Next Article in Journal
Numerical Simulation Study of Multi-Component Discontinuous Chemical Flooding
Previous Article in Journal
Economic Energy Consumption Strategy Considering Multimodal Energy Under the Base Station Cluster of Multi-Device Communication Private Networks
 
 
Font Type:
Arial Georgia Verdana
Font Size:
Aa Aa Aa
Line Spacing:
Column Width:
Background:
Review

Refuse-Derived Fuel (RDF) for Low-Carbon Waste-to-Energy: Advances in Preparation Technologies, Thermochemical Behavior, and High-Efficiency Combustion Systems

1
Zhongyuan Environmental Protection Co., Ltd., Zhengzhou 450000, China
2
School of Ecology and Environment, Zhengzhou University, Zhengzhou 450001, China
*
Authors to whom correspondence should be addressed.
These authors contributed equally to this work.
Energies 2026, 19(3), 751; https://doi.org/10.3390/en19030751
Submission received: 18 December 2025 / Revised: 25 January 2026 / Accepted: 28 January 2026 / Published: 30 January 2026
(This article belongs to the Section I1: Fuel)

Abstract

Refuse-derived fuel (RDF) presents a viable strategy to concurrently address the challenges of municipal solid waste management and the need for alternative energy. In this context, the present review systematically synthesizes recent advances in RDF preparation, combustion behavior, and efficient utilization technologies. The study examines the full chain of RDF production—including waste selection, mechanical/optical/magnetic sorting, granulation, briquetting, and chemical modification—highlighting how pretreatment technologies influence fuel homogeneity, calorific value, and emissions. The thermochemical conversion characteristics of RDF are systematically analyzed, covering the mechanism differences among slow pyrolysis, fast pyrolysis, flash pyrolysis, pyrolysis mechanisms, catalytic pyrolysis, fragmentation behavior, volatile release patterns, and kinetic modeling using Arrhenius and model-free isoconversional methods (e.g., FWO). Special attention is given to co-firing and high-efficiency combustion technologies, including ultra-supercritical boilers, circulating fluidized beds, and rotary kilns, where fuel quality, ash fusion behavior, slagging, bed agglomeration, and particulate emissions determine operational compatibility. Integrating recent findings, this review identifies the key technical bottlenecks—feedstock variability, chlorine/sulfur release, heavy-metal contaminants, ash-related issues, and the need for standardized RDF quality control. Emerging solutions such as AI-assisted sorting, catalytic upgrading, optimized co-firing strategies, and advanced thermal conversion systems (oxy-fuel, chemical looping, supercritical steam cycles) are discussed within the broader context of carbon reduction and circular economy transitions. Overall, RDF represents a scalable, flexible, and high-value waste-to-energy pathway, and the review provides insights into future research directions, system optimization, and policy frameworks required to support its industrial deployment.

1. Introduction

The exponential growth of municipal solid waste (MSW), coupled with the pressing demand for sustainable energy alternatives, has placed unprecedented pressure on global waste management systems [1]. Traditional approaches such as landfilling and incineration are increasingly unsustainable due to land scarcity, rising environmental concerns, and low energy recovery efficiency [2]. In this context, Refuse-Derived Fuel (RDF) has emerged as a promising technology that transforms waste into a valuable secondary energy source, bridging the gap between waste disposal and renewable energy generation [3]. The findings indicate that using 30.06% alternative fuel by 2024 could cut emissions by 10%, underscoring RDF’s significant role in sustainable energy management for cement production [4]. The American Society for Testing and Materials (ASTM) has established a series of standards primarily dedicated to Refuse-Derived Fuel (RDF). These standards address key characterization parameters, such as elemental analysis, ash content, particle size distribution, calorific value, and moisture determination. The European EN 15359 [5] standard integrates key indicators including chlorine (Cl) and mercury (Hg) content, applying stringent statistical methods to ensure effective environmental risk management and reliable fuel quality assurance [6]. Figure 1 The composition of municipal solid waste (MSW) changes according to income level, exhibiting high heterogeneity that complicates its direct use in waste-to-energy conversion. Worldwide, green and food waste represent the largest share, making up around 44% of total waste. Approximately 38% consists of recyclable materials, including paper, cardboard, plastics, metal, and glass.
RDF is a solid fuel produced through the pre-treatment and mechanical processing of MSW, industrial waste, and commercial residues. By selectively removing non-combustible and hazardous components (such as metals, glass, and inert materials), and concentrating the combustible fractions (including plastics, paper, textiles, and rubber), RDF achieves enhanced calorific value and consistent fuel properties suitable for industrial applications [8]. The production of RDF typically involves shredding, drying, sorting (e.g., via optical or magnetic separation), and densification (e.g., pelletizing or briquetting), resulting in a standardized fuel compatible with a wide range of thermal conversion technologies [9]. What sets RDF apart from other waste-to-energy (WtE) technologies is its flexibility, scalability, and integration potential. Unlike direct incineration or anaerobic digestion, which are often limited by waste type or infrastructure requirements, RDF can be co-fired with coal or biomass in existing industrial boilers, cement kilns, and fluidized bed reactors with relatively low retrofitting costs. This makes RDF particularly appealing in both developed and developing countries, where legacy infrastructure and limited waste segregation capacity pose barriers to advanced treatment solutions [10]. Figure 2 shows Ghana’s Early Systematic Assessment of Producing Refuse-Derived Fuel (RDF) from Municipal Solid Waste Residues [11].
In recent years, RDF has gained significant attention in academic and industrial circles, not only for its potential to reduce landfill dependency and fossil fuel consumption, but also for its role in supporting circular economy goals and low-carbon transitions [13]. Techno-economic assessments and life cycle analyses have demonstrated that RDF-based systems can offer lower greenhouse gas emissions, better energy recovery rates, and more favorable cost–benefit ratios compared to traditional waste disposal routes. In countries facing energy poverty or rapid urbanization, RDF presents a viable pathway to decentralize energy production and valorize urban waste streams. However, the deployment and optimization of RDF technologies are not without challenges. The heterogeneous composition of RDF, depending on source and processing methods, can lead to variations in heating value, emissions, and combustion behavior [14]. High contents of chlorine (from PVC plastics) and sulfur (from rubber) may lead to corrosive flue gases and the formation of harmful pollutants such as NOx, dioxins, and furans during combustion. In addition, inadequate pre-treatment or poor sorting can introduce heavy metals and inert residues that affect fuel performance and environmental compliance. Thus, quality control, regulatory standardization (e.g., EN 15359 for solid recovered fuel), and emission mitigation are critical areas of ongoing research [15]. Advances in thermal analysis techniques (e.g., TGA, DSC), kinetic modeling (Arrhenius, FWO), and combustion optimization (e.g., fluidized bed combustion, co-firing strategies) have significantly improved our understanding of RDF’s behavior under different thermal regimes [16]. Furthermore, emerging technologies such as hydrothermal liquefaction, chemical looping combustion, and supercritical steam cycles are expanding the frontiers of RDF utilization beyond conventional combustion [17]. The integration of AI, IoT, and robotic sorting systems is also enhancing RDF preparation efficiency and fuel consistency [18].
Solid waste treatment is a critical global challenge, as highlighted by recent studies on waste-to-energy technologies [19], which emphasize the need for scalable and low-carbon conversion pathways like RDF. This review aims to provide a comprehensive synthesis of recent advances in RDF technology by critically analyzing its preparation processes, combustion characteristics, and system integration within modern energy and waste management frameworks. The novelty of this review lies in systematically integrating the full-chain technical progress of RDF preparation-thermochemical conversion-high-efficiency combustion, and quantifying the influence weight of each link on fuel quality and emissions for the first time; focusing on low-carbon transition needs and constructing a coupling framework between RDF technology and circular economy; identifying the industrialization bottlenecks of emerging technologies such as AI-assisted sorting and catalytic- upgrading, and proposing targeted optimization paths. It first discusses current approaches for RDF production from various waste streams, including mechanical, biological, and thermal preprocessing techniques that influence fuel composition and quality. The review then examines the thermal behavior and reaction kinetics of RDF under different conversion pathways such as pyrolysis, gasification, and co-combustion, with particular attention to emission profiles and energy efficiency. Additionally, economic viability and regulatory constraints are also considered to evaluate the scalability of RDF-based systems, particularly in regions facing both energy shortages and waste disposal challenges. By identifying technical bottlenecks and research gaps—ranging from fuel standardization and contaminant control to advanced conversion systems—this review supports the strategic development of RDF as a clean, efficient, and adaptable solution for integrated waste-to-energy conversion. Figure 3 illustrates the research framework and literature collection methods used in evaluating RDF technologies, highlighting a multidimensional assessment of technical, environmental, and economic aspects.

2. Definition and Classification of RDF

Refuse-derived fuel (RDF) is a high-calorific solid fuel produced from the mechanical pre-treatment of municipal solid waste (MSW), primarily consisting of combustible fractions such as plastics, paper, textiles, and rubber. The physical composition of municipal solid waste (MSW) in mainland Portugal as of 2020 is presented in Figure 1. Non-combustible materials, including metals, glass, and stones, are systematically removed during preprocessing steps such as shredding, sorting, drying, and pelletizing or briquetting. These processes homogenize heterogeneous waste, enhance energy density, reduce moisture content, and improve transportability and storage. Consequently, RDF can be reliably utilized across a variety of thermal applications, including domestic heating, power generation, industrial boilers, and cement kilns. Figure 4 shows the RDF end-user analysis. Table 1 summarizes the different types of thermochemical conversion technologies [20].
The production of RDF can be compared with other waste-to-energy (WtE) technologies based on their technological pathways, including mechanical pre-treatment, biological processing, thermal conversion, and final disposal. These pathways directly affect fuel quality, energy recovery efficiency, environmental impact, and operational feasibility. Among existing WtE technologies, incineration effectively reduces waste volume and controls odor but involves high capital costs and emits pollutants such as dioxins and furans. Gasification is a partial oxidation process that converts solid waste into fuel or synthesis gas using a sub-stoichiometric oxidant supply. Key operating parameters include the equivalence ratio, reactor temperature, residence time, waste composition and properties, as well as the composition and inlet temperature of the gasifying medium. The reactions involved are predominantly equilibrium-controlled (excluding oxidation reactions). However, the final product composition is governed by reaction kinetics and catalytic effects rather than thermodynamic equilibrium alone. Notably, ash constituents can sometimes exhibit catalytic activity [20]. A major operational challenge, particularly in fluidized bed reactors, is bed agglomeration. To prevent ash melting and sintering—which impair fluidization and may cause defluidization—operating temperatures in bubbling fluidized bed gasifiers are typically maintained below 900 °C [20]. Pyrolysis can convert MSW into biochar, bio-oil, and syngas, providing diverse energy and chemical products, but it is costly and generates methane. Liquefaction targets wet waste streams to produce bio-oil and biochar but demands trained personnel and may result in toxic emissions. Biological methods, including anaerobic composting and fermentation, are cost-effective for high-moisture waste and can produce biogas or bioethanol; however, lignin degradation is slow during composting, and fermentation is limited to food waste fractions. Landfilling remains the lowest-cost option but requires large areas and poses risks to soil and water quality. In comparison, RDF distinguishes itself by homogenizing heterogeneous waste through mechanical pre-treatment, producing briquettes or pellets with high calorific value and low ash content. This form of fuel is easy to transport and store, and it can be directly used in domestic heating, industrial boilers, power generation, and co-processing in cement kilns. Despite relatively high installation costs, RDF’s versatility and broad applicability offer significant advantages in operational feasibility, energy recovery efficiency, and environmental impact, making it a sustainable complement to existing WtE technologies. Table 2 summarizes the effect of different gasifying agents on syngas quality [20].

