Next Article in Journal
Influence of Inherent Circuit Parameters of MVDC Grid Components During Short-Circuit Faults in Ship Power Systems
Previous Article in Journal
Combining State-Based Clustering and Dynamic Time Warping for the Analysis of Photovoltaic–Building Energy Interactions
 
 
Font Type:
Arial Georgia Verdana
Font Size:
Aa Aa Aa
Line Spacing:
Column Width:
Background:
Article

A Numerical Investigation of Fault Slip Induced by Injection–Production Operations in Oilfields

1
China National Petroleum Corporation Daqing Oilfield Exploration and Development Research Institute, Daqing 163453, China
2
China National Petroleum Corporation Daqing Oilfield Company Limited Seventh Oil Production Plant, Daqing 163453, China
3
China National Petroleum Corporation Daqing Oilfield Company Limited Second Oil Production Plant, Daqing 163453, China
4
China National Petroleum Corporation Daqing Oilfield Company Limited Fourth Oil Production Plant, Daqing 163453, China
5
Department of Science and Technology Management China National Petroleum Corporation, Beijing 100007, China
6
State Key Laboratory of Intelligent Deep Metal Mining and Equipment, Northeastern University, Shenyang 110819, China
*
Author to whom correspondence should be addressed.
Energies 2026, 19(3), 840; https://doi.org/10.3390/en19030840
Submission received: 21 December 2025 / Revised: 29 January 2026 / Accepted: 2 February 2026 / Published: 5 February 2026

Abstract

During oilfield injection and production operations, fluid injection and withdrawal can significantly alter the stress state around faults, potentially triggering fault reactivation and even seismic events, which has become a focal issue in both industry and academia. In this study, based on fluid–solid coupling theory and the rate-and-state friction constitutive model, a mechanical framework was developed to evaluate fault shear slip behavior induced by injection–production activities. Numerical simulations were conducted using COMSOL Multiphysics to systematically investigate the effects of injection–production rate, operational schemes, well placement, reservoir permeability, and fault dip angle on fault stability. The results indicate that higher injection–production rates, non-steady operational schemes, injection wells located closer to faults, production wells farther from faults, lower fault core permeability, and larger fault dip angles can significantly enhance fluid pressure buildup and effective stress variations within the fault core zone. These processes lead to pronounced increases in Coulomb Failure Stress (CFS) and reductions in critical stiffness, thereby elevating the risk of fault instability and slip. Overall, the findings suggest that optimizing injection–production parameters and well placement can effectively mitigate the likelihood of fault reactivation. This study provides theoretical insights into the mechanisms of injection–production-induced fault slip and offers valuable references for safe oilfield operations and seismic risk assessment.

1. Introduction

The large-scale development of unconventional oil and gas resources heavily relies on engineering techniques such as hydraulic fracturing and enhanced oil recovery, in which massive fluid injection and production have become routine operations. However, these intensive human interventions substantially alter the pore pressure field and geostress conditions within subsurface reservoirs, thereby disturbing the mechanical equilibrium of adjacent geological faults. This disturbance may induce shear slip along faults and, in some cases, trigger felt seismic events [1,2,3]. In recent years, numerous seismic activities associated with injection–production operations have been reported worldwide. Such events not only pose potential threats to production facilities but also raise serious public concerns regarding environmental and safety risks, making injection-induced seismicity a critical frontier problem in both geoscience and engineering [4,5].
The essence of fault reactivation is a complex fluid–solid coupling process, where the key mechanism lies in the interaction between fluid pressure diffusion and rock stress response. According to the effective stress principle, an increase in pore pressure due to fluid injection reduces the normal stress acting on the fault plane, thereby weakening its frictional resistance. Fault slip occurs once the Coulomb Failure Stress (CFS) exceeds the shear strength of the fault [6,7,8]. To capture this process, poroelastic theory has been widely employed to simulate pressure propagation and solid deformation during injection–production operations [9,10]. However, conventional approaches that rely on static friction coefficients or stability criteria often fail to comprehensively describe the time-dependent complexities of fault slip, such as the transition between aseismic slip and seismic rupture [11,12]. To address this, dynamic models incorporating the rate-and-state friction (RSF) law have emerged as essential tools for understanding fault slip stability. By introducing state variables and critical stiffness criteria, these models provide a more physically grounded framework to identify the critical conditions under which stable sliding evolves into instability [13].
Despite notable progress, several challenges remain in developing a comprehensive model that couples reservoir fluid flow, rock deformation, and fault frictional dynamics. First, most existing models lack systematic sensitivity analyses that integrate injection–production engineering parameters (e.g., flow rate, operational scheme, well placement) with fault-specific geological attributes (e.g., permeability, dip angle). Second, risk assessments of fault instability often rely solely on CFS, without jointly considering dynamic stability indicators such as critical stiffness. This limitation hampers the ability to accurately distinguish between aseismic and seismic slip modes [14,15].
To address these gaps, this study develops an integrated numerical model that couples fluid–solid interaction with rate-and-state friction laws, with the aim of exploring the dynamic processes of injection-induced fault shear slip. Multi-physics finite element simulations are performed using COMSOL Multiphysics (Version 5.4), focusing on the combined effects of injection–production rate, operational scheme, well placement, reservoir permeability, and fault dip angle on the evolution of fluid pressure, effective stress, shear stress, CFS, and critical stiffness within the fault core. Through systematic parameter investigations, this study seeks to identify the primary factors governing fault slip behavior and stability, thereby providing more reliable theoretical foundations and quantitative tools for seismic risk assessment and the optimization of oilfield operations.

2. Fluid–Solid Coupling Model for Injection-Induced Fault Shear Slip

A mathematical model was established to describe the coupled processes of solid deformation and fluid diffusion during hydraulic fracturing operations. In this model, both the reservoir and the fault are treated as poroelastic media [16].

