Next Article in Journal
Distributionally Robust Game-Theoretic Optimization Algorithm for Microgrid Based on Green Certificate–Carbon Trading Mechanism
Next Article in Special Issue
Multidimensional Impact Assessment of Social Welfare Incorporating Dynamic Cross Subsidy and Tiered Carbon Trading
Previous Article in Journal
Risk-Constrained Optimization Framework for Generation and Transmission Maintenance Scheduling Under Economic and Carbon Emission Constraints
Previous Article in Special Issue
Energy-Aware Validation of the PIDA Control in the Hardware-in-the-Loop Environment
 
 
Font Type:
Arial Georgia Verdana
Font Size:
Aa Aa Aa
Line Spacing:
Column Width:
Background:
Article

An Adaptive Inertia and Damping Control Strategy for Virtual Synchronous Generators to Enhance Transient Performance

1
State Grid Chongqing Economic Research Institute, Chongqing 401120, China
2
School of Automation, Chongqing University, Chongqing 400044, China
*
Author to whom correspondence should be addressed.
Energies 2026, 19(1), 204; https://doi.org/10.3390/en19010204
Submission received: 2 December 2025 / Revised: 25 December 2025 / Accepted: 29 December 2025 / Published: 30 December 2025
(This article belongs to the Special Issue Digital Modeling, Operation and Control of Sustainable Energy Systems)

Abstract

Virtual synchronous generator (VSG) technology introduces synthetic rotational inertia and damping into inverter-based systems, thereby enhancing regulation performance under grid-connected operation. However, the output characteristics of VSGs are strongly influenced by virtual inertia and damping. This paper develops a self-tuning inertia–damping coordination mechanism for VSGs. The coupling between virtual inertia and damping with respect to grid power quality is systematically investigated, and a power-angle dynamic response model for synchronous generators (SGs) under extreme operating conditions is established. Building on these results, an improved adaptive control strategy for the VSG’s virtual inertia and damping is proposed. The proposed strategy detects changes in frequency and load power, enabling adaptive tuning of virtual inertia and damping in response to system variations, thereby reducing frequency overshoot while accelerating the dynamic response. The effectiveness of the proposed strategy is validated by hardware-in-the-loop real-time simulations.

1. Introduction

In recent years, the large-scale integration of renewable energy resources into power systems has accelerated the development of renewable-dominated microgrids. However, the limited regulation capability of many renewable sources has resulted in a sustained reduction in system inertia and disturbance rejection capability. To endow power electronic converters with inertial and damping behavior, numerous studies have emulated the electromechanical dynamics of synchronous generator (SG) rotors through control design, leading to the concept of the virtual synchronous generator (VSG) [1,2].
The objective of VSG control is to reproduce the inertia and damping characteristics of SGs. Compared with conventional SGs, a key advantage of VSGs lies in their tunable parameters, which afford greater flexibility [3]. To fully exploit this flexibility and facilitate the transition of renewable generation from passive participation to active support, a variety of control strategies have been extensively studied. In [4], a synchronverter that incorporates droop characteristics and SG-like rotor inertia is proposed to mitigate frequency oscillations. However, virtual inertia and damping are treated as a constant, which may prolong frequency settling time and induce substantial overshoot under load fluctuations. In extreme cases, this may even trigger overcurrent protection. To address this issue, researchers have extensively explored adaptive control strategies for the virtual inertia and damping coefficients of VSGs. In [5], a controller that integrates prior knowledge with reinforcement learning is proposed. By exploiting higher-order differential relationships between the rotor angle and the control variables, it adjusts the VSG parameters and significantly enhances the grid’s transient stability and transient performance. However, the acquisition and incorporation of prior knowledge, together with the training of the reinforcement learning model, are relatively complex, which may limit its general applicability. In [6], a self-adaptive inertia and damping combination control method is introduced to address the common neglect of damping effects in existing adaptive inertia schemes, thereby improving frequency stability and dynamic performance. Similarly, an improved adaptive control strategy for the inertia and damping coefficients of VSGs is presented in [7] to enhance the system’s frequency response and disturbance rejection. In [8], a coordinated self-adaptive VSG strategy is proposed to improve the dynamic frequency regulation performance of VSGs. Furthermore, the influence of virtual inertia and damping parameter perturbations on steady-state and dynamic performance is investigated using time-domain analysis methods. In [9], to increase the operational flexibility of VSGs, an improved VSG control strategy with adaptive inertia and damping coefficients is developed based on the second-order system characteristics and frequency deviation. In [10], an adaptive VSG control strategy for grid-side inverters is proposed, wherein a tanh-based control law is designed using the power–angle characteristic curve to improve transient performance. In [11], a dual-loop coordinated optimization framework is proposed to mitigate active power overshoot, frequency oscillations, and insufficient stability margins during grid-connected operation. In this framework, a radial basis function neural network adaptively tunes virtual inertia and damping, while a staged variable-weight model predictive control scheme provides real-time power compensation to suppress frequency deviations and enhance dynamic recovery. However, for the methods proposed in [6,7,8,9,10,11,12], the adaptive variations in virtual inertia and damping are discontinuous, which may induce oscillations in frequency or power during parameter switching. Moreover, virtual inertia and damping are adjusted proportionally to the frequency deviation or its rate of change, which cannot fully eliminate the frequency deviation.
In this paper, a coordinated adaptive inertia and damping control strategy is proposed for VSGs to enhance transient performance. When the rate of change in rotor speed is large, the virtual inertia is increased; while the rotor speed deviation is large, the damping coefficient is increased. The coordinated adjustment of these two variables suppresses rapid frequency changes and excessive offsets, thereby improving dynamic performance. Hardware-in-the-loop (HIL) real-time simulations evaluate the influence of tuning coefficients on system performance and verify the feasibility of the proposed strategy, demonstrating substantial improvements in transient response.
The rest of this paper is organized as follows. In Section 2, the control architecture of the conventional VSG is elaborated. The impact of virtual inertia and damping on the output characteristics of the VSG is discussed in Section 3. In Section 4, the proposed adaptive inertia and damping control strategy is introduced. In Section 5, HIL real-time simulations are conducted to verify the effectiveness of the proposed control strategy. Finally, conclusions are drawn in Section 6.