3. Preparation Methods of RDF

3.1. Waste Selection and Preprocessing

The pretreatment of waste is a critical step in the production of Refuse-Derived Fuel (RDF), as it directly affects fuel quality, energy recovery efficiency, and the overall performance of subsequent processing stages. Effective pretreatment improves the physical properties of waste, removes impurities, enhances calorific value, and ensures the stability and safety of the fuel. Different types of waste require tailored pretreatment strategies to maximize resource utilization. The feedstocks for refuse-derived fuel (RDF) mainly originate from municipal solid waste (MSW) and industrial solid waste (ISW). MSW consists of diverse waste streams generated from residential, commercial, institutional, agricultural, and construction activities, which comprises items like cardboard, plastics, metals, wood, food residues, and hazardous materials. ISW typically consists of production residues, industrial sludges, metal scraps, and construction debris such as concrete and steel. The variability in composition, particle size, and moisture content among these sources necessitates the selection of appropriate pretreatment methods. RDF management basically has two approaches, including disposal and energy recovery, as shown in Figure 5.
Corresponding pretreatment methods include mechanical separation, optical sorting, magnetic separation, among others. First, mechanical separation: factors such as centrifugal force, specific gravity, elasticity, particle shape, and selective crushing all affect the efficiency of mechanical separation. For sorting plastics, centrifugal force separation is much faster—for example, using a centrifuge. Moreover, centrifugal separation of plastics is significantly more efficient than gravity-based separation [23]. Next, optical sorting: optical sorting technology consists of two main components—sensors and actuators. The sensor system emits electromagnetic radiation onto the waste stream, causing part of the radiation to be absorbed by the materials and part to be reflected back to the sensor [24]. Optical sorting systems can achieve a purity rate of over 95% for plastic waste sorting. This method is also applicable to food waste. A Malaysian case study introduced an innovative framework for food waste management by integrating an optical sorting system with anaerobic digestion [25]. This approach does not require changes to the public’s current waste disposal habits, thereby reducing retrofitting costs. Lastly, magnetic separation: this method leverages differences in the magnetic properties of materials to separate them using a non-uniform magnetic field. For instance, particles containing magnetite can be separated using magnets with a field strength of 1500 Gauss. Ferromagnetic materials can be separated by magnets with a surface magnetic flux density of 2000 Gauss or lower [26].

3.2. Physical Processing

Regarding the production process of RDF, granulation and briquetting significantly impact the structure, particle size, density, hygroscopicity, mechanical strength, and other properties of RDF, which notably influence its energy content and the release of harmful gases. In terms of granulation technology, granulation is a widely used particle agglomeration technique. It is broadly categorized into dry granulation and wet granulation. A variety of granulation technologies are currently employed, including roller compaction, spray drying, supercritical fluid granulation, low/high-shear mixing, and fluidized bed processes [27]. Recent advancements involve pneumatic dry granulation technology, as well as techniques such as reverse wet granulation, steam granulation, thermal adhesion granulation, melt granulation, freeze granulation, and foam (binder) granulation. Additionally, dry granulation via wet processing (also referred to as wet granulation) is another established method [28]. To produce robust pellets, Maryna Zhylina et al. optimized a granulation process utilizing a mixture of 85% agricultural waste and 15% peat. Following pyrolysis at 500 °C and a heating rate of 5 °C/min, the pellets were characterized for their strength, density, and hygroscopicity. This resulted in pyrolyzed barley straw pellets with a mechanical strength of 89.40 N and a moisture absorption rate of 49.50% [29]. In their study, Xinlei Xie et al. examined the effects of granulation pressure and additives on chlorine release from pellets. They evaluated the inhibitory performance of three calcium-based additives, among which CaO demonstrated the optimal dechlorination effect [30]. Briquetting is a pressure agglomeration process that yields highly concentrated materials. The essence of briquetting lies in the application of pressure to particulate materials, which reduces the distance between particles. The close direct contact of particles facilitates bonding, significantly influencing the surface connections of these particles [31]. Jaya Shankar Tumuluru et al. analyzed the improved flow characteristics of municipal solid waste after briquetting. Municipal solid waste is a suitable feedstock for thermochemical conversion, as evidenced by its substantial lignin content (30%) and high calorific value (19–21 MJ/kg). The findings suggest that smaller briquette sizes and higher moisture content lead to increased energy consumption [32]. Figure 6 demonstrated the preparation process of RDF. Finally, a comparison of physical treatment technologies is presented as follows. Dry granulation does not require additives and has low energy consumption, but features low particle strength; wet granulation has high particle strength, yet requires subsequent drying [27]. The novel pneumatic dry granulation technology reduces energy consumption by 25% compared with the traditional dry granulation, with the particle strength reaching 75 N [28]. High-pressure briquetting can increase the fuel density to 1.2–1.5 g/cm3 and cut down transportation costs by 40%, but raw materials with high moisture content need to be pretreated to prevent cracking; low-pressure briquetting has wide adaptability, but is characterized by low density and high moisture absorption rate during storage [32].

3.3. Chemical Processing

Chemical processing can be divided into adding catalysts and performing thermochemical conversion. Considerable research interest has been directed toward improving the combustion performance of Refuse-Derived Fuel (RDF) by means of combustion accelerators, owing to their potential for optimizing energy output and lowering emissions. One approach utilizing industrial sludge rich in alkali metal oxides as a combustion accelerator has demonstrated considerable potential in enhancing combustion efficiency [34]. The incorporation of such accelerators can alter the thermal behavior characteristics of RDF, leading to a more complete combustion process and potentially reducing pollutant emissions. The study also highlights that doping RDF with specific promoters, particularly industrial by-products rich in alkali metals, offers a feasible pathway to improve combustion performance. This method not only enhances energy output but also contributes to emission control, aligning with the environmental and energy efficiency objectives of waste-to-energy conversion processes. Chemical modification enhances the combustion performance of Refuse-Derived Fuel (RDF) through the addition of combustion aids, catalysts, or stabilizers. In catalytic modification, incorporating catalysts such as HZSM-5 zeolite or red mud with RDF allows for the targeted regulation of pyrolysis products. The shape-selective catalysis of HZSM-5 can increase aromatic hydrocarbon yields by 30–40% [35], Concurrently, the basic sites in red mud effectively reduce the oxygen content of bio-oil from 35% to below 20%, thereby raising its heating value from 18 MJ/kg to 28 MJ/kg [36]. The efficiency of this catalytic pyrolysis is governed by several key factors: catalyst type, dosage, reaction temperature, and feedstock composition. Zeolite catalysts (e.g., HZSM-5) promote aromatization, whereas metal oxide catalysts (e.g., red mud) are superior for deoxygenation. An optimal catalyst dosage typically falls between 5% and 10% of the feedstock mass, as excess amounts may cause agglomeration and activity loss. The ideal reaction temperature range is 400–600 °C; lower temperatures hinder complete pyrolysis, while higher ones increase energy consumption and secondary reactions. Furthermore, RDF with higher plastic content favors aromatic production, while a higher biomass fraction increases bio-oil oxygen content, necessitating additional deoxygenation catalysts [35,36].
Through thermochemical treatment, the recalcitrant structure of lignocellulosic biomass is broken down, enabling its conversion into carbon-containing solid, liquid, and gaseous products [37]. This preparation process primarily involves the conversion of carbon dioxide, where lignocellulosic biomass serves as an intermediate for producing carbon-containing products. It is therefore of significant strategic importance to develop efficient thermochemical technologies for generating high-value carbon-based bioproducts from lignocellulosic biomass [19].

