Experimental Study on the Effect of Environmental Factors on the Real Driving Emission (RDE) Test
Abstract
1. Introduction
2. Experimental Setup
2.1. Test Vehicles
2.2. Experimental Instruments and Procedure
2.3. Data Processing
3. Results and Discussion
3.1. Effects of Altitude on RDE Emissions
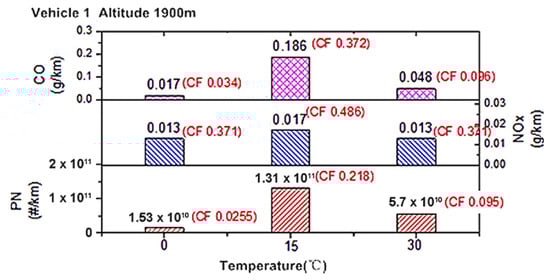
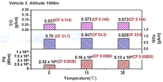
3.2. Effects of Temperature on RDE Emissions
3.3. Effect of Hot and Cold Start on the Emission Results of RDE Test
3.4. Repeatability of RDE Test
4. Conclusions
Author Contributions
Funding
Data Availability Statement
Conflicts of Interest
References
- Li, J.; Gong, C.; Wang, E.; Yu, X.; Wang, Z.; Liu, X. Emissions of Formaldehyde and Unburned Methanol from a Spark-Ignition Methanol Engine during Cold Start. Energy Fuels 2010, 24, 863–870. [Google Scholar] [CrossRef]
- Wang, B.; Xie, F.; Li, X.; Jiang, B.; Su, Y.; Wang, Z.; Liu, Y.; Liang, Z. Optical and simulation investigation of effect of jet-wall interaction on combustion performance of methanol pre-chamber turbulent jet ignition system. Appl. Energy 2025, 385, 125533. [Google Scholar] [CrossRef]
- Wang, H.; Wang, X.; Ge, Y.; Wang, S.; Yang, J.; Ji, C. Analyzing the impact of hydrogen direct injection parameters on flow field and combustion characteristics in Wankel rotary engines. Energy 2025, 319, 135004. [Google Scholar] [CrossRef]
- Weixia, L.; Zhurong, D.; Ling, M.; Guoyuan, W.; Zhijun, D.; Jianfeng, Z.; Wenwei, H. On-road evaluation and regulatory recommendations for NOx and particle number emissions of China VI heavy-duty diesel trucks: A case study in Shenzhen. Sci. Total Environ. 2024, 928, 172427. [Google Scholar] [CrossRef]
- Wasserburger, A.; Hametner, C. Automated Generation of Real Driving Emissions Compliant Drive Cycles Using Conditional Probability Modeling. In Proceedings of the 2020 IEEE Vehicle Power and Propulsion Conference (VPPC), Gijon, Spain, 18 November–16 December 2020; pp. 1–6. [Google Scholar]
- Wang, Y.C.; Su, S.; Lai, Y.T.; Luo, W.Y.; Hou, P.; Lyu, T.; Ge, Y.S. China 6 EGR gasoline vehicles without a GPF may struggle to meet the potential SPN10 limit. Environ. Int. 2023, 181, 6. [Google Scholar] [CrossRef]
- Zhao, H.G.; Shi, L.H.; Xu, X.L.; Qiu, J.S.; Li, L.; Wang, J.F.; Yu, W.H.; Ge, Y.S. Impact of Shortening Real Driving Emission (RDE) Test Trips on CO, NO, and PN Emissions from Different Vehicles. Sustainability 2024, 16, 15. [Google Scholar] [CrossRef]
- Wasserburger, A.; Hametner, C.; Didcock, N. Risk-averse real driving emissions optimization considering stochastic influences. Eng. Optim. 2020, 52, 122–138. [Google Scholar] [CrossRef]
- Wang, Y.; Yin, H.; Wang, J.; Hao, C.; Xu, X.; Wang, Y.; Yang, Z.; Hao, L.; Tan, J.; Wang, X.; et al. China 6 moving average window method for real driving emission evaluation: Challenges, causes, and impacts. J Env. Manag. 2022, 319, 115737. [Google Scholar] [CrossRef]
- Su, S.; Ge, Y.; Hou, P.; Wang, X.; Wang, Y.; Lyu, T.; Luo, W.; Lai, Y.; Ge, Y.; Lyu, L. China VI heavy-duty moving average window (MAW) method: Quantitative analysis of the problem, causes, and impacts based on the real driving data. Energy 2021, 225, 120295. [Google Scholar] [CrossRef]
