Next Article in Journal
Energy and Thermal Comfort Performance of Integrated Retrofit Strategies for Apartment Residential Buildings in Mediterranean Climates
Previous Article in Journal
Adaptive Power Allocation Method for Hybrid Energy Storage in Distribution Networks with Renewable Energy Integration
 
 
Font Type:
Arial Georgia Verdana
Font Size:
Aa Aa Aa
Line Spacing:
Column Width:
Background:
Article

Study of the Cooling Performance of Electric Vehicle Motors Using a Centripetal-Inclined Oil Spray Cooling System

1
Dongfeng Nissan Passenger Vehicle Company Technical Center, Guangzhou 510812, China
2
Department of Vehicle Engineering, School of Mechanical Engineering, Zhongguancun Campus, Beijing Institute of Technology, Beijing 100081, China
*
Author to whom correspondence should be addressed.
Energies 2026, 19(3), 580; https://doi.org/10.3390/en19030580
Submission received: 11 December 2025 / Revised: 4 January 2026 / Accepted: 7 January 2026 / Published: 23 January 2026
(This article belongs to the Section E: Electric Vehicles)

Abstract

Efficient cooling systems are crucial for achieving high efficiency and power density in electric vehicle motors. To enhance motor cooling performance, a novel oil spray cooling system was developed, referred to as the centripetal-inclined oil spray (CIOS) cooling system. The CIOS cooling system features axial oil channels evenly distributed on the surface of the stator core, with each channel connected at both ends to stepped oil channels. This configuration allows for direct oil spraying towards the center at specific inclined angles without the need for additional components such as nozzles, oil spray rings, and oil spray tubes, which reduces costs, minimizes the risk of oil leakage, and enhances motor reliability. Electromagnetic and computational fluid dynamic simulations were conducted on the motor with the CIOS cooling system. The results indicated that the CIOS cooling system adversely impacted core losses and torque, while these effects were minimized after optimization, with losses increasing by up to 0.29% and torque decreasing by up to 0.45%. The CIOS cooling system achieved stable oil spraying, forming oil films on the end-winding with a maximum formation rate of 49.4% and an average thickness of 1.56 mm. Compared to the motor with oil spray rings, the motor with the CIOS cooling system exhibited lower temperatures across all components and more uniform cooling. Finally, the cooling performance of the CIOS cooling system was verified through experiments, and the results showed that the measured temperature closely matched the simulated results, with a maximum error of 5.9%. The findings in this study are expected to provide new insights for optimizing oil cooling systems in electric vehicle motors.

1. Introduction

The world is currently grappling with numerous challenges such as the fossil energy crisis, environmental pollution, and global warming. There is an urgent need for the development of green energy [1,2]. Compared with traditional fuel vehicles, electric vehicles offer advantages such as higher efficiency, stronger power, lower emissions, and independence from the types and reserves of specific energy sources. The electricity used by electric vehicles can be generated not only from traditional fossil fuels such as coal, oil, and natural gas but also from renewable energy sources such as hydro, wind, and solar power, enabling electric vehicles to achieve zero emissions [2,3]. Therefore, the promotion of electric vehicles as replacements for traditional fuel vehicles is of great significance for achieving decarbonization and sustainable development.
The electric motor, as the core component of an electric vehicle, is capable of converting electrical energy to mechanical energy and vice versa, thereby linking the battery source to the vehicle’s wheels. This enables the vehicle’s propulsion and energy recovery during braking [4]. To achieve high efficiency and high power density in electric motors, it is necessary to maximize power within limited space, which leads to a significant increase in heat generation. Furthermore, the trend towards miniaturization and integration of electric vehicle drive systems has resulted in more compact motor sizes, making heat dissipation more challenging. Excessive temperatures can lead to insulation aging and permanent magnet demagnetization, which can severely affect the performance and lifespan of electric motors [5,6]. Therefore, an efficient cooling system is indispensable for the continuous and stable operation of electric motors.
Generally, motor cooling methods can be divided into air cooling and liquid cooling based on the cooling medium [7]. Due to limited cooling efficiency, air cooling is more applicable to industrial motors rather than the high-power-density motors used in electric vehicles [8,9]. Liquid cooling, on the other hand, is one of the most efficient ways to cool electric motors and is widely used in the field of electric vehicles. Liquid cooling can be categorized into indirect liquid cooling and direct liquid cooling [7]. In indirect liquid cooling, cooling channels are arranged within the electric motor, allowing the coolant to flow through and exchange heat without directly contacting the heat-producing components. The most common approach involves jacket-like cooling channels arranged inside the motor casing, with research focusing on the design and optimization of these channels. Various structures, such as helical, half-helical, circumferential, zigzag, and axial cooling jackets, have been explored to reduce thermal resistance while optimizing flow rate and other parameters to achieve improved cooling performance [10,11,12]. Additionally, some studies have reported that arranging cooling channels inside the stator core or slots can further reduce thermal resistance and improve cooling efficiency [13,14,15]. However, despite bringing the coolant closer to the heat-producing components, high thermal resistance remains the major obstacle to enhancing the efficiency of indirect liquid cooling. For the winding, which is a significant source of temperature rise in electric motors, the heat transfer path for the end-winding is much longer than that of the slot winding, making it more challenging to dissipate heat [6,16,17]. As power density increases, indirect cooling becomes insufficient to meet the demands for efficient and stable operation of electric motors [18].
Typically, direct liquid cooling employs oil as the cooling medium. The non-conductive and non-magnetic properties of cooling oil allow it to be in direct contact with the heat-producing components of the electric motor, significantly enhancing heat dissipation efficiency. Huang et al. implemented direct cooling by creating oil channels between the motor casing and the stator core, reducing the average temperature of the stator by a factor of two compared to indirect cooling using channels within the motor casing [19]. Park et al. incorporated silicon plugs in the stator slots to form a closed area, allowing oil to flow directly through the slots and greatly improving cooling efficiency compared to water jacket and channel cooling methods [20]. Nollau et al. directed oil into the air gap, effectively cooling the slot area, rotor, and magnets, but this approach resulted in a sharp increase in churning losses, which adversely affected motor performance [21]. Some studies have enhanced heat transfer performance by completely or partially submerging the stator and rotor in oil [22,23], but this method also has the drawback of increased churning losses, limiting the potential increase in motor speed. Rocca et al. designed a semi-flooded machine with an oil sleeve between the stator and rotor chambers, achieving substantial temperature reduction by immersing the end-winding in oil while avoiding an increase in churning losses [24]. Similar results were reported by Li et al. [25]. However, installing oil sleeves in the air gap not only increases the air gap clearance but also poses risks of sleeve collapse and oil leakage, raising concerns about their practicality.
Oil spray cooling, in which oil is sprayed directly onto the end-winding via nozzles, oil spray tubes, or oil spray rings, is considered an effective method of direct cooling [7,26]. Davin et al. observed that dripping oil onto the end-winding enhances overall cooling performance, with the oil spray flow rate having a greater impact on heat transfer efficiency than the rotation speed [27]. Ha et al. compared the effects of different types of nozzles on oil flow and found that a dripping nozzle forms the thickest oil film on the end-winding, thus achieving the best cooling effect [28]. Garud et al. investigated the impact of spiral, full-cone, and hollow-cone nozzles on cooling performance and found that full-cone nozzles provided the lowest surface temperatures and highest heat transfer coefficients [29]. Kang et al. used oil spray tubes for cooling the stator core and end-winding, evaluating the effects of dripping hole diameter and flow rate on cooling performance [5]. Yang et al. employed an oil spray ring to cool the electric motor and found that increasing the flow rate of certain spray holes significantly enhanced cooling performance [30]. However, a common drawback of oil spray cooling is uneven cooling, which can result in unexpected hot spots that exceed the temperature limits of the material, leading to failures [31]. Additionally, there is a risk of leakage from oil spray components such as spray tubes and rings, resulting in insufficient flow and reduced cooling efficiency. Therefore, careful consideration of the design factors, such as the flow rate and the number of spray holes, is critical to achieving the desired cooling effect [31].
The objective of this paper is to design a novel oil cooling system that enables angled oil spray from the stator end, thereby cooling electric motors more effectively. Compared to traditional oil cooling methods, the proposed system eliminates the need for oil spray components such as nozzles, oil spray tubes, and oil spray rings. This reduction in components can lower costs, mitigate the risk of oil leakage, and enhance the reliability of the electric motor. The losses, flow field distribution, and temperature rise in the electric motor with the new oil cooling system are investigated through electromagnetic (EM) simulation and computational fluid dynamic (CFD) simulation. The results are compared with those obtained using traditional oil spray rings and are later verified by experimental tests. The findings of this paper provide new insights into the design of oil cooling systems, thereby offering guidance for the development of electric motor cooling systems that are more efficient, reliable, and cost-effective.