2.1. Poroelastic Fluid–Solid Coupling Model

The constitutive relation governing reservoir and fault deformation is expressed as follows [9,17]:
G m u i , k k + G m 1 2 ν u k , k i = f i + α m p m
where u denotes displacement, α m is the Biot coefficient, p m is fluid pressure, and G m is the shear modulus. The subscript mindicates whether the medium is the reservoir or fault. Indices i and k denote directional components, k k follows the Einstein summation convention, and commas denote derivatives. The right-hand side term represents body forces per unit volume generated by fluid injection.
The fluid velocity and mass conservation within the reservoir and fault damage zone are given by:
ρ m S ( p m ) t + ρ m α ( ε v ) t = · ( ρ m k m μ v ( p m ρ m g ) )
S = ϕ m χ f + ( 1 ϕ m ) χ p
where ρ m is fluid density, S is storage coefficient, ϕ m is porosity, χ f is fluid compressibility, and χ p is matrix compressibility (taken as 4.0 × 10 4   Pa 1 and 1.0 × 10 10   Pa 1 , respectively). α is the Biot coefficient, ε v is volumetric strain, μ v is fluid viscosity, k m is permeability, and g is gravitational acceleration.

2.2. Coulomb Failure Stress Criterion

The normal stress σ and shear stress τ acting on a fault plane are defined in terms of the Cauchy stress tensor σ i j [18]. The traction vector on a plane with unit normal n is:
σ = T n · n = i   n i ,   i =   σ i j n j
Thus,
σ = σ i j n i n j or   σ = x   n x + y   n y + z   n z
The shear stress component is:
τ = ( T n ) 2 ( σ n ) 2
where
( T ) 2 n = T n · T n = T n i T n i = ( σ i j n j ) ( σ i k n k )   or   ( T ) 2 n = σ i j σ i k n j n k
Coulomb Failure Stress (CFS) is used to evaluate the likelihood of fault reactivation. For cohesionless faults, CFS variation is defined as follows:
C F S = τ μ f ( σ p )
where μ f is the static friction coefficient, Δ σ and Δ p represent changes in normal stress and pore pressure, respectively, according to the Mohr–Coulomb and Terzaghi effective stress principles [19]. Compression is assumed positive, tension negative. Any natural or anthropogenic perturbations that modify shear stress, normal stress, or pore pressure may trigger slip on critically stressed faults [20,21,22,23]. While CFS quantifies fault stability, it does not distinguish between aseismic slip and seismic rupture.

2.3. Modified Critical Stiffness

2.3.1. Rate-and-State Friction Law

When fluid is injected into a faulted reservoir, elevated pore pressure alters effective stresses in both reservoir and surrounding rock (Figure 1). Here, a single-degree-of-freedom spring–slider model is adopted to simulate fault slip under evolving effective stress [24].
The fault frictional strength is given by the Mohr–Coulomb criterion [25]:
τ f = μ v , θ ( σ p ) + τ c
where τ c is cohesive strength (assumed zero), σ p is effective normal stress, and μ v , θ is the velocity- and state-dependent friction coefficient.
The stress balance of the spring–slider system is expressed as follows [26,27,28]:
τ f κ s U = 0
U ˙ = v 0 v
where U is displacement, κ s is shear stiffness, v 0 is loading velocity, and v is slip velocity.
The rate-and-state friction coefficient is defined as follows [29]:
μ v , θ = μ * + a ln v v * + θ
where a is a velocity dependence parameter, μ * is a reference coefficient, v * is reference velocity, and θ is the state variable.
The state variable evolves according to the Linker–Dieterich law [30]:
θ ˙ = v d c ( θ + b ln v v * ) α ( σ p ) ˙ ( σ p )
where d c is characteristic slip distance, b is a constitutive parameter, and α is an experimentally defined coefficient.

2.3.2. Linear Stability Analysis

To quantify effective stress evolution under quasi-steady slip, linear stability analysis is applied. Linearizing Equations (12) and (13) around steady state and combining with Equation (10) yields
σ θ * + α v * ( σ p ) v 0 = κ s U *
Differentiation gives
v * ˙ = v 0 a ( σ n p ) α σ ˙ p ˙ v 0 + b ( σ p ) d c κ s v * + v 0 a ( σ p ) [ v 0 ( σ p ) d c ] θ *
θ * ˙ = α σ ˙ p ˙ v 0 σ p b d c v * v 0 d c θ *
Solutions take the form τ * = R e A 1 e λ t and θ * = R e [ A 2 e λ t ] , where λ is growth rate and A 1 ,   A 2 are constants. Substituting into Equation (15) yields the characteristic equation:
λ 2 + v 0 d c v 0 a σ p α σ ˙ p ˙ v 0 + b σ p d c κ s λ v 0 a σ p k s v 0 d c = 0
The system is stable if the real parts of all roots λ i are negative; otherwise, instability occurs. The critical stiffness criterion is
K c r i t = b a σ p d c
When the loading system shear stiffness exceeds this critical value, the fault may undergo seismic slip; otherwise, the system remains stable or only aseismic slip is induced.

3. Numerical Model Construction

3.1. Geological Model

To investigate the disturbance effects of water injection on faults near wellbores during hydraulic fracturing, a two-dimensional numerical model was developed based on the geological and engineering background of the practical Oilfield. The reservoir medium consists of homogeneous sandstone, with no discernible bedding planes or fracture systems observed within the rock. Macro-scale observations reveal it to be a structurally uniform geological body. The model incorporates injection wells, production wells, caprock, basement, reservoir, and faults as the primary research elements.
The model is constructed with the vertical axis (y-axis) pointing downward and the horizontal axis (x-axis) oriented perpendicular to the fault strike, thereby including the injection–production well system within the cross section. The total model dimensions are 2000 m in length and 900 m in height, consisting of caprock (400 m), reservoir (100 m), and basement (400 m) from top to bottom. The reservoir, located in the middle of the model, is further divided into two sublayers, each 50 m thick. Along the fault edge, a mesh distribution is adopted to ensure that at least two elements represent the width of the fault core, and ten elements represent the damage zone (in the y-direction). In the x-direction, 32 elements are used, while in the z-direction, 90 elements are arranged.
Both production and injection wells are represented as vertical wells located at the reservoir interface: the production well is positioned 550 m from the left boundary of the model, while the injection well is 850 m from the left boundary. The fault has a total length of approximately 583 m and a thickness of ~3 m, with its center located about 101.5 m horizontally from the injection well. The dip angle of the fault is 59°. Structurally, the fault consists of a left damage zone (1.2 m), a fault core (0.6 m), and a right damage zone (1.2 m). The detailed geometry of the model is illustrated in Figure 2.

