The Urban Heat Island Under Climate Change: Analysis of Representative Urban Blocks in Northwestern Italy
Abstract
1. Introduction
1.1. Background Analysis and Literature Review
1.2. Aim of the Research
- Incorporating local microclimatic conditions (UHI) into urban forms;
- Integrating urban morphology into archetype-based models;
- Coupling climate change projections with urban forms in climate datasets.
2. Methodology
2.1. Overview of the CRiStAll Project
- Developing urban climate models that incorporate short-, medium-, and long-term climate change projections (future weather data) as well as micro-scale UHI effects (A);
- Implementing an archetype-based UBEM using representative urban context configurations (B);
- Evaluating the impact of climate-resilient and UHI-mitigating strategies in urban environments (C).
- (A–B) The micro-scale urban climate model is developed by considering the morphology, surface materials, and building geometries of the representative urban configurations;
- (B–C) The UBEM, built on building archetypes within these typical contexts, is enhanced by integrating climate-resilient and UHI mitigation strategies;
- (C–A) The effects of these strategies are considered in the urban climate model.
- (1)
- Identification of representative urban archetypes using geometrical metrics;
- (2)
- Generation of current and future weather data incorporating UHI effects for each urban archetype;
- (3)
- Definition of key performance indicators (KPIs);
- (4)
- UBEM development and assessment of KPIs for each urban archetype and microclimate condition.
2.2. Geometrical Representativeness and Urban Archetypes
2.3. Current and Future Weather Data Incorporating UHI Effects
2.4. Key Performance Indicators
| Quantity | Symbol | Unit | Ref. |
|---|---|---|---|
| Energy Performance | |||
| Energy need for space heating per unit conditioned floor area | EPH;nd | kWh·m−2 | [51,52] |
| Energy need for space cooling per unit conditioned floor area | EPC;nd | kWh·m−2 | [51,52] |
| Peak heating load per unit conditioned floor area | ΦH;ld | W·m−2 | [51,52] |
| Peak cooling load per unit conditioned floor area | ΦC;ld | W·m−2 | [51,52] |
| Indoor Thermal Comfort | |||
| Weighted Warm Hours of Discomfort | WHDw | h | [48,53] |
| Indoor Overheating Degree | IOD | °C | [50] |
| Overheating Escalation Factor | αIOD | - | [50] |
| Climate | |||
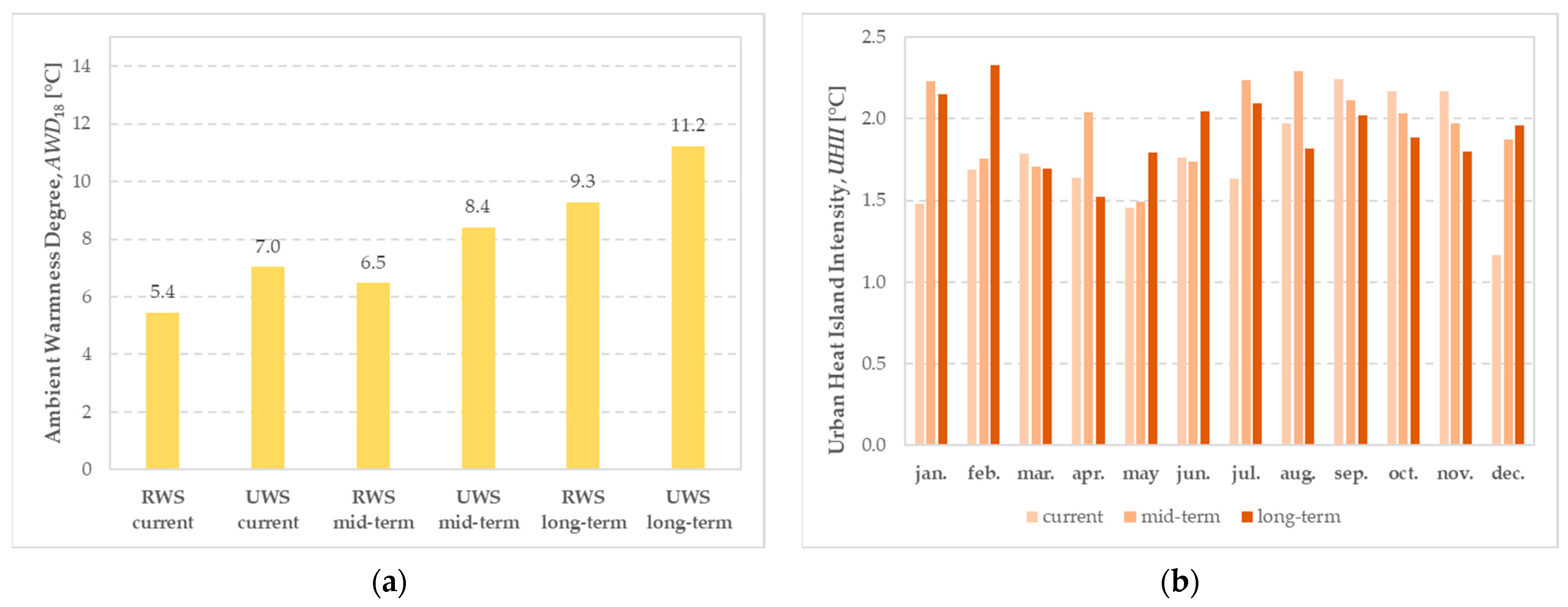
| Ambient Warmness Degree | AWD | °C | [50] |
| Heating Degree Days | HDD | °C·d | [54] |
| Cooling Degree Days | CDD | °C·d | [54] |
| Urban Heat Island Intensity | UHII | °C | [55] |
3. Application
3.1. Analysis of Urban Metrics and Satellite Images for Turin
3.2. Urban Archetypes
3.3. Current and Future Weather Data for the Urban Archetypes
4. Results and Discussion
4.1. Climate-Related KPIs Assessment
| Scenarios | ΔHDD18 [°C·d] | ΔCDD18 [°C·d] | ΔAWD18 [°C] | ΔHDD18 [-] | ΔCDD18 [-] | ΔAWD18 [-] |
|---|---|---|---|---|---|---|
