In Situ Electrochemical Detection of Silicon Anode Crystallization for Full-Cell Health Management
Abstract
1. Introduction
2. Experimental Details
2.1. Electrode and Cell Preparation
2.2. Electrochemical Measurements
2.2.1. Si–Li Half-Cell Tests
2.2.2. LFP–Si Full-Cell Tests
3. Result and Discussion
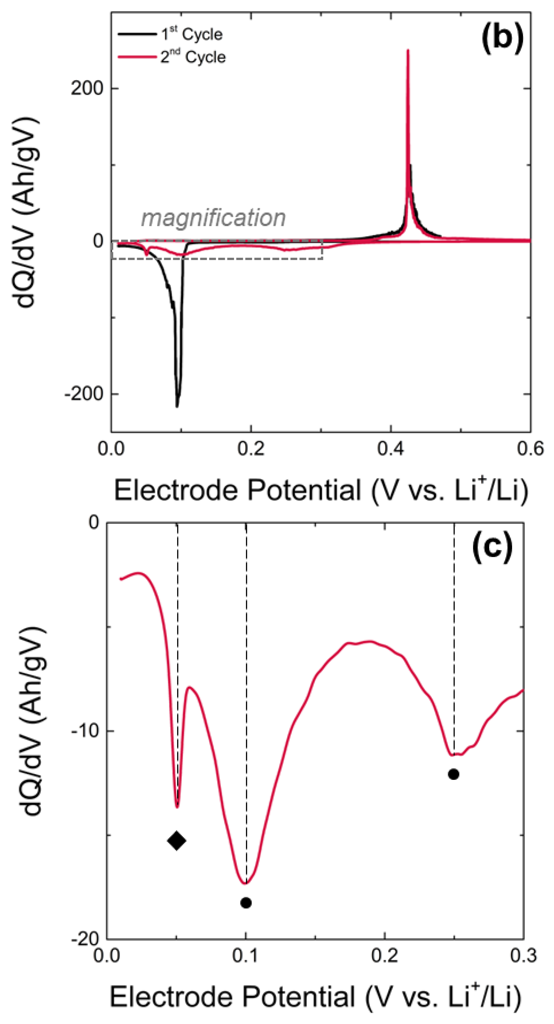
3.1. Crystallization Detection of Si Electrodes in Half-Cell Systems
3.2. Crystallization Detection of Si in Full-Cell Systems
4. Conclusions
Author Contributions
Funding
Data Availability Statement
Conflicts of Interest
References
- Feng, K.; Li, M.; Liu, W.; Kashkooli, A.G.; Xiao, X.; Cai, M.; Chen, Z. Silicon-based anodes for lithium-ion batteries: From fundamentals to practical applications. Small 2018, 14, 1702737. [Google Scholar] [CrossRef] [PubMed]
- Wu, F.; Maier, J.; Yu, Y. Guidelines and trends for next-generation rechargeable lithium and lithium-ion batteries. Chem. Soc. Rev. 2020, 49, 1569–1614. [Google Scholar] [CrossRef] [PubMed]
- Li, M.; Lu, J.; Chen, Z.; Amine, K. 30 years of lithium-ion batteries. Adv. Mater. 2018, 30, 1800561. [Google Scholar] [CrossRef] [PubMed]
- Rivera-Barrera, J.P.; Muñoz-Galeano, N.; Sarmiento-Maldonado, H.O. SoC estimation for lithium-ion batteries: Review and future challenges. Electronics 2017, 6, 102. [Google Scholar] [CrossRef]
- Wali, S.B.; Hannan, M.A.; Ker, P.J.; Rahman, M.S.A.; Mansor, M.; Muttaqi, K.M.; Mahlia, T.M.I.; Begum, R.A. Grid-connected lithium-ion battery energy storage system: A bibliometric analysis for emerging future directions. J. Clean. Prod. 2022, 334, 130272. [Google Scholar] [CrossRef]
- Liu, T.; Yang, X.G.; Ge, S.; Leng, Y.; Wang, C.Y. Ultrafast charging of energy-dense lithium-ion batteries for urban air mobility. ETransportation 2021, 7, 100103. [Google Scholar] [CrossRef]
- Schmuch, R.; Wagner, R.; Hörpel, G.; Placke, T.; Winter, M. Performance and cost of materials for lithium-based rechargeable automotive batteries. Nat. Energy 2018, 3, 267–278. [Google Scholar] [CrossRef]
- Li, F.; Xu, J.; Hou, Z.; Li, M.; Yang, R. Silicon anodes for high-performance storage devices: Structural design, material compounding, advances in electrolytes and binders. ChemNanoMat 2020, 6, 720–738. [Google Scholar] [CrossRef]
- Liang, B.; Liu, Y.; Xu, Y. Silicon-based materials as high capacity anodes for next generation lithium ion batteries. J. Power Sources 2014, 267, 469–490. [Google Scholar] [CrossRef]
- Zhao, X.; Lehto, V.P. Challenges and prospects of nanosized silicon anodes in lithium-ion batteries. Nanotechnology 2020, 32, 042002. [Google Scholar] [CrossRef]
- Zhang, C.; Wang, F.; Han, J.; Bai, S.; Tan, J.; Liu, J.; Li, F. Challenges and recent progress on silicon-based anode materials for next-generation lithium-ion batteries. Small Struct. 2021, 2, 2100009. [Google Scholar] [CrossRef]