2. Oil Cooling System Design

Compared to the previously mentioned oil spray cooling systems that utilize nozzles, spray tubes, or rings, a more advanced solution involves implementing oil spray cooling directly through the stator itself, thereby eliminating the need for additional spray components. As illustrated in Figure 1, the oil is introduced into a groove on the stator through an oil inlet and is subsequently sprayed out through oil holes located at the end of the stator, thus enabling direct cooling of both the stator core and the end-winding. This innovative oil spray cooling system offers several benefits. It eliminates the need for additional spray components, which reduces manufacturing costs, simplifies assembly, and mitigates the risk of oil leakage, thereby enhancing the reliability of the electric motor. Additionally, the oil channel adopts a series structure, meaning that the oil first cools the stator core before being fully sprayed onto the end-winding. This configuration requires less oil flow compared to systems with parallel structures, where the oil simultaneously cools the stator core and the end-winding. However, certain drawbacks hinder the widespread adoption of this new oil spray cooling system. One significant issue is that the construction of this cooling structure typically necessitates the use of two or more types of silicon-steel sheets to build the stator core, leading to an increased number of molds needed for manufacturing the silicon-steel sheets, thus significantly raising production costs. Another drawback is the prevalence of uneven cooling in oil spray cooling systems, which was mentioned in Section 1.
In this paper, a new stator structure was designed to implement the previously mentioned oil spray cooling system, which is referred to as the centripetal-inclined oil spray (CIOS) cooling system, as depicted in Figure 2. Oil grooves and holes are stamped and formed on the silicon-steel sheets. A portion of the silicon-steel sheets are directly overlapped to form the middle section of the stator core, where the oil grooves align to create axial channels. The remaining silicon-steel sheets are rotated and overlapped to form the ends of the stator core, resulting in the oil holes forming stepped channels. These axial and stepped channels are uniformly distributed along the circumference of the stator core, collectively forming the CIOS cooling system, which includes three types of oil cooling channels, i.e., types A, B, and C, as illustrated in Figure 3. Oil enters each axial channel through an annular channel, flows axially to cool the stator core, and then passes through stepped channels, where it is sprayed out to cool the end-winding. It is worth noting that the design core of the CIOS cooling system lies in the formation of hybrid channels through the rotational lamination of silicon steel sheets. These three types of channels (Type A, Type B, and Type C) are structurally interdependent and must coexist simultaneously. The most significant advantage of this design is the use of a single type of silicon steel sheet, thereby reducing mold costs. Although the structural differences among the three types of oil channels result in varying flow resistances, which may to some extent affect the uniformity of flow distribution, subsequent results demonstrate that its cooling performance still surpasses that of traditional cooling systems (as discussed in Section 4.2).
Additionally, the number of cooling oil channels and the angle of oil spray can be flexibly adjusted to meet specific requirements, thereby optimizing the cooling effect.
The electric motor designed in this study consists primarily of a motor case, shaft, stator core, stator insulation, windings, rotor core, and magnets, as shown in Figure 4. The material properties of each component and the fundamental specifications of the electric motor are detailed in Table 1 and Table 2, respectively. It is noteworthy that the stator contains 54 slots in this study, allowing for the number of oil channels to be 3, 6, 9, 18, 27, or 54 (with the rotation angle being a multiple of the angle between two adjacent slots). Generally, for a given total flow rate, a higher number of oil channels results in more uniform cooling but reduces the flow per hole, potentially leading to spray failure. Based on empirical data from previous studies, the CIOS cooling system described in this paper employs a total of 18 oil channels with 18 evenly distributed oil holes at each end of the stator.

3. Analysis Methods

3.1. Loss Calculations

Motor losses are the primary cause of temperature rise in electric motors. Depending on their location, motor losses can be categorized into copper loss, iron loss, eddy-current loss of the permanent magnets, and mechanical loss [32,33]. Given that eddy-current loss of the permanent magnets and mechanical loss constitute a minor portion of the total loss, this paper primarily focuses on copper loss and iron loss.
Copper loss is a significant contributor to temperature rise in electric motors, largely stemming from the resistance of the windings. When an alternating current flows through the winding, the current density is higher near the surface than at the center due to the skin effect and proximity effect, resulting in a reduced effective cross-sectional area and an increased resistance [34]. Therefore, the calculation of copper loss P c u must account for both the skin and proximity effects, as illustrated in Equation (1) [35]:
P c u = m I 2 R d c + R s k i n + R p r o x i m i t y
where m is the number of phases, I is the root mean square of phase current, R d c is the direct-current resistance, R s k i n is the resistance due to the skin effect, and R p r o x i m i t y is the resistance due to the proximity effect.
According to the Bertotti loss separation model, iron losses can be categorized into hysteresis loss, eddy current loss, and excess loss [36]. Hysteresis loss and eddy current loss arise from varying magnetic fields, while excess loss results from fluctuations in magnetic flux density and uneven eddy currents. The iron loss P F e can be represented by Equation (2):
P F e = P h + P e + P e x = k h f B α + k e f B 2 + k e x f B 1.5
where P h , P e and P e x are the hysteresis loss, eddy current loss and excess loss, respectively; k h , k e and k e x are the coefficients of hysteresis loss, eddy current loss and excess loss, respectively; f is the frequency, B is the magnitude of magnetic flux density.