| Mid-term—current | −160 | +225 | +1.4 | −9.2% | +27.6% | +19.7% |
| Long-term—current | −586 | +714 | +4.2 | −33.9% | +87.7% | +59.7% |
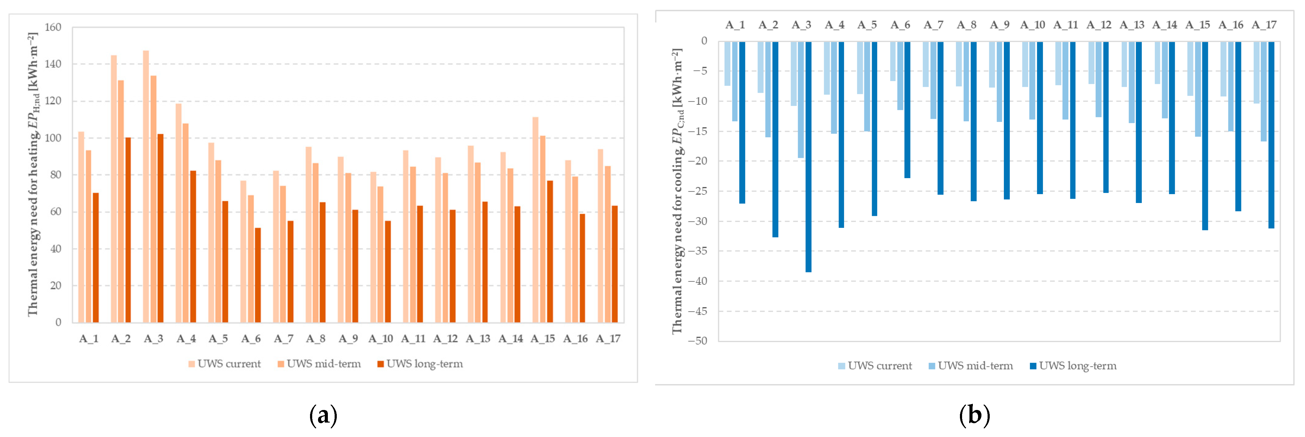
4.2. KPIs Assessment of Urban Block A
4.3. KPIs Assessment of the Urban Archetypes
5. Conclusions
Author Contributions
Funding
Data Availability Statement
Conflicts of Interest
Nomenclature
| Quantities | |
| A | Area (m2) |
| ABD | Average building distance (m) |
| ABH | Average building height (m) |
| AWD | Ambient warmness degree (°C) |
| CDD | Cooling degree days (°C·d) |
| EP | Energy performance (kWh·m−2) |
| FAR | Floor area ratio (-) |
| GR | Green ratio (-) |
| HDD | Heating degree days (°C·d) |
| IOD | Indoor overheating degree (°C) |
| LST | Land surface temperature (°C) |
| REC | Relative compactness (-) |
| SC | Surface coverage (-) |
| SF | Shape factor (m−1) |
| SVF | Sky view factor (-) |
| U | Thermal transmittance (W·m−2·K−1) |
| UHII | Urban heat island intensity (°C) |
| V | Volume (m3) |
| VAR | Volume to area ratio (m) |
| VtH | Vertical to horizontal ratio (-) |
| WDH | Weighted hours of discomfort (h) |
| WWR | Window-to-wall ratio (-) |
| Greek symbols | |
| α | Overheating escalation factor (-) |
| θ | Temperature (°C) |
| Φ | Areic heat load (W·m−2) |
| Subscripts | |
| a | Air |
| avg | Average |
| C | Cooling |
| e | External, outdoor |
| env | Envelope |
| fl | Floor |
| H | Heating |
| ld | Load |
| m | Monthly |
| nd | Need |
| op | Opaque (envelope) |
| w | Warm |
| wi | Window |
| Acronyms | |
| IPCC | Intergovernmental Panel on Climate Change |
| KPI | Key performance indicator |
| LoD | Level of Detail |
| RWS | Rural weather station |
| TMY | Typical meteorological year |
| UBEM | Urban building energy model/modeling |
| UBL | Urban boundary layer |
| UCL | Urban canopy layer |
| UHI | Urban heat island |
| UWG | Urban weather generator |
| UWS | Urban weather station |
| WMO | World Meteorological Organization |
References
- Department of Economic and Social Affairs, Population Division. World Urbanization Prospects: The 2018 Revision; United Nations: New York, NY, USA, 2019. [Google Scholar]
- United Nations. The Sustainable Development Goals Report 2022; Lois Jensen: New York, NY, USA, 2019. [Google Scholar]
- Salvati, A.; Kolokotroni, M. Urban Microclimate and Climate Change Impact on the Thermal Performance and Ventilation of Multi-Family Residential Buildings. Energy Build. 2023, 294, 113224. [Google Scholar] [CrossRef]
- Ma, R.; Ren, B.; Zhao, D.; Chen, J.; Lu, Y. Modeling Urban Energy Dynamics under Clustered Urban Heat Island Effect with Local-Weather Extended Distributed Adjacency Blocks. Sustain. Cities Soc. 2020, 56, 102099. [Google Scholar] [CrossRef]
- World Meteorological Organization. Guidance on Measuring, Modelling and Monitoring the Canopy Layer Urban Heat Island (CL-UHI); World Meteorological Organization (WMO): Geneva, Switzerland, 2023; p. 101. [Google Scholar]