- Li, Y.; Zheng, X.; Cao, Z.; Wang, Y.; Wang, Y.; Lv, L.; Huang, W.; Huang, Y.; Zheng, H. Unveiling the mechanisms into Li-trapping induced (ir) reversible capacity loss for silicon anode. Energy Storage Mater. 2023, 55, 660–668. [Google Scholar] [CrossRef]
- Liu, N.; Lu, Z.; Zhao, J.; McDowell, M.T.; Lee, H.W.; Zhao, W.; Cui, Y. A pomegranate-inspired nanoscale design for large-volume-change lithium battery anodes. Nat. Nanotechnol. 2014, 9, 187–192. [Google Scholar] [CrossRef] [PubMed]
- Li, L.; Fang, C.; Wei, W.; Zhang, L.; Ye, Z.; He, G.; Huang, Y. Nano-ordered structure regulation in delithiated Si anode triggered by homogeneous and stable Li-ion diffusion at the interface. Nano Energy 2020, 72, 104651. [Google Scholar] [CrossRef]
- Chan, C.K.; Peng, H.; Liu, G.; McIlwrath, K.; Zhang, X.F.; Huggins, R.A.; Cui, Y. High-performance lithium battery anodes using silicon nanowires. Nat. Nanotechnol. 2008, 3, 31–35. [Google Scholar] [CrossRef] [PubMed]
- Favors, Z.; Bay, H.H.; Mutlu, Z.; Ahmed, K.; Ionescu, R.; Ye, R.; Ozkan, M.; Ozkan, C.S. Towards scalable binderless electrodes: Carbon coated silicon nanofiber paper via Mg reduction of electrospun SiO2 nanofibers. Sci. Rep. 2015, 5, 8246. [Google Scholar] [CrossRef]
- Kang, D.K.; Corno, J.A.; Gole, J.L.; Shin, H.C. Microstructured nanopore-walled porous silicon as an anode material for rechargeable lithium batteries. J. Electrochem. Soc. 2008, 155, A276. [Google Scholar] [CrossRef]
- Li, J.; Dahn, J.R. An in situ X-ray diffraction study of the reaction of Li with crystalline Si. J. Electrochem. Soc. 2007, 154, A156. [Google Scholar] [CrossRef]
- Wang, C.M.; Li, X.; Wang, Z.; Xu, W.; Liu, J.; Gao, F.; Kovarik, L.; Zhang, J.G.; Howe, J.; Burton, D.J.; et al. In situ TEM investigation of congruent phase transition and structural evolution of nanostructured silicon/carbon anode for lithium ion batteries. Nano Lett. 2012, 12, 1624–1632. [Google Scholar] [CrossRef]
- McDowell, M.T.; Lee, S.W.; Nix, W.D.; Cui, Y. 25th anniversary article: Understanding the lithiation of silicon and other alloying anodes for lithium-ion batteries. Adv. Mater. 2013, 25, 4966–4985. [Google Scholar] [CrossRef]
- Woodard, J.C.; Kalisvaart, W.P.; Sayed, S.Y.; Olsen, B.C.; Buriak, J.M. Beyond thin films: Clarifying the impact of c-Li15Si4 formation in thin film, nanoparticle, and porous Si electrodes. ACS Appl. Mater. Interfaces 2021, 13, 38147–38160. [Google Scholar] [CrossRef] [PubMed]
- Chon, M.J.; Sethuraman, V.A.; McCormick, A.; Srinivasan, V.; Guduru, P.R. Real-Time Measurement of Stress and Damage Evolution during Initial Lithiation of Crystalline Silicon. Phys. Rev. Lett. 2011, 107, 045503. [Google Scholar] [CrossRef] [PubMed]