4. Combustion Behavior and Characteristics of RDF

4.1. Thermal Decomposition and Pyrolysis Characteristics

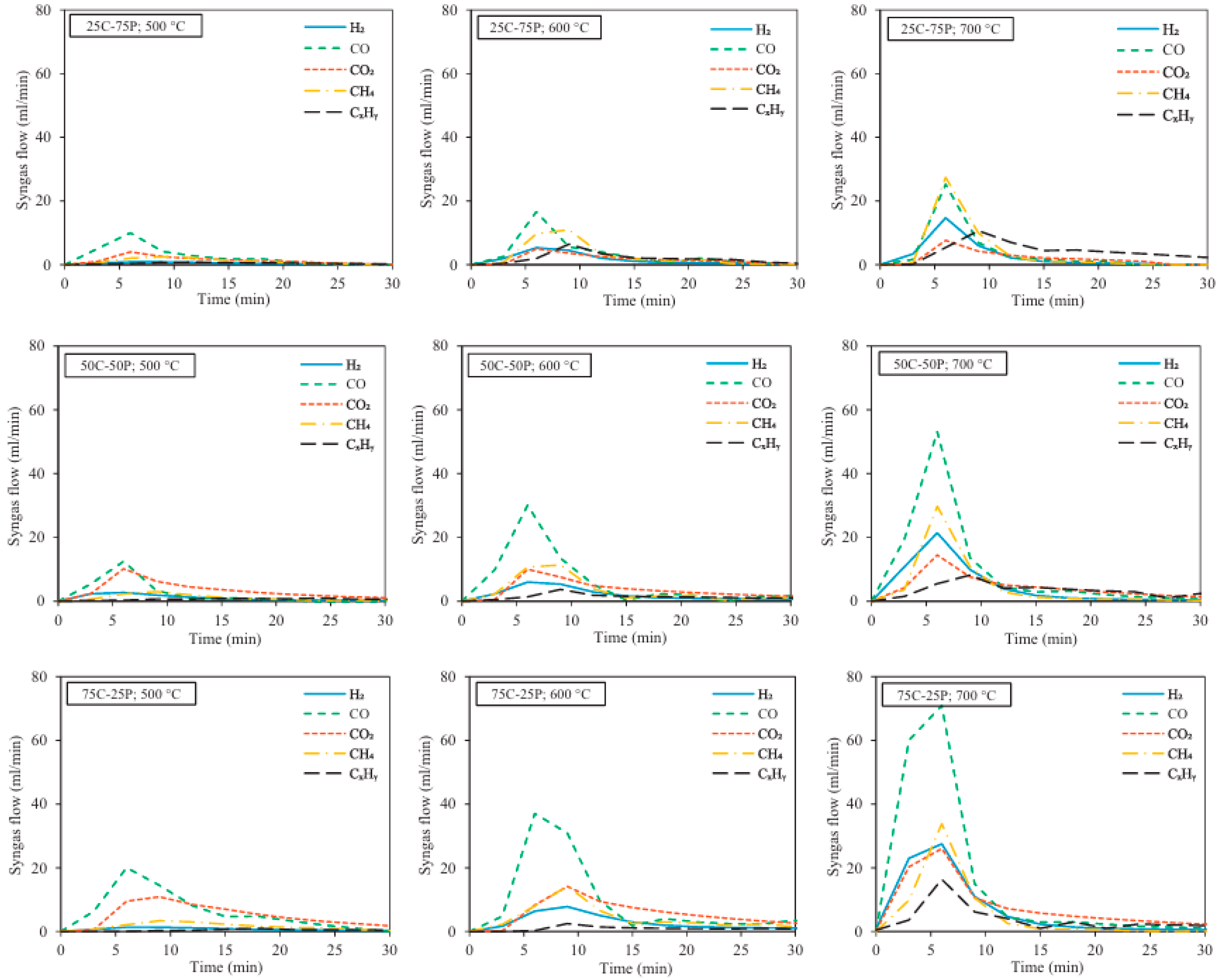
Biomass pyrolysis is a thermochemical process that involves heating biomass at tem- peratures above 400 °C in an inert atmosphere (oxygen-free) [38], typically using nitrogen as the inert gas [39]. Through pyrolysis, volatile matter is decomposed, resulting in products with higher calorific values than the raw biomass. The primary pyrolysis products include biochar (solid), bio-oil (liquid), and non-condensable gases [39]. The typical thermochemical conversion process consists of the moisture release stage (100–200 °C), followed by the devolatilization and pyrolysis stage (200–600 °C), and culminates in the fixed carbon combustion and ash formation stage (600–900 °C). Reactors such as fixed-bed, fluidized-bed, and rotary kiln can be employed. The primary fragmentation behavior of RDF pellets under rapid pyrolysis entails complex thermal degradation mechanisms that exhibit pronounced temperature dependence [40]. For example, the flow rate of syngas produced by different RDF particles during pyrolysis at 500–700 °C in Figure 7. This figure illustrates the volumetric flow rates of syngas components generated from the pyrolysis of RDF pellets at varying blending ratios and temperatures, with measurements taken at 3 min intervals. Notably, CO production initiates earlier than that of other components, particularly at lower pyrolysis temperatures. For instance, during pyrolysis at 500 °C, CO release is detectable within the first 3 min, whereas significant amounts of other syngas components only emerge after 6 min. This early release of CO is attributed to the decomposition of lignocellulosic components within the cardboard. Their study indicates that significant fragmentation occurs within specific temperature ranges, highlighting the importance of identifying these critical temperature zones for efficient pyrolysis. While direct temperature ranges for RDF pyrolysis are not explicitly detailed in the provided documents, insights can be inferred from related biomass and waste pyrolysis studies. For instance, it is reported that the pyrolysis of oily sludge occurs mainly between 150 °C and 750 °C, with notable decomposition stages within this range [41]. Furthermore, the kinetic and thermodynamic analyses performed by [42] the mustard oil residue and by [43] the cellulose and lignin highlight the importance of activation energy distributions and thermogravimetric profiles in understanding pyrolysis mechanisms. These studies underscore that the decomposition of complex feedstocks such as RDF involves multiple overlapping reactions, each with its own critical temperature range, typically spanning from low to high temperatures depending on the constituent materials. Although specific mechanistic pathways for RDF are not detailed in the provided documents, the collective evidence suggests that the pyrolysis process encompasses initial devolatilization at lower temperatures, followed by secondary cracking and char formation at higher temperatures. The temperature window of approximately 150 °C to 750 °C appears to be a common range where significant thermal transformations occur, aligning with the general behavior observed in similar waste and biomass materials [41]. Table 3 summarizes different types of pyrolysis. Table 4 summarizes the main operating parameters of pyrolysis.
Figure 8 depicts the particle size distribution of char fragments obtained from pellets after 30 min of pyrolysis at different temperatures. Generally, increasing the pyrolysis temperature shifts the final char particle size distribution toward smaller sizes. This trend is particularly pronounced in samples with higher cardboard content. For example, with 75C–25P pellets, pyrolysis at 500 °C yields 85.4 wt% of char particles larger than 5 mm. This fraction decreases to 66.7 wt% at 700 °C. Concurrently, the proportions of smaller particles increase: the shares in the 2.5–5 mm and 1.25–2.5 mm size ranges rise from 7.3 wt% and 6.6 wt% to 22.3 wt% and 10.7 wt%, respectively.
The pyrolysis mechanism and the critical temperature range of RDF are essential aspects for understanding its thermal decomposition behavior and optimizing its utilization [40]. Regarding conventional pyrolysis of RDF, several issues have been summarized, such as its relatively low calorific value, high content of non-combustible gases like CO and CO2; high oxygen content leading to strong acidity, instability, and low calorific value; and high yield of solid carbon residue, though its pore structure and development may be inferior to that of char produced by catalytic pyrolysis. Compared to conventional pyrolysis, catalytic pyrolysis refers to the process of heating refuse-derived fuel (RDF) to medium-high temperatures (typically 400–600 °C) in an oxygen-free or oxygen-deficient environment with the presence of catalysts (such as zeolites, red mud, etc.), enabling thermochemical decomposition and directional conversion into high-value products. Therefore, this article reviews some recent research on catalytic pyrolysis of RDF. Jiayu Xu et al. selected zeolites (e.g., HZSM-5) for their excellent shape-selective catalytic ability, effectively converting pyrolysis vapors into aromatic hydrocarbons. Iron (Fe) modification was applied to further enhance deoxygenation performance, promote aromatization reactions, and potentially reduce coking. It was confirmed that Fe-modified zeolites, compared to unmodified zeolites, initially yielded higher quantities and higher-quality aromatic oils [35]. Red mud, a solid waste with high alkalinity, is derived from the processing of bauxite to extract alumina. It is estimated that about 175 million tons of red mud are generated worldwide each year, and the total reserves surpass 6 billion tons [44]. Its main components include Fe2O3, Al2O3, TiO2, Na2O, and some unreacted alkaline solutions. Zhang et al. identified red mud among catalysts with superior deoxygenation performance during biomass pyrolysis, noting its influence on bio-oil quality and coking behavior, which is critical for optimizing pyrolysis catalysts [36].
During the process of RDF pyrolysis and catalytic pyrolysis, relevant volatile compo- nents and cracking products are generated. As presented in Figure 9, the H2, CO, CO2, and CH4 release profiles recorded during the three pyrolysis tests are displayed. The analysis of volatile components and cleavage products in RDF (Refuse-Derived Fuel) is a critical aspect of understanding its chemical composition and potential applications. The RDF combustion process involves three distinct stages: thermal decomposition, volatile matter combustion, and fixed carbon combustion. The primary volatile components and pyrolysis products of RDF are primarily produced during both the volatile matter combustion and the fixed carbon combustion stages. During volatile matter combustion, the following pyrolysis species derived from lignocellulosic biomass and plastic components in RDF samples can be identified: short-chain carboxylic acids, furans, phenols, saturated and unsaturated aliphatic chains, aromatic compounds, nitro and other nitrogen-containing compounds, chlorinated compounds, and polycyclic aromatic hydrocarbons [45]. In the fixed carbon combustion stage, a large amount of carbon dioxide is produced.

4.2. Combustion Kinetics and Mechanisms

The combustion mechanism of RDF describes the detailed pathways and processes involving a series of physical and chemical steps that RDF undergoes during its combustion. The combustion process of RDF and similar biomass or waste materials involves distinct stages characterized by thermal decomposition, volatile combustion, and fixed carbon combustion, each influenced by various factors such as heating rate, material composition, and co-firing conditions. The initial stage of thermal decomposition, often associated with dehydration and volatile release, has been extensively studied through thermogravimetric analysis (TGA). The decomposition of biomass proceeds through two distinct stages for wood, cotton, and cotton wool. In contrast, a third stage—corresponding to a minor weight loss around 700 °C—can also be observed for paper, cardboard and natural rubber [46]. The significant impact of heating rates on combustion characteristics, noting that higher heating rates influence the kinetics and the control parameters such as activation energy and reaction order during the thermal degradation of hazelnut husk [47]. The volatile combustion stage, which involves the oxidation of released volatile matter, is critical for understanding ignition and burnout behavior. Li et al. [48] investigated the combustion of Shenhua coal semi-char co-firing with straw, highlighting the importance of kinetic parameters obtained via the Coats–Redfern method to describe volatile oxidation. Qi et al. [49] demonstrated that the addition of FeCl3 during hydrothermal carbonization enhances the conversion of volatile matter to fixed carbon, elevating ignition temperatures and improving overall combustion performance. This suggests that modifications in fuel composition can significantly influence volatile combustion characteristics. The fixed carbon combustion stage, representing the oxidation of residual char, is crucial for the complete combustion process. Studies such as those by [50,51] utilized thermogravimetric methods to analyze co-combustion systems, revealing that the interaction between different fuels can alter the kinetics during this stage. Mao et al. observed that co-combustion of petroleum coke and hydrochar could be effectively modeled using the Kissinger–Akahira–Sunose method, indicating the importance of kinetic modeling in understanding fixed carbon oxidation. Yang et al. further noted that co-firing food waste with pulverized coal could enhance combustion rates, especially when heat transfer between components is optimized. The Arrhenius model reaction rate equation is written as (1). The expression of the FWO method is written as (2). Table 5 summarizes the main parameters and meanings of the Arrhenius model. Table 6 summarizes the main parameters of the FWO model and their meanings.
d α d T = A β e E R T ( 1 α ) n
ln ( β i ) = ln [ A α E a R g ( α ) ] 5.331 1.0516 E α R T α , i
To facilitate a correct understanding of the reactions occurring during RDF combustion, it has been found highly useful to employ combustion kinetic models for investigation, as these models can provide crucial information such as activation energy, pre-exponential factors, reaction orders, and other related parameters [54]. Research on RDF combustion kinetics is based on simulations of the combustion process of Refuse-Derived Fuel (RDF) using the Arrhenius model and the Flynn-Wall-Ozawa (FWO) kinetic model [36]. The Arrhenius model is a model-fitting method used to calculate the kinetic parameters of thermal decomposition or combustion processes of solid fuels via thermogravimetric analysis data. Based on the Arrhenius equation, this method fits experimental data by assuming a reaction order n to estimate the activation energy E and the pre-exponential factor A [52]. Flynn-Wall-Ozawa (FWO) method is an isoconversional, model-free kinetic method used to calculate the activation energy of solid fuels (such as coal, municipal solid waste, and refuse-derived fuel) under nonisothermal conditions [53]. The Arrhenius model is the most typical and widely used acceleration model in temperature stress tests, while the FWO kinetic model is an effective method for studying the thermal degradation kinetics of polymers using TGA data, which has garnered significant academic attention in recent years. These methods play a key role in understanding the thermal degradation and combustion mechanisms of polymers, biomass, and other carbonaceous solid fuels. Model-free methods such as FWO have been extensively used to evaluate activation energy without presupposing specific reaction mechanisms. Hu et al. [55] employed FWO and other isoconversional methods to analyze the pyrolysis behavior of wheat straw, demonstrating the effectiveness of the FWO method in capturing the kinetic characteristics of biomass decomposition. Goitom et al. [56] discussed approaches to optimize detailed reaction mechanisms by fitting Arrhenius parameters to experimental data, which is crucial for the accurate simulation of combustion processes.
As shown in Figure 10a,b, the mass-based particle size distribution of PM10 from MSW combustion exhibits a trimodal pattern, characterized by three distinct peaks at approximately 0.1 μm, 0.3 μm, and 7 μm. With increasing combustion temperature, the peak at 0.1 μm shifts toward a smaller aerodynamic diameter, whereas the peak at 0.3 μm moves in the opposite direction. The peak at 7 μm remains largely unchanged in position. At 1000 °C, the peak locations for PM10 from RDF and wood waste (WW) combustion align with those of MSW. However, the peak intensities differ significantly: at 0.1 μm, the intensities for RDF and WW are only about one-third and one-ninth of that for MSW, respectively. At 7 μm, the corresponding peak intensities for RDF and WW are half and twice that of MSW, respectively. Figure 10c illustrates that as combustion temperature rises, the yields of PM1, PM1–2.5, PM2.5–10, and PM10 from MSW generally decrease. By integrating this observation with Figure 10a, the decline in PM concentration within the 0.2–0.7 μm range can be attributed mainly to the reduced yield of PM1. Furthermore, Figure 10d indicates that at a given temperature, PM1 yield follows the order: MSW > RDF > WW. In contrast, the yields of PM1–2.5, PM2.5–10, and PM10 all follow the sequence: WW > MSW > RDF [57].
However, introducing RDF into supercritical/ultra-supercritical boilers designed primarily for pulverized coal combustion creates significant compatibility issues. Co-firing optimization strategies are developed precisely to resolve these conflicts. The combustion characteristics of RDF in comparison with coal and biomass fuels have been explored through various studies, highlighting differences in physiochemical properties, ignition behavior, and combustion performance. The physiochemical properties and combustion behavior of biomass waste, including sawdust char, which shares similarities with RDF in terms of residual carbon content and combustion kinetics [58]. Their findings suggest that biomass-derived fuels like sawdust char exhibit distinct combustion characteristics influenced by their physiochemical composition, which can inform the combustion of RDF blends. Wang et al. [59] conducted a comparative analysis of biomass–coal blends, including agricultural residues, which are often components of RDF. Their thermogravimetric analysis revealed that biomass and coal blends display different combustion behaviors, with biomass residues generally showing higher reactivity and lower ignition temperatures compared to coal. This indicates that RDF, which may contain biomass and waste plastics, could have a combustion profile that differs significantly from pure coal, potentially leading to more complex ignition and burnout characteristics. The combustion of high plastic content RDF pellets, noting that high plastic content influences ash behavior and fusion tendencies during combustion [60]. Their results indicated that RDF with high plastic content produces soft ash at lower air fluxes but can form larger fused ash lumps at higher fluxes, which could impact slagging and fouling in combustion systems. This contrasts with coal, which typically produces more stable ash, and biomass, which tends to generate less fusible ash, highlighting the importance of fuel composition in combustion performance. Furthermore, the study the on ignition enhancement of solid fuels, including biomass and charcoal, provides insights into ignition strategies that could be applicable to RDF combustion [61]. Their findings on vortex flow structures for ignition suggest that similar approaches might improve start-up performance when combusting RDF, especially considering its heterogeneous composition.