3.2. Governing Equations

During the calculations, the fluid is considered incompressible. The analysis of fluid flow and heat exchange adheres to the conservation of mass, conservation of momentum, and conservation of energy principles, as illustrated in Equations (3)–(5) [37]:
ρ t + d i v ρ u = 0
ρ u t = g r a d p + d i v μ g r a d u + ρ F
ρ T t + d i v ρ u T = d i v λ c g r a d T + S T
where ρ is the fluid density, t represents the time, u is the velocity vector, p is the pressure, μ is the dynamic viscosity, F is the force on microelements; T is the temperature, c is the specific heat capacity, λ is the thermal conductivity, and S T is the viscous dissipation term. In this study, the standard k ε model is employed to describe the fluid in a turbulent state, as shown in Equations (6) and (7) [38,39]:
ρ k t + d i v ρ u k = d i v μ + μ t σ k g r a d k + G k + G b ρ ε
ρ ε t + d i v ρ u ε = d i v μ + μ t σ ε g r a d ε + C 1 ε ε k ( G k + C 3 ε G b ) C 2 ε ρ ε 2 k
where k is the turbulent kinetic energy, ε is the turbulent dissipation, G k is the generation of k due to the mean velocity gradients, G b is the generation of ε due to buoyancy, C 1 ε , C 2 ε , and C 3 ε are the empirical constants, σ k and σ ε are the turbulent Prandtl numbers for k and ε , respectively.
The heat exchange in electric motors is primarily governed by heat conduction and heat convection, which can be expressed through Equations (8)–(10) [40]:
x λ x T x + y λ y T y + z λ z T z + q v = ρ c T t
λ T n | S 1 = q 0
λ T n | S 2 = h T T e
where λ is the thermal conductivity, λ x , λ y , and λ z are the components of λ in the x, y, and z directions, respectively; q v is the heat source, and n is the normal vector on the boundary, S 1 and S 2 are the second and third boundary conditions of the electric motor, respectively; q 0 is the heat source passing through S 1 , h is the heat transfer coefficient of S 2 , T e is the ambient temperature.

4. Results and Discussion

4.1. Electromagnetic Analysis of the Electric Motor

Since the CIOS cooling system proposed in this paper is implemented by forming oil channels in the stator core, it is essential to consider their effects on the performance of the electric motor. Electromagnetic (EM) analyses were conducted on electric motors both with and without oil channels for comparative purposes. The electric motors employ a 54-slot and 6-pole topology, hence a 1/6 model can be utilized instead of the global model to save time. Table 3 presents the working conditions used in the EM simulation. Notably, 5000 rpm and 20,000 rpm denote the rated and maximum motor speeds, respectively. The rated power of 75 kW represents the steady-state driving conditions of the electric vehicle, while the peak power of 160 kW and 120 kW correspond to short-duration acceleration and overtaking scenarios, which are of practical significance for reference.
Figure 5 illustrates the magnetic flux density distribution of electric motors with and without oil channels at rated speed and power. It can be observed that the magnetic density of the ribs adjacent to the flux barriers reaches a saturated state, which can effectively reduce magnetic leakage, thereby improving efficiency, minimizing the machine iron loss and permanent magnet eddy current losses [41,42,43]. The maximum magnetic flux densities of the stator teeth and yoke are 1.9 T and 1.6 T, respectively, neither of which exceed the saturation density of the silicon-steel sheet. Figure 6 displays the temporal variation in the magnetic flux density near the oil channels of the stator core at rated speed and power, and Figure 7 shows the average magnetic flux density near the oil channels for each working condition. For the motor without oil channels, the same measurement positions as the motor with oil channels were used. It can be noted that the magnetic flux density at maximum speed is lower than that at rated speed. With the adoption of the CIOS cooling system, the magnetic flux density increases under all working conditions. However, this increase is confined to a small area near the oil channels, thereby having minimal impact on the overall magnetic flux density distribution of the electric motor.
Figure 8 and Figure 9 illustrate the copper and iron losses of electric motors with and without oil channels under different working conditions. The maximum rate of change in copper loss under each working condition is 0.15%, primarily because copper loss is determined by the resistance of the winding and is less affected by changes in the stator core, making the change essentially negligible. Iron loss slightly increases under each working condition, which may be attributed to the increase in magnetic flux density near the oil channels, as previously mentioned. The maximum rate of change in iron loss is 2.35% under the working condition of Case 1. Figure 10 shows the torque of electric motors with and without oil channels under different working conditions. At maximum motor speed, the torque is lower than at rated speed for both rated and peak power conditions, and the effect of the oil channels on torque is negligible, with a variation of less than 0.07%. Whereas the torque is higher at rated speed, the presence of oil channels causes a reduction in torque, reaching a maximum reduction value of 3 Nm (1%) under the working condition of Case 2.
With the adoption of the CIOS cooling system, the iron loss of the electric motor increased and the torque decreased. The maximum torque reduction was 1%, which is undesirable to the motor industry that demands extreme performance. Since this negative effect was primarily due to the oil channels occupying the effective magnetic field area of the motor, the following two methods may be useful to minimize this effect. One approach is to increase the outer diameter of the stator to reduce the occupation of this effective area. However, in some cases, the stator size is constrained by the dimensions of the motor and the electric vehicle. Additionally, increasing the stator size, thereby increasing the weight, could result in higher costs and impact the overall performance of the electric vehicle. Another approach is to use silicon-steel sheets with only oil grooves in the middle section of the stator core, and silicon-steel sheets with both oil grooves and holes at the ends of the stator core, as illustrated in Figure 11b. Considering that the holes are closer to the magnets than the grooves and thus have a greater impact on the effective magnetic field area, and that in the middle section of the stator, the oil passes only through the axial channels formed by the grooves instead of the holes, the elimination of holes in the middle section reduces the occupation of the effective magnetic field area without compromising the structure of the oil channels in the CIOS cooling system. In addition, since the oil grooves are stamped first and then the holes, it is possible to halt after the initial stamping, thereby resulting in only oil grooves without creating holes. This method does not lead to additional tooling costs. Another advantage of this approach is that the absence of cavities in the middle section of the stator core can improve the thermal conductivity of the electric motor. In this paper, the latter method is chosen to address the performance degradation of the electric motor after adopting the CIOS cooling system. EM simulations were performed for the model containing both oil grooves and holes, as well as for the model containing only oil grooves. The final results were obtained using the weighted average method as shown in Equation (11):
x ¯ = x 1 L 1 + x 2 L 2 L
where x ¯ is the result after weighted averaging, x 1 and x 2 are the results for the models containing oil grooves as well as holes and only oil grooves, respectively; L 1 and L 2 are the lengths of the part containing oil grooves as well as holes and only oil grooves, respectively; L is the total length of the stator core. In this study, L 1 = 12 mm, L 2 = 118 mm, and L = 130 mm. The total losses and torque of the improved model are given in Table 4. It can be seen that the negative impact of using the CIOS cooling system on the electric motor is minimized, with a maximum increase in losses of 0.29% and a maximum reduction in torque of 0.45%.