2. Analysis of Control Strategies of VSG

2.1. Control Architecture of VSG

The conventional VSG essentially augments standard droop control with synthetic inertia and damping, imparting electrical characteristics analogous to those of an SG and thereby enhancing its ability to suppress fluctuations. The control block diagram of the conventional VSG is presented in Figure 1. As shown in Figure 1, the VSG comprises a DC source, a voltage-source inverter, an LC filter, the load, and the grid. The control loop acquires output voltage, current, active and reactive power, root mean square (RMS) value of output voltage, and a cascaded voltage and current controller.
In Figure 1, Udc is the DC bus voltage; ua, ub, and uc are the grid voltages; L and C are the filter inductance and capacitance, respectively; Pref and P are the active power reference and actual active power, respectively; Qref and Q are the reactive power reference and actual reactive power, respectively; Vref is the RMS reference of output voltage; V is the RMS value of the measured output voltage; E and θ are the output voltage’s amplitude and power angle obtained by active power-frequency and reactive power-voltage regulation, respectively.

2.2. Small-Signal Model of VSG

The essence of the control algorithm of the VSG is to embed virtual inertia and damping into a conventional grid-connected inverter, thereby endowing it with the operational characteristics of an SG. Accordingly, this study models the VSG based on the rotor swing equation of an SG. In VSG, the relationships between active power and power angle can be expressed as follows:
J d ω d t = P r e f ω 0 P ω 0 D p ω ω 0 d θ d t = ω
where J is the VSG’s virtual inertia; Dp is the VSG’s damping coefficient; ω is the VSG’s output angular frequency; ω0 is the rated angular frequency; θ is the VSG’s power angle.
This study focuses on emulating the fundamental characteristics of an SG. Accordingly, the complex electromagnetic coupling is simplified, and a classical second-order model is adopted. The active power-frequency control emulates the response of an SG governor to frequency deviations, as shown in Figure 2.
In the VSG, the reactive power-voltage control loop is fully analogous to the excitation regulation of an SG. As shown in Figure 1, using droop control and the measured reactive power variation, the amplitude E of the output voltage is generated by the control algorithm, as described by:
E = 1 K q s D q V r e f V + Q r e f Q
where Kq is the regulation gain, and Dq is the reactive power-voltage droop coefficient.
In a VSG, the inverter’s frequency and phase are regulated by the active power-frequency control loop, while the output voltage amplitude is governed by the reactive power-voltage control loop. The foregoing analysis indicates that the active and reactive power control loops of a VSG can emulate the behavior of an SG. Accordingly, the three-phase output voltage of the VSG can be expressed as:
e a = E sin θ e b = E sin θ 2 π / 3 e c = E sin θ + 2 π / 3
where ea, eb, and ec are the VSG’s three-phase output voltage references, respectively.

3. Effect of Virtual Inertia and Damping Coefficient on Output Characteristics

3.1. Effect of Virtual Inertia on Output Characteristics

In a VSG, the rotor inertia J sets the oscillation frequency of active-power dynamics, while the damping Dp governs the decay rate. According to Figure 1 and the calculation method of apparent power, active and reactive power can be obtained as
P = E U cos δ θ U 2 cos δ / Z Q = E U sin δ θ U 2 sin δ / Z
where U is the amplitude of the grid voltage; Z and δ are the impedance and the impedance angle of the VSG’s filter, respectively; their expression is as follows:
Z = ω L 2 + R L 2 δ = arctan ω L / R L
where L is the filter inductance; R is the filter resistance.
Based on (1) and Figure 2, the small-signal model analysis can be conducted similarly to that of SG in a traditional power system. By neglecting the VSG’s output resistance, the input-output active power transfer function G(s) simplifies to a typical second-order transfer function, as expressed in (6).
G ( s ) = P ( s ) P r e f ( s ) = ω n 2 s 2 + 2 ξ ω n s + ω n 2
where ωn and ξ are the natural oscillation frequency and damping coefficient of the second-order system, respectively. ωn and ξ are calculated as follows:
ω n = E U / J ω 0 Z ξ = D p ω 0 Z / 4 J E U
If taken 0 < ξ < 1 and the error band is ±5%, the system’s overshoot σ% and the adjust time ts are calculated as follows:
σ % = e π ξ / 1 ξ 2 × 100 % t s = 3.5 / ξ ω n
For given active and reactive setpoints, the system dynamics are determined by rotor inertia J and damping Dp. With Dp fixed, increasing J reduces the damping ratio ξ, increases overshoot σ%, and lengthens the settling time ts. With J fixed, increasing Dp raises ξ, decreases σ%, and shortens ts.