- Nadimpalli, S.P.V.; Sethuraman, V.A.; Bucci, G.; Srinivasan, V.; Bower, A.F.; Guduru, P.R. On plastic deformation and fracture in Si films during electrochemical lithiation/delithiation cycling. J. Electrochem. Soc. 2013, 160, A1885. [Google Scholar] [CrossRef]
- Tornheim, A.; Trask, S.E.; Zhang, Z. Communication—Effect of lower cutoff voltage on the 1st cycle performance of silicon electrodes. J. Electrochem. Soc. 2019, 166, A132. [Google Scholar] [CrossRef]
- Schott, T.; Robert, R.; Ulmann, P.A.; Lanz, P.; Zu, S.; Spahr, M.E.; Novák, P.; Trabesinger, S. Cycling behavior of silicon-containing graphite electrodes, part a: Effect of the lithiation protocol. J. Phys. Chem. C 2017, 121, 18423–18429. [Google Scholar] [CrossRef]
- Obrovac, M.N.; Krause, L.J. Reversible cycling of crystalline silicon powder. J. Electrochem. Soc. 2006, 154, A103. [Google Scholar] [CrossRef]
- Abe, Y.; Kumagai, S. Effect of negative/positive capacity ratio on the rate and cycling performances of LiFePO4/graphite lithium-ion batteries. J. Energy Storage 2018, 19, 96–102. [Google Scholar] [CrossRef]
- Misra, S.; Liu, N.; Nelson, J.; Hong, S.S.; Cui, Y.; Toney, M.F. In situ X-ray diffraction studies of (de) lithiation mechanism in silicon nanowire anodes. Acs Nano 2012, 6, 5465–5473. [Google Scholar] [CrossRef]
- Key, B.; Bhattacharyya, R.; Morcrette, M.; Seznec, V.; Tarascon, J.M.; Grey, C.P. Real-time NMR investigations of structural changes in silicon electrodes for lithium-ion batteries. J. Am. Chem. Soc. 2009, 131, 9239–9249. [Google Scholar] [CrossRef]
- Sayed, S.Y.; Kalisvaart, W.P.; Olsen, B.C.; Luber, E.J.; Xie, H.; Buriak, J.M. Alternating silicon and carbon multilayer-structured anodes suppress formation of the c-Li3.75Si phase. Chem. Mater. 2019, 31, 6578–6589. [Google Scholar] [CrossRef]
- Obrovac, M.N.; Christensen, L. Structural changes in silicon anodes during lithium insertion/extraction. Electrochem. Solid State Lett. 2004, 7, A93. [Google Scholar] [CrossRef]
- Rezqita, A.; Sauer, M.; Foelske, A.; Kronberger, H.; Trifonova, A. The effect of electrolyte additives on electrochemical performance of silicon/mesoporous carbon (Si/MC) for anode materials for lithium-ion batteries. Electrochim. Acta 2017, 247, 600–609. [Google Scholar] [CrossRef]
- Ogata, K.; Salager, E.; Kerr, C.J.; Fraser, A.E.; Ducati, C.; Morris, A.J.; Hofmann, S.; Grey, C.P. Revealing lithium–silicide phase transformations in nano-structured silicon-based lithium ion batteries via in situ NMR spectroscopy. Nat. Commun. 2014, 5, 3217. [Google Scholar] [CrossRef]
- Graf, M.; Berg, C.; Bernhard, R.; Haufe, S.; Pfeiffer, J.; Gasteiger, H.A. Effect and progress of the amorphization process for microscale silicon particles under partial lithiation as active material in lithium-ion batteries. J. Electrochem. Soc. 2022, 169, 020536. [Google Scholar] [CrossRef]