3.2. Model Parameters and Boundary Conditions

The permeability of the fault damage zone is assumed to be the same as that of the reservoir, while the permeability of the fault core is set to 10 5 times that of the reservoir. The caprock and basement are treated as impermeable due to their extremely low permeability. This layered representation simplifies the upscaling process and grid construction within the numerical model.
The bottom boundary of the model is fixed, with horizontal stress σ x = 17  MPa and vertical stress σ y = 20 MPa. Fluid injection and production are implemented through vertical wells within the reservoir: the injection well operates at a constant injection rate of Q = 2   k g / s  for 150 days, while the production well extracts fluid at the same constant rate for 150 days. Both reservoir and fault boundaries are defined as no-flow boundaries. All material properties and parameters used in the model are summarized in Table 1.

4. Results and Discussion

To systematically evaluate the impact of injection–production operations on fault stability, this section employs the developed hydro-mechanical coupled model to simulate the shear slip behavior of injection-induced faults. The mechanical responses of the fault under various geological and engineering perturbations are analyzed. We investigate the effects of injection–production rate, operation scheme, injection well location, production well location, reservoir permeability, and fault dip angle. The evolution of pore pressure, effective stress, shear stress, Coulomb failure stress (CFS), and critical stiffness in the middle part of the fault core are examined. By comparing simulation results under different scenarios, the dominant factors controlling fault slip and instability risk are identified, providing theoretical and quantitative references for safe optimization of oilfield injection–production operations.

4.1. Injection–Production Rate

Figure 3 shows the temporal evolution of pore pressure in the fault core under different injection/production rates (0.25Q, 0.5Q, 0.75Q, Q). Two main stages are observed: a stable increase during operation and a gradual decline after shut-in. During injection–production, pore pressure increases continuously, with higher rates leading to faster growth and higher peak values. After injection ceases, pore fluids migrate toward low-pressure zones (e.g., production well vicinity, right reservoir, and damage zone), causing a gradual decline. Larger injection rates yield greater pressure drops, indicating stronger perturbations to the fault system. This is attributed to higher net fluid throughput, which enhances pressure gradients between the fault core and surrounding formations, promoting fluid cross-flow.
Figure 4 illustrates the relationship between the critical stiffness and fluid pressure under different injection–production rates (0.25Q, 0.5Q, 0.75Q, and Q). Overall, the critical stiffness of fault rock exhibits a linear decrease with increasing fluid pressure, indicating that a continuous rise in fluid pressure progressively weakens the critical stiffness of the fault. In addition, the magnitude of critical stiffness change varies across different injection-production rates, following the order 0.25Q > 0.5Q > 0.75Q > Q. Higher fluid injection volumes further reduce critical stiffness, causing faults to destabilize at lower fluid pressures and significantly elevating the risk of fault slip.
Figure 5 illustrates the corresponding evolution of effective stress, shear stress, and CFS. Effective stress (Figure 5a) exhibits three stages: rapid increase, slow decrease, and sharp decline. At higher rates, effective stress increases more significantly due to dominant compressive effects of injected fluids; subsequently, seepage effects reduce stress levels. Shear stress (Figure 5b) shows similar three-phase behavior: higher injection rates intensify compressive loading on the fault, rapidly increasing shear stress, while production counteracts this effect, particularly at high rates. CFS (Figure 5c) highlights fault stability: after a brief decrease, CFS rises sharply, with larger rates yielding faster growth and higher peaks, thus elevating instability risk. Notably, CFS continues to rise even after shut-in, further aggravating slip potential. Overall, reducing injection–production rates mitigates fault destabilization.

4.2. Injection–Production Schemes

Three operational schemes are examined: Scheme A (constant flow: continuous injection and production at 0.002 m3/s for 150 days); Scheme B (cyclic flow: 0.004 m3/s for 25 days, followed by 25-day shut-in, repeated three cycles); Scheme C (variable flow: rapid increase to 0.039 m3/s for 2 days, followed by 0.0015 m3/s for 148 days). Figure 6 shows cumulative injection volumes over time. Scheme A increases linearly; Scheme B shows cyclic increases with alternating high-rate and constant periods, resulting in higher pressure peaks than Scheme A; Scheme C initially grows fastest due to ultra-high flow, then slows as rates decrease, eventually converging with A and B at day 150.
As illustrated in Figure 6, the cumulative injection volume under Scheme A increases linearly with time, with the slope representing the injection rate. In Scheme B, the cumulative volume also grows linearly but exhibits a stepped pattern due to the alternating injection and shut-in periods. The short-term high injection rate in this scheme results in peak pressures significantly higher than those in Scheme A. Scheme C can be divided into two stages: an initial ultra-high rate that drives a rapid pressure rise, followed by a reduced flow rate that markedly slows the pressure increase.
During the early stage of operations, Scheme C shows the fastest growth in cumulative injection volume compared with Schemes A and B, and the difference between them widens over time. Once the injection rate in Scheme C decreases to below that of Schemes A and B, its cumulative volume enters a slow-growth phase. In this phase, the growth rate of Scheme C is lower, and the gap in cumulative volume gradually narrows until all three schemes converge at day 150. By contrast, in Scheme B, the cumulative volume surpasses Scheme A during the injection phases but lags behind during the shut-in phases, resulting in alternating dominance between the two schedules.
The temporal evolution of pore pressure in the middle part of the fault core under the three schedules is shown in Figure 7. The results demonstrate that fluid pressure responses are strongly dependent on the scheduling strategy.
For Scheme A (constant rate), pore pressure evolution can be divided into two stages: a rapid growth stage and a stable growth stage. In the early period (0–10 days), the influence of the injection well dominates due to its proximity to the fault, leading to a sharp pressure increase. Subsequently, the effect of the production well emerges, reducing the growth rate and eventually balancing the injection–production effects, resulting in stable pressure growth.
For Scheme B (periodic rate), the pressure evolution exhibits three cycles of fluctuations, each comprising a rapid rise and a rapid decline. Pressure increases during active injection phases and decreases during shut-in phases, as fluids diffuse from the fault core to nearby low-pressure zones (e.g., the production well, the reservoir on the fault’s right side, and the damage zones). Compared with Scheme A, Scheme B shows steeper rises due to its higher instantaneous injection rate, and its peak pressure is also greater because the same fluid volume is injected within a shorter time span.
For Scheme C (variable rate), the pressure curve also shows two stages: rapid growth and stable growth. In the early stage (0–10 days), the significantly higher flow rate produces a sharp increase in pressure. In the subsequent stage, the lower flow rate slows down the pressure growth, resulting in a gentler slope than that of Scheme A.
The evolution of critical stiffness under different schedules is presented in Figure 8. In Scheme C, the initially high rate causes a sharp drop in critical stiffness, indicating the lowest stability. Scheme B shows a distinct periodic fluctuation, with stiffness decreasing noticeably in each injection cycle, reflecting significant cyclic disturbance. In contrast, Scheme A exhibits relatively stable behavior throughout. These results indicate that Schemes B and C are more likely to induce fault instability, particularly during the middle and late stages of operation.