3.2. Effect of Damping on Output Characteristics

From (1), we have:
Δ ω = P r e f P / ω J d ω / d t D p d ω d t = P r e f P ω D p ω ω 0 J
In (9), holding (PrefP)/ωJ∙dω/dt constant, the frequency deviation Δω is inversely proportional to the damping coefficient Dp. Likewise, if (PrefP)/ωDp(ωω0) is constant, the rate of change /dt is inversely proportional to the inertia J. Thus, appropriate tuning of inertia and damping can suppress Δω and /dt, enhancing frequency stability. This mirrors practical SGs, where damper windings, rotor losses, and mechanical friction effectively adjust inertia and damping to support stable grid operation.

4. Adaptive Inertia and Damping Control Strategy

Within the conventional VSG control framework, the inertia coefficient and damping parameter cannot be dynamically adjusted with operating conditions. Increasing the inertia setpoint J effectively suppresses grid frequency-amplitude oscillations but prolongs the response time. Conversely, decreasing J markedly accelerates the response, at the expense of disturbance rejection, making transient stability difficult to maintain under large perturbations. An improper design of the damping coefficient Dp affects both the power overshoot and the settling time and also alters the active power-frequency droop characteristic. To optimize the VSG’s control performance, we emulate the rotor’s relative motion following a large disturbance, partition the oscillatory process into four stages (as shown in Figure 3), analyze each stage using the power–angle characteristic, and adapt the VSG’s parameters to ensure stable operation.
If the system is subjected to a disturbance, its dynamic response can be divided into four stages:
Stage I: Under normal operation, the prime mover input power equals the generator electromagnetic power, and the operating point is at a point with the corresponding power angle θ1. At the instant of a short circuit, the operating point shifts above curve PII. Due to rotor inertia, the mechanical input remains unchanged, leading to excess power and continued acceleration of the generator (ω > ω0 and /dt > 0). The amplitude of Δω gradually increases, the power angle θ begins to rise, and the operating point moves along PII from b to c. As θ increases, the electromagnetic power grows, reducing the excess power; θ continues to increase throughout this stage. A larger inertia is therefore required to limit rotor angle excursion. However, while increased inertia enhances disturbance rejection, it also slows the response, necessitating an increase in the damping coefficient to improve responsiveness and reduce overshoot.
Stage II: When the power angle reaches θ2, if the faulted line is instantaneously cleared, the power angle remains momentarily unchanged, and the operating point jumps from c to d on curve PIII. At point d, the electromagnetic output power P exceeds the prime mover input power PT, producing a reverse power difference ΔP = PTP < 0. Under this decelerating power mismatch, the machine’s kinetic energy is dissipated, and the rotational speed begins to decrease.
Stage III: After reaching point d, because Δω remains positive, the power angle continues to increase, and the operating point moves along PIII from d to f. Sustained braking reduces rotational kinetic energy, causing the speed to decline. |Δω| progressively decreases until reaching point f, where Δω = 0. Across these two deceleration phases, attenuation of rotor speed fluctuations weakens. To expedite recovery of rotor speed and minimize overshoot, inertia should be reduced and damping increased so that frequency quickly returns to a steady value.
Stage IV: Although the unit briefly returns to its rated speed at point f, it cannot sustain a steady state because power has not yet synchronized. Under braking torque, kinetic energy continues to dissipate, the speed drops below the rated value, Δω increases, and the power angle decreases, and the operating point moves from f back toward d.
The four-stage analysis indicates that regulating SG’s power-angle characteristics and frequency dynamics to match the inertia and damping optimizes the transient response. Accordingly, we propose an adaptive inertia–damping control strategy in which the adaptive inertia J is determined by Δω and /dt, and the adaptive damping coefficient Dp is determined by Δω. The corresponding selection principles for different operating conditions are summarized in Table 1.
Based on Table 1, the adaptive inertia and damping coefficient are defined as follows:
J = J 0 + k J p + k J i / s Δ ω d ω / d t
D p = D p 0 + k D p + k D i / s Δ ω
where J0 and Dp0 are the rated virtual inertia and damping coefficient of the conventional VSG, respectively; kJp and kJi are the proportional and integral gains of the inertia regulator, respectively; kDp and kDi are the proportional and integral gains of the damping regulator, respectively.
The proportional-integral (PI) regulator gains (kJp, kJi, kDp and kDi) are selected based on the dynamic response analysis in Section 3. In practical implementation, strictly enforcing bounds on the adaptive parameters is crucial for safety. Therefore, saturation blocks are employed to limit the regulator outputs. The lower bounds (Jmin and Dpmin) are set positive to ensure baseline inertia and damping, thereby preventing frequency divergence due to insufficient support. The upper bounds (Jmax and Dpmax) are determined based on the inverter capacity and the maximum allowable σ% and ts, avoiding sluggish response and excessive overshoot. Consequently, the adaptive parameters are confined to stable ranges, i.e., J in [Jmin, Jmax] and Dp in [Dpmin, Dpmax]. Moreover, the PI controller parameters for active-power and frequency regulation can be designed following the methods in [13,14], and the controller’s bandwidth should be at least one-tenth of the bandwidth of the internal voltage control loop.
The detailed VSG control structure using the proposed control strategy is shown in Figure 4. As shown in Figure 4, the proposed adaptive inertia and damping control strategy effectively responds to dynamic power fluctuations in the grid, enabling real-time adjustment of inertia and damping parameters. This control strategy ensures system stability, reduces overshoot, and enhances response speed.
Furthermore, the proposed strategy is supported by the time-scale separation principle. Given that the sampling frequency of the digital controller (500 kHz) is significantly higher than the dynamics of the system frequency response (seconds level), the frozen-parameter analysis method is applicable. Thus, the time-varying inertia J and damping Dp may be regarded as quasi-constant at each transient operating point, preserving the validity of the small-signal analyses in Section 2 and Section 3 during adaptation.

