Next Article in Journal
Compensation for Rapid Voltage Fluctuations in the Grid Using a Wind Turbine with a Doubly Fed Induction Generator
Previous Article in Journal
Application of Agrivoltaic Technology for the Synergistic Integration of Agricultural Production and Electricity Generation
 
 
Font Type:
Arial Georgia Verdana
Font Size:
Aa Aa Aa
Line Spacing:
Column Width:
Background:
Article

Application of Measure–Correlate–Predict (MCP) Methodology for Long-Term Evaluation of Wind Potential and Energy Production on a Terrestrial Wind Farm Siting Position in the Hellenic Region

by
Constantinos Condaxakis
1,* and
Georgios V. Kozyrakis
2
1
Energy Systems Synthesis Lab, Mechanical Engineering Department, School of Engineering, Hellenic Mediterranean University, 71410 Heraklion, Greece
2
Coastal & Marine Research Laboratory (CMRL), Institute of Applied and Computational Mathematics (IACM), Foundation for Research and Technology—Hellas (FORTH), 70013 Heraklion, Greece
*
Author to whom correspondence should be addressed.
Energies 2026, 19(1), 103; https://doi.org/10.3390/en19010103
Submission received: 19 November 2025 / Revised: 9 December 2025 / Accepted: 15 December 2025 / Published: 24 December 2025
(This article belongs to the Section A3: Wind, Wave and Tidal Energy)

Abstract

The current work focuses on the study of the long-term evaluation of wind potential and energy production for a specific wind farm siting position over a mountainous region in Hellas. It aims to calculate the probability of exceedance of the twenty-year normalized average annual net production of the wind farm based on ground wind measurements coupled with Copernicus ERA5 data via a measure–correlate–predict (MCP) method. The study proposes an integrated long-term wind resource assessment workflow that couples short-term mast data with a twenty-year ERA5 record via a refined MCP procedure including temporal shifting for complex terrain. It introduces a practical uncertainty framework that jointly treats measurement, MCP, and terrain effects through dRIX and propagates these to energy yield using a bin-wise power curve and Weibull weighting. The proposed methodology is both fast and readily available to end-users and provides a realistic estimate of the energy production and long-term wind distribution in the investigated area. The data and assumptions employed in the calculations are given in detail. The uncertainty of the parameters in the estimation of the wind potential of the broader area and the energy calculation is analyzed. The results of the calculations and the probability of exceedance curve of the normalized twenty-year average annual net production of the wind farm summarize all uncertainty sources, delivering bankable long-term energy projections for the specific case study.

1. Introduction

The study of the long-term evaluation of wind potential and energy production aims to calculate the probability of exceedance of the twenty-year normalized average annual net production of a wind farm. This kind of uncertainty calculation is imperative for the long-term energy potential estimation of a future wind farm project, as it includes hindcast ERA5 data for the wind distribution annual variability for a period of twenty years coupled with on-site ground measurements in the area of interest. Combining the two data sources with a measure–correlate–predict (MCP) approach gives a very good estimate of the possible wind and energy distribution of the potential site for a long-term period of time and assists in the assessment of the uncertainties that are associated with the energy resource assessment.
The measure–correlate–predict (MCP) method is an essential tool in wind resource assessment, enabling the estimation of long-term wind characteristics at a target site based on short-term measurements and concurrent data from a reference site. This technique is instrumental in evaluating the viability and potential energy output of prospective wind farm locations. MCP methods typically involve establishing a statistical relationship between short-term wind measurements at a target site and long-term data from a reference site. This relationship is then used to predict the long-term wind regime at the target location. Various MCP approaches have been developed, including linear regression models, non-linear and higher-order models (e.g., artificial neural networks), probabilistic methods, and hybrid models [1,2,3]. While MCP methods are valuable, they are subject to uncertainties arising from factors as follows. (i) Data quality and temporal resolution: The reliability of MCP outcomes depends heavily on the length and resolution of input datasets. (ii) Sorting criteria: Sorting datasets by parameters such as wind direction can significantly improve MCP model fits. (iii) Site-specific variability: Complex terrains and coastal environments require tailored MCP approaches. The accuracy of MCP methods is influenced by factors such as the duration of measurement campaigns and the quality of reference data. Studies have shown that longer measurement periods can reduce uncertainty in wind resource estimation. Additionally, the selection of appropriate MCP models is crucial, as different methods may yield varying levels of accuracy depending on site-specific conditions [4]. MCP methods have been applied to assess uncertainties in power output projections for offshore wind farms. Research indicates that different MCP approaches can lead to varying projections of power and energy yields, highlighting the importance of method selection in offshore wind resource assessment [5]. The advantages of the MCP method include increased computational efficiency, flexibility across varying datasets, and being particularly effective in resource-limited scenarios. Its limitations are that in complex terrains, MCP may struggle to capture local meteorological nuances without proper refinement techniques.
Energy conservation, sustainability, and their associated uncertainty analysis are critical areas of focus in addressing the evolving energy demands of modern society. Karapidakis et al. [6] investigated the correlation of electricity prices within the Hellenic market, providing a statistical foundation that mirrors MCP’s emphasis on inter-variable dependencies, which is essential when modeling energy demand or resource variability. Extending this analytical approach, Karapidakis et al. [7] presented a techno-economic assessment of photovoltaic integration and storage in large building complexes, where prediction accuracy and system adequacy hinge on precise input measurements and performance estimations. The role of collective data aggregation was highlighted by Yfanti et al. [8], who explored how energy communities could serve as distributed measurement nodes, enabling localized prediction models with reduced spatial uncertainty. Stavrakakis et al. [9] provided empirical data under non-controllable conditions, a scenario that emphasizes the real-world complexities and inherent uncertainties in energy modeling, reinforcing the need for robust calibration within MCP frameworks. Finally, Yfanti et al. [10] tackled behavioral uncertainty by employing an event-driven strategy to influence end-user habits, suggesting that stochastic variations in human behavior must be integrated into MCP models for more holistic energy efficiency forecasting. Collectively, these works reflect a multi-scale, data-informed approach to sustainable energy planning where uncertainty quantification and MCP-based correlations are vital tools in improving both predictive accuracy and long-term decision-making.
The increasing demand for renewable energy sources has emphasized the importance of wind energy as a sustainable and clean power option. However, the variability and uncertainty associated with wind resources present significant challenges for accurate energy yield predictions, operational efficiency, and financial modeling of wind farms. Uncertainty analysis aims to quantify and address these challenges by utilizing advanced statistical and computational models. Uncertainty in wind resource assessment arises from various factors, including meteorological variability, measurement errors, and modeling assumptions. González-Aparicio & Zucker [11] explored the impact of wind power uncertainty on market integration in Spain. They highlighted how forecast errors in wind speed and power output affect energy pricing and grid stability. The study demonstrated that reducing forecast errors significantly enhances market integration efficiency. Amirinia et al. [12] investigated wind and wave energy potential in the southern Caspian Sea using uncertainty analysis. The study revealed that integrating uncertainty models with resource assessment improves accuracy in energy yield predictions. Zhang et al. [13] provided a comprehensive review of probabilistic forecasting methods for wind power generation. The study categorized techniques such as ensemble forecasting and statistical uncertainty quantification, emphasizing their role in addressing forecast variability. Economic modeling and environmental factors also contribute to uncertainties in wind farm operations and planning. De-Prada-Gil et al. [14] analyzed the sensitivity of the Levelized Cost of Energy (LCOE) for floating offshore wind farms. They incorporated over 325 parameters to assess their influence on energy costs and highlighted key variables driving uncertainty. Song et al. [15] conducted an environmental impact analysis of wind farms across various locations. The study combined Life Cycle Assessment (LCA) with uncertainty models to evaluate the environmental footprint of wind power systems. Adedeji et al. [16] assessed short-term power output forecasting using clustering techniques and Particle Swarm Optimization Adaptive Neuro-Fuzzy Inference System (PSO-ANFIS). They demonstrated that reducing mean absolute percentage error (MAPE) is crucial for improving short-term predictions. Advanced analytical tools have been employed to address wind energy uncertainties, such as stochastic modeling, Monte Carlo Simulations (MCS), and Gaussian Mixture Models (GMM). Yan et al. [17] applied long short-term memory (LSTM) neural networks combined with Gaussian Mixture Models for wind turbine power forecasting. Their model improved short-term predictive accuracy and uncertainty quantification. Díaz et al. [18] used state-space models to generate scenarios in wind power uncertainty analysis. Their research emphasized the advantages of scenario-based approaches in optimizing power plant performance. Nasery et al. [19] employed GIS-based fuzzy AHP models for wind farm site selection in Afghanistan. Their study integrated sensitivity analysis to assess the robustness of location suitability under varying uncertainty conditions. Several regional studies have showcased the practical implications of uncertainty analysis in wind resource assessment and planning. Zhang et al. [20] analyzed wind characteristics in the complex mountainous regions of southwest China. They demonstrated the impact of topographical uncertainties on wind resource variability. Caputo et al. [21] presented an economic evaluation framework for offshore wind farms under aleatory and epistemic uncertainties. Their research combined sensitivity analysis with economic modeling to identify cost drivers. Ayodele et al. [22] explored green hydrogen production using wind energy resources in South Africa. Their study included sensitivity analyses on turbine parameters and environmental factors.
Uncertainty analysis plays a critical role in improving the accuracy of wind energy potential assessments, enhancing economic feasibility, and optimizing resource allocation in wind farm projects. Advanced statistical models, scenario-based approaches, and machine-learning techniques have been instrumental in addressing uncertainties arising from meteorological, operational, and financial factors. Future research should focus on integrating multiple modeling frameworks and enhancing computational efficiency for large-scale wind farm projects. Effective uncertainty analysis reduces financial risks, improves wind farm performance, and facilitates better integration into energy markets.
The current work presents a novel integrated methodology for long-term wind resource assessment and energy production estimation for a wind farm site, combining ground-based wind measurements with long-term ERA5 reanalysis data through a measure–correlate–predict (MCP) approach. Its main innovations compared to relevant bibliography include the following: (i) Use of a twenty-year ERA5 dataset combined with on-site meteorological data, leveraging a temporal shift technique to optimize correlation and improve the accuracy of MCP predictions in complex terrain where reanalysis data alone underestimates wind speeds. (ii) A detailed uncertainty analysis framework that is readily available and easy to implement, encompassing measurement uncertainties (following ISO and IEC standards), MCP method error quantification, and terrain-related computational uncertainty via ruggedness indices (dRIX), which is novel in explicitly linking terrain-induced errors to uncertainty propagation in energy yield calculations. (iii) Presentation and evaluation of the temporal history and variability of the local wind speed and power density over a twenty-year period using temporal averaging techniques. This presents the interannual variability of the wind energy potential and at the same time provides a more detailed insight of the way the wind potential changes over time. (iv) Application of the WAsP model in combination with MCP-corrected data and dRIX-based terrain uncertainty to better represent spatial wind resource distribution and turbine siting optimization along a mountain ridge, taking into account wake and other energy losses. (v) Use of probability of exceedance (PoE) curves for normalized net annual energy production (AEP) that fully incorporate the combined uncertainty sources, providing a rigorous probabilistic description of likely energy yields for robust financial and techno-economic planning. (vi) Consideration of wind turbine power curve characteristics in moderating wind speed uncertainties to energy uncertainties through bin-wise error propagation weighted by Weibull wind speed distributions, improving on simpler uncertainty methods. (vii) Compared to the existing literature, which often focuses on short-term MCP application, single uncertainty sources, or simplified terrain corrections, this work provides a comprehensive, multi-scale, and integrated framework that incorporates meteorological, topographic, and operational factors for enhanced wind farm projection accuracy and risk assessment. (viii) This is supported by extensive data from a Hellenic region site, with empirical validation through comparisons of ERA5 vs. MCP-corrected time series, detailed wind rose analyses, and turbine-level siting optimization accounting for wake effects.
In summary, the current work innovations are its integrated MCP methodology with temporal shifting of ground and reanalysis data, terrain ruggedness-based uncertainty quantification, comprehensive multi-source uncertainty propagation, and probabilistic energy yield forecasting supporting practical wind farm design decisions.
The structure of this paper is as follows: The Introduction gives a detailed description of the application of the MCP methodology employed with the current work, accompanied by an extensive literature review of the relevant research fields. Definitions and Fundamental Equations for Uncertainty Calculations provides a brief overview of definitions and fundamental equations used in uncertainty calculations and summarizes the uncertainty of the parameters in the estimation of the wind potential (wind speed uncertainty) and of the energy calculation (energy uncertainty). Data Methodology outlines the data and assumptions employed in the calculations. The Results and Discussion presents the results of the calculations using twenty-year data and the probability of exceedance curve of the normalized twenty-year average net AEP of the wind farm. The Conclusions summarize the outcomes of the current work as an integrated approach to wind farm siting, incorporating spatial wind resource distribution, terrain effects, and long-term wind prediction.