4.3. Injection Well Locations

This study further examines the effect of varying the distance between the injection well and the fault center (100 m, 110 m, 120 m, 130 m, 140 m, and 150 m) on the temporal evolution of fluid pressure in the middle part of the fault core. As shown in Figure 9, the pressure response can generally be divided into three stages: a rapid increase stage, a rapid decline stage, and a slow decline stage.
During the rapid increase stage, the closer the injection well is to the fault center, the higher the rate of pressure buildup and the greater the peak pressure at the end of injection. This is mainly because a shorter well–fault distance corresponds to a longer separation between the injection and production wells, which allows more injected fluid to enter the fault core and intensifies pressure accumulation in this zone.
During the rapid decline stage, the pressure in the fault core decreases more quickly when the injection well is located closer to the fault. As shown in Figure 9, the nearer the injection well is to the fault, the larger the magnitude of pressure drop after injection ceases, indicating a stronger disturbance effect. The mechanism is that near-fault injection introduces more fluid into the fault core, thereby creating a greater pressure contrast between the core and adjacent low-pressure regions (e.g., around the production well or in the reservoir and damage zones). Once injection stops, the pressure gradient drives fluid migration outward from the fault core, triggering more intense pressure release and perturbation responses.
The corresponding temporal variations of effective stress, shear stress, and Coulomb failure stress (CFS) in the fault core under different injection well locations are shown in Figure 10. For effective stress (Figure 10a), the curves under different injection well distances exhibit a consistent three-stage pattern: rapid growth, slow decline, and rapid decline. In the rapid growth stage, a shorter distance results in a faster increase in effective stress. This is because injected fluid has not yet fully penetrated the fault core during this stage, and the compressive effect of high-pressure fluid dominates. The closer the injection well, the greater the normal stress increment, leading to a rapid rise in effective stress.
For shear stress (Figure 10b), a similar three-stage evolution is observed. In the rapid growth stage, a smaller well–fault distance corresponds to a faster increase in shear stress, as near-fault injection enhances compressive effects in the fault core and accelerates shear stress accumulation.
For Coulomb failure stress (CFS) (Figure 10c), CFS initially decreases slightly but then rises rapidly, shifting from negative to positive values. This indicates a sharp reduction in fault stability, which may eventually result in instability and slip. At the end of the slow-decline stage, CFS exhibits a pronounced increase, with greater magnitudes for wells located closer to the fault, reflecting a stronger perturbation effect.
Taken together, the comparative analysis of effective stress, shear stress, and CFS under different injection well distances demonstrates that increasing the separation between the injection well and the fault can significantly reduce both the early- and late-stage disturbance intensity within the fault core region.
The temporal evolution of critical stiffness under different injection well distances is shown in Figure 11. When the injection–production schedule is kept constant, the closer the injection well is to the fault center, the faster the decrease in critical stiffness and the lower its minimum value. This finding suggests that, under otherwise identical conditions, placing the injection well nearer to the fault center amplifies the destabilizing influence of injection–production operations on the fault core.

4.4. Production Well Location

The effect of varying the distance between the production well and the fault center (350 m, 360 m, 370 m, 380 m, 390 m, and 400 m) on the temporal evolution of fluid pressure in the middle part of the fault core was investigated. As shown in Figure 12, the pressure response under different production well locations can generally be divided into three stages: a rapid increase stage, a rapid decline stage, and a slow decline stage.
During the rapid increase stage, the closer the production well is to the fault center, the slower the pressure buildup in the fault core and the lower the peak pressure at the end of injection. This is because continuous fluid extraction reduces the pressure in the vicinity of the production well. When the production well is located nearer to the fault, its shorter distance from the injection well facilitates fluid migration toward the low-pressure region around the production well, thereby reducing the amount of fluid entering the fault core and suppressing the pressure rise.
During the rapid decline stage, pressure in the fault core decreases more quickly when the production well is closer to the fault. After injection–production ceases, fluid accumulated in the fault core tends to diffuse toward surrounding low-pressure regions, and a closer production well provides a more effective pressure release pathway, leading to a faster decline.
As also shown in Figure 12, when the production well is located farther from the fault, the magnitude of post-injection pressure drop in the fault core becomes larger, resulting in a more significant perturbation. This is because, at greater distances, more injected fluid accumulates in the fault core during operations, creating a larger pressure contrast with adjacent low-pressure regions. After operations stop, the stronger pressure gradient drives fluid outflow from the fault core, producing more intense pressure release and disturbance effects.
The corresponding temporal evolutions of effective stress, shear stress, and Coulomb failure stress (CFS) in the middle fault core under different production well distances are shown in Figure 13.
For effective stress (Figure 13a), all curves follow a three-stage pattern of rapid increase, slow decline, and rapid decline. When the production well is closer to the fault, effective stress increases more slowly. This is because nearby fluid extraction diverts more injected fluid toward the low-pressure zone around the production well, reducing the compressive effect on the fault core and delaying the buildup of normal and effective stress.
For shear stress (Figure 13b), a similar three-stage trend is observed. The closer the production well is to the fault, the slower the shear stress increases. This results from the reduction in compressive loading exerted by the injection well, caused by fluid diversion toward the nearby production well.
For CFS (Figure 13c), the closer the production well, the slower the increase in CFS, and the reduction in fault stability occurs more gradually. At the end of the slow-decline stage, however, CFS increases rapidly, and this increase is more pronounced for larger well–fault distances, indicating stronger perturbation effects. Overall, reducing the distance between the production well and the fault can effectively mitigate early- and late-stage disturbance intensities in the fault core.
The temporal evolution of critical stiffness in the middle fault core under different production well locations is shown in Figure 14. With injection–production schedules kept constant, the farther the production well is from the fault center, the faster the decrease in critical stiffness and the lower its minimum value. This indicates that, under otherwise identical conditions, a greater production well–fault distance enhances the destabilizing influence of injection–production operations on the fault core.