- Oke, T.R. The Energetic Basis of the Urban Heat Island. Q. J. R. Meteorol. Soc. 1982, 108, 1–24. [Google Scholar] [CrossRef]
- Battista, G.; Evangelisti, L.; Guattari, C.; Roncone, M.; Balaras, C.A. Space-Time Estimation of the Urban Heat Island in Rome (Italy): Overall Assessment and Effects on the Energy Performance of Buildings. Build. Environ. 2023, 228, 109878. [Google Scholar] [CrossRef]
- De Cristo, E.; Evangelisti, L.; Battista, G.; Guattari, C.; De Lieto Vollaro, R.; Asdrubali, F. Annual Comparison of the Atmospheric Urban Heat Island in Rome (Italy): An Assessment in Space and Time. Buildings 2023, 13, 2792. [Google Scholar] [CrossRef]
- Boccalatte, A.; Fossa, M.; Gaillard, L.; Menezo, C. Microclimate and Urban Morphology Effects on Building Energy Demand in Different European Cities. Energy Build. 2020, 224, 110129. [Google Scholar] [CrossRef]
- Ni, X.; Chang, Y.; Bai, T.; Liu, P.; Song, H.; Wang, F.; Jin, M. Projections of Urban Heat Island Effects Under Future Climate Scenarios: A Case Study in Zhengzhou, China. Remote Sens. 2025, 17, 2660. [Google Scholar] [CrossRef]
- Arnfield, A.J. Two Decades of Urban Climate Research: A Review of Turbulence, Exchanges of Energy and Water, and the Urban Heat Island. Int. J. Climatol. 2003, 23, 1–26. [Google Scholar] [CrossRef]
- Mosteiro-Romero, M.; Schlueter, A. Effects of Occupants and Local Air Temperatures as Sources of Stochastic Uncertainty in District Energy System Modeling. Energies 2021, 14, 2295. [Google Scholar] [CrossRef]
- Kamal, A.; Abidi, S.M.H.; Mahfouz, A.; Kadam, S.; Rahman, A.; Hassan, I.G.; Wang, L.L. Impact of Urban Morphology on Urban Microclimate and Building Energy Loads. Energy Build. 2021, 253, 111499. [Google Scholar] [CrossRef]
- Reinhart, C.F.; Cerezo Davila, C. Urban Building Energy Modeling—A Review of a Nascent Field. Build. Environ. 2016, 97, 196–202. [Google Scholar] [CrossRef]
- Borges, P.; Travesset-Baro, O.; Pages-Ramon, A. Hybrid Approach to Representative Building Archetypes Development for Urban Models—A Case Study in Andorra. Build. Environ. 2022, 215, 108958. [Google Scholar] [CrossRef]
- Ferrando, M.; Causone, F.; Banfi, A.; Corrado, V.; Ballarini, I.; Piro, M.; Zarrella, A.; Carnieletto, L.; Borgato, N.; Evola, G.; et al. Developing an Italian Library of Reference Buildings for Urban Building Energy Modeling (UBEM): Lessons Learnt from the URBEM Project. Energies 2025, 18, 6026. [Google Scholar] [CrossRef]
- Monteiro, C.S.; Pina, A.; Cerezo, C.; Reinhart, C.; Ferrão, P. The Use of Multi-Detail Building Archetypes in Urban Energy Modelling. Energy Procedia 2017, 111, 817–825. [Google Scholar] [CrossRef]
- Johari, F.; Shadram, F.; Widén, J. Urban Building Energy Modeling from Geo-Referenced Energy Performance Certificate Data: Development, Calibration, and Validation. Sustain. Cities Soc. 2023, 96, 104664. [Google Scholar] [CrossRef]