- Li, S.; Tsutsumi, S.; Shironita, S.; Umeda, M. Peak attribution of the differential capacity profile of a LiCoO2-based three-electrode Li-ion laminate cell. Electrochemistry 2022, 90, 037004. [Google Scholar] [CrossRef]
- Li, S.; Tsutsumi, S.; Shironita, S.; Umeda, M. Verification of peak attribution in differential capacity profile by varying the electrode capacity balance in three-electrode Li-ion laminate cells. Electrochemistry 2022, 90, 067004. [Google Scholar] [CrossRef]
- Wang, P.; Xiong, R.; Shen, W.; Sun, F. Aging-induced, rate-independent Lithium plating: A complete mechanism analysis throughout the battery lifecycle. Appl. Energy 2025, 393, 126094. [Google Scholar] [CrossRef]
- Birkl, C.R.; Roberts, M.R.; McTurk, E.; Bruce, P.G.; Howey, D.A. Degradation diagnostics for lithium ion cells. J. Power Sources 2017, 341, 373–386. [Google Scholar] [CrossRef]
- Anseán, D.; Dubarry, M.; Devie, A.; Liaw, B.Y.; García, V.M.; Viera, J.C.; González, M. Operando lithium plating quantification and early detection of a commercial LiFePO4 cell cycled under dynamic driving schedule. J. Power Sources 2017, 356, 36–46. [Google Scholar] [CrossRef]
- Dubarry, M.; Truchot, C.; Liaw, B.Y. Synthesize battery degradation modes via a diagnostic and prognostic model. J. Power Sources 2012, 219, 204–216. [Google Scholar] [CrossRef]














Disclaimer/Publisher’s Note: The statements, opinions and data contained in all publications are solely those of the individual author(s) and contributor(s) and not of MDPI and/or the editor(s). MDPI and/or the editor(s) disclaim responsibility for any injury to people or property resulting from any ideas, methods, instructions or products referred to in the content. |
© 2026 by the authors. Licensee MDPI, Basel, Switzerland. This article is an open access article distributed under the terms and conditions of the Creative Commons Attribution (CC BY) license.
Share and Cite
Jung, H.-W.; Lee, G.-E.; Shin, H.-C. In Situ Electrochemical Detection of Silicon Anode Crystallization for Full-Cell Health Management. Energies 2026, 19, 279. https://doi.org/10.3390/en19010279
Jung H-W, Lee G-E, Shin H-C. In Situ Electrochemical Detection of Silicon Anode Crystallization for Full-Cell Health Management. Energies. 2026; 19(1):279. https://doi.org/10.3390/en19010279
Chicago/Turabian StyleJung, Hyeon-Woo, Ga-Eun Lee, and Heon-Cheol Shin. 2026. "In Situ Electrochemical Detection of Silicon Anode Crystallization for Full-Cell Health Management" Energies 19, no. 1: 279. https://doi.org/10.3390/en19010279
APA StyleJung, H.-W., Lee, G.-E., & Shin, H.-C. (2026). In Situ Electrochemical Detection of Silicon Anode Crystallization for Full-Cell Health Management. Energies, 19(1), 279. https://doi.org/10.3390/en19010279