5. HIL Real-Time Simulation Results

To verify the effectiveness of the proposed control strategy, a HIL simulation platform of a VSG is developed in Typhoon HIL 602 real-time simulator (Typhoon HIL, Inc., Waltham, MA, USA) [12]. The platform setup is shown in Figure 5. The power stage is constructed using the native models of the simulator, while the control stage is implemented with a physical TMS320F28335 digital signal processor (DSP) (Texas Instruments, Dallas, TX, USA) control board. The control system sampling frequency is set to 500 kHz. In the DSP implementation, to balance noise suppression and response speed, the angular-frequency derivative /dt is computed using a finite-difference scheme followed by a first-order low-pass filter with a 50 Hz bandwidth. This approach effectively attenuates high-frequency noise in the differentiation process while preserving timely detection of the rate of change in frequency. The system parameters used in real-time simulation are given in Table 2.

5.1. Influence of Virtual Inertia and Damping Coefficient on Transient Performance

The impact of virtual inertia on the active power is shown in Figure 6. The transient performance indicators of the VSG’s active power with different J are shown in Table 3. With the damping coefficient held constant, decreasing J accelerates the power response, shortens the settling time, and reduces active-power overshoot.
Figure 7 shows the effect of virtual inertia on system frequency. The transient performance indicators of the VSG’s frequency with different J are shown in Table 4. As shown in Figure 7 and Table 4, with the damping coefficient held constant, the dynamic response rate of active power is inversely proportional to J. A smaller J yields a larger frequency overshoot and a shorter settling time. However, the magnitude of the virtual inertia does not affect the steady-state frequency; once the system restabilizes, the frequency remains at 50 Hz.
The influence of the damping coefficient on the active power is shown in Figure 8. The transient performance indicators of the VSG’s active power with different Dp are shown in Table 5. As shown in Figure 8 and Table 5, for a fixed virtual inertia, both the dynamic response speed and the overshoot of the system’s active power are inversely related to the damping coefficient. Specifically, a larger damping coefficient yields a shorter settling time and a smaller active-power overshoot.
Figure 9 shows the effect of the damping coefficient on the system frequency. The transient performance indicators of the VSG’s frequency with different Dp are shown in Table 6. With the virtual inertia fixed at J = 0.2 kg·m2, the frequency overshoot decreases as the damping coefficient increases, and the settling time is likewise reduced.
The simulation results indicate that virtual inertia and damping coefficient significantly affect the transient performance of the VSG in grid-connected operation. Virtual inertia provides frequency support: larger values reduce the rate of change in the system frequency but lengthen the time to reach a new steady state. In contrast, the steady-state frequency deviation is independent of virtual inertia and depends solely on the damping coefficient and the change in active load power. For a fixed change in active power, increasing the damping coefficient reduces the frequency deviation. Therefore, when refining the VSG’s control strategy, both virtual inertia and damping should be co-designed, considering the trade-offs between steady-state and dynamic performance in grid-connected operation.