5. High-Efficiency RDF Combustion Technologies

5.1. Supercritical Technology and Ultra-Supercritical Technology

This paper reviews recent research on pathways for high-efficiency RDF combustion, such as supercritical and ultra-supercritical combustion technologies, optimization strategies for co-firing RDF with coal and biomass, and studies on the adaptability of RDF in fluidized bed combustion and rotary kiln incineration systems. The application of supercritical and ultra-supercritical (USC) combustion technologies has garnered significant attention due to their potential to enhance efficiency and reduce environmental impacts in power generation. Recent studies highlight various technological advancements and their implications for future energy systems. Oxy-fuel combustion technology, a form of supercritical combustion, offers notable environmental benefits by reducing nitrogen oxides and CO2 emissions through the use of oxygen instead of air as the oxidant. A study by Seo et al. compared the economic performance of air-fired and oxy-fuel circulating fluidized bed power plants. The results indicated that the net present value of the oxy-fuel unit was 2.3 times that of the conventional air-fired unit, the internal rate of return increased to 1.15 times, and the payback period was approximately 12 years [62]. The oxy-fuel circulating fluidized bed power plants exhibit higher profitability metrics, with net present value and internal rate of return being substantially greater than traditional air-fuel plants, and a payback period of approximately 12 years [62]. Tramošljika et al. examined a CCS-equipped 700 MW advanced USC coal-fired power plant. Their analysis stressed that effective management of the interface between the capture unit and the steam cycle are key to optimizing plant performance [63]. Thermal power plants are classified according to the boiler pressure: supercritical and subcritical [64]. As shown in Figure 11, supercritical generation units involve far more complex modeling concepts and control strategies than subcritical ones. However, they offer superior efficiency and significantly cleaner operation. Table 7 summarizes the main operating parameters of supercritical, ultra-supercritical, and advanced ultra-supercritical technologies.
Ultra-supercritical technology pursues extreme efficiency, but its high-parameter boilers are highly sensitive to fuel quality. Direct combustion of raw, compositionally complex RDF carries significant risks, necessitating the optimization of RDF co-firing strategies. The co-combustion of coal and biomass waste fuels has garnered significant research interest as a strategy to enhance energy efficiency and reduce environmental impacts. Recent studies highlight the potential of synergistic effects in optimizing mixed combustion processes. For instance, an experimental investigation into the influence of synergistic effects on co-firing in fluidized beds under oxy-fuel conditions demonstrates that biomass waste fuels can positively interact with coal, leading to improved combustion performance [66]. The co-firing of biomass and coal not only supplements energy sources but also offers a pathway to reduce greenhouse gases, supporting sustainable energy objectives. Advances in co-firing research underscore the importance of understanding the combustion characteristics of mixed fuels. Studies on coal and biomass co-firing in boilers reveal that this approach can effectively reduce emissions and improve thermal efficiency [67]. The utilization of biomass in power plants facing phase-out of coal has been facilitated through co-firing with refuse-derived fuel (RDF), which has been integrated into existing fuel mixes since 2021. This approach not only supports energy production but also contributes to CO2 emission reductions [68]. Additionally, biochar production from biomass-coal hybrid fuels has been explored as a means to improve combustion characteristics and waste valorization, with modeling and optimization techniques aiding in refining biomass injection strategies [69]. Experimental studies further demonstrate that mixed combustion can influence particulate matter emissions and inorganic mineral behavior, emphasizing the need for detailed emission control strategies [67]. Chemical analyses of biomass ash reveal that its composition differs significantly from coal ash, impacting slagging, fouling, and emission profiles. Understanding these differences is essential for optimizing co-firing conditions and managing ash-related issues [70]. Moreover, co-pyrolysis studies indicate that the release of sulfur and nitrogen compounds during mixed fuel combustion can be managed through process optimization, further supporting the environmental benefits of co-firing strategies [71]. Table 8 summarizes the reactor configurations of supercritical, ultra-supercritical, and advanced ultra-supercritical technologies. Table 9 summarizes the technology readiness levels of supercritical, ultra-supercritical, and advanced ultra-supercritical technologies in different countries/regions.
With compatibility studies having validated their stability and reliability, the optimized RDF blend is combusted in circulating fluidized bed (CFB) or rotary kiln boilers. The optimization strategy is the objective and blueprint, while the adaptability study serves as the foundational cornerstone and pathway to achieving that goal. The existing literature indicates a growing interest in the integration and application of RDF within various thermal treatment systems, notably fluidized bed combustion and rotary kiln incineration. Zhao et al. [72] a detailed analysis of slagging phenomena in rotary kiln systems is conducted, with a focus on the formation and growth behaviors of slagging rings. Understanding these behaviors is key to optimizing system performance and ensuring long-term durability. This study underscores the relevance of RDF in rotary kiln operations, as the formation of slagging rings can be influenced by the combustion characteristics of RDF, affecting system stability. Figure 12 Zhao’s subsequent work [72] expands on the comparative analysis of slagging behaviors across different incineration technologies, the technologies encompass fluidized bed and rotary kiln incinerators and conduct analysis that complies with the requirements of ASTM E766-14 standard [73]. The insights suggest that the physical and chemical properties of RDF significantly impact slagging tendencies, which vary depending on the combustion environment. The research highlights the necessity of tailoring operational parameters to accommodate RDF’s unique characteristics in these systems. Researchers have examined the coupling of rotary kilns with complementary combustion units like fluidized beds to enhance the efficiency of waste-to-energy conversion [74]. This combination aims to leverage the advantages of both systems, potentially improving the adaptability of RDF combustion. The hybrid approach may mitigate some operational challenges associated with RDF, such as slagging and emissions, by optimizing combustion conditions. Simulation studies further contribute to understanding RDF’s behavior in thermal systems. For instance, a recent investigation into rotary kiln incineration [75] utilized gasification models to analyze waste/biomass conversion processes, including the production of hydrogen-rich gases. These simulations provide valuable insights into the thermochemical transformations of RDF, informing strategies to improve system adaptability and efficiency. Environmental considerations, such as emissions control, are also addressed in the context of RDF combustion. The integration of fluidized bed systems with CO2 capture technologies demonstrates potential for reducing greenhouse gases during waste incineration [76]. Such advancements suggest that fluidized bed combustion systems can be adapted to accommodate RDF while aligning with environmental sustainability goals.

5.2. Combustion Modeling

With the development of computational fluid dynamics and thermodynamic simulation technologies, modeling the combustion and gasification processes of refuse-derived fuel (RDF) has become a crucial tool for optimizing energy conversion efficiency, predicting emission characteristics, and designing reactors. In recent years, several research teams have systematically simulated the combustion and gasification behavior of RDF using different software and models, achieving significant progress. Brożek et al. utilized Aspen Plus software to simulate the combustion process of two RDF streams from different sources (Group A and B). The study assumed steady-state conditions with no pressure drop and no heat loss. The combustion reaction was simulated using the RGibbs module based on the Gibbs free energy minimization method. The results indicated that RDF from Group A, due to its higher lower heating value (LHV) and lower moisture content, exhibited superior energy output, yielding approximately 3.85 kWh (13,860 kJ) of heat per kilogram of RDF. The study also statistically verified the strong correlation between moisture content and heating value, identifying moisture content as a key factor influencing RDF combustion performance [77]. Another study employed Ansys Fluent software to simulate the combustion process of RDF under fuel-rich conditions, focusing on the influence of the equivalence ratio (ER) on syngas composition and heating value. The research found that the optimal syngas heating value was achieved when the ER ranged between 0.14 and 0.32. Under the condition of ER = 0.28, the heating values of syngas produced from the gasification of RDF-wood chips, RDF-municipal solid waste (MSW), and RDF-rice husk were 5.7 MJ/kg, 5.3 MJ/kg, and 5.1 MJ/kg, respectively. The average temperature deviation between the simulation results and experimental data was about 13%, demonstrating that this model can effectively predict the composition and heating value of syngas during RDF gasification [78]. Zeeshan et al. developed two thermodynamic equilibrium models—the Homogeneous Equilibrium Model (H-model) and the Combined Equilibrium Model (C-model)—for RDF from Surat City, India, to simulate the gasification process. The study found that the C-model provided more accurate predictions of gas composition, especially when considering methane formation reactions. Simulation results showed that the maximum higher heating value (HHV) of syngas could reach 25.27 MJ/kg with a cold gas efficiency of 91.23% under conditions of ER = 0.15 and a gasification temperature of 1500 K. The research also emphasized that the equivalence ratio had a more significant influence on gas composition than the gasification temperature [79].
The aforementioned studies demonstrate that simulation methods based on Aspen Plus, Ansys Fluent, and thermodynamic equilibrium models can effectively predict the energy output, gas composition, and pollutant emissions during RDF combustion and gasification. Future research could further integrate machine learning and multi-scale simulations to enhance the predictive accuracy and applicability of models for complex compositions and actual operating conditions.