2. Definitions and Fundamental Equations for Uncertainty Calculations

This chapter provides the mathematical foundation for understanding uncertainty calculations in wind potential and energy production analysis. The term uncertainty defines the range of values around the calculated value with a specific probability (confidence level). In calculating uncertainty, all individual uncertainties of the models and methods used are considered, which are aggregated into a single value referred to as the total measurement or calculation uncertainty.

2.1. Key Definitions in Uncertainty Analysis

Mean Value: The mean value of a random variable X is denoted as E(X), μx, or μ. It is defined through the Lebesgue integral with respect to the probability measure. Let (Ω, F, P) be the probability space and the measurable space, where and is a Borel σ-algebra. If η is P-integrable, then the mean value is defined as follows:
E X = Ω X d P = Ω X ω P d ω .
Variance: The variance of a random variable, denoted as Var[X], expresses how concentrated the values of the random variable are around the mean value (μ):
V a r X = + x μ 2 d F x = E X μ 2 .
Standard Deviation: The square root of the variance, denoted as σ, represents the uncertainty of the measurement. For discrete random variables with values x i , i     N ,   N R and the corresponding probabilities p i = P X = x i ,
E X = i N x i p i ,
and continuous random variables with probability density function f(x),
E X = + x f x d x .
The variance for discrete and continuous cases is defined as V a r X =   i N x i μ 2 p i (discrete) and V a r X =   + x     μ 2 d F x =   E X     μ 2 (continuous).
The total uncertainty σ Τ is derived from the combination of independent uncertainties:
σ Τ 2 = σ 1 2 + σ 2 2 + σ 3 2 + . . . + σ n 2 .

2.2. Common Probability Distributions

Table 1 summarizes the fundamental probability distributions to the statistical modeling framework for uncertainty quantification in wind speed and energy production. More specifically, the uniform distribution models uncertainties with equal likelihood over an interval, the normal distribution models measurement errors and residuals assumed to be Gaussian, the exponential distribution can model waiting times or event occurrences in certain contexts, and the Weibull distribution is extensively used to model wind speed frequency distributions due to its flexibility in representing varied wind regimes. These distributions provide the mathematical basis for calculating relevant metrics such as mean, variance, and ultimately total uncertainty in wind speed and energy estimates.

2.3. Description of the MCP Method

The MCP method [1,2,3] establishes a statistical relationship between the wind speeds measured at the target site (short-term data) and those measured at the reference site (long-term data). As a characteristic example, let us examine the relationship between the two time series expressed using regression models such as linear regression:
U T = a + b U R + ε ,
where U T is the wind speed at the target site, U R is the wind speed at the reference site, α and b are the intercept and slope regression coefficients, respectively, and ε is the residual error term (assumed to be normally distributed). The coefficients a and b are determined using least squares regression:
b = U R i U R ¯ U T i U T ¯ U R i U R ¯ 2 ,
a = U T ¯ b U R ¯ ,
where U ¯ T is the mean wind speed at the target site during the measurement period and U ¯ R is the mean wind speed at the reference site during the same period.
Once the regression relationship is established, long-term wind data from the reference site are used to predict long-term wind characteristics at the target site.
U T , LT = a + b U R , LT
A usual MCP practice involves the following methodological steps. (i) Data collection: Short-term wind data from the target site and long-term data from the reference site are collected and verified. (ii) Correlation analysis: Regression analysis is performed to determine the statistical relationship between the two datasets. (iii) Prediction: The derived regression model is applied to the long-term reference dataset to predict long-term wind characteristics at the target site. (iv) Validation: The predicted wind characteristics are validated using any available long-term ground data in the vicinity of the study area.
The uncertainty of the measure–correlate–predict (MCP) method ( σ MCP ) is calculated using statistical metrics that account for the deviations between the predicted and measured target site values during the correlation phase. The main steps to calculate σ MCP typically include conducting a residual analysis by calculating the residuals ( e ) as the difference between the measured on-site wind measurements ( U T ) and the predicted values ( U T , L T ) from the MCP method for each wind speed bin:
σ M C P , i = j = 1 n i U T , j U T , L T , j 2 ,
where ni is the number of data points in bin i and j is the index for each data point in bin i. The total MCP error of these residuals in Equation (10) with a root-sum-squared approach is used to quantify the uncertainty of the predictions and represents a cumulative error. Contrary to the root-average-squared (the sample standard deviation) that normalizes the error, providing a consistent estimate of variability regardless of sample size, the root-sum-squared represents the total error for all bins.

2.4. Energy Uncertainty Estimation

The power generated by a wind turbine is given by P = 1 2 ρ A u 3 C p , where P is the power output, ρ is the air density, A is the rotor swept area, u is the wind speed, and Cp is the power coefficient. Given the uncertainty in wind speed Δu, the power uncertainty ΔP can be estimated using error propagation as
P u i d P d u u i ,
where d P / d u is the derivative of the power curve of the wind turbine, Δ P u i is the change in power due to wind speed uncertainty, and Δ u i is the wind speed uncertainty for bin i. The uncertainty in energy production for bin i, Δ E i , can be approximated as
Δ E i Δ P u i × f u i × T ,
where P u i is the power output at wind speed u i , f u i is the probability of wind speed u i from the Weibull PDF, and T is the number of hours in a year (typically 8760 h). Both ΔP and ΔE depend on the slope of the power curve of the wind turbine d P / d u , and the total uncertainty in energy is the root-sum-squared of the individual bin uncertainties.

2.5. Probability of Exceedance

Given a probability P, the exceedance probability is calculated using the normal distribution:
P X > x = 1 Φ x μ σ .
Rearranging this for x, we obtain
x = μ σ Φ 1 1 P ,
where Φ 1 is the inverse CDF, P is the exceedance probability, x is the calculated value (net annual energy production in this case), μ is the mean value, and σ is the total uncertainty estimate.

2.6. Capacity Factor (CF)

Given that the discrete equation for the net annual energy production of a wind turbine is
E = T × i = 1 n P u i f u i 1 L i δ u i ,
where P u i is the power output at wind speed u i , f u i is the probability of wind speed u i from the Weibull PDF, δ u i is the wind speed bin width, T is the number of hours in a year (typically 8760 h), n is the number of bins, and Li is the fractional losses (wake losses, electrical, mechanical, etc.) of a wind turbine. The capacity factor (CF, %) is a performance metric in wind energy assessment, measuring how efficiently a wind turbine or wind farm operates relative to its maximum potential:
C F = E P r 100 T ,
where E is the net annual energy production of a wind turbine (MWh), Pr is the rated power of the wind farm (MW), and T is the number of hours in a year (typically 8760 h). A higher CF indicates efficient wind conditions and turbine utilization. A low CF suggests suboptimal wind speeds, high downtime, or wake losses. Typically, onshore wind farms have CFs between 20 and 45%, while offshore farms can reach 50% or more due to stronger and more consistent winds.

3. Data Methodology

3.1. Measurement Champaign for Site 1

The campaigns are conducted for at least one year’s duration and verified by ISO 17025 IEC61400_12 standards for wind measurements [23,24]. Given the coarse spatial resolution of the ERA5 data, the regression analysis using time series of ten-minute mean wind speed and direction values is performed by averaging ground-based data into six-hour mean wind speed and direction values.
A 10 m mast (Figure 1) was installed on appropriate location within the site boundaries with coordinates 38°36′14.76″ N, 23°05′50.03″ E and altitude 606 m.a.s.l. (meters above sea level). The sensor installation heights (in meters above ground level—m.a.g.l.) and orientation (in degrees) are shown in Table 2. The description of the measurement system is shown at Table 3 and Table 4. The measurement sampling frequency was 1 Hz for all measurements and a 10 min period was applied for the mean value recordings.
Figure 2 depicts the mean hourly variation in wind speed at 10.4 m.a.g.l. based on site measurements. The diurnal pattern with peak speeds reflects local atmospheric dynamics and is typical for the region. This observation underlines the temporal variability important for turbine operation planning.
Figure 3 shows the energy wind rose and temporal wind rose at 10.4 m.a.g.l. and 8.6 m.a.g.l., respectively. The energy wind rose indicates dominant wind directions weighted by energy content, highlighting sectors with greater wind resource potential. The temporal wind rose complements this by showing the frequency distribution of wind direction over time, which is important for understanding the prevailing flows and wind turbine alignment.
Figure 4 illustrates the directional sectors’ data distribution and mean wind speed from the measuring campaign. This quantifies the frequency and strength of winds from different directional sectors, providing insight into wind regime anisotropy that impacts turbine siting and wake effect management. From Figure 3 and Figure 4 and Table 5, it can be found that north–northwestern wind directions are more frequent as the prevailing directions and south–southwestern winds are apparently more energetic in terms of wind production.
Table 5 shows that the most frequent wind directions are from the NNW (15.37%) and N (10.57%), indicating prevailing northerly influences consistent with local topography and regional wind patterns. The highest mean wind speeds are observed in sectors SSE (8.2 m/s), SSW (9.4 m/s), SW (8.2 m/s), and S (7.4 m/s), showing that southerly winds, although less frequent, tend to be stronger. This anisotropy highlights a complex wind regime, where less frequent but stronger winds contribute substantially to the energy potential. Lesser frequencies and lower wind speeds in eastern and western sectors (e.g., W 0.84%, 2.3 m/s) suggest these directions contribute minimally to the site’s overall resource.