- Sikai, Z.; Yunshan, G.; Weicheng, C.; Xin, W.; Bin, S.; Wenlin, Y. A research on the effects of different data processing methods on the results of RDE test. Automot. Eng. 2018, 40, 646–651+665. [Google Scholar] [CrossRef]
- Yu, L.X.; Ge, Y.S.; Tan, J.W.; He, C.; Wang, X.Z.; Liu, H.; Zhao, W.; Guo, J.D.; Fu, G.; Feng, X.Y.; et al. Experimental investigation of the impact of biodiesel on the combustion and emission characteristics of a heavy duty diesel engine at various altitudes. Fuel 2014, 115, 220–226. [Google Scholar] [CrossRef]
- Ko, J.; Myung, C.-L.; Park, S. Impacts of ambient temperature, DPF regeneration, and traffic congestion on NOx emissions from a Euro 6-compliant diesel vehicle equipped with an LNT under real-world driving conditions. Atmos. Environ. 2019, 200, 1–14. [Google Scholar] [CrossRef]
- Wang, R.; Zhang, L.; Peng, J.; Han, J.; Du, B.; Gong, B.; Xue, H.; Tuo, D.; Zhang, Q. Effect of ambient high-temperature on real driving emission tests of a light-duty gasoline vehicle. Atmos. Pollut. Res. 2024, 15, 101998. [Google Scholar] [CrossRef]
- Lyu, M.; Bao, X.F.; Wang, Y.J.; Matthews, R. Analysis of emissions from various driving cycles based on real driving measurements obtained in a high-altitude city. Proc. Inst. Mech. Eng. Part D-J. Automob. Eng. 2020, 234, 1563–1571. [Google Scholar] [CrossRef]
- Gao, H.; Wang, R.; Wen, Z.; Xiong, X.; Zheng, Z.; Lin, S.; Ding, H.; Tan, W. The real driving emissions characteristics of light-duty diesel vehicle in four typical cities with varying altitudes in China. Case Stud. Therm. Eng. 2025, 67, 105831. [Google Scholar] [CrossRef]
- Wang, H.; Ge, Y.; Hao, L.; Xu, X.; Tan, J.; Li, J.; Wu, L.; Yang, J.; Yang, D.; Peng, J.; et al. The real driving emission characteristics of light-duty diesel vehicle at various altitudes. Atmos. Environ. 2018, 191, 126–131. [Google Scholar] [CrossRef]
- Zheng, F.; Zhao, H.; Ji, J.; Yin, H.; Ding, Y.; Li, J. Real Driving Emission Characteristics of China VI Hybrid Electric Vehicle Based on Altitude Conditions in Beijing and Kunming. Res. Environ. Sci. 2022, 35, 1581–1588. [Google Scholar] [CrossRef]
- Claßen, J.; Sterlepper, S.; Dorscheidt, F.; Görgen, M.; Scharf, J.; Nijs, M.; Alt, N.; Balazs, A.; Böhmer, M.; Doucet, M.; et al. RDE cycle generation—A statistical approach to cut down testing effort and provide a secure base to approve RDE legislation compliance. In Internationaler Motorenkongress; Springer: Wiesbaden, Germany, 2019; pp. 37–56. [Google Scholar]
- Wang, Y.; Ge, Y.; Wang, J.; Wang, X.; Yin, H.; Hao, L.; Tan, J. Impact of altitude on the real driving emission (RDE) results calculated in accordance to moving averaging window (MAW) method. Fuel 2020, 277, 117929. [Google Scholar] [CrossRef]
- Wang, A.J.; Ge, Y.S.; Tan, J.W.; Han, X.K. Study on relationships between on-road driving characters and emission characteristics of taxies in Beijing. Beijing Ligong Daxue Xuebao/Trans. Beijing Inst. Technol. 2010, 30, 891–894+905. [Google Scholar]
- Li, M.; Feng, Y.; Qin, K.; Feng, Y.; Zhang, J.; Gao, J. Real-world emission characteristics of in-use light-duty vehicles in Beijing. J. Wuhan Univ. Technol. (Transp. Sci. Eng.) 2011, 35, 237–240. [Google Scholar]