6. Waste Management and Carbon Reduction Strategy

6.1. RDF’s Optimization and Restructuring of the Global Waste Management System

The accelerated pace of global urbanization and the upgrading of consumption patterns have led to a continuous surge in municipal solid waste (MSW) production. It is estimated that global MSW will reach 3.4 billion tons by 2050 [80]. Meanwhile, the cement industry, as an energy-intensive sector, faces a dual environmental challenge due to its fossil fuel consumption and carbon emissions [81]. RDF produced through the resource recovery of high-calorific-value components from MSW, demonstrates irreplaceable strategic value in addressing waste disposal pressures and carbon reduction needs in tandem. Its importance has been validated through practices in many regions worldwide.
RDF technology provides a synergistic solution for MSW management that advances “reduction, resource recovery, and harmless treatment,” breaking through the limitations of traditional landfill-dominated approaches. In terms of waste processing efficiency, RDF production enables the targeted separation of combustible components from MSW, significantly reducing the volume of waste sent to landfills. For example, an RDF plant in Indonesia processing 160 tons of MSW per day has cut landfill pressure in the region by 43% [80]. Research in Brasília, Brazil, shows that an RDF-oriented waste management scenario can reduce the MSW landfill rate from 70% in the baseline scenario to below 16%, freeing up approximately 45 hectares of landfill space annually [82]. This reduction not only alleviates pressure on land resources but also mitigates methane emissions and leachate pollution associated with landfilling [80].

6.2. The Dual Role of RDF in Climate Mitigation: Reducing Fossil Fuel Use and Landfill Emissions

Through substituting fossil fuels and optimizing waste disposal pathways, RDF achieves “dual carbon reduction,” establishing itself as a crucial technological pathway in global climate governance. In terms of direct emission reduction, the carbon emission intensity of the RDF combustion process is significantly lower than that of traditional fossil fuels like coal and fuel oil, and the carbon cycle of its biomass components exhibits carbon neutrality characteristics. Life Cycle Assessment (LCA) results from Iran show that when RDF containing biomass is used in cement production, the Global Warming Potential (GWP) is 1.11012 kg CO2-eq/kg clinker, representing reductions of 11.3% compared to hard coal and 1.7% compared to fuel oil [82]. In a Vancouver case study, substituting 1 ton of RDF can replace 647–792 kg of hard coal and reduce emissions by 3.8–4.8 tons of CO2-eq, with the emission reduction efficiency in the 2020 scenario increasing by 26.3% compared to 2015 [81]. Regarding indirect emission reduction, RDF avoids methane generated from landfilling MSW as well as carbon emissions from fossil fuel extraction and processing. Research in Brasília, Brazil, indicates that scenarios where RDF substitutes for coke can reduce GHG emissions by 2–23%, with over 40% of this total reduction attributed solely to avoided landfill methane emissions [83].
In summary, through its triple function of waste resource recovery—fossil fuel substitution—multi-pollutant synergistic control, RDF has become a core link connecting waste management and carbon reduction. RDF can not only efficiently alleviate MSW disposal pressure but also provide a low-cost, low-emission energy solution for energy-intensive industries. Its importance in global sustainable development strategies will continue to grow alongside the advancement of “dual carbon” goals and the deepening of the circular economy concept.

7. Conclusions

In summary, refuse-derived fuel (RDF) represents a promising technological pathway for converting heterogeneous municipal solid waste into a standardized, high-calorific, and easily transportable fuel, offering a viable solution for urban waste management and energy recovery. This paper systematically reviews the preparation processes, thermochemical conversion characteristics, high-efficiency combustion and utilization technologies of RDF, and discusses its role in the context of circular economy and low-carbon transition. The production of RDF involves mechanical sorting, optical separation, magnetic sorting, and other pretreatment processes that effectively remove non-combustible and hazardous components, thereby enhancing fuel homogeneity and energy density. Pelletization and briquetting further improve its physical properties, facilitating storage and transportation. In terms of thermochemical conversion, the pyrolysis and combustion behaviors of RDF exhibit multi-stage characteristics, encompassing moisture release, devolatilization and cracking, and fixed carbon combustion. Catalytic pyrolysis, through the introduction of catalysts such as zeolites and red mud, enables directional regulation and upgrading of the products. Combustion kinetics studies indicate that models such as the Arrhenius equation and model-free isoconversional methods like Flynn–Wall–Ozawa are applicable for describing RDF combustion processes, providing a theoretical basis for reactor design and process optimization. Regarding high-efficiency utilization technologies, RDF can be co-fired with coal, biomass, and other fuels in industrial boilers, cement kilns, and fluidized bed systems, demonstrating good compatibility and retrofit flexibility. Advanced systems such as supercritical and ultra-supercritical combustion, oxy-fuel combustion, and chemical looping combustion further enhance energy conversion efficiency and reduce emissions. The application of numerical simulation tools, such as Aspen Plus and ANSYS Fluent, provides an effective means for multi-scale modeling and performance prediction of RDF combustion and gasification processes. However, the large-scale adoption of RDF still faces several challenges, including high variability in feedstock composition, release of pollutants such as chlorine and sulfur, migration of heavy metals, ash handling issues, relatively high investment costs, and the lack of globally unified quality standards. In the future, the integration of artificial intelligence, machine vision, and robotic sorting technologies can be employed to achieve refined and automated processing in RDF production, thereby improving fuel consistency and processing efficiency. Furthermore, it is essential to establish a sound quality grading and certification system for RDF, improve market mechanisms such as carbon emission trading and green power certification, and foster a policy environment conducive to the development of the RDF industry. Overcome the technological and regulatory challenges that hinder the large-scale adoption of RDF through these measures. In conclusion, through continuous technological innovation, system optimization, and policy support, RDF has the potential to evolve from a supplementary fuel into an integral component of sustainable urban metabolism and the circular economy, providing substantial support for addressing climate change, ensuring energy security, and achieving global sustainable development goals.

Funding

The authors wish to express their sincere appreciation for the financial support pro- vided by multiple funding agencies, including the National Natural Science Foundation of China (No. 52400230); the China Postdoctoral Science Foundation (2023M733217); the Henan Province Key R&D and Promotion Special Program for Scientific and Technological Problem Solving (242102321109); the Henan Provincial Young Backbone Teacher Training Program (2025ZDGGJS004); the Henan Youth Talent Support Initiative (2025HYTP086); and the Zhengzhou University Project on Curriculum Ideology and Politics Education and Teaching Reform (2025ZZUKCSZ083).

Data Availability Statement

All the data has already been presented in the paper.

Conflicts of Interest

Authors Hao Jiao, Xijin Cao, Zhiliang Zhang, Yingxu Liu, Di Wang, Ka Li were employed by the company Zhongyuan Environmental Protection Co., Ltd. The remaining authors declare that the research was conducted in the absence of any commercial or financial relationships that could be construed as a potential conflict of interest.