3.2. Computation Approach

The datasets used for topography, land use, and land–water mask interpolation were obtained from the USGS Global Multi-resolution Terrain Elevation Dataset (GMTED2010) [25,26] and the Copernicus Land Monitoring Service EU-DEM product. The hindcast long-term wind data for the MCP method were derived from the C3S data portal ERA5 dataset [27]. The resolution of the dataset is approximately 0.25° latitude × 0.25° longitude and the data are recorded at three-hour intervals covering a period of twenty years in total. ERA5 data does not account well for complex-terrain related effects or other meteorological phenomena such as thermal inversions in the lower atmosphere. Also, ERA5 systematically underestimates wind speeds in highly mountainous regions and inadequately resolves sub-grid-scale topographic forcing such as speed-up effects over ridges, channeling in valleys, and boundary layer flow separation. These limitations prevent accurate representation of orographic enhancement and local phenomena, which amplify surface winds over complex terrain. Additionally, ERA5’s surface drag formulation exhibits asymptotic behavior under strong winds, leading to excessive roughness lengths and further bias in high-relief areas. To that end, the localized ground meteorological data as obtained by on-site measuring campaigns are used to account for the local climatology.
The MCP method, as described in Section 2.3, combines large-scale meteorological data with ground-based wind measurements to estimate the mean annual wind speed and direction, as well as the annual energy production (AEP) over a twenty-year period. The wind speed and direction values are calculated on the ground meteorological station coordinates and are derived using Lagrange polynomial interpolation based on the neighboring points of the existing geographical grid surrounding the study area. The aforementioned technique involves temporal shifting of the ground-based wind data relative to the corresponding ERA5 data over their common measurement period. This approach is justified because the two types of data represent phenomena occurring at different altitudes and across varying spatial and temporal scales. Consequently, disturbances detected by ground-based anemometers do not coincide temporally with those recorded on larger data grids. The temporal shift aims to identify the optimal correlation interval between these datasets. Thus, a time-lag adjustment was applied between ground measurements and ERA5 data to optimize correlation. The temporal-shift refinement is implemented by systematically testing integer time lags between the on-site 10 min averages and the corresponding ERA5 series over the common measurement period and selecting the lag that maximizes the Pearson correlation coefficient and minimizes the RMSE between the two datasets, according to the CRES–WindRose methodology [28]. In practice, shifts in the range of ±2 timesteps were evaluated, and the optimal lag was identified where both criteria were jointly optimized and the residuals showed no remaining systematic phase offset. A brief, step-by-step description is as follows: (i) Import the two synchronized time series (ERA5 and ground mast data) into the MCP module and choose the wind speed, direction, and averaging interval. (ii) Define the common measurement so that only valid pairs of simultaneous records are used in the correlation. (iii) For each tested time lag, shift the target site series relative to the reference, recompute the correlation statistics, and obtain the MCP regression coefficients and associated residuals for that lag. (iv) Select the optimal temporal shift as the one that maximizes the Pearson correlation coefficient and minimizes RMSE between reference and target. (v) Apply the MCP regression with this optimal lag to the full twenty-year ERA5 record to generate the corrected long-term time series at the site.
For the calculation of the net annual energy production (net AEP) of the wind farm, the WAsP software v.10 from the Risoe National Laboratory, Denmark [29], is employed. The combined data from the MCP method were used as input to represent the regional wind climate and were compared with distributions derived from ground-based wind measurements (observed wind climate) in the surrounding area. The net AEP was calculated at the hub-height of the wind turbines. This extrapolation was performed using the methodology embedded in the software, accounting for the surrounding topography and surface roughness. Wake losses are computed using the Jensen/Katic wake modeling framework [30] implemented in WAsP, applied to the MCP-corrected long-term wind climate and the final turbine layout. The model assumes neutral atmospheric stratification and uses sector-wise inflow conditions (wind speed, direction, and frequency) together with turbine thrust characteristics to calculate wake deficits and their superposition at each downstream turbine. Considering the higher turbulence intensity of the complex terrain in the area of interest, the wake decay constant of the Jensen/Katic wake model [30] was set to kw = 0.08. In complex terrain, elevated turbulence intensity arising from surface roughness variations, flow separation, and terrain-induced shear accelerates wake mixing and recovery. As a result, turbine wakes dissipate more rapidly, exhibit greater deformation and meandering, and generally have shorter downstream influence compared to flat-terrain conditions. This behavior is reflected in the wake decay coefficient kw, which increases with ambient turbulence and thus takes higher values in complex onshore environments. A larger kw represents faster wake expansion and reduced velocity deficits at downstream turbines, making its selection—and the associated sensitivity analysis—particularly important for accurately quantifying wake-related AEP uncertainty in complex terrain.
For the ERA5 data, the calculation of each wind direction value (in degrees) was performed by considering the zonal component (aligned with lines of latitude) and the meridional component (aligned with lines of longitude) of the wind velocity vector (in m/s). The correct orientation and quadrant indices (N—0°, E—90°, S—180°, W—270°) were derived by transforming the geographic plane, where the wind components “u” and “v” are defined, into the primary polar plane (cardinal wind direction) from which the wind rose is developed.

3.3. Long-Term ERA5 Time Series and MCP Prediction for Site 3

Given the MCP methodology of the previous chapter the one-year measurements are initially used to create a hindcast twenty-year distribution based on the ERA5 data. The mean reference (derived from ERA5 data) and predicted (target) twenty-year mean wind speed values (based on the prediction from the ground-based wind data) for the reference site “S3”, based on ERA5 data from 1999 to 2018, is thus calculated and presented in Table 6. The comparison between the ERA5 dataset and the MCP-corrected time series reveals significant differences in main wind characteristics. The long-term representation of the ERA5 wind field is incorporated with the short-term detailed on-site wind data, thus enabling a corrected lasting depiction of the wind time series for the area of interest. The mean wind speed at 10.4 m.a.g.l. increases from 4.92 m/s (ERA5) to 6.14 m/s (MCP-corrected). The estimated mean wind speed at 78 m.a.g.l. also rises from 5.73 m/s to 7.14 m/s, reinforcing the increase in energy potential. The mean turbulence intensity (TI) in the 10 m/s bin drops from 10.20% (ERA5) to 6.54% (MCP-corrected) which is in accordance to the increase in the 20-year mean wind speed. The Weibull shape factor (k) decreases from 2.03 to 1.68. A lower shape factor indicates a broader distribution of wind speeds, meaning more variability and a greater frequency of extreme values. This is consistent with the increase in maximum wind speed. The Weibull scale factor (C) increases from 5.79 m/s to 6.86 m/s, aligning with the general increase in mean wind speed. This suggests a shift toward higher wind speeds across the dataset. The best wind energy-containing sector shifts from north (N: 13.50%) in ERA5 to south–southwest (SSW: 19.35%) in MCP. However, the most frequent wind direction (time-based distribution) remains similar, i.e., ERA5: N (13.47%), NNW (13.13%) and MCP: N (16.66%), NNW (16.33%).
A few significant observations can be made regarding the wind resource assessment based on the ERA5 dataset and the MCP-corrected time series. In Figure 5, the wind rose diagrams suggest differences in the directional frequency distribution between the ERA5 dataset and the MCP-corrected time series. The ERA5 dataset shows a broader distribution of wind directions, whereas the MCP correction appears to concentrate the dominant wind directions more significantly. This is to be expected since the corrected dataset originates from actual terrestrial time series that account for changes in orography with respect to shifting directions, orographic speed-up effects, flow separation, etc. The correction method enhances the prominence of northern directions, which indicates its adjustment towards its site-specific calibration. In Figure 6, the energy-weighted wind rose highlights variations in wind speed potential across different wind directions. The MCP-corrected data shows higher wind speed contributions from dominant directions, particularly around N and NW. The overall magnitude of mean wind speed variation differs between the two datasets, with ERA5 showing a more uniformly distributed profile, whereas MCP reflects a more concentrated wind energy potential in specific sectors. In Figure 7, the histograms illustrate the probability distribution of wind speeds across directional sectors. The MCP-corrected time series appears to shift the distribution slightly, particularly in the higher wind speed ranges (>10 m/s), which are more pronounced in specific directions. The reweighting of wind speeds in different directional bins suggests that the MCP methodology modifies the wind regime to better align with measured data at the site. This change significantly impacts energy yield predictions. Overall, the MCP correction modifies the wind resource characteristics derived from ERA5, emphasizing certain dominant wind directions and increasing the presence of higher wind speeds in accordance to the short-term terrestrial source data-series. Such adjustments are expected in MCP methodologies, as they aim to correct biases in reanalysis datasets to better reflect site-specific conditions.
The corresponding monthly distributions over the twenty-year period are shown in Figure 8, which presents a monthly comparison of wind speed statistics between the ERA5 dataset (blue lines) and the MCP-corrected dataset (red lines). The three significant statistics visualized for each dataset are (i) the monthly average wind speed (solid lines with markers), (ii) monthly minimum wind speed (dashed lines), and (iii) monthly maximum wind speed (dash-dotted lines). It is observed that there is a systematic shift in wind speed magnitudes with the MCP-corrected dataset exhibiting higher values across all three statistics (minimum, average, and maximum) compared to ERA5. This systematic increase is consistent with the previous observation that MCP correction raises the overall wind speed distribution. The increase is particularly evident for the maximum wind speed, which is significantly higher in the MCP dataset. Both datasets show a seasonal trend, with lower wind speeds in during the mid-year months (May to August) and higher wind speeds during the start and end of the year (November to February). While the overall shape of the two datasets follows the same seasonal pattern, the magnitude of the corrections varies throughout the year, with some months showing a greater discrepancy than others. The largest difference between the ERA5 and MCP maximum wind speeds occurs in the winter months. The minimum wind speed correction (dashed lines) also exhibits a notable shift, meaning that low wind speed occurrences are also affected by the MCP methodology, whereas the maximum wind speeds in the MCP dataset (dash-dotted red line) are consistently and significantly higher than in ERA5.
The predicted results as presented in Figure 8 are higher than the ERA5 data, because the MCP-corrected dataset integrates local ground-based measurements that capture site-specific wind conditions in complex terrain better than the coarse-resolution ERA5 reanalysis data. ERA5 data generally underestimates wind speeds in such conditions because it has a coarse spatial resolution ( ~ 0.25° × 0.25°), thus smoothing out orographic effects (speed-ups on ridges), and does not capture various local meteorological phenomena well. The MCP method corrects ERA5 by correlating with local measurements and temporally aligning datasets, thereby revealing higher mean, minimum, and maximum wind speeds reflecting true site-specific conditions. Especially in mountainous regions where orographic acceleration is predominant, the MCP-based predictions increase wind speed magnitudes and energy potential estimates compared to ERA5. The same phenomenon would occur if other cases were changed, since this tendency is typical when applying MCP corrections to reanalysis or coarse-model datasets, specifically in complex terrain or heterogeneous environments where local effects are significant. The magnitude of the increase depends on the complexity of the terrain at the site, the resolution and accuracy of the reference dataset, the quality and representativeness of the ground measurements, and the effectiveness of the MCP correction and refinement techniques (such as temporal shifting). In simpler or flat terrain, or where coarse datasets already closely represent the local climatology, the MCP-corrected values may align more closely with ERA5 or show smaller variations. But for complex terrain with significant local meteorological variability, increases in predicted wind speed and energy from MCP-correction relative to ERA5 are expected and highlight the value of measurement-based corrections for long-term wind resource assessment.
To further evaluate the MCP-corrected time series, Figure 9 presents a comparison of wind speed predictions and associated error bands for both the MCP-corrected (prediction) data and the ERA5 reanalysis data for a small temporal window of 2.5 months. The shaded regions represent the error bands around each value, derived from the corresponding ground-based meteorological data. The selected time period is chosen in order to plot the varying data distribution in a conforming and clear manner. The time window from mid-October to late December characterizes a meteorologically unstable season with strong and rapidly varying weather conditions, providing a robust context to demonstrate model performance and uncertainty. The MCP prediction frequently registers higher wind speed peaks and maintains a generally larger dynamic range than the ERA5, consistent with MCP’s correction for local orographic speed-ups. MCP error bands generally appear narrower and track the prediction line closely, indicating higher certainty associated with locally corrected predictions. In contrast, the ERA5 error bands are wider in several periods, reflecting greater uncertainty and less precise alignment with realistic site wind distribution. Both time series capture major seasonal spikes, but the MCP approach often predicts more pronounced peaks, notably in late November and throughout December. This illustrates the MCP’s improved sensitivity to abrupt wind events crucial for wind energy production estimation. There appear to be periods where MCP systematically predicts higher wind speeds than ERA5, a likely result of effective MCP adjustment compensating for ERA5’s coarse representation and highlighting the benefit of site-specific measurement integration. These findings are also in accordance with the monthly-averaged wind distribution presented in Figure 8. Figure 9 demonstrates that the MCP-corrected approach provides not only a more locally relevant and often higher wind speed time series, but also does so with reduced uncertainty and robust energy yield forecasting. The comparative error bands visually reinforce the quantitative advantage of site-calibrated predictions in complex terrain.