- Cerezo, C.; Sokol, J.; AlKhaled, S.; Reinhart, C.; Al-Mumin, A.; Hajiah, A. Comparison of Four Building Archetype Characterization Methods in Urban Building Energy Modeling (UBEM): A Residential Case Study in Kuwait City. Energy Build. 2017, 154, 321–334. [Google Scholar] [CrossRef]
- Nakano, A.; Bueno, B.; Norford, L.; Reinhart, C. Urban Weather Generator—A Novel Workflow for Integrating Urban Heat Island Effect Within Urban Design Process. In Proceedings of the Building Simulation 2015: 14th Conference of IBPSA; IBPSA: Hyderabad, India, 2015; Volume 14, pp. 1901–1908. [Google Scholar]
- Toparlar, Y.; Blocken, B.; Maiheu, B.; Van Heijst, G.J.F. A Review on the CFD Analysis of Urban Microclimate. Renew. Sustain. Energy Rev. 2017, 80, 1613–1640. [Google Scholar] [CrossRef]
- Mochida, A.; Murakami, S.; Ojima, T.; Kim, S.; Ooka, R.; Sugiyama, H. CFD Analysis of Mesoscale Climate in the Greater Tokyo Area. J. Wind Eng. Ind. Aerodyn. 1997, 67–68, 459–477. [Google Scholar] [CrossRef]
- Palme, M.; Inostroza, L.; Villacreses, G.; Lobato-Cordero, A.; Carrasco, C. From Urban Climate to Energy Consumption. Enhancing Building Performance Simulation by Including the Urban Heat Island Effect. Energy Build. 2017, 145, 107–120. [Google Scholar] [CrossRef]
- Salvati, A.; Palme, M.; Chiesa, G.; Kolokotroni, M. Built Form, Urban Climate and Building Energy Modelling: Case-Studies in Rome and Antofagasta. J. Build. Perform. Simul. 2020, 13, 209–225. [Google Scholar] [CrossRef]
- Li, X.; Zhou, Y.; Yu, S.; Jia, G.; Li, H.; Li, W. Urban Heat Island Impacts on Building Energy Consumption: A Review of Approaches and Findings. Energy 2019, 174, 407–419. [Google Scholar] [CrossRef]
- Shen, P.; Wang, M.; Liu, J.; Ji, Y. Hourly Air Temperature Projection in Future Urban Area by Coupling Climate Change and Urban Heat Island Effect. Energy Build. 2023, 279, 112676. [Google Scholar] [CrossRef]
- Shen, P.; Ji, Y.; Li, Y.; Wang, M.; Cui, X.; Tong, H. Combined Impact of Climate Change and Urban Heat Island on Building Energy Use in Three Megacities in China. Energy Build. 2025, 331, 115386. [Google Scholar] [CrossRef]
- Hashemi, F.; Najafian, P.; Salahi, N.; Ghiasi, S.; Passe, U. The Impact of the Urban Heat Island and Future Climate on Urban Building Energy Use in a Midwestern U.S. Neighborhood. Energies 2025, 18, 1474. [Google Scholar] [CrossRef]
- Jalali, Z.; Shamseldin, A.Y.; Ghaffarianhoseini, A. Urban Microclimate Impacts on Residential Building Energy Demand in Auckland, New Zealand: A Climate Change Perspective. Urban Clim. 2024, 53, 101808. [Google Scholar] [CrossRef]
- Keppas, S.C.; Papadogiannaki, S.; Parliari, D.; Kontos, S.; Poupkou, A.; Tzoumaka, P.; Kelessis, A.; Zanis, P.; Casasanta, G.; de’Donato, F.; et al. Future Climate Change Impact on Urban Heat Island in Two Mediterranean Cities Based on High-Resolution Regional Climate Simulations. Atmosphere 2021, 12, 884. [Google Scholar] [CrossRef]
- Lu, H.; Gaur, A.; Lacasse, M. Climate Data for Building Simulations with Urban Heat Island Effects and Nature-Based Solutions. Sci. Data 2024, 11, 731. [Google Scholar] [CrossRef]