4.2. Thermal Analysis of the Electric Motor

If the oil channel in the CIOS cooling system is not properly designed, it may result in excessive pressure loss, preventing effective oil spray, or in an overly wide spray angle, thereby failing to deliver cooling oil to the end-winding. To address these issues, it is essential to analyze the motor’s flow field for optimizing the oil channel design. The cooling oil enters the axial oil channel and flows towards both ends of the stator, i.e., the welded part and the crowned part, where it is sprayed onto the end-winding. This study focuses on the crowned part’s side for flow field analysis, as it presents greater challenges in achieving effective oil spray due to its shorter height at the end. For the temperature field analysis, losses calculated via EM simulation are mapped into the temperature field model as heat sources, and then iterative calculations are performed. For the rated power cases (i.e., Cases 1 and 3), the calculation time is set to 30 min, representing the long-term stable operation of electric vehicles. While for the peak power cases (i.e., Cases 2 and 4), the calculation time is set to 30 s, characterizing the short-term acceleration of electric vehicles. The mathematical models used for simulation are introduced in Section 3.2, and the boundary conditions shown in Table 5.
Figure 12 illustrates typical moments in the cooling process of the electric motor with the CIOS cooling system. Initially, oil enters the oil groove on the surface of the stator core through the annular oil channel and flows axially. At 0.44 s, the axial oil channel near the inlet is almost completely filled with oil, and the oil starts to spray from the oil hole. By 1.04 s, distinct oil columns can be observed; however, due to insufficient pressure, these columns adhere to and flow down the end surface of the stator core under the influence of gravity. At 1.2 s, the pressure in certain oil channels near the inlet begins to build, causing the oil to be sprayed centripetally from the oil holes towards the end-winding, while in the oil channels farther from the inlet, the oil flows along the end surface of the stator core. Subsequently, at 1.6 s, all the oil holes commence spraying oil. The oil accumulates at the bottom due to gravity, and an equilibrium is achieved between the oil flow entering and exiting. Furthermore, it is observed that oil is sprayed as tiny droplets rather than as continuous oil columns, and these droplets collide and splash upon reaching the end-winding.
The oil film formation rate R f quantifies the oil film formed on the end-winding and is calculated as follows [28]:
R f = A o i l / A w i n d i n g
where A w i n d i n g is the total area of the end-winding and A o i l is the contact area between the oil and the end-winding. Figure 13 illustrates the variation in the oil film formation rate over time. For the electric motor with the CIOS cooling system, the oil does not reach the end-winding until 0.5 s, and then the oil film begins to form. The oil film formation rate gradually increases until it reaches an equilibrium state. Table 6 compares the oil film formation rate and average thickness in the equilibrium state of motors with the CIOS cooling system and oil spray rings. The oil film formation rate for both motors does not exceed 50%, primarily because some oil does not participate in forming the oil film on the end-winding due to collision and splashing. Additionally, there is an overlapping phenomenon between each layer of windings, preventing the cooling oil from completely entering the overlapping area. The oil film formation rate and the average oil film thickness of the motor with the CIOS cooling system are 25% and 20% higher, respectively, than those of the motor with oil spray rings. This suggests that the cooling effect of the former may be superior to that of the latter, as substantiated by the temperature field results presented later in the study.
Table 6 also provides a comparison of the pressure loss in the stator of the motor with the CIOS cooling system versus the motor with oil spray rings. The total stator pressure loss with the CIOS cooling system is 16.2 kPa, primarily resulting from frictional resistance along the axial oil channels. Additionally, the axial channel is relatively wide, whereas the connected stepped channel is narrow. The abrupt transition between them significantly contributes to local pressure loss. However, compared to the stator pressure loss of 23.6 kPa observed with oil spray ring cooling, the lower pressure loss of the CIOS cooling system indicates a more efficient oil channel design.
As shown in Figure 14, the oil channels are named OP1, OP2, …, OP18 in a clockwise direction. Specifically, OP1, OP4, OP7, OP10, OP13, and OP16 correspond to Type A (shown in Figure 3); OP2, OP5, OP8, OP11, OP14, and OP17 correspond to Type B; and OP3, OP6, OP9, OP12, OP15, and OP18 correspond to Type C. Table 7 presents the flow rates of each oil hole in the CIOS cooling system after reaching equilibrium. The flow rate of each oil channel exceeds 0.1 LPM, indicating the capability to overcome resistance and spray oil effectively based on our previous studies. However, there are differences in the flow rates among the oil channels; OP15 has the highest flow rate at 0.202 LPM, while OP7 and OP8 have the lowest flow rates at 0.131 LPM, primarily due to their location in the oil channels. Oil enters from the inlet and is subsequently distributed through the annular channel to each axial oil channel. The closer an oil channel is to the inlet, the shorter the distance for oil to flow, resulting in lower pressure loss and higher flow rates. Consequently, the flow rates for OP15, OP16, OP17, and OP18, which are nearer to the inlet, are higher, while the flow rates for OP5, OP6, OP7, and OP8, which are farther from the inlet, are lower. The average flow rates for Type A, Type B, and Type C are 0.151 LPM, 0.152 LPM, and 0.176 LPM, respectively. The variation in flow rates among the three types of oil channels is due to structural differences. The stepped channel of Type C contains only three steps, resulting in minimal pressure loss and the highest average flow rate. In contrast, the stepped channels of both Type A and Type B contain four steps, leading to greater pressure loss and lower average flow rates. As demonstrated in Table 6, the CIOS cooling system exhibits smaller Pressure loss and standard deviation of flow rates compared to the oil rings cooling system Due to the system having only one inlet, the flow rate in oil channels farther from the inlet decreases, as cooling oil paths are longer and flow resistance is greater. Compared to the oil rings system, the CIOS system eliminates unnecessary spray oil components, thereby reducing flow resistance and achieving a more uniform flow distribution.
Figure 15 shows the temperature distribution of each component of the electric motor with the CIOS cooling system at 5000 rpm under rated power conditions. The maximum temperatures of the winding, stator core, and rotor are 100.1 °C, 91.7 °C, and 79.6 °C, respectively, with maximum temperature differences of 13.1 °C, 7.6 °C, and 5.3 °C, respectively. The global maximum temperature appears at the inner part of the end-winding. This occurs because the cooling oil is primarily sprayed onto the outer part of the end-winding, with only a small amount flowing to the inner part through the gaps under the influence of gravity. Additionally, the oil initially cools the stator core and the outer part of the end-winding, so its temperature is relatively high when it reaches the inner part of the end-winding, leading to higher temperatures in the inner part compared to other locations. Figure 16 illustrates the temperature distribution of each component of the electric motor with the CIOS cooling system at 5000 rpm under peak power conditions. The maximum temperatures of the winding, stator core, and rotor are 135.1 °C, 110.4 °C, and 67.3 °C, respectively, with maximum temperature differences of 43 °C, 26.6 °C, and 2.3 °C, respectively. Compared to the rated power condition, the temperature distribution of the winding and the stator core under peak power conditions is more uneven, and the highest temperature occurs at the end-winding. For the CIOS cooling system, the axial oil channel is located upstream, allowing relatively cool oil to effectively remove heat from the stator core and slot winding. In contrast, the end-winding cooling is located downstream, where the oil temperature is relatively high. Moreover, based on Table 6 the CIOS cooling system can only achieve an oil film formation rate of 49.4% in this study, which reduces the cooling performance, especially under severe conditions. Therefore, the oil spray cooling effect is somewhat inadequate under peak power conditions, where the heat production is four times greater than that under rated power conditions.
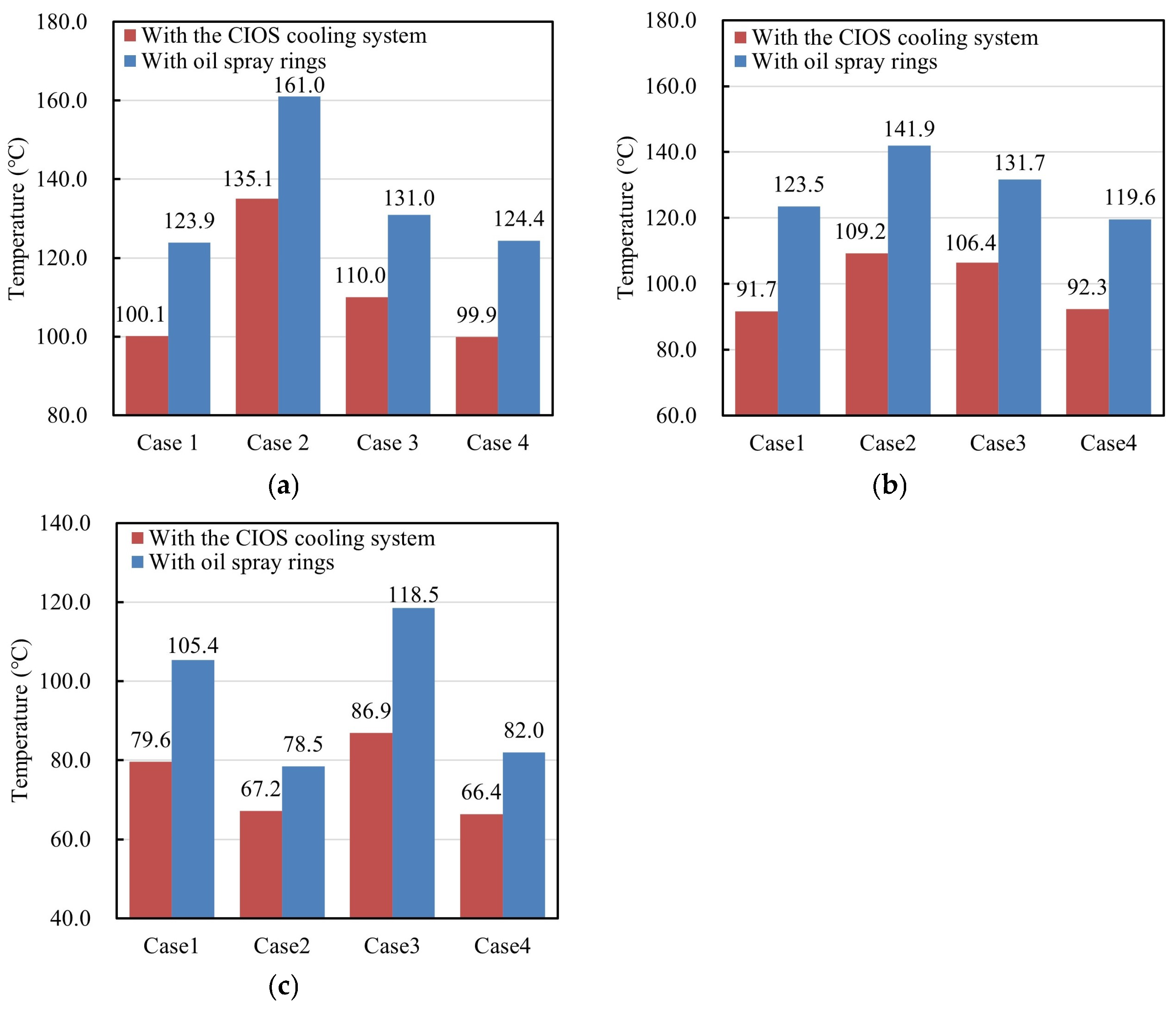
Figure 17 compares the maximum temperatures of electric motors with the CIOS cooling system and oil spray rings under various working conditions. Under all working conditions, the maximum temperature of each component of the electric motor with the CIOS cooling system is significantly lower than that of the motor with oil spray rings. Figure 18 shows the temperature distribution of the electric motor with oil spray rings at rated speed and power, revealing non-uniform cooling, especially in the winding. This discrepancy likely arises from the large pressure loss, leading to uneven flow distribution among the channels, which results in insufficient cooling in certain areas and significantly higher temperatures compared to other parts. In contrast, the oil channel design of the motor with the CIOS cooling system is more efficient, featuring less pressure loss and more uniform flow distribution, thus avoiding the formation of prominent hot spots.