4. Results and Discussion

The current methodology is applied for a realistic wind farm siting as shown in Figure 10. It presents the spatial distribution of mean wind speed at 78 m.a.g.l. for the reference site “S3”, along with the proposed siting positions (A1–A13) for thirteen wind turbine generators (WTGs) with an 82 m rotor diameter. The analysis integrates wind resource assessment with topographic influence, as represented by the 4 m contour intervals, within a WGS84/UTM zone 35N (EPSG:32635) coordinate system. The wind resource distribution follows the terrain elevation gradient, with higher wind speeds along ridges and exposed slopes (orange–red zones). Lower wind speeds are observed in valleys and sheltered areas (green–blue zones). Orographic acceleration in turn enhances wind speeds at ridges, making them favorable locations for wind turbine siting in the current location. The wind turbines (A1–A13) are positioned along the ridge, aligning with areas of relatively higher mean wind speed (yellow–orange regions). The siting aims to maximize exposure to higher wind speeds while maintaining spacing to minimize wake effects between turbines. The west-to-east orientation of the ridge-line ensures that the siting positions are nearly perpendicular to the oncoming northerly wind directions (please refer to Table 6), thus minimizing wake losses due to the interaction between the WTGs. The highest wind speeds are observed near WTGs A11 and A12, suggesting optimal power generation potential in this area. Positions A1–A5 and A13 have lower wind speeds. The previous analysis (from MCP-corrected data) estimated a mean wind speed of 7.14 m/s at 78 m.a.g.l., which aligns with the higher wind speed zones observed in this map. The Weibull distribution parameters from the corrected dataset (k = 1.68, C = 6.86) suggest a broader wind speed distribution, potentially affecting turbulence and wake interactions. Here the ridge-based siting strategy is well-aligned with wind resource potential, with A11 and A12 identified as the most promising locations. The proposed positions (A1–A13) are restricted by land ownership constraints, making the current siting optimal.
The gross/net annual energy production of the proposed wind farm is presented in Table 7. The capacity factor (CF) for the proposed wind farm is 26.98%, which is a reasonable value for a terrestrial wind project. This suggests that the site has moderate-to-good wind potential. The CF is influenced by the mean wind speed, the wake losses, and the terrain effects. Since this is a ridge-line installation, local terrain-induced speed-ups and turbulence can impact turbine performance and wake interactions. The total wake losses across the farm amount to 2.31 GWh/year (3.41%). The turbines with the highest gross AEP (A7, A8, and A11) also show moderate wake losses, but their net contribution remains high. With CF = 26.98%, the wind farm is well-positioned for reliable energy generation. Larger rotor diameters would have increased the swept area, and thus the energy capture nearly proportional to the square of the diameter, while also accessing higher wind speeds through vertical shear effects that can boost AEP by nearly 20% for modern turbines transitioning from 80 to 120 m in rotor diameter. Higher hub-heights similarly reduce shear losses and turbulence exposure, yielding a 5 to 15% AEP increase, though this amplifies terrain-induced uncertainty via dRIX as rotors sweep through more heterogeneous flow. Conversely, larger rotors increase wake losses (up to 20% additional losses in ridgeline layouts) and require refined turbine siting techniques for loss minimalization.

4.1. Wind Speed Uncertainty

For calculation of the twenty-year probability of exceedance curve of the net AEP, the uncertainty of the parameters used in the estimation of the wind potential (wind speed uncertainty, σ U ) should be investigated, followed by the uncertainty in the energy calculation that was performed (energy uncertainty, σ E ). The main parameters affecting the uncertainty analysis with respect to wind speed are summarized below.
(i) Uncertainty of wind measurements ( σ M ): The measurements were conducted following the corresponding wind potential measurement procedure developed by the Energy Systems Synthesis Lab and adhere to the ISO 17025 IEC61400_12 standard for wind measurements [23,24]. The aforementioned measurement uncertainty is based on a normal uncertainty, multiplied by a coverage factor k = 2.95, providing a confidence level of approximately 95%. The uncertainty calculation was performed in accordance with the requirements of [23,24] and σ M is calculated as in Equation (5), as the root-sum-square of all independent uncertainties. The distribution per wind speed bin is presented in Table 8 resulting in σ M =1.481 m/s.
(ii) Uncertainty of the MCP method between short-term ground-based wind measurements and long-term ERA5 data ( σ M C P ): The total error estimation is calculated from Equation (10) resulting in σ M C P = 1.975 m/s absolute error or σ M C P = 32.17% relative error. Relevant studies [3,5,31,32] show that MCP-related errors in the double-digit range are common once sites depart from flat, well-instrumented terrain and especially when short on-site campaigns are combined with coarser long-term data. Detailed analyses of MCP methods for offshore and coastal sites report normalized mean absolute or squared errors in power output that easily exceed 10–20% depending on methodology, reference-site choice, and height, even with lidar measurements available. Reviews and uncertainty studies emphasize that, in complex terrain and data-limited situations, MCP and vertical-extrapolation components are often among the dominant contributors to overall AEP uncertainty. Despite the error steepness, it is important to be able to quantify the uncertainty of the wind speed distribution for a long-term calculation. A twenty-year distribution estimation is essential in wind farm techno-economic strategic planning.
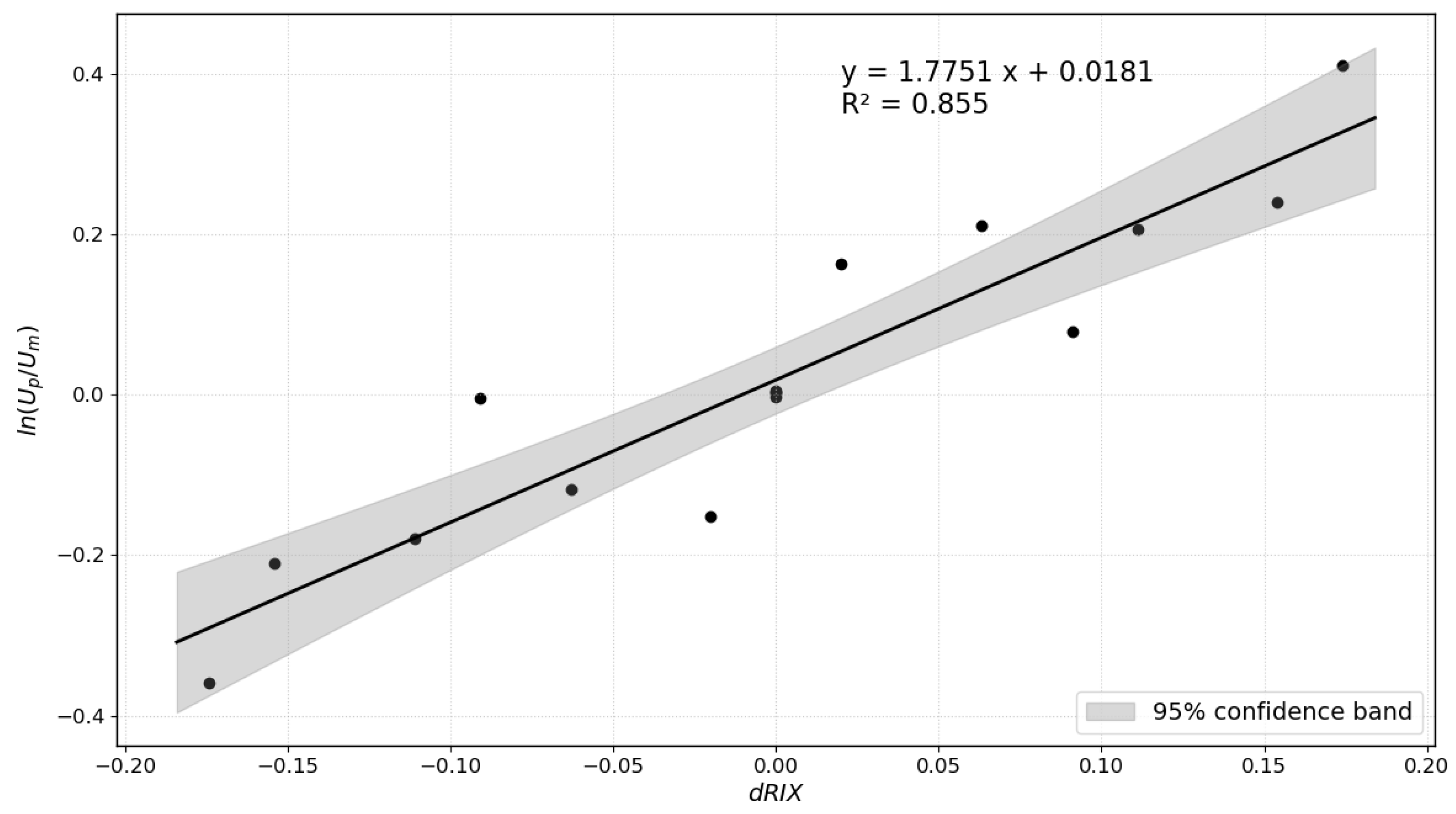
(iii) Uncertainty due to terrain effects, and computational error (WAsP model [29]) ( σ d R I X ): Although the above uncertainty sources are considered independent, according to Bowen & Mortensen [31,33,34], they can be summed into a single value, taking into account the RIX and dRIX factors of the computational model, the Weibull distribution of the actual measurements, the wind rose directional distribution, and the shape and roughness of the surrounding topography. The RIX ruggedness index) and z0 (roughness length) factors crucially affect numerous parameters when calculating the wind potential of a region, such as the vertical wind shear and the results from the orographic acceleration model. The corresponding orographic performance indicator (dRIX) is defined as the difference between the RIX value from the wind potential estimation location and the RIX value from the measurement location (dRIX = RIXestim.RIXmeas.). Specifically, the dRIX factor is a significant measure of the error in overestimating or underestimating the local wind speed at hub-height compared to the measured wind speed. Typical RIX values for regions with complex topography in Hellas range from 20% to 30%, rarely exceeding this range. Built on the analysis in [31,33,34], it is fairly easy to associate the wind speed prediction error as a function of the difference in ruggedness index (dRIX). The method is based on cross-correlating the predicted (Up) vs. measured (Um) wind speed values from the four surrounding meteorological stations sites (“S1” to “S4”) and establishing a relationship based on regression analysis. A linear regression between dRIX and l n ( U p / U m ) yields l n ( U p / U m ) = 1.7751dRIX + 0.0181 with R2 = 0.855. Figure 11 includes the 95% confidence band of the regression line, illustrating the uncertainty of the fitted relationship.
Based on this relationship, the dRIX distribution can be linked to the computational uncertainty distribution for the surrounding area. In Figure 12, the orographic performance indicator (dRIX) distribution is provided in the upper plot and the absolute value of the associated computational model uncertainty σ d R I X = U p U m / U m distribution is given in the lower plot based on the reference site “S3” with siting positions for thirteen 82 m diameter wind turbines along the mountain ridge line (A1–A13). The four red star-shaped meteorological stations and sites of interest are labeled as “S1” to “S4”. For the wind farm located at “S3”, based on the given dRIX values for the thirteen WTGs (Table 9), the mean error is estimated at σ d R I X = 3.74%. This is a Type B error estimate across the 13 WTGs and is calculated as root-average-squared, contrary to the Type A total error estimates for σ M   a n d   σ M C P which are root-sum-squared across the wind speed bin distribution.