- Eyring, V.; Bony, S.; Meehl, G.A.; Senior, C.A.; Stevens, B.; Stouffer, R.J.; Taylor, K.E. Overview of the Coupled Model Intercomparison Project Phase 6 (CMIP6) Experimental Design and Organization. Geosci. Model Dev. 2016, 9, 1937–1958. [Google Scholar] [CrossRef]
- CRiStAll. Homepage. Available online: https://www.cristall.polito.it (accessed on 16 December 2025).
- Borelli, G.; Ballarini, I.; Corrado, V.; Gasparella, A.; Pernigotto, G. Assessment and Mapping of the Urban Heat Island Effect: A Preliminary Analysis on the Impact on Urban Morphology for the City of Turin, Italy. In Proceedings of the Building Simulation Applications BSA 2024: 6th IBPSA-Italy Conference; Bozen-Bolzano University Press: Bozen-Bolzano, Italy, 2024; pp. 525–531. [Google Scholar]
- Joshi, M.Y.; Rodler, A.; Musy, M.; Guernouti, S.; Cools, M.; Teller, J. Identifying Urban Morphological Archetypes for Microclimate Studies Using a Clustering Approach. Build. Environ. 2022, 224, 109574. [Google Scholar] [CrossRef]
- Javanroodi, K.; Perera, A.T.D.; Hong, T.; Nik, V.M. Designing Climate Resilient Energy Systems in Complex Urban Areas Considering Urban Morphology: A Technical Review. Adv. Appl. Energy 2023, 12, 100155. [Google Scholar] [CrossRef]
- Bueno, B.; Norford, L.; Hidalgo, J.; Pigeon, G. The Urban Weather Generator. J. Build. Perform. Simul. 2013, 6, 269–281. [Google Scholar] [CrossRef]
- Weng, Q.; Lu, D.; Schubring, J. Estimation of Land Surface Temperature–Vegetation Abundance Relationship for Urban Heat Island Studies. Remote Sens. Environ. 2004, 89, 467–483. [Google Scholar] [CrossRef]
- Weng, Q. Thermal Infrared Remote Sensing for Urban Climate and Environmental Studies: Methods, Applications, and Trends. ISPRS J. Photogramm. Remote Sens. 2009, 64, 335–344. [Google Scholar] [CrossRef]
- Zhou, D.; Xiao, J.; Bonafoni, S.; Berger, C.; Deilami, K.; Zhou, Y.; Frolking, S.; Yao, R.; Qiao, Z.; Sobrino, J.A. Satellite Remote Sensing of Surface Urban Heat Islands: Progress, Challenges, and Perspectives. Remote Sens. 2018, 11, 48. [Google Scholar] [CrossRef]
- Deilami, K.; Kamruzzaman, M.; Liu, Y. Urban Heat Island Effect: A Systematic Review of Spatio-Temporal Factors, Data, Methods, and Mitigation Measures. Int. J. Appl. Earth Obs. Geoinf. 2018, 67, 30–42. [Google Scholar] [CrossRef]
- Goldblatt, R.; Addas, A.; Crull, D.; Maghrabi, A.; Levin, G.G.; Rubinyi, S. Remotely Sensed Derived Land Surface Temperature (LST) as a Proxy for Air Temperature and Thermal Comfort at a Small Geographical Scale. Land 2021, 10, 410. [Google Scholar] [CrossRef]
- Li, L.; Zha, Y.; Wang, R. Relationship of Surface Urban Heat Island with Air Temperature and Precipitation in Global Large Cities. Ecol. Indic. 2020, 117, 106683. [Google Scholar] [CrossRef]
- ECOSTRESS. Homepage. Available online: https://ecostress.jpl.nasa.gov/ (accessed on 10 October 2025).
