A Coordinated Control Strategy for a Coupled Wind Power and Energy Storage System for Hydrogen Production
Abstract
1. Introduction
2. Methodology of the Control Strategy
2.1. Structure of Wind Power Coupled Hydrogen Production System
2.2. Wind Turbine System Modeling
2.3. Direct-Drive Permanent Magnet Synchronous Generator Model
2.4. Modeling of the PEM Electrolyzer System
2.5. Energy Storage Battery Establishment
2.6. Wind Turbine Maximum Power Tracking
2.7. Hydrogen Production Electrolyzer Control Strategy
2.8. Storage Battery Control Strategy
2.9. Overall Coordinated Control Strategy of Wind Power Hydrogen Production System
3. Simulation Verification
3.1. Wind Power MPPT Simulation Test
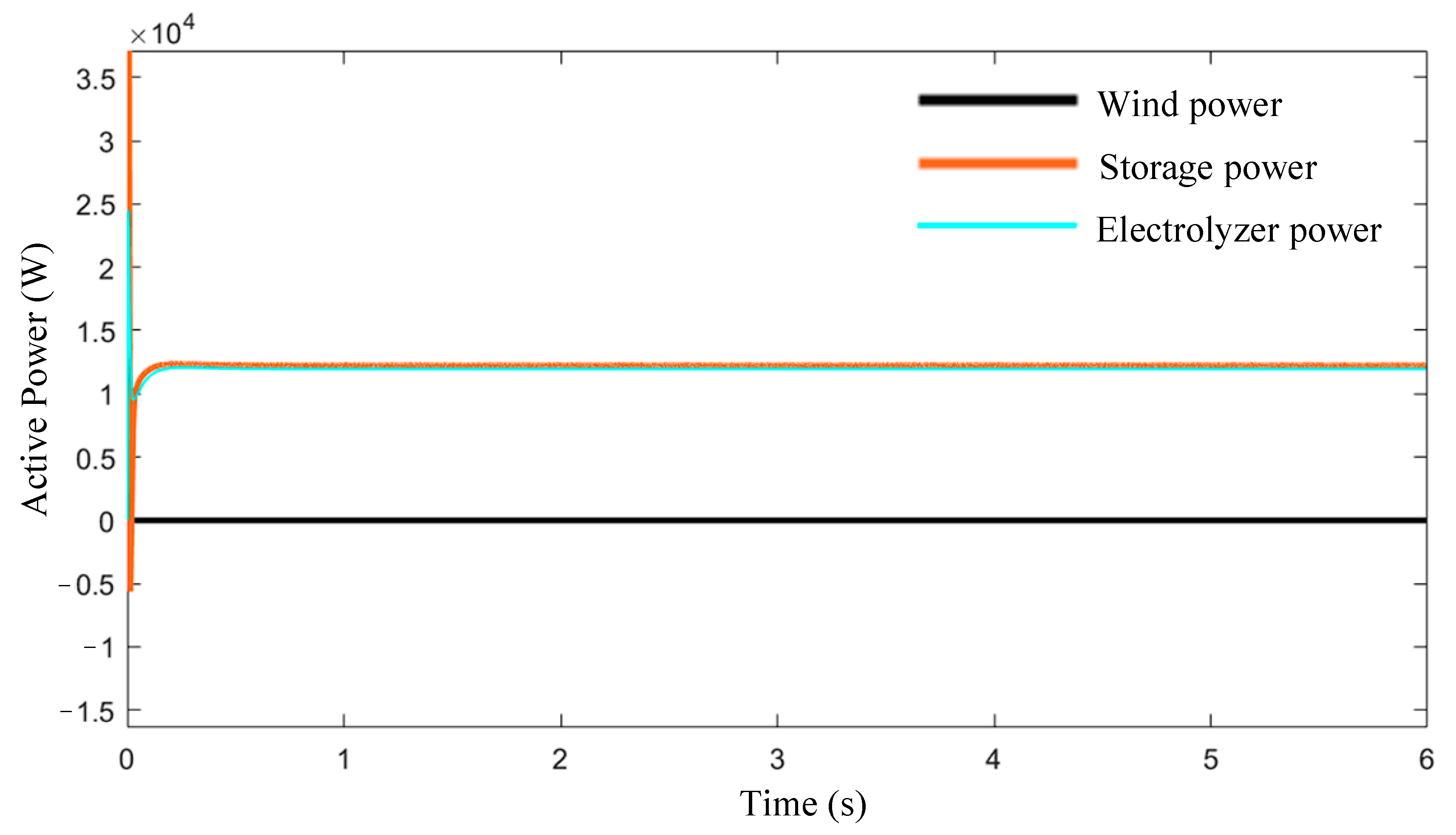
3.2. Simulation Test of Energy Storage System
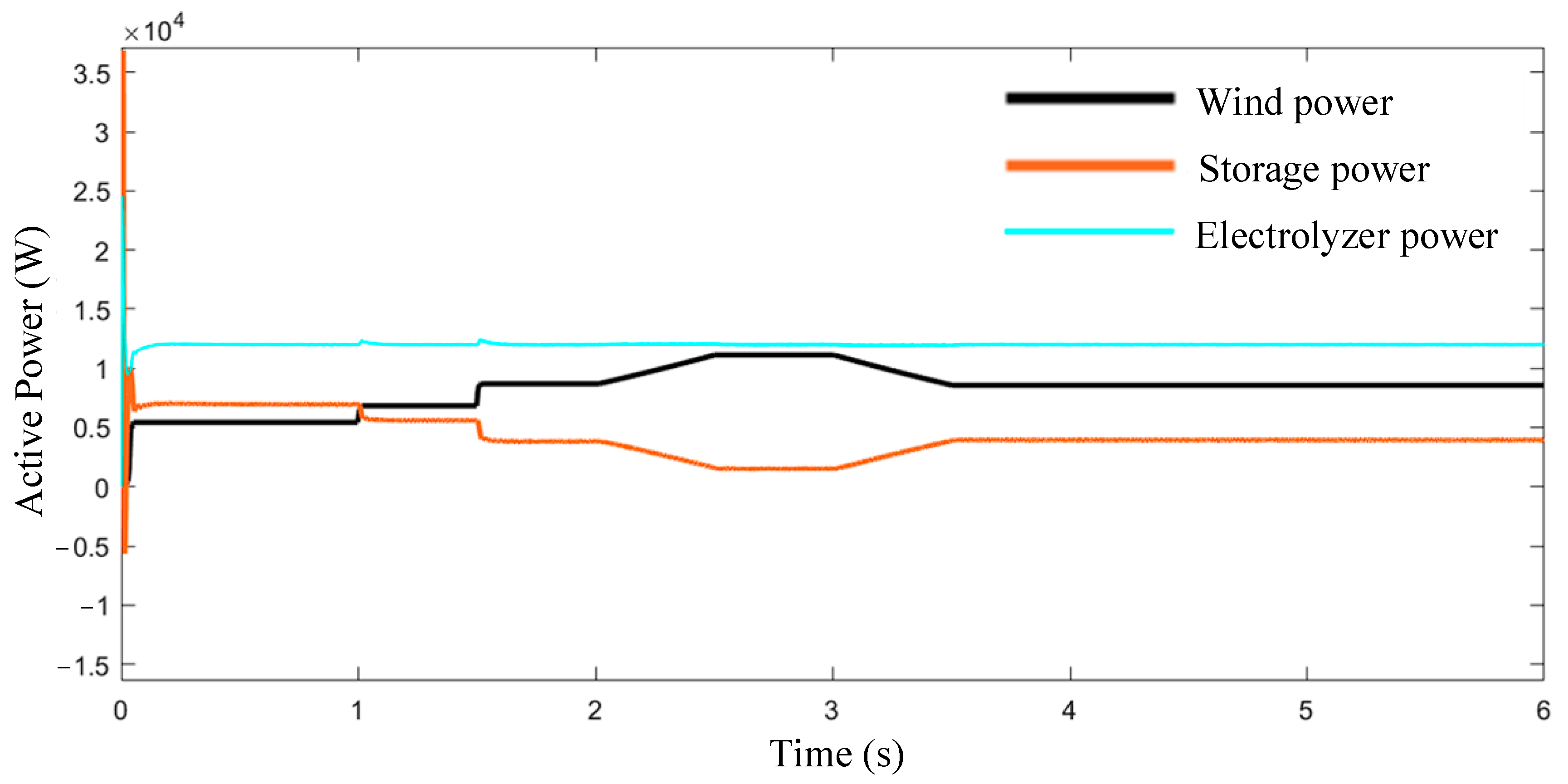
3.3. Simulation Test of Wind Power Hydrogen Production System Control Strategy
4. Conclusions and Outlook
4.1. Conclusions
4.2. Outlook for Future Work
Author Contributions
Funding
Data Availability Statement
Conflicts of Interest
References
- Wang, W.; Qi, Y.; Zhang, X.; Xie, P.; Guo, Y.; Sun, H. Carbon Emission Optimization of the Integrated Energy Systemin Industrial Parks with Hydrogen Production from Complementary Wind and Solar Systems. Hydrogen 2025, 6, 8. [Google Scholar] [CrossRef]