References

  1. Debrah, J.K.; Teye, G.K.; Dinis, M.A.P. Barriers and challenges to waste management hindering the circular economy in Sub-Saharan Africa. Urban Sci. 2022, 6, 57. [Google Scholar] [CrossRef]
  2. Blair, J.; Mataraarachchi, S. A review of landfills, waste and the nearly forgotten nexus with climate change. Environments 2021, 8, 73. [Google Scholar] [CrossRef]
  3. Li, T.; Li, W.; Lou, Z.; Wang, L. Comprehensive Analysis of Industrial Solid-Waste-to-Energy by Refuse-Derived Fuel Technology: A Case Study in Shanghai. Sustainability 2024, 16, 4234. [Google Scholar] [CrossRef]
  4. Rahayu, S.; Wahyuni, S.; Mista, E. Sustainable Development of Refuse-Derived Fuel (RDF) for Alternative Fuel Use in Cement Factories. IOP Conf. Ser. Earth Environ. Sci. 2025, 1482, 012056. [Google Scholar] [CrossRef]
  5. EN 15359; Solid Recovered Fuels—Specifications and Classes. European Committee for Standardization (CEN): Brussels, Belgium, 2011.
  6. Ting, Z.J.; Meng, X.; Yang, Z.; Jiskani, S.A.; Hu, L.; Dong, W.; Zhao, M. Solid Recovered Fuel (SRF): A Comprehensive Review of Its Origins, Production, and Industrial Utilization. Energy Fuels 2025, 39, 9726–9761. [Google Scholar] [CrossRef]
  7. Kaza, S.; Yao, L.; Bhada-Tata, P.; Woerden, F. What a Waste 2.0: A Global Snapshot of Solid Waste Management to 2050; World Bank: Washington, DC, USA, 2018. [Google Scholar]
  8. Gallardo, A.; Carlos, M.; Bovea, M.; Colomer, F.J.; Albarrán, F. Analysis of refuse-derived fuel from the municipal solid waste reject fraction and its compliance with quality standards. J. Clean. Prod. 2014, 83, 118–125. [Google Scholar] [CrossRef]
  9. Phyu, Z.Y.; Phongphiphat, A.; Muttaraid, A.; Wangyao, K.; Towprayoon, S. Flows of plastic, energy, and carbon in a mechanical treatment plant for refuse-derived fuel production from landfill-mined waste. J. Clean. Prod. 2024, 452, 142065. [Google Scholar] [CrossRef]
  10. Galavote, T.; Chaves, G.d.L.D.; Yamane, L.H.; Siman, R.R. Municipal solid waste management instruments that influence the use of the refuse as fuel in developing countries: A critical review. Waste Manag. Res. 2025, 43, 160–180. [Google Scholar] [CrossRef] [PubMed]
  11. Sarquah, K.; Narra, S.; Beck, G.; Bassey, U.; Antwi, E.; Hartmann, M.; Derkyi, N.S.A.; Awafo, E.A.; Nelles, M. Characterization of municipal solid waste and assessment of its potential for refuse-derived fuel (RDF) valorization. Energies 2022, 16, 200. [Google Scholar] [CrossRef]
  12. Tiburcio, R.S.; Junior, M.M.; de Campos Leite, J.T.; Yamaji, F.M.; Neto, A.M.P. Physicochemical and thermophysical characterization of rejected waste and evaluation of their use as refuse-derived fuel. Fuel 2021, 293, 120359. [Google Scholar] [CrossRef]
  13. Teixeira, N. Circular Economy Perspectives: Challenges, Innovations, and Sustainable Futures. In Discover Sustainability; Springer Nature: London, UK, 2025. [Google Scholar]
  14. Nguyen-Thi, T.X.; Bui, T.M.T.; Bui, V.G. Simulation and experimental study of refuse-derived fuel gasification in an updraft gasifier. Int. J. Renew. Energy Dev. 2023, 12, 601. [Google Scholar] [CrossRef]
  15. Pawlak-Kruczek, H.; Arora, A.; Gupta, A.; Saeed, M.A.; Niedzwiecki, L.; Andrews, G.; Phylaktou, H.; Gibbs, B.; Newlaczyl, A.; Livesey, P.M. Biocoal-Quality control and assurance. Biomass Bioenergy 2020, 135, 105509. [Google Scholar] [CrossRef]
  16. Li, R.; Huang, Q.; Xia, H.; Zhao, H.; Liu, F.; Zhang, S. Insight into mechanisms behind complex reactions by high-dimensional vectorized dynamic analysis. Fuel 2024, 377, 132785. [Google Scholar] [CrossRef]
  17. Cai, J.; Zhu, L.; Yang, J.; Guo, M.; Fang, M.; Yao, S. Synergistic co-steam gasification of biomass and refuse-derived fuel: A path to enhanced gasification performance. Environ. Technol. Innov. 2024, 36, 103745. [Google Scholar] [CrossRef]
  18. Wilts, H.; Garcia, B.R.; Garlito, R.G.; Gómez, L.S.; Prieto, E.G. Artificial Intelligence in the Sorting of Municipal Waste as an Enabler of the Circular Economy. Resources 2021, 10, 28. [Google Scholar] [CrossRef]
  19. Wang, C.; Zhang, W.; Qiu, X.; Xu, C. Hydrothermal treatment of lignocellulosic biomass towards low-carbon development: Production of high-value-added bioproducts. EnergyChem 2024, 6, 100133. [Google Scholar] [CrossRef]
  20. Arena, U. Process and technological aspects of municipal solid waste gasification. A review. Waste Manag. 2012, 32, 625–639. [Google Scholar] [CrossRef]
  21. Sarquah, K.; Narra, S.; Beck, G.; Derkyi, N.S.A.; Awafo, E.; Hartmann, M.; Nelles, M. Evaluating opportunities of refuse derived fuel for energy-based industrial symbiosis towards a circular economy-A case study. J. Environ. Manag. 2025, 380, 125126. [Google Scholar] [CrossRef] [PubMed]
  22. Santos, S.M.; Nobre, C.; Brito, P.; Gonçalves, M. Brief overview of refuse-derived fuel production and energetic valorization: Applied technology and main challenges. Sustainability 2023, 15, 10342. [Google Scholar] [CrossRef]
  23. Ruj, B.; Pandey, V.; Jash, P.; Srivastava, V.K. Sorting of plastic waste for effective recycling. Int. J. Appl. Sci. Eng. Res. 2015, 4, 564–571. [Google Scholar]
  24. Procházka, R.; Valíček, J.; Harničárová, M.; Kušnerová, M.; Tozan, H.; Borzan, C.; Kadnár, M.; Palková, Z.; Gálik, R.; Slamová, K. Collection of plastic packaging of various types: Sorting of fractions of plastic waste using both automated and manual modes. IEEE Access 2024, 12, 44244–44261. [Google Scholar] [CrossRef]
  25. Woon, K.S.; Phuang, Z.X.; Lin, Z.; Lee, C.T. A novel food waste management framework combining optical sorting system and anaerobic digestion: A case study in Malaysia. Energy 2021, 232, 121094. [Google Scholar] [CrossRef]
  26. Back, S.; Ueda, K.; Sakanakura, H. Determination of metal-abundant high-density particles in municipal solid waste incineration bottom ash by a series of processes: Sieving, magnetic separation, air table sorting, and milling. Waste Manag. 2020, 112, 11–19. [Google Scholar] [CrossRef]
  27. Borowski, G. An overview of particle agglomeration techniques to waste utilization. J. Ecol. Eng. 2021, 22, 263–271. [Google Scholar] [CrossRef] [PubMed]
  28. Shanmugam, S. Granulation techniques and technologies: Recent progresses. Bioimpacts BI 2015, 5, 55–63. [Google Scholar] [CrossRef] [PubMed]
  29. Zhylina, M.; Shishkin, A.; Miroshnichenko, D.; Sterna, V.; Ozolins, J.; Ansone-Bertina, L.; Klavins, M.; Goel, G.; Goel, S. Granulation and pyrolysis of agricultural residues for an enhanced circular economy. Results Eng. 2025, 26, 104919. [Google Scholar] [CrossRef]
  30. Xie, X.; Wu, W.; Fu, J.; Di, L.; Bu, C.; Xu, G.; Meng, J.; Piao, G.; Wang, X. Effect of granulation on chlorine-release behavior during municipal solid waste incineration. RSC Adv. 2023, 13, 24854–24864. [Google Scholar] [CrossRef]
  31. Purohit, P.; Tripathi, A.K.; Kandpal, T.C. Energetics of coal substitution by briquettes of agricultural residues. Energy 2006, 31, 1321–1331. [Google Scholar] [CrossRef]
  32. Tumuluru, J.S.; Yancey, N.A.; Kane, J.J. Pilot-scale grinding and briquetting studies on variable moisture content municipal solid waste bales–Impact on physical properties, chemical composition, and calorific value. Waste Manag. 2021, 125, 316–327. [Google Scholar] [CrossRef]
  33. Bhatt, M.; Chakinala, A.G.; Joshi, J.B.; Sharma, A.; Pant, K.; Shah, K.; Sharma, A. Valorization of solid waste using advanced thermo-chemical process: A review. J. Environ. Chem. Eng. 2021, 9, 105434. [Google Scholar] [CrossRef]
  34. Li, X.; Li, S.; Lv, Y.; Jiang, W.; He, C.; Hou, S.; Ma, W.; Dan, J. Study on thermal behavior and gas pollutant emission control during the co-combustion of rice straw-modified oily sludge and coal. Renew. Energy 2024, 230, 120857. [Google Scholar] [CrossRef]
  35. Xu, J.; Sun, T.; Qian, K.; Guo, Y.; Gao, Y.; Yang, H.; Zhu, Y. Catalytic pyrolysis of refuse-derived fuel (RDF) to aromatic-rich oils: Insights into Fe-modified zeolites regeneration characteristics and iron species evolution. J. Environ. Chem. Eng. 2025, 13, 118311. [Google Scholar] [CrossRef]
  36. Zhang, Q.; Zhang, D.; Sun, Z.; Wang, F.; Zhang, J.; Ma, R.; Yi, W. The impact of various catalysts on pyrolysis bio-oil characteristics and catalyst coking behavior of corn stover. Energy Sources Part A Recovery Util. Environ. Eff. 2023, 45, 12666–12679. [Google Scholar]
  37. Kothari, N.; Bhagia, S.; Pu, Y.; Yoo, C.G.; Li, M.; Venketachalam, S.; Pattathil, S.; Kumar, R.; Cai, C.M.; Hahn, M.G. The effect of switchgrass plant cell wall properties on its deconstruction by thermochemical pretreatments coupled with fungal enzymatic hydrolysis or Clostridium thermocellum consolidated bioprocessing. Green. Chem. 2020, 22, 7924–7945. [Google Scholar] [CrossRef]
  38. Demirbas, A.; Arin, G.N. An Overview of Biomass Pyrolysis. Energy Sources 2002, 24, 471–482. [Google Scholar] [CrossRef]
  39. Gomez-Rico, M.F.; Font, R.; Fullana, A.; Martin-Gullon, I. Thermogravimetric study of different sewage sludges and their relationship with the nitrogen content. J. Anal. Appl. Pyrolysis 2005, 74, 421–428. [Google Scholar] [CrossRef]
  40. Zaini, I.N.; Wen, Y.; Mousa, E.; Jönsson, P.G.; Yang, W. Primary fragmentation behavior of refuse derived fuel pellets during rapid pyrolysis. Fuel Process. Technol. 2021, 216, 106796. [Google Scholar] [CrossRef]
  41. He, X.; Li, G.; Mo, W.; Yuan, J.; Wei, X.; Wu, Y. Investigation on the composition and extraction mechanism of the soluble species from oily sludge by solvent extraction. ACS Omega 2023, 8, 18472–18478. [Google Scholar] [CrossRef]
  42. Singh, R.K.; Patil, T.; Pandey, D.; Sawarkar, A.N. Pyrolysis of mustard oil residue: A kinetic and thermodynamic study. Bioresour. Technol. 2021, 339, 125631. [Google Scholar] [CrossRef]
  43. Kristanto, J.; Azis, M.; Purwono, S. Multi-distribution activation energy model on slow pyrolysis of cellulose and lignin in TGA/DSC. Heliyon 2021, 7, e07669. [Google Scholar] [CrossRef]
  44. Zinoveev, D.; Pasechnik, L.; Fedotov, M.; Dyubanov, V.; Grudinsky, P.; Alpatov, A. Extraction of valuable elements from red mud with a focus on using liquid media—A review. Recycling 2021, 6, 38. [Google Scholar] [CrossRef]
  45. Alfè, M.; Gargiulo, V.; Porto, M.; Migliaccio, R.; Le Pera, A.; Sellaro, M.; Pellegrino, C.; Abe, A.A.; Urciuolo, M.; Caputo, P. Pyrolysis and gasification of a real refuse-derived fuel (RDF): The potential use of the products under a circular economy vision. Molecules 2022, 27, 8114. [Google Scholar] [CrossRef]
  46. Porshnov, D.; Ozols, V.; Ansone-Bertina, L.; Burlakovs, J.; Klavins, M. Thermal decomposition study of major refuse derived fuel components. Energy Procedia 2018, 147, 48–53. [Google Scholar] [CrossRef]
  47. Sezer, S.; Özveren, U. Investigation of Hazelnut Husk Combustion by using A Novel Non-linear Kinetic Model through Thermogravimetric Analysis. Sak. Univ. J. Sci. 2021, 25, 326–338. [Google Scholar] [CrossRef]
  48. Li, D.; Zhao, N.; Feng, Y.; Xie, Z. Thermogravimetric analysis of coal semi-char co-firing with straw in O2/CO2 mixtures. Processes 2021, 9, 1421. [Google Scholar] [CrossRef]
  49. Qi, R.; Xu, Z.; Zhou, Y.; Zhang, D.; Sun, Z.; Chen, W.; Xiong, M. Clean solid fuel produced from cotton textiles waste through hydrothermal carbonization with FeCl3: Upgrading the fuel quality and combustion characteristics. Energy 2021, 214, 118926. [Google Scholar] [CrossRef]
  50. Mao, R.; Shao, J.; Wang, G.; Wang, F.; Wang, C. Thermal behavior and kinetics analysis of co-combustion of petroleum coke and paper sludge-derived hydrochar. Waste Manag. 2022, 153, 405–414. [Google Scholar] [CrossRef]
  51. Yang, J.; Li, Z.; Wei, R.; Zhou, D.; Long, H.; Li, J.; Xu, C. Co-Combustion of Food Solid Wastes and Pulverized Coal for Blast Furnace Injection: Characteristics, Kinetics, and Superiority. Sustainability 2022, 14, 7156. [Google Scholar] [CrossRef]
  52. Azam, M.; Jahromy, S.S.; Raza, W.; Jordan, C.; Harasek, M.; Winter, F. Comparison of the combustion characteristics and kinetic study of coal, municipal solid waste, and refuse-derived fuel: Model-fitting methods. Energy Sci. Eng. 2019, 7, 2646–2657. [Google Scholar] [CrossRef]
  53. Azam, M.; Ashraf, A.; Jahromy, S.S.; Raza, W.; Khalid, H.; Raza, N.; Winter, F. Isoconversional nonisothermal kinetic analysis of municipal solid waste, refuse-derived fuel, and coal. Energy Sci. Eng. 2020, 8, 3728–3739. [Google Scholar] [CrossRef]
  54. Castells, B.; Amez, I.; Manić, N.G.; Stojiljković, D.D.; Medić, L.; Garcia-Torrent, J. Kinetic study of different biomass pyrolysis and oxygen-enriched combustion. Therm. Sci. 2022, 26, 4131–4145. [Google Scholar] [CrossRef]
  55. Hu, B.; Gu, Z.; Su, J.; Li, Z. Pyrolytic characteristics and kinetics of Guanzhong wheat straw and its components for high-value products. Bioresources 2021, 16, 1958. [Google Scholar] [CrossRef]
  56. Goitom, S.K.; Papp, M.; Kovács, M.; Nagy, T.; Zsély, I.G.; Turányi, T.; Pál, L. Efficient numerical methods for the optimisation of large kinetic reaction mechanisms. Combust. Theory Model. 2022, 26, 1071–1097. [Google Scholar] [CrossRef]
  57. Yang, W.; Pudasainee, D.; Gupta, R.; Li, W.; Wang, B.; Sun, L. Particulate matter emission during MSW/RDF/WW combustion: Inorganic minerals distribution, transformation and agglomeration. Fuel Process. Technol. 2022, 228, 107166. [Google Scholar] [CrossRef]
  58. Guo, Y.; Guo, F.; Zhou, L.; Guo, Z.; Miao, Z.; Liu, H.; Zhang, X.; Wu, J.; Zhang, Y. Investigation on co-combustion of coal gasification fine slag residual carbon and sawdust char blends: Physiochemical properties, combustion characteristic and kinetic behavior. Fuel 2021, 292, 120387. [Google Scholar] [CrossRef]
  59. Wang, Y.; Yan, B.; Wang, Y.; Zhang, J.; Chen, X.; Bastiaans, R.J. A comparison of combustion properties in biomass–coal blends using characteristic and kinetic analyses. Int. J. Environ. Res. Public Health 2021, 18, 12980. [Google Scholar] [CrossRef]
  60. Tripathi, P.; Rao, L. Single particle and packed bed combustion characteristics of high ash and high plastic content refuse derived fuel. Fuel 2022, 308, 121983. [Google Scholar] [CrossRef]
  61. Glushkov, D.; Matiushenko, A.; Nurpeiis, A.; Zhuikov, A. An experimental investigation into the fuel oil-free start-up of a coal-fired boiler by the main solid fossil fuel with additives of brown coal, biomass and charcoal for ignition enhancement. Fuel Process. Technol. 2021, 223, 106986. [Google Scholar] [CrossRef]
  62. Seo, S.B.; Kim, H.W.; Kang, S.Y.; Go, E.S.; Keel, S.I.; Lee, S.H. Techno-economic comparison between air-fired and oxy-fuel circulating fluidized bed power plants with ultra-supercritical cycle. Energy 2021, 233, 121217. [Google Scholar] [CrossRef]
  63. Tramošljika, B.; Blecich, P.; Bonefačić, I.; Glažar, V. Advanced ultra-supercritical coal-fired power plant with post-combustion carbon capture: Analysis of electricity penalty and CO2 emission reduction. Sustainability 2021, 13, 801. [Google Scholar] [CrossRef]
  64. Mohamed, O.; Khalil, A.; Wang, J. Modeling and control of supercritical and ultra-supercritical power plants: A review. Energies 2020, 13, 2935. [Google Scholar] [CrossRef]