- Machard, A.; Salvati, A.; Tootkaboni, M.P.; Gaur, A.; Zou, J.; Wang, L.L.; Baba, F.; Ge, H.; Bre, F.; Bozonnet, E.; et al. Typical and Extreme Weather Datasets for Studying the Resilience of Buildings to Climate Change and Heatwaves. Sci. Data 2024, 11, 531. [Google Scholar] [CrossRef]
- Reinhart, C.; Dogan, T.; Jakubiec, A.; Rakha, T.; Sang, A. Umi—An Urban Simulation Environment for Building Energy Use, Daylighting and Walkability. In Proceedings of the Building Simulation 2013: 13th Conference of IBPSA, Chambéry, France, 25–28 August 2013; Volume 13, pp. 476–483. [Google Scholar]
- Dogan, T.; Reinhart, C. Shoeboxer: An Algorithm for Abstracted Rapid Multi-Zone Urban Building Energy Model Generation and Simulation. Energy Build. 2017, 140, 140–153. [Google Scholar] [CrossRef]
- EN ISO 7730; Ergonomics of the Thermal Environment. Analytical Determination and Interpretation of Thermal Comfort Using Calculation of the PMV and PPD Indices and Local Thermal Comfort Criteria. European Committee for Standardization (CEN): Brussels, Belgium, 2006.
- EN 16798-1; Energy Performance of Buildings. Ventilation for Buildings Indoor Environmental Input Parameters for Design and Assessment of Energy Performance of Buildings Addressing Indoor Air Quality, Thermal Environment, Lighting and Acoustics. Module M1-6. European Committee for Standardization (CEN): Brussels, Belgium, 2019.
- Hamdy, M.; Carlucci, S.; Hoes, P.-J.; Hensen, J.L.M. The Impact of Climate Change on the Overheating Risk in Dwellings—A Dutch Case Study. Build. Environ. 2017, 122, 307–323. [Google Scholar] [CrossRef]
- EN ISO 52000-1; Energy Performance of Buildings. Overarching EPB Assessment. Part 1: General Framework and Procedures. European Committee for Standardization (CEN): Brussels, Belgium, 2017.
- EN ISO 52016-1; Energy Performance of Buildings. Energy Needs for Heating and Cooling, Internal Temperatures and Sensible and Latent Heat Loads Calculation Procedures. European Committee for Standardization (CEN): Brussels, Belgium, 2017.
- CEN/TR 16798-2; Energy Performance of Buildings. Ventilation for Buildings Interpretation of the Requirements in EN 16798-1. Indoor Environmental Input Parameters for Design and Assessment of Energy Performance of Buildings Addressing Indoor Air Quality, Thermal Environment, Lighting and Acoustics (Module M1-6). European Committee for Standardization (CEN): Brussels, Belgium, 2019.
- EN ISO 15927-6; Hygrothermal Performance of Buildings. Calculation and Presentation of Climatic Data Accumulated Temperature Differences (Degree Days). European Committee for Standardization (CEN): Brussels, Belgium, 2008.
- Oke, T.R. City Size and the Urban Heat Island. Atmos. Environ. 1973, 7, 769–779. [Google Scholar] [CrossRef]
- Ballarini, I.; Piro, M.; Corrado, V.; Pernigotto, G.; Borelli, G.; Gasparella, A. A Methodology for the Assessment of the Urban Heat Island Effect by Exploiting the Urban Archetype Approach. In Proceedings of the 15th REHVA HVAC World Congress—CLIMA 2025; Lecture Notes in Civil Engineering; Zilio, C., Busato, F., Mazzarella, L., Noro, M., Eds.; Springer Nature Switzerland: Cham, Switzerland, 2026; Volume 763, pp. 1179–1191. [Google Scholar]
- OpenStreetMap. Homepage. Available online: https://www.openstreetmap.org (accessed on 18 December 2025).