5.2. Comparison of Output Characteristics of VSG Under Different Control Strategies

Figure 10 shows the performance comparison of the active power of the VSG using different control strategies under different cases. The parameters for the different cases are listed in Table 7. The performance indicators of the active power of the VSG with different control strategies under different cases are shown in Table 8. As shown in Figure 10 and Table 8, compared with the conventional control strategy, the proposed approach nearly eliminates the VSG’s active-power overshoot while maintaining the same settling time. Compared with the method proposed in [6], the proposed approach yields a marginally shorter dynamic settling time, despite nearly identical active-power overshoot. Moreover, under different cases (i.e., with varying filter parameters and grid impedances), the proposed strategy consistently achieves superior transient performance compared with the conventional method and the approach in [6].
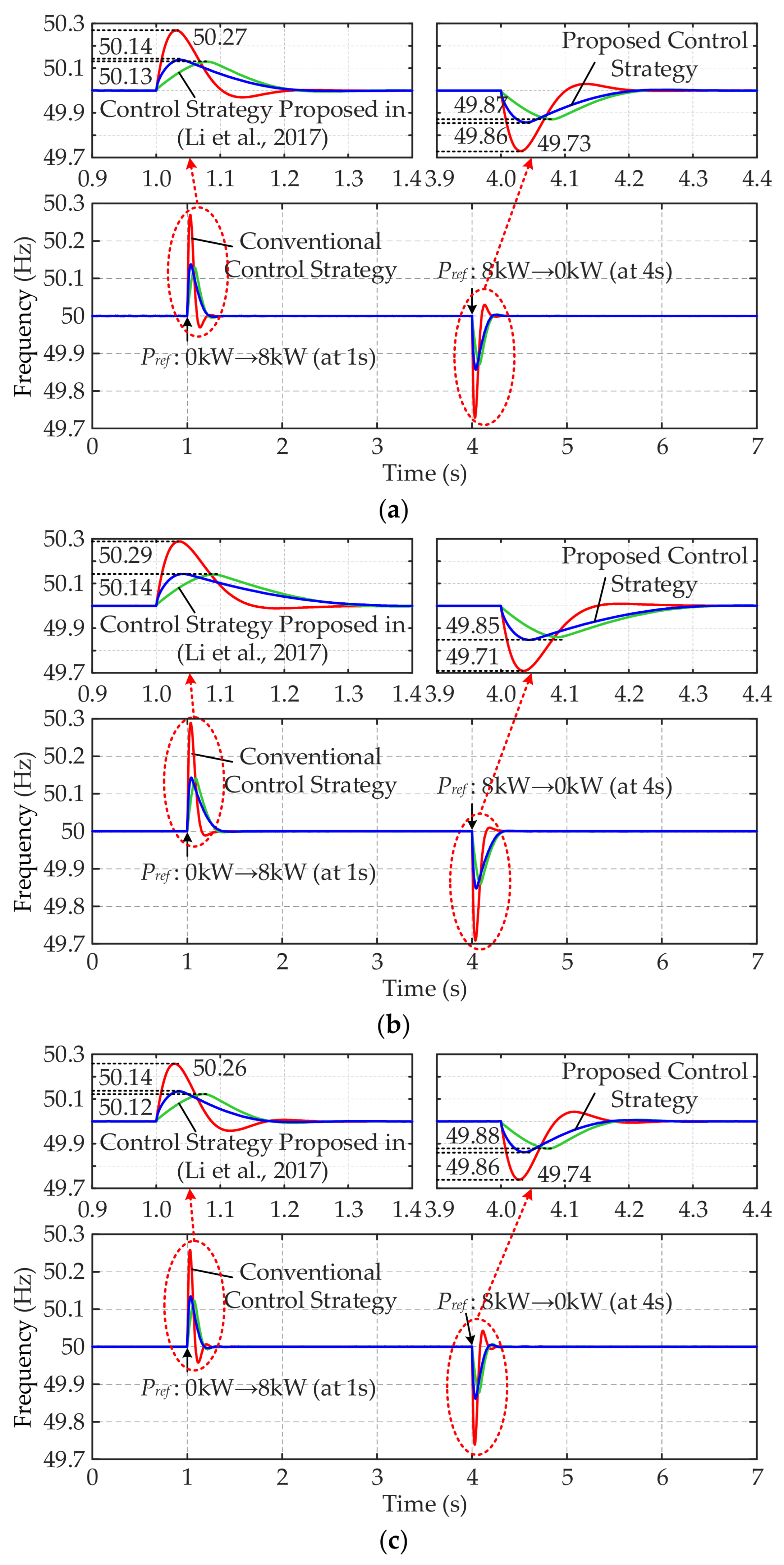
The performance comparison of the system frequency of the VSG using different control strategies under different cases is shown in Figure 11. The performance indicators of the frequency of the VSG with different control strategies under different cases are shown in Table 9. As shown in Figure 11 and Table 9, the system’s frequency response during grid-connected operation is markedly improved under the proposed control strategy. For identical load perturbations, compared with the conventional control strategy, the proposed strategy reduces the frequency deviation by 0.13 Hz, 0.15 Hz, and 0.12 Hz in Cases 1–3, respectively, and the overshoot decreases from 0.54%, 0.58%, and 0.52% to 0.28% in each case. Consequently, the proposed strategy mitigates both frequency overshoot and the amplitude of frequency excursions during load transients. Compared with the method in [6], the proposed approach achieves a slightly shorter dynamic settling time, despite nearly identical frequency overshoot. Furthermore, across different cases, it consistently delivers superior transient performance relative to both the conventional method and the approach in [6].
In summary, compared with the conventional strategy, the proposed adaptive inertia and damping control strategy can more effectively suppress frequency fluctuations, reduce active power overshoot, shorten the settling time of active power, and thereby enhance overall system transient performance. Moreover, building on existing adaptive schemes (e.g., [6]), the proposed method introduces an additional integral component. This avoids switching inertia and damping under varying conditions and, for the same inertia and damping, further shortens the dynamic settling time of active power and frequency.

5.3. Comparison of Output Characteristics for Multiple Parallel VSGs Under Different Control Strategies

Figure 12 shows the performance comparison of the active power and frequency for two parallel VSGs using different control strategies. The two VSGs are configured with identical parameters, as shown in Table 2. In Figure 12, the solid lines represent the active power or frequency of the first VSG, while the dashed lines represent those of the second VSG. The performance indicators of the active power and frequency of the VSG using different control strategies are shown in Table 10. As shown in Figure 12 and Table 10, the two VSGs exhibit aligned active power and frequency under each control strategy, but the proposed method yields significantly better transient performance in both metrics than the conventional approach and the method in [6], consistent with the single-VSG results. Consequently, the proposed approach is applicable to multi-VSG parallel operation and markedly improves the transient behavior of active power and frequency.

6. Conclusions

Conventional VSGs emulate SG characteristics to enhance system stability, but they suffer from several limitations: parameters cannot be adjusted in real time for multiple objectives and operating scenarios, tuning is time-consuming, and transient overshoot can be significant. To address these issues, this paper proposes an improved adaptive inertia and damping control strategy for VSGs based on PI regulators and validates its effectiveness via HIL real-time simulations. The main contributions are as follows: (1) the effects of virtual inertia and damping on the system’s output characteristics are analyzed; (2) leveraging the relationship among inertia, damping, and frequency variation, an adaptive control strategy for the VSG’s virtual inertia and damping is proposed. HIL real-time simulation results demonstrate that the proposed strategy achieves faster dynamics and limits frequency overshoot, improving the speed and stability of frequency regulation.