4.2. Energy Uncertainty

Energy uncertainty depends on the normalized power curve of the wind turbine, the annual and multi-year wind speed distribution, the surrounding terrain’s topography, etc. Wind speed uncertainties σ M ,   σ M C P ,   σ d R I X are estimated as percentages based on wind speed distribution. For calculation of the energy uncertainty, these parameters can be associated in relation to the normalized power curve of the wind turbine and the wind speed Weibull distribution, in order to yield their corresponding energy uncertainties σ M , E ,   σ M C P , E ,   σ d R I X , E . The reader is encouraged to refer to [4,23,24,28,35,36] for more details on the methodology. For the given wind turbine power curve shown in Figure 13 and using Equations (11) and (12), it is estimated that σ M , E = 1281.21 MWh or σ M , E = 1.962% as relative error. Despite the fact that a clear relationship between σ M and σ M , E is expected, this is not the case here. By examining the shape of the power curve, it is obvious that past the rated wind speed, the power curve flattens out, thus leading to zero contribution to the energy uncertainty from that point onward. Physically, the uncertainty in energy production does not increase proportionally. This is because at low wind speeds, power output is minimal, so even a large percentage uncertainty in wind speed has a limited effect on energy output. Also, at high wind speeds, power output is capped at rated power, as previously mentioned, thus reducing the effect of wind speed uncertainty. The energy yield integrates over all wind speeds. Wind turbines operate at rated power for a significant portion of time, reducing sensitivity. Thus, a 25.53% wind speed uncertainty does not translate directly to an equivalent energy uncertainty. Instead, the energy uncertainty is moderated to 1.962%.
For the MCP energy uncertainty σ M C P , E , a similar process is followed by applying Equations (11) and (12) and in this case the total uncertainty is σ M C P = 1.975 m/s for all bins, as previously mentioned. It is estimated that σ M C P , E = 3612.15 MWh or σ M C P , E = 5.531% as relative error. In this case, the high-value total uncertainty for all wind speed bins inflates the MCP energy uncertainty. This is the reason why a σ M = 25.53% wind speed uncertainty gives rise to a σ M , E = 1.962% wind energy uncertainty, whereas a σ M C P = 32.17% MCP uncertainty results in a σ M C P , E = 5.531% MCP energy uncertainty. To clarify this discrepancy further, when we calculate energy uncertainty per bin using Δ E i = 8760 × Δ u i × P u i u i × f u i , this approach considers the wind speed uncertainty Δ u i and how it propagates through the power curve (using the derivative P u i / u i ) and the Weibull probability density f u i . In uncertainty propagation, we typically use the probability distribution f u i directly, reflecting the fraction of time spent in each bin. Then, the total energy uncertainty Δ E can be obtained using root-sum-of-squares to avoid overestimating uncertainty as Δ E = i ( Δ E i ) 2 . This method appropriately balances the contribution of each bin based on occurrence probability. However, in wind energy calculations, f u i is a representation of frequency not persistence.
For the computational model energy uncertainty σ d R I X , E , the same calculation applies as for σ M C P , E . In this case, the initial wind speed uncertainty estimates σ d R I X change per wind turbine siting position as shown in Table 9. It is estimated that σ d R I X , E = 1496.24 MWh or σ d R I X , E = 2.291% as relative error.
Here, two additional uncertainty sources are considered and added to the above. (i) Uncertainty due to the effect of the wake model σ W , E : According to the Jensen [37] and Katic et al. [30] wake propagation model, the wind speed distribution in the wake of a wind turbine is proportional to the free shear flow speed. Therefore, the average error in losses due to the aerodynamic effects of a turbine on its neighbors (3.41%), as shown in Table 7, is proportional to the corresponding wind speed error over a twenty-year period. This is a Type B uncertainty scaled by a 1 / 3 factor and yields σ W , E = 1.969% or σ W , E = 1285.66 MWh. (ii) Uncertainty due to wind farm energy loss factors σ L , E : Losses due to mechanical availability of wind turbines (2%), losses due to network penetration limitations of the wind park, and energy transmission losses (1%). It is estimated that the Type B uncertainty of these loss factors is around σ L , E = 1%, or σ L , E = 653.030 MWh, and thus each one contributes to the total uncertainty of the calculation.
Table 10 summarizes the principal parameters used in the estimation of the total uncertainty of the current calculation and Table 11 the total wind and energy uncertainty categories.
Based on the uncertainty results, it is possible to calculate the probability of exceedance distribution for the net AEP and the given siting positions. Figure 14 and the embedded table illustrate the probability of exceedance distribution for the net AEP of the wind farm, expressed in megawatt-hours (MWh). This statistical representation quantifies the uncertainty associated with energy yield forecasts by expressing the likelihood that a given AEP value will be met or exceeded within a typical year. The curve shows a clear monotonically decreasing trend, which is characteristic of exceedance probability distributions. As the probability of exceedance increases from 1% to 99%, the corresponding net AEP values decrease, reflecting increasing conservatism in the energy yield estimation. This inverse relationship encapsulates the risk associated with achieving different levels of energy output: lower exceedance probabilities correspond to higher, less certain yields, while higher probabilities are associated with lower, more conservative estimates. P50 (65,302.95 MWh) is the base-case scenario and represents the median or best estimate, meaning there is a 50% chance the actual AEP will exceed this value. P75 (62,362.36 MWh) and P90 (59,715.73 MWh) indicate more conservative forecasts, with a 75% and 90% likelihood, respectively, of being exceeded. P95 (58,131.83 MWh) is a highly unlike, very conservative estimate, commonly used to stress-test financial returns under worst-case conditions. Conversely, lower exceedance levels such as P10 (70,890.17 MWh) and P5 (72,474.07 MWh) correspond to more optimistic scenarios with only a 10% or 5% chance of being exceeded. The difference between high and low probability exceedance levels (e.g., P5 to P95 range is ~14,342 MWh) quantitatively reflects the uncertainty spread in the energy yield estimate. A narrower spread would indicate greater confidence in the forecast, while a wider spread, as seen here, highlights the significant variability stemming from meteorological uncertainty, model error, and other sources.
In summary, this exceedance probability distribution provides a comprehensive probabilistic framework for evaluating wind energy yield, facilitating robust decision-making by accounting for both upside potential and downside risk. The shape of the curve and range of values emphasize the critical importance of incorporating uncertainty quantification into wind resource assessment and energy production forecasting.