- Geoportal of the Metropolitan City of Turin. Homepage. Available online: http://geoportale.comune.torino.it/web/ (accessed on 10 October 2025).
- Robinson, D.; Haldi, F.; Kämpf, J.; Leroux, P.; Perez, D.; Rasheed, A.; Wilke, U. CitySim: Comprehensive Micro-Simulation of Resource Flows for Sustainable Urban Planning. In Proceedings of the International Building Performance Simulation Association Conference (IBPSA 2009); IBPSA: Glasgow, Scotland, 2009; Volume 11, pp. 1083–1090. [Google Scholar]
- Ballarini, I.; Piro, M.; Tootkaboni, P.M. Procedures and Services to Undertake Large-Scale Statistical Analysis of EPCs Databases. Transversal Deployment Scenario 5. TIMEPAC Deliverable 2.5. Available online: https://timepac.eu/reports/procedures-and-services-to-undertake-large-scale-statistical-analysis-of-epcs-databases/ (accessed on 10 October 2025).
- UNI EN 16798-1:2019/NA:2025; Italian National Annex of the EN 16798-1. Italian Organisation for Stardardisation (UNI): Milan, Italy, 2025.
- ARPA Piemonte. Homepage. Available online: https://www.arpa.piemonte.it/ (accessed on 10 October 2025).
- UNI 10349-3; Riscaldamento e Raffrescamento degli Edifici. Dati Climatici. Differenze di Temperatura Cumulate (Gradi Giorno) ed altri Indici Sintetici. Italian Organisation for Stardardisation (UNI): Milan, Italy, 2016. (In Italian)










| Metric | Formula | Description of Inputs |
|---|---|---|
| Floor Area Ratio (FAR) | Ai: floor area of each i-th building in the block Ablock: area of the block m: number of floors for each i building | |
| Volume Area Ratio (VAR) | Vi: volume of each i-th building in the block Ablock: area of the block | |
| Relative Compactness (REC) | Vi: volume of each i-th building in the block Ai,frontal: area of the facades facing the streets of each i-th building n: number of buildings in the block | |
| Shape Factor (SF) | Ablock: area of the block rmin bounding: radius of the minimum circle enclosing the block | |
| Surface Coverage (SC) | Ai: footprint area of each i-th building in the block Ablock: area of the block | |
| Green Ratio (GR) | Aveg: green surface (trees, grass, etc.) in the block Ablock: area of the block | |
| Average Building Height (ABH) | hi: height of each i-th building in the block n: number of buildings in the block | |
| Sky View Factor (SVF) | - | Calculated with a QGIS plugin |
| Average Building Distance (ABD) | dij: distance between i-th-building and j-th-building in the block n: number of buildings in the block | |
| Vertical to Horizontal (VtH) | Avert: vertical surfaces of the buildings Ablock: area of the block |
| FAR | 1 | |||||||||
| VAR | 0.85 | 1 | ||||||||
| REC | −0.40 | −0.51 | 1 | |||||||
| SF | 0.06 | 0.06 | −0.02 | 1 | ||||||
| SC | 0.54 | 0.61 | 0.01 | 0.06 | 1 | |||||
| GR | −0.27 | −0.30 | 0.13 | −0.04 | −0.37 | 1 | ||||
| ABH | 0.60 | 0.73 | −0.71 | 0.06 | 0.08 | −0.10 | 1 | |||
| SVF | −0.26 | −0.29 | 0.32 | −0.10 | −0.17 | 0.20 | −0.25 | 1 | ||
| ABD | −0.16 | −0.13 | 0.22 | −0.21 | −0.03 | 0.50 | −0.08 | 0.27 | 1 | |
| VtH | 0.63 | 0.64 | −0.53 | 0.24 | 0.19 | −0.34 | 0.61 | −0.34 | −0.59 | 1 |
| FAR | VAR | REC | SF | SC | GR | ABH | SVF | ABD | VtH |
| Parameter | Unit | Urban Block | ||
|---|---|---|---|---|
| A | B | C | ||
| No. of assessed buildings | - | 17 | 8 | 9 |
| Surface Coverage, SC | - | 0.322 | 0.388 | 0.323 |