Author Contributions

Conceptualization, W.T. and J.C.; methodology, B.L., X.S., Y.Y. (Yun Ye), Y.Y. (Yue Yu) and J.C.; validation, X.S.; formal analysis, J.C.; investigation, B.L.; resources, B.L.; data curation, J.C.; writing—original draft preparation, J.C.; writing—review and editing, W.T.; visualization, X.S.; supervision, W.T.; project administration, W.T.; funding acquisition, W.T., B.L., X.S., Y.Y. (Yun Ye) and Y.Y. (Yue Yu). All authors have read and agreed to the published version of the manuscript.

Funding

This work is supported by the State Grid Chongqing Economic Research Institute under Grant SGTYHT/24-JS-001.

Data Availability Statement

The original contributions presented in this study are included in the article. Further inquiries can be directed to the corresponding author.

Conflicts of Interest

Authors Wenzuo Tang, Bo Li, Xianqi Shao, Yun Ye and Yue Yu were employed by the State Grid Chongqing Economic Research Institute. The authors declare that the research was conducted in the absence of any commercial or financial relationships that could be construed as a potential conflict of interest.

References

  1. Jafari, M.; Gharehpetian, G.B.; Anvari-Moghaddam, A. On the role of virtual inertia units in modern power systems: A review of control strategies, applications and recent developments. Int. J. Electr. Power Energy Syst. 2024, 159, 110067. [Google Scholar] [CrossRef]
  2. Wang, Y.; Chen, S.; Yang, M.; Liao, P.; Xiao, X.; Xie, X.; Li, Y. Low-frequency oscillation in power grids with virtual synchronous generators: A comprehensive review. Renew. Sustain. Energy Rev. 2025, 207, 114921. [Google Scholar] [CrossRef]
  3. Huang, J.G.; Lin, X.Y.; Sun, J.H.; Xu, H.X. A stabilization control strategy for wind energy storage microgrid based on improved virtual synchronous generator. Energies 2024, 17, 2567. [Google Scholar] [CrossRef]
  4. Zhong, Q.-C.; Weiss, G. Synchronverters: Inverters that mimic synchronous generators. IEEE Trans. Ind. Electron. 2011, 58, 1259–1267. [Google Scholar] [CrossRef]
  5. Gao, J.M.; Chen, S.Y.; Fan, S.X.; Zhang, J.J.; Ke, D.P.; Jun, H.; Jiang, K.Z.; Gao, D.W. Adaptive transient power angle control for virtual synchronous generators via physics-embedded reinforcement learning. Electronics 2025, 14, 3503. [Google Scholar] [CrossRef]
  6. Li, D.D.; Zhu, Q.W.; Lin, S.F.; Bian, X.Y. A self-adaptive inertia and damping combination control of VSG to support frequency stability. IEEE Trans. Energy Convers. 2017, 32, 397–398. [Google Scholar] [CrossRef]
  7. Zhang, C.; Yang, Y.; Miao, H.; Yuan, X. An improved adaptive inertia and damping control strategy for virtual synchronous generator. In Proceedings of the 13th IEEE Conference on Industrial Electronics and Applications (ICIEA), Wuhan, China, 31 May–2 June 2018; pp. 322–328. [Google Scholar]
  8. Fang, H.W.; Yu, Z.W. Control of virtual synchronous generator for frequency regulation using a coordinated self-adaptive method. CSEE J. Power Energy Syst. 2024, 10, 175–184. [Google Scholar]
  9. Liu, D.; Jiang, K.; Ji, X.; Cao, K.; Xu, C.; Sang, S.; Yang, D. Improved VSG strategy of grid-forming inverters for supporting inertia and damping. Front. Energy Res. 2024, 11, 1331024. [Google Scholar] [CrossRef]
  10. Zhao, Z.; Li, H.; Shi, L.; Wu, F.; Lin, M.; Fu, H. Adaptive control of inertia and damping in grid-forming photovoltaic-storage system. Sustainability 2025, 17, 9540. [Google Scholar] [CrossRef]
  11. Ling, G.; He, S.; Fan, X.; Zhu, Y. A dual-loop coordinated control strategy for PV-storage VSG with cascaded model predictive control and adaptive inertia-damping mechanism. Int. J. Circuit Theory Appl. 2025, early view. [Google Scholar] [CrossRef]
  12. Song, Q.; Chen, X.; Liu, J.; Chen, J.; Loo, K.-H. Decentralized energy management of renewable hydrogen production systems without communication networks. IEEE Trans. Ind. Electron. 2024, 71, 8927–8937. [Google Scholar] [CrossRef]
  13. Chen, J.; Song, Q. A decentralized dynamic load power allocation strategy for fuel cell/supercapacitor-based APU of large more electric vehicles. IEEE Trans. Ind. Electron. 2019, 66, 865–875. [Google Scholar] [CrossRef]
  14. Chen, J.; Song, Q.; Yin, S.; Chen, J. On the decentralized energy management strategy for the all-electric APU of future more electric aircraft composed of multiple fuel cells and supercapacitors. IEEE Trans. Ind. Electron. 2020, 67, 6183–6194. [Google Scholar] [CrossRef]
Figure 1. Control architecture of the conventional VSG.
Figure 1. Control architecture of the conventional VSG.
Energies 19 00204 g001
Figure 2. Simplified closed-loop control of the active power and frequency of the VSG.
Figure 2. Simplified closed-loop control of the active power and frequency of the VSG.
Energies 19 00204 g002
Figure 3. Power-angle characteristic of the SG.
Figure 3. Power-angle characteristic of the SG.
Energies 19 00204 g003
Figure 4. Control architecture of the VSG using the proposed control strategy.
Figure 4. Control architecture of the VSG using the proposed control strategy.
Energies 19 00204 g004
Figure 5. HIL real-time simulation platform.
Figure 5. HIL real-time simulation platform.
Energies 19 00204 g005
Figure 6. Effect of different J on active power.
Figure 6. Effect of different J on active power.
Energies 19 00204 g006
Figure 7. Effect of different J on system frequency.
Figure 7. Effect of different J on system frequency.
Energies 19 00204 g007
Figure 8. Influence of different Dp on active power.
Figure 8. Influence of different Dp on active power.
Energies 19 00204 g008
Figure 9. Influence of different Dp on system frequency.
Figure 9. Influence of different Dp on system frequency.
Energies 19 00204 g009
Figure 10. Active power of the VSG among the Proposed Control Strategy, the Control Strategy in (Li et al., 2017) [6], and the Conventional Control Strategy. (a) In case 1; (b) In case 2; (c) In case 3.