5. Conclusions

The applied methodology demonstrates an integrated approach to wind farm siting, incorporating spatial wind resource distribution, terrain effects, and long-term wind prediction. The site under investigation exhibits a favorable topographic profile, where higher wind speeds align with ridges and exposed slopes. Thirteen wind turbines (A1–A13) are positioned along a ridge line, oriented nearly perpendicular to the prevailing northerly winds. This arrangement effectively captures elevated wind speeds while minimizing wake losses through adequate spacing and alignment. Turbines A11 and A12 are identified as having the highest wind speeds and, consequently, the highest power generation potential. The estimated capacity factor for the proposed layout is 26.98%, indicating moderate-to-good wind potential for an onshore wind farm. Wake losses across the site are estimated at 3.41% (2.31 GWh/year), with turbines A7, A8, and A11 demonstrating both high gross energy output and manageable wake effects. The site layout, while optimized for wind exposure, is also influenced by land ownership constraints, making the current configuration optimal under practical limitations. A comprehensive uncertainty analysis was conducted to quantify the reliability of the long-term net annual energy production estimate. Three primary sources of wind speed uncertainty were evaluated: measurement uncertainty, model correlation uncertainty, and terrain-induced computational uncertainty. The measurement uncertainty, based on ISO/IEC standard procedures and a 95% confidence level, was calculated at 1.481 m/s, or 25.53% relative error, and the MCP-based long-term method yielded a higher uncertainty of 1.975 m/s, or 32.17%. The computational model uncertainty, derived from the difference in ruggedness index (dRIX) between the measurement site and turbine positions, was estimated at 3.74%, highlighting the influence of local topography on wind flow and model accuracy. These wind speed uncertainties were propagated through the turbine power curve using a bin-wise method weighted by the Weibull probability distribution. The resulting energy uncertainties were estimated as follows: 1281.2 MWh (1.962%) for measurement uncertainty, 3612.2 MWh (5.531%) for MCP method uncertainty, and 1496.2 MWh (2.291%) for terrain and model-related uncertainty. Additional sources contributing to total energy uncertainty include the wake model, estimated at 1.969% (1285.7 MWh), and general wind farm energy loss factors such as mechanical availability and grid limitations, which contribute approximately 1.732% (653.0 MWh). All uncertainty sources were combined using a root-sum-square approach, yielding a total estimated energy uncertainty of 4359.7 MWh or 6.824% relative error. It is important to note that while wind speed uncertainties can exceed 25–30%, their impact on energy production is moderated by the turbine power curve, particularly in regions where output is capped at rated power or negligible at low wind speeds. As a result, energy uncertainty remains significantly lower than the corresponding wind speed uncertainty, reinforcing the robustness of the energy yield estimate for long-term planning and project bankability.
The probabilistic assessment of the wind farm’s net annual energy production, expressed through the probability of exceedance (PoE) distribution, highlights the range and likelihood of expected yields under varying risk scenarios. The median estimate (P50) is 65,303 MWh, representing the most probable outcome based on current wind resource characterization and modeling assumptions. Conservative projections, such as P75 and P90, yield 62,362 MWh and 59,716 MWh, respectively, capturing the expected output under risk-averse financial planning conditions. Conversely, optimistic scenarios, represented by P10 and P5, yield 70,890 MWh and 72,474 MWh, respectively, but with a lower probability of realization. The spread between high-confidence and low-confidence estimates (P5–P95 range of ~ 14,342 MWh) reflects the inherent uncertainty in long-term energy predictions. This range underscores the importance of incorporating exceedance probabilities into energy yield reporting, particularly for investment-grade analyses, where balancing expected returns against uncertainty is critical.
A few future research additions would include using higher-resolution reanalysis products, e.g., ERA5-Land or Copernicus European Regional Reanalysis (CERRA) datasets, in order to better capture orographic speed-up and local circulation features; coupling the MCP framework with mesoscale numerical weather prediction tools such as WRF to refine the long-term wind climate in complex terrain; and integrating machine learning-based MCP variants or long short-term memory (LSTM) networks in order to capture non-linear terrain effects and improve correlation in data-sparse regimes. These extensions are left for future work but are fully compatible with the present methodology and would further consolidate the robustness of long-term AEP estimates in mountainous regions.

Author Contributions

Conceptualization, G.V.K. and C.C.; methodology, G.V.K. and C.C.; software, G.V.K. and C.C.; validation, G.V.K. and C.C.; formal analysis, G.V.K. and C.C.; investigation, G.V.K.; resources, G.V.K.; data curation, G.V.K. and C.C.; writing—original draft preparation, G.V.K. and C.C.; writing—review and editing, G.V.K. and C.C.; visualization, G.V.K.; supervision, G.V.K. and C.C.; project administration, G.V.K. and C.C.; funding acquisition, C.C. All authors have read and agreed to the published version of the manuscript.

Funding

The work presented is based on research conducted within the framework of the Horizon Europe European Commission project CRETE VALLEY (Grant Agreement No. 101136139). The content of the paper is the sole responsibility of its authors and does not necessary reflect the views of the EC.

Data Availability Statement

The data presented in this study are available on request from the corresponding author. The data are not publicly available due to privacy reasons.

Conflicts of Interest

The authors declare no conflicts of interest.