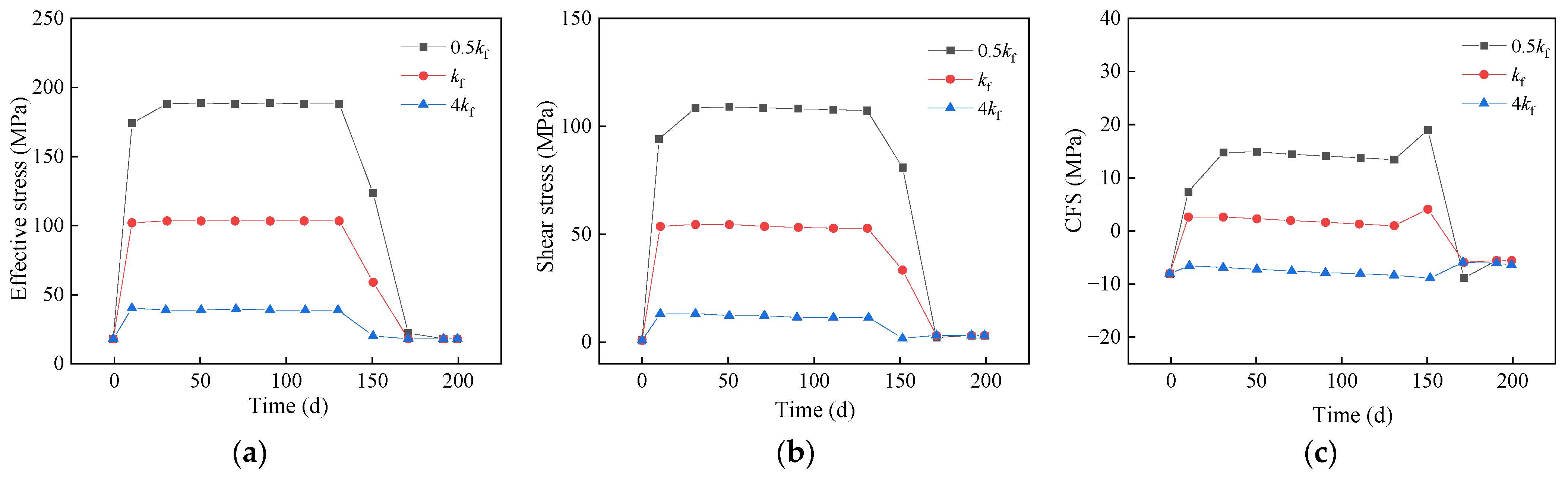
4.5. Permeability

The effects of different permeability conditions ( 0.5 κ f , κ f , 4 κ f ) on the temporal evolution of fluid pressure, effective stress, shear stress, Coulomb failure stress (CFS), and critical stiffness in the middle part of the fault core were systematically analyzed.
As shown in Figure 15, fluid pressure evolution can be divided into three stages: rapid increase, stable increase, and slow decline. Lower permeability leads to faster pressure buildup and higher peak values. This is because low permeability hinders fluid migration, causing more fluid to accumulate within the fault core and sustaining rapid pressure growth. After injection–production ceases, pressure in high-permeability regions declines more slowly due to smaller pressure gradients and reduced outflow, resulting in weaker disturbance.
For effective stress (Figure 16a), lower permeability conditions result in faster growth and delayed stage transitions, indicating that fluid penetration into the fault core is more difficult and injection-induced compression on the fault is stronger. During the rapid decline stage, effective stress decreases more sharply under lower permeability, with more delayed responses.
Shear stress (Figure 16b) shows a similar three-stage evolution. Lower permeability leads to faster shear stress buildup and more abrupt release, reflecting stronger stress accumulation and release behavior.
For CFS (Figure 16c), the response can also be divided into three stages. Under lower permeability, CFS increases more rapidly and to a greater magnitude, leading to more pronounced fault destabilization and stronger disturbance effects. Moreover, the duration of each stage is longer under low-permeability conditions, indicating that the system requires more time to reach equilibrium.
The evolution of critical stiffness under different permeability conditions is shown in Figure 17. With decreasing permeability, critical stiffness drops more rapidly and reaches lower minimum values, although with a delayed response. This indicates that low-permeability fault cores are more significantly affected during injection–production operations, but their mechanical responses take longer to manifest.

4.6. Fault Dip Angle

The effects of different fault dip angles (45°, 51°, 58°, and 68°) on the evolution of fluid pressure, effective stress, shear stress, Coulomb failure stress (CFS), and critical stiffness in the middle part of the fault core during injection–production operations were investigated.
As shown in Figure 18, fluid pressure evolution can be divided into two stages: stable increase and slow decline. Shallower dips result in faster pressure buildup and higher peak values, indicating that low-angle faults experience stronger fluid compression during injection. During the decline stage, smaller dip angles are associated with faster pressure decrease, reflecting that more fluid is stored in the fault core of shallow-dipping faults and subsequently released after injection ceases.
The variation of effective stress (Figure 19a) can be divided into three stages: rapid increase, stable maintenance, and rapid decrease. Larger dip angles lead to faster increases and decreases in effective stress, suggesting that steep-dipping faults undergo stronger stress responses during injection and more significant fluid discharge after shut-in.
Shear stress (Figure 19b) exhibits a similar three-stage evolution. Larger dip angles lead to faster shear stress buildup, reflecting stronger compression effects. In contrast, during the slow-decline stage, smaller dip angles show more rapid shear stress reduction, indicating that production wells exert a stronger influence on the fault core of shallow-dipping faults.
CFS evolution also follows three stages: rapid increase, slow decrease, and rapid decrease (Figure 19c). For smaller dip angles, the increase in CFS is slower, and fault stability decreases at a more gradual pace.
The evolution of critical stiffness under different dip angles is shown in Figure 20. With increasing dip angle, critical stiffness declines more rapidly and reaches lower minimum values, indicating that steep-dipping faults respond more strongly to injection–production disturbances. However, their mechanical response exhibits a certain degree of delay. Overall, the results demonstrate that the larger the fault dip angle, the stronger the perturbation and stability impact induced by injection–production operations.