4.3. Experimental Verification

To validate the CFD simulation results, an experiment was designed to measure the temperature rise in the motor. The motor test bench is shown in Figure 19. A suspension system was arranged below the motor to absorb the vibrations generated during the experiment. As shown in Figure 20 and Figure 8 negative temperature coefficient (NTC) sensors per end, with a measurement accuracy of 0.1 °C and a temperature range of −40 to 180 °C, were uniformly arranged at both ends of the stator to monitor the temperature of the end-windings. NTC sensors are positioned between the second and third layers of the windings, where the cooling oil has difficulty reaching directly, typically resulting in higher temperatures. The initial temperature of the cooling oil was 65 °C, with a flow rate of 5.8 LPM. The experimental conditions were kept consistent with the simulation. For each operating condition, 5 experiments are conducted, and the measurement results at the same location are averaged.
Table 8 presents the measured temperatures of the stator windings under various working conditions. It can be observed that the maximum end-winding temperature under all conditions is 127.9 °C, which is below the temperature resistance limit of 180 °C for the windings. The experimental results and simulation results exhibit a maximum discrepancy of 5.9%. The discrepancy may arise from the following factors: first, the limitations of the mathematical models used in simulations, such as neglecting the impact of temperature and pressure changes on fluid density, assuming constant thermal conductivity of materials, and ignoring thermal radiation. Second, the physical stator slots are partially filled with impregnated varnish, which typically has a thermal conductivity of 0.3 W/(m·K), about 12 times that of air. However, this factor is generally not considered in simulations. Finally, in the experiment, the cooling oil forms a continuous jet when exiting the oil holes, with less splashing compared to the simulation, indicating that more oil is involved in the cooling process. These reasons may explain why the temperatures measured in experiments are slightly lower than those calculated in simulations.

5. Conclusions

To enhance the cooling performance of electric motors, this paper designs a centripetal-inclined oil spray (CIOS) cooling system, which allows oil to be sprayed through channels in the stator itself, eliminating the need for additional components such as nozzles, oil spray tubes, or oil spray rings. This innovation reduces costs, lowers the risk of oil leakage, and improves motor reliability. The CIOS cooling system consists of uniformly distributed axial and stepped oil channels. Cooling oil first flows through the axial oil channels to cool the stator core, and then it is sprayed out through the stepped oil channels to cool the end-winding. The series configuration minimizes the overall oil flow rate requirement, while the uniformly distributed channels ensure consistent cooling. Electromagnetic simulations and computational fluid dynamic simulations are employed to study the impact of the CIOS cooling system on motor performance, flow fields, and temperature distribution.
Simulation results indicate that the application of the CIOS cooling system has certain adverse effects on motor performance. The changes in copper losses of the motor under all working conditions are marginal, while iron losses increase by up to 2.35%, and torque decreases by up to 1%. To mitigate this impact, the model was optimized by removing the holes in the silicon-steel sheets in the middle section of the stator core. After optimization, the negative impact of using the CIOS cooling system on the electric motor is minimized, with a maximum increase in motor losses of 0.29% and a maximum decrease in torque of 0.45%. The CIOS cooling system can achieve stable oil spraying, forming an oil film with a maximum coverage rate of 49.4% and an average thickness of 1.56 mm at the end-winding. These values are 25% and 20% higher, respectively, than those formed using oil spray rings. Compared to the motor with oil spray rings, the motor equipped with the CIOS cooling system exhibits lower and more uniformly distributed temperatures across all components under various working conditions, with no significant hotspots. The cooling performance of the CIOS system was experimentally validated, with measured temperatures of the end-windings closely matching the simulation results, with a maximum error of 5.9%. The CIOS cooling system has a certain degree of structural flexibility, with adjustable parameters such as oil injection angles and the number of oil holes. However, this study did not explore their effects on cooling performance. Future research will therefore focus on how these parameters influence cooling efficiency. The findings from this research are expected to provide valuable insights for optimizing oil cooling systems in electric vehicle motors.

Author Contributions

Conceptualization, J.H. and H.L.; methodology, J.H.; software, J.R. and H.Q.; validation, J.H.; writing—original draft preparation, J.H.; writing—review and editing, J.L. (Jianping Li) and J.L. (Junqiu Li). All authors have read and agreed to the published version of the manuscript.