References

  1. Ayuso-Virgili, G.; Christakos, K.; Lande-Sudall, D.; Lummen, N. Decision-Tree-Based Approaches for Wind and Wave Energy Estimation. Wind Energy Sci. 2023, 8, 1533. [Google Scholar] [CrossRef]
  2. Ayuso-Virgili, G.; Christakos, K.; Lande-Sudall, D.; Lummen, N. Measure-correlate-predict methods to improve the assessment of wind and wave energy availability at a semi-exposed coastal area. Energy 2024, 309, 132904. [Google Scholar] [CrossRef]
  3. Carta, J.A.; Velazquez, S.; Cabrera, P. A review of measure-correlate-predict (MCP) methods used to estimate long-term wind characteristics at a target site. Renew. Sustain. Energy Rev. 2013, 27, 362–400. [Google Scholar] [CrossRef]
  4. Miguel, J.V.P.; Fadigas, E.A.; Sauer, I.L. The Influence of the Wind Measurement Campaign Duration on a Measure-Correlate-Predict (MCP)-Based Wind Resource Assessment. Energies 2019, 12, 3606. [Google Scholar] [CrossRef]
  5. Mifsud, M.D.; Sant, T.; Farrugia, R.N. Analysing uncertainties in offshore wind farm power output using measure–correlate–predict methodologies. Wind Energy Sci. 2020, 5, 601–621. [Google Scholar] [CrossRef]
  6. Karapidakis, E.; Koutsourou, K.; Katsigiannis, I.; Yfanti, S.; Iliadis, I. Correlation Analysis of Electricity Prices in Hellenic Wholesale Electricity Market. In Proceedings of the 2023 4th International Conference on Communications, Information, Electronic and Energy Systems (CIEES), Plovdiv, Bulgaria, 23–25 November 2023; pp. 1–4. [Google Scholar]
  7. Karapidakis, E.; Markaki, M.; Kikaki, A.; Yfanti, S.; Nikologiannis, M. Introduction of Electricity Storage and Photovoltaics for an Adequate Self-Sufficiency in Large Building Complexes. WSEAS Trans. Environ. Dev. 2024, 20, 37–45. [Google Scholar] [CrossRef]
  8. Yfanti, S.; Katsaprakakis, D.; Sakkas, N.; Condaxakis, C.; Karapidakis, E.; Syntichakis, S.; Stavrakakis, G.M. The Role of Energy Communities in the Achievement of a Region’s Energy Goals: The Case of a Southeast Mediterranean Region. Energies 2025, 18, 1327. [Google Scholar] [CrossRef]
  9. Stavrakakis, G.M.; Bakirtzis, D.; Tziritas, D.; Zervas, P.L.; Fotakis, E.; Yfanti, S.; Savvakis, N.; Katsaprakakis, D.A. Measurement-Based Assessment of Energy Performance and Thermal Comfort in Households Under Non-Controllable Conditions. Energies 2025, 18, 1087. [Google Scholar] [CrossRef]
  10. Yfanti, S.; Sakkas, N.; Karapidakis, E. An Event-Driven Approach for Changing User Behaviour towards an Enhanced Building’s Energy Efficiency. Buildings 2020, 10, 183. [Google Scholar] [CrossRef]
  11. González-Aparicio, I.; Zucker, A. Impact of wind power uncertainty forecasting on the market integration of wind energy in Spain. J. Appl. Energy 2015, 156, 372–385. [Google Scholar] [CrossRef]
  12. Amirinia, G.; Kamranzad, B.; Mafi, S. Wind and wave energy potential in southern Caspian Sea using uncertainty analysis. Energy 2017, 140, 301–312. [Google Scholar] [CrossRef]
  13. Zhang, Y.; Wang, J.; Wang, X. Review on probabilistic forecasting of wind power generation. J. Renew. Sustain. Energy Rev. 2014, 30, 538–550. [Google Scholar] [CrossRef]
  14. De-Prada-Gil, M.; Lerch, M.; Molins, C. Sensitivity analysis on the levelized cost of energy for floating offshore wind farms. J. Sustain. Energy Technol. Assess. 2018, 27, 45–56. [Google Scholar]
  15. Song, K.; Gao, C.; Dyer, N. Environmental impact analysis of power generation from biomass and wind farms in different locations. J. Renew. Sustain. Energy Rev. 2019, 101, 567–578. [Google Scholar]
  16. Adedeji, P.A.; Akinlabi, S.; Madushele, N. Wind turbine power output very short-term forecast: A comparative study of data clustering techniques in a PSO-ANFIS model. J. Clean. Prod. 2020, 242, 118450. [Google Scholar] [CrossRef]
  17. Yan, J.; Zhang, J.; Infield, D. Short-term forecasting and uncertainty analysis of wind turbine power based on long short-term memory network and Gaussian mixture model. J. Appl. Energy 2019, 245, 261–272. [Google Scholar]
  18. Díaz, G.; Gómez-Aleixandre, J.; Coto, J. Wind power scenario generation through state-space specifications for uncertainty analysis of wind power plants. J. Appl. Energy 2016, 182, 172–184. [Google Scholar] [CrossRef]
  19. Nasery, S.; Matci, D.K.; Avdan, U. GIS-based wind farm suitability assessment using fuzzy AHP multi-criteria approach: The case of Herat, Afghanistan. J. Arab. J. Geosci. 2021, 14, 567. [Google Scholar] [CrossRef]
  20. Zhang, J.; Zhang, M.; Li, Y.; Qin, J.; Wei, K.; Song, L. Analysis of wind characteristics and wind energy potential in complex mountainous region in southwest China. J. Clean. Prod. 2020, 274, 123036. [Google Scholar] [CrossRef]
  21. Caputo, A.C.; Federici, A.; Pelagagge, P.M.; Salini, P. Offshore wind power system economic evaluation framework under aleatory and epistemic uncertainty. J. Appl. Energy 2023, 331, 120000. [Google Scholar] [CrossRef]
  22. Ayodele, T.R.; Munda, J.L. Potential and economic viability of green hydrogen production by water electrolysis using wind energy resources in South Africa. Int. J. Hydrogen Energy 2019, 44, 17669–17687. [Google Scholar] [CrossRef]
  23. IEC 61400-12-1:2017; Wind Turbines—Part 12-1: Power Performance Measurements of Electricity Producing Wind Turbines. International Electrotechnical Commission: Geneva, Switzerland, 2017.
  24. ISO/IEC 17025:2017; General Requirements for The Competence of Testing and Calibration Laboratories. International Organization for Standardization: Geneva, Switzerland, 2017.
  25. Danielson, J.J.; Gesch, D.B. Global Multi-Resolution Terrain Elevation Data 2010 (GMTED2010); Geological Survey Open-File Report 2011-1073; U.S. Geological Survey: Reston, VA, USA, 2011. [Google Scholar]
  26. Friedl, M.A.; Sulla-Menashe, D.; Tan, B.; Schneider, A.; Ramankutty, N.; Sibley, A.; Huang, X. MODIS Collection 5 global land cover: Algorithm refinements and characterization of new datasets. Remote Sens. Environ. 2010, 114, 168–182. [Google Scholar] [CrossRef]
  27. Copernicus Climate Change Service (C3S). ERA5: Fifth Generation of ECMWF Atmospheric Reanalyses of the Global Climate; Copernicus Climate Change Service (C3S): Reading, UK, 2019. [Google Scholar]
  28. Centre for Renewable Energy Sources (CRES). WindRose Wind Data Analysis Tool; Centre for Renewable Energy Sources (CRES): Pikermi, Greece, 2006.
  29. Mortensen, N.G.; Heathfield, D.N.; Rathmann, O.S.; Nielsen, M. Wind Atlas Analysis and Application Program: WAsP 10 Help Facility; DTU Wind Energy: Roskilde, Denmark, 2011. [Google Scholar]
  30. Katic, I.; Højstrup, J.; Jensen, N.O. A simple model for cluster efficiency. In Proceedings of the European Wind Energy Association Conference and Exhibition, Rome, Italy, 7–9 October 1986; pp. 407–410. [Google Scholar]
  31. Bowen, A.J.; Mortensen, N.G. Exploring the limits of WAsP the wind atlas analysis and application program. In Proceedings of the 1996 European Wind Energy Conference and Exhibition, Gothenburg, Sweden, 20–24 May 1996; pp. 584–587. [Google Scholar]
  32. Lackner, M.A.; Rogers, A.L.; Manwell, J.F. Uncertainty Analysis in MCP-Based Wind Resource Assessment and Energy Production Estimation. J. Sol. Energy Eng. 2008, 130, 031006. [Google Scholar] [CrossRef]
  33. Bowen, A.J.; Mortensen, N.G. WAsP Prediction Errors Due to Site Orography; 8755023207; Risoe-R-995(EN); Risø National Laboratory: Roskilde, Denmark, 2004. [Google Scholar]
  34. Mortensen, N.G.; Tindal, A.; Landberg, L. Field validation of the ΔRIX performance indicator for flow in complex terrain. In Proceedings of the 2008 European Wind Energy Conference and Exhibition, Brussels, Belgium, 31 March–3 April 2008. [Google Scholar]
  35. Abramowitz, M.; Stegun, I.A. Handbook of Mathematical Functions with Formulas, Graphs, and Mathematical Tables; US Government Printing Office: Washington, DC, USA, 1968; Volume 55. [Google Scholar]
  36. Weisstein, E.W. CRC Concise Encyclopedia of Mathematics; Chapman and Hall/CRC: Boca Raton, FL, USA, 2002. [Google Scholar]
  37. Jensen, N.O. Note on Wind Generator Interaction [Wakes]; Risoe National Lab.: Roskilde, Denmark, 1983; 16p. [Google Scholar]
Figure 1. Typical 10 m height anemometer and wind-vane mast configuration top-down view (left) and isometric view (right), according to the installation instructions of the ISO 17025 IEC61400_12 standards for wind measurements. Here, the arrows depict the expected prevailing wind direction.
Figure 1. Typical 10 m height anemometer and wind-vane mast configuration top-down view (left) and isometric view (right), according to the installation instructions of the ISO 17025 IEC61400_12 standards for wind measurements. Here, the arrows depict the expected prevailing wind direction.
Energies 19 00103 g001
Figure 2. Mean hourly wind speed variation at 10.4 m.a.g.l. based on the current measuring campaign.
Figure 2. Mean hourly wind speed variation at 10.4 m.a.g.l. based on the current measuring campaign.
Energies 19 00103 g002
Figure 3. Energy wind rose (left) at 10.4 m.a.g.l. and temporal wind rose (right) at 8.6 m.a.g.l. based on the current measuring campaign. Visualization via CRES-Windrose software.
Figure 3. Energy wind rose (left) at 10.4 m.a.g.l. and temporal wind rose (right) at 8.6 m.a.g.l. based on the current measuring campaign. Visualization via CRES-Windrose software.
Energies 19 00103 g003
Figure 4. Directional sectors’ data distribution and wind speed based on the current measuring campaign. Visualization via CRES-Windrose software.
Figure 4. Directional sectors’ data distribution and wind speed based on the current measuring campaign. Visualization via CRES-Windrose software.
Energies 19 00103 g004
Figure 5. Temporal wind rose comparison between the twenty-year ERA5 (left) and the MCP-corrected time series (right). Dark blue sectors: Prevailing direction in time. Green sectors: Higher wind energy containment sectors. Visualization via CRES-Windrose software.
Figure 5. Temporal wind rose comparison between the twenty-year ERA5 (left) and the MCP-corrected time series (right). Dark blue sectors: Prevailing direction in time. Green sectors: Higher wind energy containment sectors. Visualization via CRES-Windrose software.
Energies 19 00103 g005
Figure 6. Wind speed variation rose (energy wind rose) comparison between the 20-year ERA5 (left) and the MCP-corrected time series (right). Visualization via CRES-Windrose software.
Figure 6. Wind speed variation rose (energy wind rose) comparison between the 20-year ERA5 (left) and the MCP-corrected time series (right). Visualization via CRES-Windrose software.
Energies 19 00103 g006
Figure 7. Directional sectors data distribution and wind speed based comparison between the twenty-year ERA5 (left) and the MCP-corrected time series (right). Visualization via CRES-Windrose software.
Figure 7. Directional sectors data distribution and wind speed based comparison between the twenty-year ERA5 (left) and the MCP-corrected time series (right). Visualization via CRES-Windrose software.
Energies 19 00103 g007
Figure 8. Reference and predicted monthly mean, minimum, and maximum wind speed distribution for the equivalent height of 10.4 m.a.g.l. for the reference site “S3”, based on ERA5 data from 1999 to 2018.
Figure 8. Reference and predicted monthly mean, minimum, and maximum wind speed distribution for the equivalent height of 10.4 m.a.g.l. for the reference site “S3”, based on ERA5 data from 1999 to 2018.
Energies 19 00103 g008
Figure 9. Wind speed distributions and associated error bands for the MCP-corrected data (upper) and the ERA5 reanalysis (lower) for an indicative temporal window of 2.5 months. Error bands are derived from the corresponding ground-based meteorological data for the same period.
Figure 9. Wind speed distributions and associated error bands for the MCP-corrected data (upper) and the ERA5 reanalysis (lower) for an indicative temporal window of 2.5 months. Error bands are derived from the corresponding ground-based meteorological data for the same period.
Energies 19 00103 g009
Figure 10. Wind resource assessment for the reference site “S3” at 78 m.a.g.l. hub-height with siting positions for thirteen 82 m diameter wind turbines along the mountain ridge line (A1–A13). Filled contour units: mean wind speed (m/s). Horizontal units: meters (under WGS 84/UTM zone 35N—EPSG:32635). The topographic contour interval is set at 4 m. The star-shaped position is the location of the meteorological station “S3”.
Figure 10. Wind resource assessment for the reference site “S3” at 78 m.a.g.l. hub-height with siting positions for thirteen 82 m diameter wind turbines along the mountain ridge line (A1–A13). Filled contour units: mean wind speed (m/s). Horizontal units: meters (under WGS 84/UTM zone 35N—EPSG:32635). The topographic contour interval is set at 4 m. The star-shaped position is the location of the meteorological station “S3”.
Energies 19 00103 g010
Figure 11. Wind speed prediction error as a function of the difference in ruggedness indices (dRIX) between the predicted site and the predictor site in a log-linear plot. The 95% confidence band of the regression line illustrates the uncertainty of the fitted relationship.
Figure 11. Wind speed prediction error as a function of the difference in ruggedness indices (dRIX) between the predicted site and the predictor site in a log-linear plot. The 95% confidence band of the regression line illustrates the uncertainty of the fitted relationship.
Energies 19 00103 g011
Figure 12. Orographic performance indicator (dRIX) distribution (upper) and absolute value of the computational model uncertainty (σdRIX) distribution (lower) based on the reference site “S3” with siting positions for thirteen 82 m diameter wind turbines along the mountain ridge line (A1–A13). Upper filled contour units: dRIX (%). Lower filled contour units: σdRIX (%). Horizontal units: meters (under WGS 84/UTM zone 35N—EPSG:32635). The topographic contour interval is set at 4 m. The four red star-shaped meteorological stations sites are labeled as “S1” to “S4”. The coloring of WTGs A1–A13 is changed for clarity between the two plots.
Figure 12. Orographic performance indicator (dRIX) distribution (upper) and absolute value of the computational model uncertainty (σdRIX) distribution (lower) based on the reference site “S3” with siting positions for thirteen 82 m diameter wind turbines along the mountain ridge line (A1–A13). Upper filled contour units: dRIX (%). Lower filled contour units: σdRIX (%). Horizontal units: meters (under WGS 84/UTM zone 35N—EPSG:32635). The topographic contour interval is set at 4 m. The four red star-shaped meteorological stations sites are labeled as “S1” to “S4”. The coloring of WTGs A1–A13 is changed for clarity between the two plots.
Energies 19 00103 g012
Figure 13. Τypical power curve of a 2 MW rated wind turbine generator (left, blue axis) overlaid with the derivative of the power curve d P / d u (right, red axis) and the Weibull–PDF distribution (right, gray axis), showing its narrow-band influence in uncertainty propagation in Equations (11) and (12).
Figure 13. Τypical power curve of a 2 MW rated wind turbine generator (left, blue axis) overlaid with the derivative of the power curve d P / d u (right, red axis) and the Weibull–PDF distribution (right, gray axis), showing its narrow-band influence in uncertainty propagation in Equations (11) and (12).
Energies 19 00103 g013
Figure 14. Net AEP probability of exceedance distribution for the given siting positions for wind farm S3. The wide spread highlights the significant variability stemming from meteorological uncertainty, model error, and other uncertainty sources.
Figure 14. Net AEP probability of exceedance distribution for the given siting positions for wind farm S3. The wide spread highlights the significant variability stemming from meteorological uncertainty, model error, and other uncertainty sources.
Energies 19 00103 g014
Table 1. Usual continuous probability functions used in the current calculations.
Table 1. Usual continuous probability functions used in the current calculations.
DistributionProbability FunctionParametersMeanVariance
Uniform 1 b a I a , b x a , b R ,   a < b a + b 2 b a 2 12
Normal 1 2 π σ e x μ 2 2 σ 2 μ R ,   σ R + * μ σ 2
Exponential λ e λ x λ > 0 1 λ 1 λ 2
Weibull k C V C k 1 e V C k C , k > 0 C Γ 1 + 1 k C 2 Γ 1 + 2 c Γ 1 + 1 k 2
Table 2. Site meteorological station description: 606 m.a.s.l. altitude, 10 m.a.g.l. mast height, Φ70 tube diameter.
Table 2. Site meteorological station description: 606 m.a.s.l. altitude, 10 m.a.g.l. mast height, Φ70 tube diameter.
SensorInstallation Height (m)Boom Angle Degrees, Referred to Magnetic North (0°)
Top anemometer10.185°
Top anemometer10.4267°
Wind vane8.639°
Thermometer2.8165°
Table 3. Measurement system settings for Site 1.
Table 3. Measurement system settings for Site 1.
Description, UnitValue
Main anemometer minimum detection limit (m/s)0.35
Control anemometer minimum detection limit (m/s)0.36
Gust measurements height level (m.a.g.l.)10.4
Measurement averaging period (min)10.0
Sampling period (s)1.00
Data time reference UTC
Table 4. Characteristic results for the current measuring campaign.
Table 4. Characteristic results for the current measuring campaign.
Parameter, Unit10.4 m Level Values
Average velocity (m/s)5.8
Data integrity (%)100
Maximum velocity (gust) (m/s)45.2
Maximum of 10 min average velocity (m/s)31.7
Direction measurement altitude (m.a.g.l.)8.6
Prevailing direction in time distribution (%)NNW17.80
2nd prevailing direction in time distribution (%)SSE12.97
Minimum temperature (°C)−0.2
Maximum temperature (°C)26.1
Table 5. Data distribution and mean wind speed per directional sector based on the current measuring campaign data.
Table 5. Data distribution and mean wind speed per directional sector based on the current measuring campaign data.
DirectionAngle (deg)Data DistributionMean Wind Speed (m/s)
NNE11.25–33.759.94%3.0
NE33.75–56.258.21%3.0
ENE56.25–78.755.26%2.7
E78.75–101.252.75%2.1
ESE101.25–123.752.91%2.6
SE123.75–146.254.18%3.6
SSE146.25–168.7511.20%8.2
S168.75–191.257.47%7.4
SSW191.25–213.756.22%9.4
SW213.75–236.256.49%8.2
WSW236.25–258.751.32%3.6
W258.75–281.250.84%2.3
WNW281.25–303.751.73%3.1
NW303.75–326.255.53%4.4
NNW326.25–348.7515.37%6.0
N348.75–11.2510.57%4.6
Table 6. Comparison of results summary between the twenty-year ERA5 and the MCP-corrected time series.
Table 6. Comparison of results summary between the twenty-year ERA5 and the MCP-corrected time series.
Time Series Results SummaryERA5MCP-Corrected
Mean wind speed (m/s) at 10.4 m.a.g.l.4.926.14
Mean turbulence intensity (%) at 10 m/s bin10.206.54
Max 10 min average wind speed (m/s)20.2843.20
Weibull distribution shape factor, k (-)2.031.68
Weibull distribution scale factor, C (m/s)5.796.86
Estimated mean wind speed (m/s) at 78 m.a.g.l.5.737.14
Best sector in energy containment (direction: data %)N: 13.50%SSW: 19.35%
2nd best sector in energy containment (direction: data %)NNE: 11.88%S: 18.98%
Best sector in time distribution (direction: data %)N: 13.47%N: 16.66%
2nd best sector in time distribution (direction: data %)NNW: 13.13%NNW: 16.33%
Table 7. Annual energy production of the proposed wind farm based on the long-term MCP results and dRIX distribution per site position.
Table 7. Annual energy production of the proposed wind farm based on the long-term MCP results and dRIX distribution per site position.
Siting PositionWind Speed (m/s)dRIX (%)Gross AEP (MWh/Year)Wake Losses (%)Wake Loses (MWh/Year)Net AEP (MWh/Year)
A16.26−10.605073.6913.33%168.7984904.893
A26.26−11.205072.7795.07%257.2454815.535
A36.26−10.805077.27301.95%99.0274978.246
A46.05−10.004788.9061.33%63.8184725.088
A56.1−8.804871.6452.07%100.6934770.952
A66.32−8.105196.2562.76%143.4775052.780
A76.68−5.905717.0654.74%270.9225446.143
A86.61−5.705616.4683.67%205.9175410.551
A96.51−5.305483.4214.73%259.5125223.909
A106.25−6.705111.8205.15%263.0254848.794
A116.59−6.105605.0193.39%190.2225414.797
A126.54−5.905527.4533.98%220.2045307.249
A135.82−7.04466.1881.39%62.1744404.014
Total:−7.8567,607.9843.41%2305.03365,302.951
Capacity Factor26.98%
Table 8. Uncertainty distribution of wind measurements ( σ M ) per wind speed bin based on the main anemometer measurements.
Table 8. Uncertainty distribution of wind measurements ( σ M ) per wind speed bin based on the main anemometer measurements.
Wind Speed Bin (m/s)Anemometer Calibration (m/s)Operational Characteristics
(m/s)
Mounting Effects
(m/s)
Wind DAQ (m/s)Wind Speed Uncertainty
(m/s)
00.180.01440.00000.080.1975
10.180.01590.01000.080.1979
20.180.01730.02000.080.1987
30.180.01880.03000.080.2001
40.180.02020.04000.080.2020
50.180.02170.05000.080.2044
60.180.02310.06000.080.2072
70.180.02450.07000.080.2105
80.180.02600.08000.080.2142
90.180.02740.09000.080.2183
100.180.02890.10000.080.2228
110.180.03030.11000.080.2276
120.180.03180.12000.080.2328
130.180.03320.13000.080.2383
140.180.03460.14000.080.2441
150.180.03610.15000.080.2502
160.180.03750.16000.080.2565
170.180.03900.17000.080.2631
180.180.04040.18000.080.2699
190.180.04190.19000.080.2769
200.180.04330.20000.080.2840
210.180.04470.21000.080.2914
220.180.04620.22000.080.2989
230.180.04760.23000.080.3065
240.180.04910.24000.080.3143
250.180.05050.25000.080.3223
260.180.05200.26000.080.3303
270.180.05340.27000.080.3385
280.180.05480.28000.080.3467
290.180.05630.29000.080.3551
300.180.05770.30000.080.3635
σ M 1.481
Table 9. Uncertainty distribution due to terrain effects and computational error based on the dRIX distribution per site position.
Table 9. Uncertainty distribution due to terrain effects and computational error based on the dRIX distribution per site position.
Siting PositionWind Speed (m/s)dRIX (%) σ d R I X Uncertainty (%)
A16.26−4.35.66
A26.26−4.96.66
A36.26−4.55.99
A46.05−3.74.65
A56.1−2.52.59
A66.32−1.81.38
A76.680.42.55
A86.610.62.92
A96.5113.65
A106.25−0.41.11
A116.590.22.19
A126.540.32.37
A135.82−0.70.57
Mean:6.32−1.563.74
Table 10. Principal parameters employed in the total uncertainty estimation.
Table 10. Principal parameters employed in the total uncertainty estimation.
Parameter Description, UnitValue
Mean annual reference wind speed at 10.4 m.a.g.l. (m/s)5.80
Uncertainty of reference wind measurements (σM) at 10.4 m.a.g.l. (m/s)1.481
Mean long-term reference wind speed at 10.4 m.a.g.l. (m/s)6.14
Mean long-term reference wind speed at hub-height derived from the computational model (m/s)6.59
Estimated wind farm energy production based on annual ground-based wind data (MWh)61,443.547
Estimated wind farm energy production based on long-term wind data (MWh)65,302.951
Impact of wake effect modeling (%)3.41
Losses due to mechanical availability of wind turbines (%)2.00
Losses due to grid penetration of wind farm (%)1.00
Transmission losses (%)1.00
Table 11. Total wind speed and energy uncertainty results per category.
Table 11. Total wind speed and energy uncertainty results per category.
Uncertainty CategoryWind Speed UncertaintyWind Energy Uncertainty
Absolute Error (m/s)Relative Error (%)Absolute Error (MWh)Relative Error (%)
Uncertainty of reference wind measurements (σM, σM,E) at 10.4 m.a.g.l.1.48125.531281.2051.962
Uncertainty of the MCP method (σMCP, σMCP,E)1.97532.173612.1545.531
Uncertainty due to terrain effects and computational error (σdRIX, σdRIX,E)0.1423.741496.2422.291
Impact of wake effect modeling (σW,E) 1285.661.969
Wind farm energy loss factors (σL,E) 653.0301.732
Total Energy Uncertainty 4359.7316.824
Disclaimer/Publisher’s Note: The statements, opinions and data contained in all publications are solely those of the individual author(s) and contributor(s) and not of MDPI and/or the editor(s). MDPI and/or the editor(s) disclaim responsibility for any injury to people or property resulting from any ideas, methods, instructions or products referred to in the content.