5. Conclusions

This study constructed a coupled hydro-mechanical model of fault shear slip induced by fluid injection and production, and systematically simulated the mechanical responses of faults under different injection-production operations. The main conclusions are as follows:
Injection-production flow rate and schedule significantly affect fault stability. Higher flow rates lead to faster and greater increases in pore pressure, effective stress, and Coulomb failure stress (CFS) within the fault core, accompanied by a sharper decline in critical stiffness and an elevated risk of fault instability. Compared with constant-rate injection, both cyclic and early high-rate schemes—although delivering the same net injection-production volume—induce stronger stress fluctuations and transient disturbances, thereby increasing the likelihood of fault reactivation.
Well placement is a key factor in controlling the extent of disturbance. When the injection well is closer to the fault, or when the production well is positioned farther away, stress perturbations within the fault core become more pronounced. An optimized well layout (i.e., increasing the distance between the injection well and the fault, while placing the production well in closer proximity) can effectively mitigate stress accumulation and pore pressure diffusion in the fault core, thus substantially reducing the risk of fault reactivation.
Fault core permeability and fault dip angle are critical geological controls on response intensity and timing. Low-permeability fault cores enhance pore pressure buildup and delay stress responses, but eventually result in stronger effective stress drops and higher CFS, producing more persistent disturbances. Steeply dipping faults exhibit greater sensitivity to injection-production perturbations, characterized by faster stress variations and sharper critical stiffness reductions, indicating a higher potential for instability.
Multi-parameter evaluation offers a more comprehensive insight into fault stability. By integrating pore pressure, effective stress, shear stress, CFS, and critical stiffness, this study demonstrates that critical stiffness serves as a reliable indicator of the transition from stable sliding to unstable slip. The simulations confirm that when the system stiffness falls below the critical stiffness, seismic-type slip is prone to occur, in agreement with theoretical predictions.
This work provides quantitative theoretical support and practical references for assessing fault stability and seismic hazard risks in oilfield injection–production operations. Future research should incorporate three-dimensional fault geometries, heterogeneous stress fields, and the combined effects of multi-well cooperative injection and production to further refine the understanding of fault reactivation mechanisms.

Author Contributions

Conceptualization, X.Z. (Xianbao Zheng) and L.Z.; methodology, X.J.; software, T.Z. and Z.G.; validation, T.G., J.L. and L.Q.; formal analysis, X.Z. (Xianbao Zheng) and T.C.; data curation, X.J.; writing—original draft preparation, X.Z. (Xianbao Zheng) and T.C.; writing—review and editing, X.Z. (Xiaoyu Zhang); funding acquisition, T.C. All authors have read and agreed to the published version of the manuscript.

Funding

This work is funded by National Natural Science Foundation of China (Grant No. 52374084), the 111 Project (Grant No. B17009), the National Key R&D Programme (Grant No. 2024ZD1404900) and the Heilongjiang Provincial Natural Science Foundation Project (Grant No. TD2024E004).

Data Availability Statement

The original contributions presented in this study are included in the article. Further inquiries can be directed to the corresponding authors.

Conflicts of Interest

Author Tianyu Chen and Xiaoyu Zhang were employed by the China National Petroleum Corporation Daqing Oilfield Company. The remaining authors declare that the research was conducted in the absence of any commercial or financial relationships that could be construed as a potential conflict of interest.