Figure 10. Active power of the VSG among the Proposed Control Strategy, the Control Strategy in (Li et al., 2017) [6], and the Conventional Control Strategy. (a) In case 1; (b) In case 2; (c) In case 3.
Energies 19 00204 g010aEnergies 19 00204 g010b
Figure 11. System frequency of the VSG among the Proposed Control Strategy, the Control Strategy in (Li et al., 2017) [6], and the Conventional Control Strategy. (a) In case 1; (b) In case 2; (c) In case 3.
Figure 11. System frequency of the VSG among the Proposed Control Strategy, the Control Strategy in (Li et al., 2017) [6], and the Conventional Control Strategy. (a) In case 1; (b) In case 2; (c) In case 3.
Energies 19 00204 g011
Figure 12. Active power and frequency of the VSG among the Proposed Control Strategy, the Control Strategy in (Li et al., 2017) [6], and the Conventional Control Strategy. (a) Active power; (b) Frequency.
Figure 12. Active power and frequency of the VSG among the Proposed Control Strategy, the Control Strategy in (Li et al., 2017) [6], and the Conventional Control Strategy. (a) Active power; (b) Frequency.
Energies 19 00204 g012
Table 1. Control laws of J and Dp.
Table 1. Control laws of J and Dp.
Δω/dtΔω(/dt)JDp
>0>0>0IncreaseAppropriate increase
>0<0<0DecreaseAppropriate increase
<0<0>0IncreaseAppropriate increase
<0>0<0DecreaseAppropriate increase
Table 2. System parameters.
Table 2. System parameters.
SymbolDescriptionValue
UdcDC bus voltage800 V
VrefRMS reference of output voltage220 V
PrefActive power reference8 kW
QrefReactive power reference0 kW
LAC-side filter inductance5 mH
RLInternal resistance of the AC-side filter inductance0.1 Ω
CFilter capacitance30 μF
RCInternal resistance of filter capacitance0.5 Ω
LgGrid-side filter inductance0.2 mH
RgInternal resistance of the grid-side filter inductance0.1 Ω
fswSwitching frequency20 kHz
fsaSample frequency500 kHz
J0Rated virtual inertia0.2 kg·m2
Dp0Rated damping coefficient10 N·m·s·rad−1
KqGain of reactive power and voltage control loop0.5
DqReactive power-voltage droop coefficient0.1
ω0Rated angular frequency of the grid314.16 rad/s
[Jmin, Jmax]Range of virtual inertia[0.1, 2]
[Dpmin, Dpmax]Range of damping coefficient[2, 12]
kJpProportional gain of the inertia regulator0.02
kJiIntegral gain of the inertia regulator0.15
kDpProportional gain of the damping regulator14
kDiIntegral gain of the damping regulator20
Table 3. Performance indicators of the active power of the VSG with different J.
Table 3. Performance indicators of the active power of the VSG with different J.
Jσ%tsPmaxPminΔPmax
0.2 kg·m26.25%0.13 s8.5 kW8 kW0.5 kW
1 kg·m237.5%0.38 s11 kW7 kW3 kW
1.8 kg·m250%0.88 s12 kW6 kW4 kW
Table 4. Performance indicators of the frequency of the VSG with different J.
Table 4. Performance indicators of the frequency of the VSG with different J.
Jσ%tsfmaxfminΔfmax
0.2 kg·m20.54%0.13 s50.27 Hz49.96 Hz0.27 Hz
1 kg·m20.34%0.38 s50.17 Hz49.93 Hz0.17 Hz
1.8 kg·m20.26%0.88 s50.13 Hz49.93 Hz0.13 Hz
Table 5. Performance indicators of the active power of the VSG with different Dp.
Table 5. Performance indicators of the active power of the VSG with different Dp.
Dpσ%tsPmaxPminΔPmax
4 N·m·s·rad−137.5%0.41 s11 kW6.8 kW3 kW
7 N·m·s·rad−113.75%0.26 s9.1 kW7.9 kW1.1 kW
10 N·m·s·rad−13.75%0.2 s8.3 kW8 kW0.3 kW
Table 6. Performance indicators of the frequency of the VSG with different Dp.
Table 6. Performance indicators of the frequency of the VSG with different Dp.
Dpσ%tsfmaxfminΔfmax
4 N·m·s·rad−10.82%0.41 s50.41 Hz49.75 Hz0.66 Hz
7 N·m·s·rad−10.64%0.26 s50.32 Hz49.81 Hz0.51 Hz
10 N·m·s·rad−10.56%0.2 s50.28 Hz49.95 Hz0.33 Hz
Table 7. Parameters of different cases.
Table 7. Parameters of different cases.
ParametersCase 1Case 2Case 3
L5 mH7.5 mH4 mH
RL0.1 Ω0.15 Ω0.08 Ω
C30 μF45 μF24 μF
RC0.5 Ω0.75 Ω0.4 Ω
Lg0.2 mH0.3 mH0.16 mH
Rg0.1 Ω0.15 Ω0.08 Ω
Table 8. Performance indicators of the active power of the VSG using different methods in different cases.
Table 8. Performance indicators of the active power of the VSG using different methods in different cases.
MethodsCaseσ%tsPmaxPminΔPmax
Conventional Method112.5%0.26 s9 kW−1 kW10 kW
23.75%0.30 s8.3 kW−0.2 kW8.5 kW
318.75%0.22 s9.5 kW−1.6 kW11.1 kW
[6]100.21 s8.2 kW0 kW8.2 kW
200.30 s8 kW0 kW8 kW
300.14 s8.2 kW−0.1 kW8.3 kW
Proposed Method100.19 s8.1 kW0 kW8.1 kW
200.30 s8 kW0 kW8 kW
300.13 s8.1 kW−0.1 kW8.2 kW
Table 9. Performance indicators of the frequency of the VSG using different methods in different cases.
Table 9. Performance indicators of the frequency of the VSG using different methods in different cases.
MethodsCaseσ%tsfmaxfminΔfmax
Conventional Method10.54%0.26 s50.27 Hz49.73 Hz0.54 Hz
20.58%0.30 s50.29 Hz49.71 Hz0.58 Hz
30.52%0.30 s50.26 Hz49.74 Hz0.52 Hz
[6]10.26%0.21 s50.13 Hz49.87 Hz0.26 Hz
20.28%0.30 s50.14 Hz49.85 Hz0.29 Hz
30.24%0.25 s50.12 Hz49.88 Hz0.24 HZ
Proposed Method10.28%0.19 s50.14 Hz49.86 Hz0.28 Hz
20.28%0.30 s50.14 Hz49.85 Hz0.29 Hz
30.28%0.20 s50.14 Hz49.86 Hz0.28 Hz
Table 10. Performance indicators of the active power and frequency of the VSG using different methods.
Table 10. Performance indicators of the active power and frequency of the VSG using different methods.
MethodsVariableσ%tsPmax or fmaxPmin or fminΔPmax or Δfmax
Conventional MethodActive Power12.50%0.25 s9 kW0 kW9 kW
Frequency0.54%0.30 s50.27 Hz49.97 Hz0.30 Hz
[6]Active Power0%0.20 s8 kW0 kW8 kW
Frequency0.26%0.30 s50.13 Hz49.99 Hz0.14 Hz
Proposed MethodActive Power0.625%0.25 s8.05 kW0 kW8.05 kW
Frequency0.28%0.23 s50.14 Hz50 Hz0.14 Hz
Disclaimer/Publisher’s Note: The statements, opinions and data contained in all publications are solely those of the individual author(s) and contributor(s) and not of MDPI and/or the editor(s). MDPI and/or the editor(s) disclaim responsibility for any injury to people or property resulting from any ideas, methods, instructions or products referred to in the content.