Funding

This research received no external funding.

Data Availability Statement

The original contributions presented in this study are included in the article. Further inquiries can be directed to the corresponding author.

Conflicts of Interest

Authors Jinchi Hou, Jianping Li, Jingyi Ruan, Hanjun Luo and Hao Qu were employed by the Dongfeng Nissan Passenger Vehicle Company Technical Center. The remaining authors declare that the research was conducted in the absence of any commercial or financial relationships that could be construed as a potential conflict of interest.

References

  1. Hosseini, S.E. Chapter 1—Fossil Fuel Crisis and Global Warming. In Fundamentals of Low Emission Flameless Combustion and Its Applications; Hosseini, S.E., Ed.; Academic Press: Cambridge, MA, USA, 2022; pp. 1–11. ISBN 978-0-323-85244-9. [Google Scholar]
  2. Tuffour, J.P.; Ewing, R. Can Battery Electric Vehicles Meet Sustainable Energy Demands? Systematically Reviewing Emissions, Grid Impacts, and Coupling to Renewable Energy. Energy Res. Soc. Sci. 2024, 114, 103625. [Google Scholar] [CrossRef]
  3. Zhong, Z.; Hu, W.; Zhao, X. Rethinking Electric Vehicle Smart Charging and Greenhouse Gas Emissions: Renewable Energy Growth, Fuel Switching, and Efficiency Improvement. Appl. Energy 2024, 361, 122904. [Google Scholar] [CrossRef]
  4. Gobbi, M.; Sattar, A.; Palazzetti, R.; Mastinu, G. Traction Motors for Electric Vehicles: Maximization of Mechanical Efficiency—A Review. Appl. Energy 2024, 357, 122496. [Google Scholar] [CrossRef]
  5. Kang, E.-H.; Garud, K.S.; Park, S.C.; Lee, M.-Y. Heat Transfer Characteristics of an Electric Motor with Oil-Dripping Cooling under Overload Conditions. Symmetry 2024, 16, 289. [Google Scholar] [CrossRef]
  6. Chong, Y.C.; Staton, D.; Gai, Y.; Adam, H.; Popescu, M. Review of Advanced Cooling Systems of Modern Electric Machines for EMobility Application. In Proceedings of the 2021 IEEE Workshop on Electrical Machines Design, Control and Diagnosis (WEMDCD), Virtual, 8–9 April 2021; pp. 149–154. [Google Scholar]
  7. Selvin Raj, J.A.P.; Asirvatham, L.G.; Angeline, A.A.; Manova, S.; Rakshith, B.L.; Bose, J.R.; Mahian, O.; Wongwises, S. Thermal Management Strategies and Power Ratings of Electric Vehicle Motors. Renew. Sustain. Energy Rev. 2024, 189, 113874. [Google Scholar] [CrossRef]
  8. Cavazzuti, M.; Gaspari, G.; Pasquale, S.; Stalio, E. Thermal Management of a Formula E Electric Motor: Analysis and Optimization. Appl. Therm. Eng. 2019, 157, 113733. [Google Scholar] [CrossRef]
  9. Roy, P.; Towhidi, M.; Ahmed, F.; Bourgault, A.J.; Mukandan, S.; Balamurali, A.; Kar, N.C. A Comprehensive Review of Thermal Design and Analysis of Traction Motors. In Proceedings of the 2019 IEEE 28th International Symposium on Industrial Electronics (ISIE), Vancouver, BC, Canada, 12–14 June 2019; pp. 203–208. [Google Scholar]
  10. Satrústegui, M.; Martinez-Iturralde, M.; Ramos, J.C.; Gonzalez, P.; Astarbe, G.; Elosegui, I. Design Criteria for Water Cooled Systems of Induction Machines. Appl. Therm. Eng. 2017, 114, 1018–1028. [Google Scholar] [CrossRef]
  11. Alatalo, M.; Lundmark, S.T.; Grunditz, E.A. Evaluation of Three Cooling Concepts for an Electric Vehicle Motor—3D Models. In Proceedings of the 2020 International Conference on Electrical Machines (ICEM), Virtual, 23–26 August 2020; Volume 1, pp. 867–873. [Google Scholar]
  12. Ye, Z.; Luo, W.; Zhang, W.; Feng, Z. Simulative Analysis of Traction Motor Cooling System Based on CFD. In Proceedings of the 2011 International Conference on Electric Information and Control Engineering, Wuhan, China, 15–17 April 2011; pp. 746–749. [Google Scholar]
  13. Rhebergen, C.; Bilgin, B.; Emadi, A.; Rowan, E.; Lo, J. Enhancement of Electric Motor Thermal Management through Axial Cooling Methods: A Materials Approach. In Proceedings of the 2015 IEEE Energy Conversion Congress and Exposition (ECCE), Montreal, QC, Canada, 20–24 September 2015; pp. 5682–5688. [Google Scholar]
  14. Rahman, N.A.; Bostanci, E.; Fahimi, B. Thermal Analysis of Switched Reluctance Motor with Direct In-Winding Cooling System. In Proceedings of the 2016 IEEE Conference on Electromagnetic Field Computation (CEFC), Miami, FL, USA, 13–16 November 2016; p. 1. [Google Scholar]
  15. Schiefer, M.; Doppelbauer, M. Indirect Slot Cooling for High-Power-Density Machines with Concentrated Winding. In Proceedings of the 2015 IEEE International Electric Machines & Drives Conference (IEMDC), Coeur d’Alene, ID, USA, 10–13May 2015; pp. 1820–1825. [Google Scholar]
  16. Emily Cousineau, J.; Bennion, K.; Chieduko, V.; Lall, R.; Gilbert, A. Experimental Characterization and Modeling of Thermal Contact Resistance of Electric Machine Stator-to-Cooling Jacket Interface Under Interference Fit Loading. J. Therm. Sci. Eng. Appl. 2018, 10, 041016. [Google Scholar] [CrossRef]
  17. Zhang, F.; Gerada, D.; Xu, Z.; Liu, C.; Zhang, H.; Zou, T.; Chong, Y.C.; Gerada, C. A Thermal Modeling Approach and Experimental Validation for an Oil Spray-Cooled Hairpin Winding Machine. IEEE Trans. Transp. Electrif. 2021, 7, 2914–2926. [Google Scholar] [CrossRef]
  18. Yang, X.; Fatemi, A.; Nehl, T.; Hao, L.; Zeng, W.; Parrish, S. Comparative Study of Three Stator Cooling Jackets for Electric Machine of Mild Hybrid Vehicle. IEEE Trans. Ind. Appl. 2021, 57, 1193–1201. [Google Scholar] [CrossRef]
  19. Huang, Z.; Nategh, S.; Lassila, V.; Alaküla, M.; Yuan, J. Direct Oil Cooling of Traction Motors in Hybrid Drives. In Proceedings of the 2012 IEEE International Electric Vehicle Conference, Greenville, SC, USA, 4–8 March 2012; pp. 1–8. [Google Scholar]
  20. Park, J.; An, J.; Han, K.; Choi, H.-S.; Park, I.S. Enhancement of Cooling Performance in Traction Motor of Electric Vehicle Using Direct Slot Cooling Method. Appl. Therm. Eng. 2022, 217, 119082. [Google Scholar] [CrossRef]
  21. Nollau, A.; Gerling, D. Novel Cooling Methods Using Flux-Barriers. In Proceedings of the 2014 International Conference on Electrical Machines (ICEM), Berlin, Germany, 2–5 September 2014; pp. 1328–1333. [Google Scholar]
  22. Ponomarev, P.; Polikarpova, M.; Pyrhönen, J. Thermal Modeling of Directly-Oil-Cooled Permanent Magnet Synchronous Machine. In Proceedings of the 2012 XXth International Conference on Electrical Machines, Marseille, France, 2–5 September 2012; pp. 1882–1887. [Google Scholar]
  23. Ha, T.; Han, N.G.; Kim, M.S.; Rho, K.H.; Kim, D.K. Experimental Study on Behavior of Coolants, Particularly the Oil-Cooling Method, in Electric Vehicle Motors Using Hairpin Winding. Energies 2021, 14, 956. [Google Scholar] [CrossRef]
  24. Rocca, A.L.; Xu, Z.; Arumugam, P.; Pickering, S.J.; Eastwick, C.N.; Gerada, C.; Bozhko, S. Thermal Management of a High Speed Permanent Magnet Machine for an Aeroengine. In Proceedings of the 2016 XXII International Conference on Electrical Machines (ICEM), Lausanne, Switzerland, 4–7 September 2016; pp. 2732–2737. [Google Scholar]
  25. Li, Y.; Fan, T.; Sun, W.; Li, Q.; Wen, X. Experimental Research on the Oil Cooling of the End Winding of the Motor. In Proceedings of the 2016 IEEE Energy Conversion Congress and Exposition (ECCE), Milwaukee, WI, USA, 18–22 September 2016; pp. 1–4. [Google Scholar]
  26. Guo, F.; Zhang, C. Oil-Cooling Method of the Permanent Magnet Synchronous Motor for Electric Vehicle. Energies 2019, 12, 2984. [Google Scholar] [CrossRef]
  27. Davin, T.; Pellé, J.; Harmand, S.; Yu, R. Experimental Study of Oil Cooling Systems for Electric Motors. Appl. Therm. Eng. 2015, 75, 1–13. [Google Scholar] [CrossRef]
  28. Ha, T.; Kim, D.K. Study of Injection Method for Maximizing Oil-Cooling Performance of Electric Vehicle Motor with Hairpin Winding. Energies 2021, 14, 747. [Google Scholar] [CrossRef]
  29. Garud, K.S.; Lee, M.-Y. Grey Relational Based Taguchi Analysis on Heat Transfer Performances of Direct Oil Spray Cooling System for Electric Vehicle Driving Motor. Int. J. Heat Mass Transf. 2023, 201, 123596. [Google Scholar] [CrossRef]
  30. Yang, C.; Cai, W.; Xie, Y.; Shao, B. Experiment and Simulation Study on the Cooling Performance of Oil-Cooling PMSM with Hairpin Winding. Machines 2024, 12, 119. [Google Scholar] [CrossRef]
  31. Shams Ghahfarokhi, P.; Podgornovs, A.; Kallaste, A.; Marques Cardoso, A.J.; Belahcen, A.; Vaimann, T. The Oil Spray Cooling System of Automotive Traction Motors: The State of the Art. IEEE Trans. Transp. Electrif. 2023, 9, 428–451. [Google Scholar] [CrossRef]
  32. Sirimanna, S.; Balachandran, T.; Haran, K. A Review on Magnet Loss Analysis, Validation, Design Considerations, and Reduction Strategies in Permanent Magnet Synchronous Motors. Energies 2022, 15, 6116. [Google Scholar] [CrossRef]
  33. Yamazaki, K.; Fukushima, Y. Effect of Eddy-Current Loss Reduction by Magnet Segmentation in Synchronous Motors with Concentrated Windings. In Proceedings of the 2009 International Conference on Electrical Machines and Systems, Tokyo, Japan, 15–18 November 2009; pp. 1–6. [Google Scholar]