References

  1. Bao, X.; Eaton, D.W. Fault activation by hydraulic fracturing inwestern Canada. Science 2016, 354, 1406–1409. [Google Scholar] [CrossRef] [PubMed]
  2. Dinske, C.; Shapiro, S.A. Seismotectonic state of reservoirs inferred from magnitude distributions of fluid-induced seismicity. J. Seismol. 2013, 17, 13–25. [Google Scholar] [CrossRef]
  3. Lee, K.-K.; Ellsworth, W.L.; Giardini, D.; Townend, J.; Ge, S.; Shimamoto, T.; Yeo, I.-W.; Kang, T.-S.; Rhie, J.; Sheen, D.-H.; et al. Managing injection-induced seismic risks. Science 2019, 364, 730–732. [Google Scholar] [CrossRef]
  4. Hui, G.; Chen, Z.; Wang, P.; Gu, F.; Kong, X.; Zhang, W. Mitigating risks from hydraulic fracturing-induced seismicity in unconventional reservoirs: Case study. Sci. Rep. 2022, 12, 12537. [Google Scholar] [CrossRef]
  5. Kohli, A.; Li, Y.; Kim, T.W.; Kovscek, A.R. Induced seismicity hazard assessment for a potential CO2 storage site in the southern san joaquin basin, ca. GeoHazards 2023, 4, 421–436. [Google Scholar] [CrossRef]
  6. Cappa, F.; Rutqvist, J. Modeling of coupled deformation and permeability evolution during fault reactivation induced by deep underground injection of CO2. Int. J. Greenh. Gas Control 2011, 5, 336–346. [Google Scholar] [CrossRef]
  7. Kettlety, T.; Verdon, J.P. Fault triggering mechanisms for hydraulic fracturing-induced seismicity from the Preston New Road, UK Case Study. Front. Earth Sci. 2021, 9, 670771. [Google Scholar] [CrossRef]
  8. Passelègue, F.X.; Brantut, N.; Mitchell, T.M. Fault reactivation by fluid injection: Controls from stress state and injection rate. Geophys. Res. Lett. 2018, 45, 12837–12846. [Google Scholar] [CrossRef]
  9. Wu, Y.; Liu, J.; Elsworth, D.; Chen, Z.; Connell, L.; Pan, Z. Dual poroelastic response of a coal seam to CO2 injection. Int. J. Greenh. Gas Control 2010, 4, 668–678. [Google Scholar] [CrossRef]
  10. Zhang, H.; Liu, J.; Elsworth, D. How sorption-induced matrix deformation affects gas flow in coal seams: A new FE model. Int. J. Rock Mech. Min. Sci. 2008, 45, 1226–1236. [Google Scholar] [CrossRef]
  11. Abdelmeguid, M.; Elbanna, A. Modeling sequences of earthquakes and aseismic slip (SEAS) in elasto-plastic fault zones with a hybrid finite element spectral boundary integral scheme. J. Geophys. Res. Solid Earth 2022, 127, e2022JB024548. [Google Scholar] [CrossRef]
  12. Thomas, M.Y.; Avouac, J.P.; Lapusta, N. Rate-and-state friction properties of the Longitudinal Valley Fault from kinematic and dynamic modeling of seismic and aseismic slip. J. Geophys. Res. Solid Earth 2017, 122, 3115–3137. [Google Scholar] [CrossRef]
  13. Sun, Z.; Chen, T.; Zhu, L.; Lu, J.; Zhang, S.; Pan, Z.; Cui, G. Analysis of the upper and lower boundaries of permeability evolution during shale rock shear deformation. Energy Fuels 2022, 36, 2007–2022. [Google Scholar] [CrossRef]
  14. Elsworth, D.; Li, Z.; Yu, P.; An, M.; Zhang, F.; Huang, R.; Sun, Z.; Cui, G.; Chen, T.; Gan, Q.; et al. Constraints on triggered seismicity and its control on permeability evolution. J. Rock Mech. Geotech. Eng. 2025, 17, 20–30. [Google Scholar] [CrossRef]
  15. Sun, Z.; Elsworth, D.; Cui, G.; Li, Y.; Zhu, A.; Chen, T. Impacts of rate of change in effective stress and inertial effects on fault slip behavior: New insights into injection-induced earthquakes. J. Geophys. Res. Solid Earth 2024, 129, e2023JB027126. [Google Scholar] [CrossRef]
  16. Biot, M.A. General theory of three-dimensional consolidation. J. Appl. Phys. 1941, 12, 155–164. [Google Scholar] [CrossRef]
  17. Detournay, E.; Cheng, A.H.D. Fundamentals of poroelasticity. In Analysis and Design Methods; Pergamon Press: Oxford, UK, 1993; pp. 113–171. [Google Scholar]
  18. Atanackovic, T.M.; Guran, A. Theory of Elasticity for Scientistsand Engineers; Springer Science & Business Media: Berlin/Heidelberg, Germany, 2000. [Google Scholar]
  19. Ferrill, D.A.; Smart, K.J.; Morris, A.P. Fault Failure Modes, Deformation Mechanisms, Dilation Tendency, Slip Tendency, And Conduits V. Seals; Geological Society of America: Boulder, CO, USA, 2020. [Google Scholar]
  20. Brudy, M.; Zoback, M.D.; Fuchs, K.; Rummel, F.; Baumgärtner, J. Estimation of the complete stress tensor to 8 km depth in the KTB scientific drill holes: Implications for crustal strength. J. Geophys. Res. Solid Earth 1997, 102, 18453–18475. [Google Scholar] [CrossRef]
  21. Raleigh, C.B.; Healy, J.H.; Bredehoeft, J.D. Faulting and crustal stress at Rangely, Colorado. Geophys. Monogr. Ser. 1972, 16, 275–284. [Google Scholar]
  22. Townend, J.; Zoback, M.D. How faulting keeps the crust strong. Geology 2000, 28, 399–402. [Google Scholar] [CrossRef]
  23. Zoback, M.D.; Harjes, H.P. Injection-induced earthquakes and crustal stress at 9 km depth at the KTB deep drilling site, Germany. J. Geophys. Res. Solid Earth 1997, 102, 18477–18491. [Google Scholar] [CrossRef]
  24. Alghannam, M.; Juanes, R. Understanding rate effects ininjection-induced earthquakes. Nat. Commun. 2020, 11, 3053. [Google Scholar] [CrossRef]
  25. Byerlee, J.D. Static and kinetic friction of granite at high normal stress. Inst. J. Rock Mech. Min. Soc. 1970, 7, 577–582. [Google Scholar] [CrossRef]
  26. Rice, J.R.; Tse, S.T. Dynamic motion of a single degree of freedom system following a rate and state dependent friction law. J. Geophys. Res. Solid Earth 1986, 91, 521–530. [Google Scholar] [CrossRef]
  27. Segall, P.; Rice, J.R. Dilatancy, compaction, and slip instability of a fluid-infiltrated fault. J. Geophys. Res. Solid Earth 1995, 100, 22155–22171. [Google Scholar] [CrossRef]
  28. Ruina, A. Slip instability and state variable friction laws. J. Geophys. Res. Solid Earth 1983, 88, 10359–10370. [Google Scholar] [CrossRef]
  29. Linker, M.F.; Dieterich, J.H. Effects of variable normal stress on rock friction: Observations and constitutive equations. J. Geophys. Res. Solid Earth 1992, 97, 4923–4940. [Google Scholar] [CrossRef]
  30. Pampillón, P.; Santillán, D.; Mosquera, J.C.; Cueto-Felgueroso, L. Dynamic and quasi-dynamic modeling of injection-induced earthquakes in poroelastic media. J. Geophys. Res. Solid Earth 2018, 123, 5730–5759. [Google Scholar] [CrossRef]
Figure 1. Conceptual model of strike-slip fault connected with a spring-slider model and the typical permeability distribution within the fault damage zone and core.
Figure 1. Conceptual model of strike-slip fault connected with a spring-slider model and the typical permeability distribution within the fault damage zone and core.
Energies 19 00840 g001
Figure 2. Geometric model of the studied area.
Figure 2. Geometric model of the studied area.
Energies 19 00840 g002
Figure 3. Temporal variation of pore pressure in the fault core under different injection and production flow rates.
Figure 3. Temporal variation of pore pressure in the fault core under different injection and production flow rates.
Energies 19 00840 g003
Figure 4. The relationship between Kcrit and fluid pressure.
Figure 4. The relationship between Kcrit and fluid pressure.
Energies 19 00840 g004
Figure 5. Temporal variations of (a) effective stress, (b) shear stress, and (c) CFS in the fault core under different injection–production flow rates.
Figure 5. Temporal variations of (a) effective stress, (b) shear stress, and (c) CFS in the fault core under different injection–production flow rates.
Energies 19 00840 g005
Figure 6. Cumulative injection volume versus time under different injection schedules.
Figure 6. Cumulative injection volume versus time under different injection schedules.
Energies 19 00840 g006
Figure 7. Temporal variation of pore pressure in the fault core under different injection schedules.
Figure 7. Temporal variation of pore pressure in the fault core under different injection schedules.
Energies 19 00840 g007
Figure 8. Critical stiffness in the middle part of the fault core under different water injection schedules.
Figure 8. Critical stiffness in the middle part of the fault core under different water injection schedules.
Energies 19 00840 g008
Figure 9. Fluid pressure in the middle part of the fault core under different water injection well locations.
Figure 9. Fluid pressure in the middle part of the fault core under different water injection well locations.
Energies 19 00840 g009
Figure 10. Temporal variations of (a) effective stress, (b) shear stress, and (c) CFS in the fault core under different injection well locations.
Figure 10. Temporal variations of (a) effective stress, (b) shear stress, and (c) CFS in the fault core under different injection well locations.
Energies 19 00840 g010
Figure 11. Temporal variation of critical stiffness in the fault core under different injection well locations.
Figure 11. Temporal variation of critical stiffness in the fault core under different injection well locations.
Energies 19 00840 g011
Figure 12. Temporal variation of pore pressure in the fault core under different production well locations.
Figure 12. Temporal variation of pore pressure in the fault core under different production well locations.
Energies 19 00840 g012
Figure 13. Temporal variations of (a) effective stress, (b) shear stress, and (c) CFS in the fault core under different production well locations.
Figure 13. Temporal variations of (a) effective stress, (b) shear stress, and (c) CFS in the fault core under different production well locations.
Energies 19 00840 g013
Figure 14. Temporal variation of critical stiffness in the fault core under different production well locations.
Figure 14. Temporal variation of critical stiffness in the fault core under different production well locations.
Energies 19 00840 g014
Figure 15. Temporal variation of pore pressure in the fault core under different permeabilities.
Figure 15. Temporal variation of pore pressure in the fault core under different permeabilities.
Energies 19 00840 g015
Figure 16. Temporal variations of (a) effective stress, (b) shear stress, and (c) CFS in the fault core under different permeabilities.
Figure 16. Temporal variations of (a) effective stress, (b) shear stress, and (c) CFS in the fault core under different permeabilities.
Energies 19 00840 g016
Figure 17. Temporal variation of critical stiffness in the fault core under different permeabilities.
Figure 17. Temporal variation of critical stiffness in the fault core under different permeabilities.
Energies 19 00840 g017
Figure 18. Temporal variation of pore pressure in the fault core under different fault dip angles.
Figure 18. Temporal variation of pore pressure in the fault core under different fault dip angles.
Energies 19 00840 g018
Figure 19. Temporal variations of (a) effective stress, (b) shear stress, and (c) CFS in the fault core under different fault dip angles.
Figure 19. Temporal variations of (a) effective stress, (b) shear stress, and (c) CFS in the fault core under different fault dip angles.
Energies 19 00840 g019
Figure 20. Temporal variation of critical stiffness in the fault core under different fault dip angles.
Figure 20. Temporal variation of critical stiffness in the fault core under different fault dip angles.
Energies 19 00840 g020
Table 1. Material parameters of the model.
Table 1. Material parameters of the model.
VariableDescriptionValueVariableDescriptionValue
ρ f Fluid density1000 k g / m 3 κ f Reservoir permeability 10 14   m 2
C f Fluid compressibility 2 × 10 10   P a 1 EReservoir elastic modulus40 GPa
ϕ f Reservoir porosity0.1 u f Fluid dynamic viscosity 0.001   P a · s
υ Reservoir Poisson’s ratio0.23 ρ Reservoir rock density2600 k g / m 3
σ y Vertical stress (Y-direction)20 MPa σ x Horizontal stress (X-direction)17 MPa
QInjection/production rate2 kg/s a Friction coefficient0.015
bFriction coefficient 0.02 D c Critical slip distance 100   μ m
Disclaimer/Publisher’s Note: The statements, opinions and data contained in all publications are solely those of the individual author(s) and contributor(s) and not of MDPI and/or the editor(s). MDPI and/or the editor(s) disclaim responsibility for any injury to people or property resulting from any ideas, methods, instructions or products referred to in the content.