- Nnabuife, S.G.; Hamzat, A.K.; Whidborne, J.; Kuang, B.; Jenkins, K.W. Integration of renewable energy sources in tandem with electrolysis: A technology review for green hydrogen production. Int. J. Hydrogen Energy 2024, 107, 218–240. [Google Scholar] [CrossRef]
- Anand, C.; Chandraja, B.; Nithiya, P.; Akshaya, M.; Tamizhdurai, P.; Shoba, G.; Subramani, A.; Kumaran, R.; Yadav, K.K.; Gacem, A.; et al. Green hydrogen for a sustainable future: A review of production methods, innovations, and applications. Int. J. Hydrogen Energy 2025, 111, 319–341. [Google Scholar] [CrossRef]
- Semadeni, M. Storage of energy. In Encyclopedia of Energy; Elsevier: Amsterdam, The Netherlands, 2004. [Google Scholar]
- Tashie-Lewis, B.C.; Nnabuife, S.G. Hydrogen production, distribution, storage and power conversion in a hydrogen economy—A technology review. Chem. Eng. J. Adv. 2021, 8, 100172. [Google Scholar] [CrossRef]
- Yang, F.; Wang, T.; Deng, X.; Dang, J.; Huang, Z.; Hu, S.; Li, Y.; Ouyang, M. Review on hydrogen safety issues: Incident statistics, hydrogen diffusion, and detonation process. Int. J. Hydrogen Energy 2021, 46, 31467–31488. [Google Scholar] [CrossRef]
- Asif, M.; Bibi, S.S.; Ahmed, S.; Irshad, M.; Hussain, M.S.; Zeb, H.; Khan, M.K.; Kim, J. Recent advances green hydrogen production, storage and commercial-scale use via catalytic ammonia cracking. Chem. Eng. J. 2023, 473, 145381. [Google Scholar] [CrossRef]
- Zhang, Q.; Qin, T.; Wu, J.; Hao, R.; Su, X.; Li, C. Synergistic Operation Strategy of Electric-Hydrogen Charging Station Alliance Based on Differentiated Characteristics. Energy 2024, 304, 132132. [Google Scholar] [CrossRef]