  34. de Leon, F.; Semlyen, A. Detailed Modeling of Eddy Current Effects for Transformer Transients. IEEE Trans. Power Deliv. 1994, 9, 1143–1150. [Google Scholar] [CrossRef]
  35. Thermal Properties of Soils and Rocks. Available online: https://www.researchgate.net/publication/35391832_Thermal_properties_of_soils_and_rocks (accessed on 2 September 2024).
  36. Bertotti, G. General Properties of Power Losses in Soft Ferromagnetic Materials. IEEE Trans. Magn. 1988, 24, 621–630. [Google Scholar] [CrossRef]
  37. Connor, J.J.; Brebbia, C.A. 4—Basic Principles and Governing Equations of Fluid Mechanics. In Finite Element Techniques for Fluid Flow; Connor, J.J., Brebbia, C.A., Eds.; Newnes: London, UK, 1976; pp. 145–173. ISBN 978-0-408-00176-2. [Google Scholar]
  38. Launder, B.E.; Spalding, D.B. PAPER 8—The Numerical Computation Of Turbulent Flows. In Numerical Prediction of Flow, Heat Transfer, Turbulence and Combustion; Patankar, S.V., Pollard, A., Singhal, A.K., Vanka, S.P., Eds.; Pergamon: Oxford, UK, 1983; pp. 96–116. ISBN 978-0-08-030937-8. [Google Scholar]
  39. Menter, F.R. Two-Equation Eddy-Viscosity Turbulence Models for Engineering Applications. AIAA J. 1994, 32, 1598–1605. [Google Scholar] [CrossRef]
  40. Heat Conduction | Wiley Online Books. Available online: https://onlinelibrary.wiley.com/doi/book/10.1002/9781118411285 (accessed on 2 September 2024).
  41. Yamazaki, K.; Kato, Y.; Ikemi, T.; Ohki, S. Reduction of Rotor Losses in Multilayer Interior Permanent-Magnet Synchronous Motors by Introducing Novel Topology of Rotor Flux Barriers. IEEE Trans. Ind. Appl. 2014, 50, 3185–3193. [Google Scholar] [CrossRef]
  42. Sayed, E.; Yang, Y.; Bilgin, B.; Bakr, M.H.; Emadi, A. A Comprehensive Review of Flux Barriers in Interior Permanent Magnet Synchronous Machines. IEEE Access 2019, 7, 149168–149181. [Google Scholar] [CrossRef]
  43. Gilch, I.; Hartmann, C.; Grünhag, B.; Volk, W.; Schauerte, B.; Leuning, N.; Hameyer, K. Residual Stresses and Magnetic Material Properties of Embossed and Cut Magnetic Flux Barriers in Non-Oriented Electrical Steel under Tensile Load. In Proceedings of the 2023 13th International Electric Drives Production Conference (EDPC), Regensburg, Germany, 29–30 November 2023; pp. 1–8. [Google Scholar]
Figure 1. Oil Spray via the stator core itself.
Figure 1. Oil Spray via the stator core itself.
Energies 19 00580 g001
Figure 2. The centripetal-inclined oil spray (CIOS) cooling system.
Figure 2. The centripetal-inclined oil spray (CIOS) cooling system.
Energies 19 00580 g002
Figure 3. Three types of oil cooling channels in the CIOS cooling system: (a) type A, (b) type B, (c) type C.
Figure 3. Three types of oil cooling channels in the CIOS cooling system: (a) type A, (b) type B, (c) type C.
Energies 19 00580 g003
Figure 4. Components of the electric motor.
Figure 4. Components of the electric motor.
Energies 19 00580 g004
Figure 5. Flux density distribution of electric motors (a) with and (b) without oil channels.
Figure 5. Flux density distribution of electric motors (a) with and (b) without oil channels.
Energies 19 00580 g005
Figure 6. Temporal variation in the magnetic flux density near the oil channels.
Figure 6. Temporal variation in the magnetic flux density near the oil channels.
Energies 19 00580 g006
Figure 7. Average magnetic flux density near the oil channels for each working condition.
Figure 7. Average magnetic flux density near the oil channels for each working condition.
Energies 19 00580 g007
Figure 8. Copper loss of electric motors with and without oil channels.
Figure 8. Copper loss of electric motors with and without oil channels.
Energies 19 00580 g008
Figure 9. Iron loss of electric motors with and without oil channels.
Figure 9. Iron loss of electric motors with and without oil channels.
Energies 19 00580 g009
Figure 10. Torque of electric motors with and without oil channels.
Figure 10. Torque of electric motors with and without oil channels.
Energies 19 00580 g010
Figure 11. Cross section of the stator (a) with and (b) without oil holes in the silicon-steel sheets of the middle section.
Figure 11. Cross section of the stator (a) with and (b) without oil holes in the silicon-steel sheets of the middle section.
Energies 19 00580 g011
Figure 12. Typical moments in the cooling process of electric motor with the CIOS cooling system.
Figure 12. Typical moments in the cooling process of electric motor with the CIOS cooling system.
Energies 19 00580 g012
Figure 13. Variation in the oil film formation rate over time for the electric motors with the CIOS cooling system and oil spray rings.
Figure 13. Variation in the oil film formation rate over time for the electric motors with the CIOS cooling system and oil spray rings.
Energies 19 00580 g013
Figure 14. Naming of the oil channels in the CIOS cooling system.
Figure 14. Naming of the oil channels in the CIOS cooling system.
Energies 19 00580 g014
Figure 15. Temperature distribution of the electric motor with the CIOS cooling system at 5000 rpm under rated power conditions.
Figure 15. Temperature distribution of the electric motor with the CIOS cooling system at 5000 rpm under rated power conditions.
Energies 19 00580 g015
Figure 16. Temperature distribution of the electric motor with the CIOS cooling system at 5000 rpm under peak power conditions.
Figure 16. Temperature distribution of the electric motor with the CIOS cooling system at 5000 rpm under peak power conditions.
Energies 19 00580 g016
Figure 17. The maximum temperatures of electric motors with the CIOS cooling system and oil spray rings under various working conditions: (a) winding; (b) stator core; (c) rotor.
Figure 17. The maximum temperatures of electric motors with the CIOS cooling system and oil spray rings under various working conditions: (a) winding; (b) stator core; (c) rotor.
Energies 19 00580 g017
Figure 18. Temperature distribution of the electric motor with oil spray rings at rated speed and power.
Figure 18. Temperature distribution of the electric motor with oil spray rings at rated speed and power.
Energies 19 00580 g018
Figure 19. Motor test bench.
Figure 19. Motor test bench.
Energies 19 00580 g019
Figure 20. Negative temperature coefficient sensors installation diagram: (a) the crowned part; (b) the welded part.
Figure 20. Negative temperature coefficient sensors installation diagram: (a) the crowned part; (b) the welded part.
Energies 19 00580 g020
Table 1. The material properties of the electric motor.
Table 1. The material properties of the electric motor.
PartsMaterialsConductivity (W/m·°C)
Stator/rotor core25W130030
WindingCooper397
Stator insulationPolyimide0.2
MagnetN45UH9
Motor casingADC1296.2
Shaft20CrMnTi44
Table 2. The fundamental specifications of the electric motor.
Table 2. The fundamental specifications of the electric motor.
ParametersValue
Rated power (kW)75
Rated speed (r/min)5000
Rated voltage (V)400
Pole/slot6/54
Stator inner diameter (mm)140
Stator outer diameter (mm)210
Gap length (mm)1
Active length (mm)120
Table 3. Working conditions.
Table 3. Working conditions.
CaseMotor Speed (rpm)Power (kW)
1500075
25000160
320,00075
420,000120
Table 4. Total losses and torque of the improved model.
Table 4. Total losses and torque of the improved model.
Work ConditionsTotal Loss (W)Toque (N·m)
Case 13132.3139.4
Case 213,688.9314.0
Case 34426.133.2
Case 49715.958.8
Table 5. Boundary conditions.
Table 5. Boundary conditions.
ParametersValue
Inlet oil temperature (°C)65
Inlet flow rate (LPM)5.8
Viscosity (Pa·s)0.006
Density (kg/m3)800.5
Specific heat capacity (kJ/(kg·K))2.36
Table 6. Comparison of flow field parameters between electric motors with the CIOS cooling system and oil spray rings.
Table 6. Comparison of flow field parameters between electric motors with the CIOS cooling system and oil spray rings.
ParametersWith the CIOS Cooling SystemWith Oil Rings
Film formation rate (%)49.439.5
Average thickness (mm)1.561.30
Pressure loss (kPa)16.223.6
Standard deviation of flow rates (L/min)0.0200.043
Table 7. Flow rates of each oil channel in the CIOS cooling system after reaching equilibrium.
Table 7. Flow rates of each oil channel in the CIOS cooling system after reaching equilibrium.
Type AFlow Rate (LPM)Type BFlow Rate (LPM)Type CFlow Rate (LPM)
OP10.140OP20.150OP30.170
OP40.141OP50.136OP60.157
OP70.131OP80.131OP90.159
OP100.157OP110.157OP120.176
OP130.159OP140.163OP150.202
OP160.179OP170.172OP180.192
Table 8. Measured temperature of the end-windings.
Table 8. Measured temperature of the end-windings.
Work ConditionsMotor Speed (rpm)Power
(kW)
Maximum Temperature of End-Windings (°C)
TestCFDError (%)
Case 150007595.5100.14.6
Case 25000160127.9135.15.3
Case 320,00075107.4110.02.4
Case 420,00012094.099.95.9
Disclaimer/Publisher’s Note: The statements, opinions and data contained in all publications are solely those of the individual author(s) and contributor(s) and not of MDPI and/or the editor(s). MDPI and/or the editor(s) disclaim responsibility for any injury to people or property resulting from any ideas, methods, instructions or products referred to in the content.