  65. Bhiogade, D.S. Ultra supercritical thermal power plant material advancements: A review. J. Alloys Metall. Syst. 2023, 3, 100024. [Google Scholar] [CrossRef]
  66. Pu, Y.; Wang, H.; Wang, X.; Lim, M.; Yao, B.; Yang, H.; Lou, C. Experimental study of the influence of synergistic effects on the co-firing characteristics of biomass and coal. J. Energy Inst. 2024, 115, 101687. [Google Scholar] [CrossRef]
  67. Liu, L.; Memon, M.Z.; Xie, Y.; Gao, S.; Guo, Y.; Dong, J.; Gao, Y.; Li, A.; Ji, G. Recent advances of research in coal and biomass co-firing for electricity and heat generation. Circ. Econ. 2023, 2, 100063. [Google Scholar] [CrossRef]
  68. Stričík, M.; Kuhnová, L.; Variny, M.; Szaryszová, P.; Kršák, B.; Štrba, Ľ. An Opportunity for Coal Thermal Power Plants Facing Phase-Out: Case of the Power Plant Vojany (Slovakia). Energies 2024, 17, 585. [Google Scholar] [CrossRef]
  69. Ibitoye, S.E.; Loha, C.; Mahamood, R.M.; Jen, T.-C.; Alam, M.; Sarkar, I.; Das, P.; Akinlabi, E.T. An overview of biochar production techniques and application in iron and steel industries. Bioresour. Bioprocess. 2024, 11, 65. [Google Scholar] [CrossRef]
  70. Maj, I.; Niesporek, K.; Płaza, P.; Maier, J.; Łój, P. Biomass Ash: A Review of Chemical Compositions and Management Trends. Sustainability 2025, 17, 4925. [Google Scholar] [CrossRef]
  71. Li, L.; Liu, G.; Li, Y.; Zhu, Z.; Xu, H.; Chen, J.; Ren, X. Release of sulfur and nitrogen during co-pyrolysis of coal and biomass under inert atmosphere. ACS Omega 2020, 5, 30001–30010. [Google Scholar] [CrossRef]
  72. Zhao, J.; Zhang, Z.; Li, B.; Wei, X. Formation and growth behavior analysis of slagging rings in rotary kiln-type hazardous waste incineration systems. Energies 2021, 14, 7561. [Google Scholar] [CrossRef]
  73. ASTM E766-14; Standard Practice for Calibrating the Magnification of a Scanning Electron Microscope. ASTM: West Conshohocken, PA, USA, 2019.
  74. Liu, X.; Duan, L.; Zhou, Z.; Zhou, M. NO/SO2/HCl emissions from solid waste combustion via oxygen-carrier-aided combustion in rotary kiln. Fuel 2024, 357, 129902. [Google Scholar] [CrossRef]
  75. Makwana, J.; Dhass, A.; Ramana, P.; Sapariya, D.; Patel, D. An analysis of waste/biomass gasification producing hydrogen-rich syngas: A review. Int. J. Thermofluids 2023, 20, 100492. [Google Scholar] [CrossRef]
  76. Greco-Coppi, M.; Hofmann, C.; Walter, D.; Ströhle, J.; Epple, B. Negative CO2 emissions in the lime production using an indirectly heated carbonate looping process. Mitig. Adapt. Strateg. Glob. Change 2023, 28, 30. [Google Scholar] [CrossRef]
  77. Brożek, P.; Złoczowska, E.; Staude, M.; Baszak, K.; Sosnowski, M.; Bryll, K. Study of the combustion process for two refuse-derived fuel (RDF) streams using statistical methods and heat recovery simulation. Energies 2022, 15, 9560. [Google Scholar] [CrossRef]
  78. Van Ga Bui, A.V.V.; Ho, T.N.A.; Do, P.N.; Phung, M.T. Simulation and Experiment Study of Refuse Derived Fuel (RDF) Combustion in Atmospheric Conditions. GMSARN Int. J. 2026, 20, 229–236. [Google Scholar]
  79. Zeeshan, M.; Pande, R.R.; Bhale, P.V. A modeling study for the gasification of refuse-derived fuel as an alternative to waste disposal. Environ. Dev. Sustain. 2024, 26, 23985–24008. [Google Scholar] [CrossRef]
  80. Zahir, B.H.M.; Nurcahyo, R.; Wibowo, A.D. Economic assessment of refuse-derived fuel (rdf) production as waste management strategy and alternative fuel in cement kilns. J. Law Sustain. Dev. 2024, 12, e3220. [Google Scholar] [CrossRef]
  81. Reza, B.; Soltani, A.; Ruparathna, R.; Sadiq, R.; Hewage, K. Environmental and economic aspects of production and utilization of RDF as alternative fuel in cement plants: A case study of Metro Vancouver Waste Management. Resour. Conserv. Recycl. 2013, 81, 105–114. [Google Scholar] [CrossRef]
  82. Salaripoor, H.; Yousefi, H.; Abdoos, M. Life cycle environmental assessment of Refuse-Derived Fuel (RDF) as an alternative to fossil fuels in cement production: A sustainable approach for mitigating carbon emissions. Fuel Commun. 2025, 22, 100135. [Google Scholar] [CrossRef]
  83. Silva, V.; Contreras, F.; Bortoleto, A.P. Life-cycle assessment of municipal solid waste management options: A case study of refuse derived fuel production in the city of Brasilia, Brazil. J. Clean. Prod. 2021, 279, 123696. [Google Scholar] [CrossRef]
Figure 1. Global waste composition income wise and Global waste composition [7].
Figure 1. Global waste composition income wise and Global waste composition [7].
Energies 19 00751 g001
Figure 2. (a) MSW as received at MRFs [11]. (b) residual fractions after MRF processing ([11]). (c) average per-unit composition of RDF from literature [12]. (d) average composition of RDF produced from RFs in this study [11].
Figure 2. (a) MSW as received at MRFs [11]. (b) residual fractions after MRF processing ([11]). (c) average per-unit composition of RDF from literature [12]. (d) average composition of RDF produced from RFs in this study [11].
Energies 19 00751 g002
Figure 3. Article collection and research framework.
Figure 3. Article collection and research framework.
Energies 19 00751 g003
Figure 4. (a) Composition of Energy Consumption; (b) Composition of production activities; (c) Composition of the Use of Furnace-Type Equipment [21].
Figure 4. (a) Composition of Energy Consumption; (b) Composition of production activities; (c) Composition of the Use of Furnace-Type Equipment [21].
Energies 19 00751 g004
Figure 5. RDF energy recovery scheme [22].
Figure 5. RDF energy recovery scheme [22].
Energies 19 00751 g005
Figure 6. The preparation process of RDF [33].
Figure 6. The preparation process of RDF [33].
Energies 19 00751 g006
Figure 7. Evolution of Syngas Flow Rate from the Pyrolysis of Different RDF Pellets (500–700 °C) [40].
Figure 7. Evolution of Syngas Flow Rate from the Pyrolysis of Different RDF Pellets (500–700 °C) [40].
Energies 19 00751 g007
Figure 8. Mass and particle size distribution of RDF-derived chars as a function of pyrolysis temperature at (a) 500 °C, (b) 600 °C, and (c) 700 °C [40].
Figure 8. Mass and particle size distribution of RDF-derived chars as a function of pyrolysis temperature at (a) 500 °C, (b) 600 °C, and (c) 700 °C [40].
Energies 19 00751 g008
Figure 9. Evolution of gas release during pyrolysis at 550, 650, and 750 °C [45].
Figure 9. Evolution of gas release during pyrolysis at 550, 650, and 750 °C [45].
Energies 19 00751 g009
Figure 10. PM10 mass-based size distribution and yield during MSW, RDF, and wood waste combustion [57].
Figure 10. PM10 mass-based size distribution and yield during MSW, RDF, and wood waste combustion [57].
Energies 19 00751 g010
Figure 11. Coal-fired SCPP schematic view [64].
Figure 11. Coal-fired SCPP schematic view [64].
Energies 19 00751 g011
Figure 12. Presented are the SEM micrographs and EDS analysis of slagging samples collected from the second half of the rotary kiln, corresponding to (a) the surface in contact with the refractory and (b) the surface in contact with high-temperature materials, respectively [72].
Figure 12. Presented are the SEM micrographs and EDS analysis of slagging samples collected from the second half of the rotary kiln, corresponding to (a) the surface in contact with the refractory and (b) the surface in contact with high-temperature materials, respectively [72].
Energies 19 00751 g012
Table 1. Types of thermochemical conversion technologies [20].
Table 1. Types of thermochemical conversion technologies [20].
Gasification Technology TypeDescription of Working PrincipleApplicable Scenarios and Waste TypesCharacteristics of Gasification Reaction Zones
Fixed Bed Gasifiers (Updraft/Downdraft)Counter-current or co-current flow of gas and solids; capable of high-temperature slag melting.High-moisture waste, RDF, municipal solid waste (MSW)Distinct layered reaction zones
Fluidized Bed Gasifiers (BFB/CFB)Excellent gas–solid mixing, high heat and mass transfer efficiency; can be coupled with a melting furnace.RDF, biomass, industrial wasteIntense gas–solid mixing with a uniform reaction zone
Entrained Flow GasifiersHigh-temperature, high-pressure operation; slurry feeding; rapid gasification.Coal, refinery residues, plastic wasteHigh temperature and pressure, suitable for fine particles, with rapid reaction rates
Rotary Kiln GasifiersRotating kiln that transports waste; often used in two-stage processes.Industrial waste, RDF, municipal solid wasteSuitable for various waste types; reactions occur during rotation
Moving Grate GasifiersMechanical grate pushes waste forward; process divided into gasification and oxidation stages.Untreated municipal solid wasteSuitable for municipal solid waste (MSW) and RDF
Plasma GasifiersPlasma torch creates very high temperatures (1500–5000 °C); organics are gasified, inorganics vitrified.Complex waste, hazardous waste, RDFExtremely high temperatures (up to 15,000 °C), suitable for hard-to-treat waste, ensuring complete reaction
Table 2. Impact of different gasifying agents on syngas quality [20].
Table 2. Impact of different gasifying agents on syngas quality [20].
Gasifying Agent TypeSyngas CharacteristicsHeating Value RangeRemarks
AirContains a large amount of nitrogen (≈60%), low heating value4–7 MJ/Nm3Suitable for conventional boilers or new-generation gas turbines (requires cooling and purification)
Oxygen-enriched air (O2 21–50%)Reduced nitrogen content, higher heating valueBetween air and pure oxygen gasificationCan operate at higher temperatures without costly pure oxygen
Pure oxygenAlmost nitrogen-free, higher heating value10–15 MJ/Nm3Suitable for large-scale systems (>100 kt/y), high investment and operating costs
SteamHigh hydrogen concentration, nitrogen-free15–20 MJ/Nm3Requires an external heat source, suitable for hydrogen production or chemical synthesis
PlasmaHigh heating value, low tar content, vitreous slag formationDepends on process configurationExtremely high temperature (1500–5000 °C), highly adaptable but with high electricity consumption
Table 3. Different types of pyrolysis [22].
Table 3. Different types of pyrolysis [22].
Pyrolysis TypeTemperature RangeHeating RateResidence Time
Slow Pyrolysis (Torrefaction)≤900 °C0.1–1 °C/s300–3600 s
Fast Pyrolysis850–1250 °C10–200 °C/s0.5–10 s
Flash Pyrolysis1050–1300 °C>1000 °C/s<0.5 s
Pyrolysis TypeTemperature RangeHeating RateResidence Time
Table 4. Main operating parameters of pyrolysis [22].
Table 4. Main operating parameters of pyrolysis [22].
ParameterDescription
Temperature300–900 °C. Different temperature ranges correspond to degradation of different components:
  • Biomass: 220–430 °C
  • Plastic: 430–520 °C
  • Carbonates: >650 °C
Heating RateAffects product distribution:
  • Slow pyrolysis (torrefaction): 0.1–1 °C/s
  • Fast pyrolysis: 10–200 °C/s
  • Flash pyrolysis: >1000 °C/s
Residence TimeRanges from a few seconds to several hours, influencing the proportion of char, oil, and gas.
AtmosphereTypically inert gases (e.g., N2, Ar) or oxygen-deficient conditions.
Table 5. Main parameters and meanings of the Arrhenius model [52].
Table 5. Main parameters and meanings of the Arrhenius model [52].
Parameter SymbolParameter NameUnitsMeaning
E Activation energykJ/molThe minimum energy required for the reaction to occur; indicates the difficulty of the reaction.
A Pre-exponential factorDepends on reaction typeReflects the frequency or collision probability of the reaction.
n Reaction orderDimensionlessDescribes the kinetic order of the reaction mechanism.
α Fractional conversionDimensionlessThe proportion of mass that has reacted relative to the total reactive mass.
β Heating rate°C/min or K/minThe rate of temperature increase during the experiment.
R Universal gas constant8.314 J/mol·KIdeal gas constant.
Table 6. Main parameters and meanings of the FWO model [53].
Table 6. Main parameters and meanings of the FWO model [53].
ParameterSymbolMeaningUnit
Heating Rate β i The heating rate used in the experiment°C/min
Pre-exponential Factor A α Frequency factor related to the reaction mechanismmin−1
Activation Energy E α Apparent activation energy at conversion degree α kJ/mol
Gas Constant R Universal gas constant8.314 J/(mol·K)
Integral Reaction Model g ( α ) Integral form of the reaction model, which is a function of conversion α Dimensionless
Corresponding Temperature T α , i Temperature corresponding to conversion α at different heating ratesK
Table 7. Main operating parameters [65].
Table 7. Main operating parameters [65].
Parameter TypeSupercritical (SC)Ultra-Supercritical (USC)Advanced Ultra-Supercritical (A-USC/700 °C+)
Steam Temperature600–650 °C600–650 °C (Current)Target: 700–760 °C (e.g., 760 °C in some projects)
Steam Pressure240 kg/cm2260–310 kg/cm2Target: up to 350 kg/cm2 (e.g., US DOE/OCDO project)
Cycle Efficiency (LHV)46–47%50%Target: >50% (some demos reach 47.5%)
CO2 Reduction20% lower than subcritical30% lower than subcriticalExpected further reduction (value not specified)
Key MaterialsFerritic/Martensitic Steels (e.g., P91, P92)Austenitic Steels (e.g., TP347H, Super 304H)Nickel-based Alloys (e.g., Inconel 740H, Haynes 282)
Table 8. Reactor configuration [65].
Table 8. Reactor configuration [65].
ComponentDesign Features and Material Requirements
FurnaceSpiral wall or vertical wall (with rifled tubes) design for uniform heat absorption and reduced tube metal temperature differential.
Superheater (SH) and Reheater (RH)Use of austenitic steels or nickel-based alloys requiring high creep strength, steam-side oxidation, and fireside corrosion resistance.
Water WallPrimarily ferritic/martensitic steels (e.g., T91, T92). Weld overlay cladding with high-Cr alloys may be used in corrosive zones.
Main Steam Pipes and HeadersThick-section components require high creep strength materials (e.g., P92, P122, or nickel-based alloys).
TurbineHigh-temperature components (rotors, blades) use nickel-based alloys (e.g., Haynes 282) or high-Cr martensitic steels.
Table 9. Technology Readiness Level (TRL) [65].
Table 9. Technology Readiness Level (TRL) [65].
Country/RegionProject/InitiativeTRL StageKey Progress
Japan700 °C A-USC Project (Launched 2008)TRL 7–8 (Demonstration)Multiple USC plants operational; new alloys like HR6W developed.
ChinaNational R&D Project for 700 °C USC Power Generation Tech (2011)TRL 6–7 (System Prototype)Material testing ongoing; alloys like GH2984 under evaluation.
IndiaNational Mission for Advanced USC Technology Development (2012)TRL 5–6 (Technology Validation)Material R&D in progress; 800 MWe demonstration plant planned.
USADOE/OCDO A-USC Consortium ProjectTRL 6–7 (Demonstration Prep)Target: 760 °C/350 bar; materials like Inconel 740H approved by ASME.
Europe700 °C Coal-Fired Power Plant InitiativeTRL 6–7 (Partial Demo)Experience with Alloy 617; some demonstration units in operation.
Disclaimer/Publisher’s Note: The statements, opinions and data contained in all publications are solely those of the individual author(s) and contributor(s) and not of MDPI and/or the editor(s). MDPI and/or the editor(s) disclaim responsibility for any injury to people or property resulting from any ideas, methods, instructions or products referred to in the content.