- Giraldo, M.; Huertas, J.I. Real emissions, driving patterns and fuel consumption of in-use diesel buses operating at high altitude. Transp. Res. Part D Transp. Environ. 2019, 77, 21–36. [Google Scholar] [CrossRef]
- Kwon, S.; Park, Y.; Park, J.; Kim, J.; Choi, K.H.; Cha, J.S. Characteristics of on-road NO(x) emissions from Euro 6 light-duty diesel vehicles using a portable emissions measurement system. Sci. Total Environ. 2017, 576, 70–77. [Google Scholar] [CrossRef] [PubMed]
- Varella, R.A.; Duarte, G.; Baptista, P.; Mendoza Villafuerte, P.; Sousa, L. Analysis of the Influence of Outdoor Temperature in Vehicle Cold-Start Operation Following EU Real Driving Emission Test Procedure. SAE Int. J. Commer. Veh. 2017, 10, 596–697. [Google Scholar] [CrossRef]
- Li, H.; Andrews, G.E.; Savvidis, D. Influence of Cold Start and Ambient Temperatures on Greenhouse Gas (GHG) Emissions, Global Warming Potential (GWP) and Fuel Economy for SI Car Real World Driving. SAE Int. J. Fuels Lubr. 2010, 3, 133–148. [Google Scholar] [CrossRef]









| Vehicle | Standard | Fuel | Injection Type | Intake Form | Displacement | Weight | Aftertreatment |
|---|---|---|---|---|---|---|---|
| Vehicle 1 | China V | Gasoline | PFI | Naturally aspirated | 1.5 L | 1560 kg | Ternary catalytic |
| Vehicle 2 | China V | Diesel | DI | Turbocharged | 2.0 L | 2430 kg | DPF |
| Vehicle | Altitude/m | Temperature/°C |
|---|---|---|
| Vehicle 1 | 0 | 15 |
| 1300 | 15 | |
| 1900 | 0/15/30 | |
| 2400 | 15 | |
| Vehicle 2 | 1900 | 0/15/30 |
| 2200 | 0 | |
| 3000 | 0 |
| Test No. | Difference from the Average % | ||
|---|---|---|---|
| CO | NOx | PN | |
| 1 | +99.5 | −9.1 | −22.6 |
| 2 | −84.5 | −30.1 | −35.1 |
| 3 | −15.1 | +39.9 | +57.6 |
Disclaimer/Publisher’s Note: The statements, opinions and data contained in all publications are solely those of the individual author(s) and contributor(s) and not of MDPI and/or the editor(s). MDPI and/or the editor(s) disclaim responsibility for any injury to people or property resulting from any ideas, methods, instructions or products referred to in the content. |
© 2025 by the authors. Licensee MDPI, Basel, Switzerland. This article is an open access article distributed under the terms and conditions of the Creative Commons Attribution (CC BY) license (https://creativecommons.org/licenses/by/4.0/).
Share and Cite
Yu, H.; Su, Y.; Cao, L.; Shen, B.; Zhang, Y.; Wang, B. Experimental Study on the Effect of Environmental Factors on the Real Driving Emission (RDE) Test. Energies 2025, 18, 2253. https://doi.org/10.3390/en18092253
Yu H, Su Y, Cao L, Shen B, Zhang Y, Wang B. Experimental Study on the Effect of Environmental Factors on the Real Driving Emission (RDE) Test. Energies. 2025; 18(9):2253. https://doi.org/10.3390/en18092253
Chicago/Turabian StyleYu, Hao, Yan Su, Lei Cao, Bo Shen, Yulin Zhang, and Benyou Wang. 2025. "Experimental Study on the Effect of Environmental Factors on the Real Driving Emission (RDE) Test" Energies 18, no. 9: 2253. https://doi.org/10.3390/en18092253
APA StyleYu, H., Su, Y., Cao, L., Shen, B., Zhang, Y., & Wang, B. (2025). Experimental Study on the Effect of Environmental Factors on the Real Driving Emission (RDE) Test. Energies, 18(9), 2253. https://doi.org/10.3390/en18092253