| Average Building Height, ABH | m | 18.8 | 20.5 | 17.4 |
| Compactness Ratio (median), Aenv·V−1 | m−1 | 0.300 | 0.251 | 0.316 |
| Green Ratio, GR | - | 0.00 | 0.00 | 0.07 |
| Bldg. Code | Constr. Period | Afl [m2] | Aenv [m2] | V [m3] | WWR [-] | Aenv·V−1 [m−1] | Uop [W·m−2·K−1] | Uwi [W·m−2·K−1] |
|---|---|---|---|---|---|---|---|---|
| A_1 | 1921–45 | 524 | 648 | 1917 | 14% | 0.338 | 1.45 | 3.09 |
| A_2 | 776 | 1357 | 2654 | 0.511 | 1.42 | |||
| A_3 | 371 | 671 | 1508 | 0.445 | 1.47 | |||
| A_4 | 748 | 1045 | 2860 | 0.365 | 1.47 | |||
| A_5 | 639 | 743 | 2364 | 0.314 | 1.46 | |||
| A_6 | 13,200 | 11,126 | 45,540 | 0.244 | 1.43 | |||
| A_7 | 1387 | 1315 | 5086 | 0.258 | 1.46 | |||
| A_8 | 877 | 954 | 3244 | 0.294 | 1.47 | |||
| A_9 | 849 | 880 | 2943 | 0.299 | 1.45 | |||
| A_10 | 980 | 949 | 3409 | 0.278 | 1.48 | |||
| A_11 | 875 | 937 | 3227 | 0.290 | 1.47 | |||
| A_12 | 689 | 707 | 2480 | 0.285 | 1.48 | |||
| A_13 | 775 | 868 | 2964 | 0.293 | 1.49 | |||
| A_14 | 665 | 713 | 2380 | 0.300 | 1.47 | |||
| A_15 | 351 | 480 | 1321 | 0.363 | 1.51 | |||
| A_16 | 1946–60 | 587 | 661 | 2085 | 13% | 0.317 | 1.28 | 3.12 |
| A_17 | 1401 | 1680 | 5044 | 0.333 | 1.27 |
| Scenarios | ΔEPH;nd [kWh·m−2] | ΔEPC;nd [kWh·m−2] | ΔEPH;nd [-] | ΔEPC;nd [-] |
|---|---|---|---|---|
| Urban block A | ||||
| Mid-term—current | −8.6 | +5.5 | −9.8% | +74.3% |
| Long-term—current | −28.3 | +18.0 | −32.4% | +243.2% |
| Urban block B | ||||
| Mid-term—current | −7.8 | +5.5 | −9.9% | +71.4% |
| Long-term—current | −25.8 | +17.6 | −32.7% | +228.6% |
| Urban block C | ||||
| Mid-term—current | −8.8 | +6.2 | −9.6% | +63.9% |
| Long-term—current | −29.3 | +20.1 | −32.0% | +207.2% |
Disclaimer/Publisher’s Note: The statements, opinions and data contained in all publications are solely those of the individual author(s) and contributor(s) and not of MDPI and/or the editor(s). MDPI and/or the editor(s) disclaim responsibility for any injury to people or property resulting from any ideas, methods, instructions or products referred to in the content. |
© 2026 by the authors. Licensee MDPI, Basel, Switzerland. This article is an open access article distributed under the terms and conditions of the Creative Commons Attribution (CC BY) license.
Share and Cite
Piro, M.; Ballarini, I.; P. Tootkaboni, M.; Corrado, V.; Pernigotto, G.; Borelli, G.; Gasparella, A. The Urban Heat Island Under Climate Change: Analysis of Representative Urban Blocks in Northwestern Italy. Energies 2026, 19, 660. https://doi.org/10.3390/en19030660
Piro M, Ballarini I, P. Tootkaboni M, Corrado V, Pernigotto G, Borelli G, Gasparella A. The Urban Heat Island Under Climate Change: Analysis of Representative Urban Blocks in Northwestern Italy. Energies. 2026; 19(3):660. https://doi.org/10.3390/en19030660
Chicago/Turabian StylePiro, Matteo, Ilaria Ballarini, Mamak P. Tootkaboni, Vincenzo Corrado, Giovanni Pernigotto, Gregorio Borelli, and Andrea Gasparella. 2026. "The Urban Heat Island Under Climate Change: Analysis of Representative Urban Blocks in Northwestern Italy" Energies 19, no. 3: 660. https://doi.org/10.3390/en19030660
APA StylePiro, M., Ballarini, I., P. Tootkaboni, M., Corrado, V., Pernigotto, G., Borelli, G., & Gasparella, A. (2026). The Urban Heat Island Under Climate Change: Analysis of Representative Urban Blocks in Northwestern Italy. Energies, 19(3), 660. https://doi.org/10.3390/en19030660