Share and Cite

MDPI and ACS Style

Jiao, H.; Li, J.; Cao, X.; Zhang, Z.; Liu, Y.; Wang, D.; Li, K.; Zhang, W.; Gong, L. Refuse-Derived Fuel (RDF) for Low-Carbon Waste-to-Energy: Advances in Preparation Technologies, Thermochemical Behavior, and High-Efficiency Combustion Systems. Energies 2026, 19, 751. https://doi.org/10.3390/en19030751

AMA Style

Jiao H, Li J, Cao X, Zhang Z, Liu Y, Wang D, Li K, Zhang W, Gong L. Refuse-Derived Fuel (RDF) for Low-Carbon Waste-to-Energy: Advances in Preparation Technologies, Thermochemical Behavior, and High-Efficiency Combustion Systems. Energies. 2026; 19(3):751. https://doi.org/10.3390/en19030751

Chicago/Turabian Style

Jiao, Hao, Jingzhe Li, Xijin Cao, Zhiliang Zhang, Yingxu Liu, Di Wang, Ka Li, Wei Zhang, and Lin Gong. 2026. "Refuse-Derived Fuel (RDF) for Low-Carbon Waste-to-Energy: Advances in Preparation Technologies, Thermochemical Behavior, and High-Efficiency Combustion Systems" Energies 19, no. 3: 751. https://doi.org/10.3390/en19030751

APA Style

Jiao, H., Li, J., Cao, X., Zhang, Z., Liu, Y., Wang, D., Li, K., Zhang, W., & Gong, L. (2026). Refuse-Derived Fuel (RDF) for Low-Carbon Waste-to-Energy: Advances in Preparation Technologies, Thermochemical Behavior, and High-Efficiency Combustion Systems. Energies, 19(3), 751. https://doi.org/10.3390/en19030751

Note that from the first issue of 2016, this journal uses article numbers instead of page numbers. See further details here.

Article Metrics

Back to TopTop