Share and Cite

MDPI and ACS Style

Tang, W.; Li, B.; Shao, X.; Ye, Y.; Yu, Y.; Chen, J. An Adaptive Inertia and Damping Control Strategy for Virtual Synchronous Generators to Enhance Transient Performance. Energies 2026, 19, 204. https://doi.org/10.3390/en19010204

AMA Style

Tang W, Li B, Shao X, Ye Y, Yu Y, Chen J. An Adaptive Inertia and Damping Control Strategy for Virtual Synchronous Generators to Enhance Transient Performance. Energies. 2026; 19(1):204. https://doi.org/10.3390/en19010204

Chicago/Turabian Style

Tang, Wenzuo, Bo Li, Xianqi Shao, Yun Ye, Yue Yu, and Jiawei Chen. 2026. "An Adaptive Inertia and Damping Control Strategy for Virtual Synchronous Generators to Enhance Transient Performance" Energies 19, no. 1: 204. https://doi.org/10.3390/en19010204

APA Style

Tang, W., Li, B., Shao, X., Ye, Y., Yu, Y., & Chen, J. (2026). An Adaptive Inertia and Damping Control Strategy for Virtual Synchronous Generators to Enhance Transient Performance. Energies, 19(1), 204. https://doi.org/10.3390/en19010204

Note that from the first issue of 2016, this journal uses article numbers instead of page numbers. See further details here.

Article Metrics

Back to TopTop