enhancement Method for Grid-Forming Converters Based on Frequency-Segmented Impedance Reshaping. Energies. 2026; 19(3):843. https://doi.org/10.3390/en19030843

Chicago/Turabian Style

Sun, Hangyu, Wenfeng Li, Huadong Sun, Dongping Ai, Hui Wang, Yi Du, and Lin Yu. 2026. "Broadband Stability Enhancement Method for Grid-Forming Converters Based on Frequency-Segmented Impedance Reshaping" Energies 19, no. 3: 843. https://doi.org/10.3390/en19030843

APA Style

Sun, H., Li, W., Sun, H., Ai, D., Wang, H., Du, Y., & Yu, L. (2026). Broadband Stability Enhancement Method for Grid-Forming Converters Based on Frequency-Segmented Impedance Reshaping. Energies, 19(3), 843. https://doi.org/10.3390/en19030843

Note that from the first issue of 2016, this journal uses article numbers instead of page numbers. See further details here.

Article Metrics

Back to TopTop