Share and Cite

MDPI and ACS Style

Zheng, X.; Jiang, X.; Zhu, L.; Lu, J.; Qiao, L.; Gao, T.; Zhang, T.; Gu, Z.; Chen, T.; Zhang, X. A Numerical Investigation of Fault Slip Induced by Injection–Production Operations in Oilfields. Energies 2026, 19, 840. https://doi.org/10.3390/en19030840

AMA Style

Zheng X, Jiang X, Zhu L, Lu J, Qiao L, Gao T, Zhang T, Gu Z, Chen T, Zhang X. A Numerical Investigation of Fault Slip Induced by Injection–Production Operations in Oilfields. Energies. 2026; 19(3):840. https://doi.org/10.3390/en19030840

Chicago/Turabian Style

Zheng, Xianbao, Xueyan Jiang, Lihong Zhu, Jiyuan Lu, Lu Qiao, Tingting Gao, Tingting Zhang, Zichen Gu, Tianyu Chen, and Xiaoyu Zhang. 2026. "A Numerical Investigation of Fault Slip Induced by Injection–Production Operations in Oilfields" Energies 19, no. 3: 840. https://doi.org/10.3390/en19030840

APA Style

Zheng, X., Jiang, X., Zhu, L., Lu, J., Qiao, L., Gao, T., Zhang, T., Gu, Z., Chen, T., & Zhang, X. (2026). A Numerical Investigation of Fault Slip Induced by Injection–Production Operations in Oilfields. Energies, 19(3), 840. https://doi.org/10.3390/en19030840

Note that from the first issue of 2016, this journal uses article numbers instead of page numbers. See further details here.

Article Metrics

Back to TopTop