Share and Cite

MDPI and ACS Style

Condaxakis, C.; Kozyrakis, G.V. Application of Measure–Correlate–Predict (MCP) Methodology for Long-Term Evaluation of Wind Potential and Energy Production on a Terrestrial Wind Farm Siting Position in the Hellenic Region. Energies 2026, 19, 103. https://doi.org/10.3390/en19010103

AMA Style

Condaxakis C, Kozyrakis GV. Application of Measure–Correlate–Predict (MCP) Methodology for Long-Term Evaluation of Wind Potential and Energy Production on a Terrestrial Wind Farm Siting Position in the Hellenic Region. Energies. 2026; 19(1):103. https://doi.org/10.3390/en19010103

Chicago/Turabian Style

Condaxakis, Constantinos, and Georgios V. Kozyrakis. 2026. "Application of Measure–Correlate–Predict (MCP) Methodology for Long-Term Evaluation of Wind Potential and Energy Production on a Terrestrial Wind Farm Siting Position in the Hellenic Region" Energies 19, no. 1: 103. https://doi.org/10.3390/en19010103

APA Style

Condaxakis, C., & Kozyrakis, G. V. (2026). Application of Measure–Correlate–Predict (MCP) Methodology for Long-Term Evaluation of Wind Potential and Energy Production on a Terrestrial Wind Farm Siting Position in the Hellenic Region. Energies, 19(1), 103. https://doi.org/10.3390/en19010103

Note that from the first issue of 2016, this journal uses article numbers instead of page numbers. See further details here.

Article Metrics

Back to TopTop