Share and Cite

MDPI and ACS Style

Hou, J.; Li, J.; Li, J.; Ruan, J.; Qu, H.; Luo, H. Study of the Cooling Performance of Electric Vehicle Motors Using a Centripetal-Inclined Oil Spray Cooling System. Energies 2026, 19, 580. https://doi.org/10.3390/en19030580

AMA Style

Hou J, Li J, Li J, Ruan J, Qu H, Luo H. Study of the Cooling Performance of Electric Vehicle Motors Using a Centripetal-Inclined Oil Spray Cooling System. Energies. 2026; 19(3):580. https://doi.org/10.3390/en19030580

Chicago/Turabian Style

Hou, Jinchi, Jianping Li, Junqiu Li, Jingyi Ruan, Hao Qu, and Hanjun Luo. 2026. "Study of the Cooling Performance of Electric Vehicle Motors Using a Centripetal-Inclined Oil Spray Cooling System" Energies 19, no. 3: 580. https://doi.org/10.3390/en19030580

APA Style

Hou, J., Li, J., Li, J., Ruan, J., Qu, H., & Luo, H. (2026). Study of the Cooling Performance of Electric Vehicle Motors Using a Centripetal-Inclined Oil Spray Cooling System. Energies, 19(3), 580. https://doi.org/10.3390/en19030580

Note that from the first issue of 2016, this journal uses article numbers instead of page numbers. See further details here.

Article Metrics

Article metric data becomes available approximately 24 hours after publication online.
Back to TopTop