- Liu, J.; Xu, Z.; Wu, J.; Liu, K.; Guan, X. Optimal planning of distributed hydrogen-based multi-energy systems. Appl. Energy 2021, 281, 116107. [Google Scholar] [CrossRef]
- Zhang, H.; Yuan, T.J.; Tan, J.; Kai, S.J.; Zhou, Z. Hydrogen Energy System Planning Framework for Unified Energy System. Proc. CSEE 2022, 42, 83–93. [Google Scholar]
- Petkov, I.; Gabrielli, P. Power-to-hydrogen as seasonal energy storage: An uncertainty analysis for optimal design of low-carbon multi-energy systems. Appl. Energy 2020, 274, 115197. [Google Scholar] [CrossRef]
- Pan, G.; Gu, W.; Lu, Y.; Qiu, H.; Lu, S.; Yao, S. Optimal planning for electricity-hydrogen integrated energy system considering power to hydrogen and heat and seasonal storage. IEEE Trans. Sustain. Energy 2020, 11, 2662–2676. [Google Scholar] [CrossRef]
- Ren, Z.Y.; Luo, X.; Qin, H.L.; Jiang, Y.P.; Yang, Z.X.; Xu, Y. Mid/long-term Optimal Operation of Regional Integrated Energy Systems Considering Hydrogen Physical Characteristics. Power Syst. Technol. 2022, 46, 3324–3332. [Google Scholar]
- Li, Q.; Zhao, S.; Pu, Y.; Chen, W.; Yu, J. Capacity Optimization of Hybrid Energy Storage Microgrid Considering Electricity-Hydrogen Coupling. Trans. China Electrotech. Soc. 2021, 36, 486–495. [Google Scholar]
- Mendis, N.; Muttaqi, K.M.; Perera, S. Management of Battery-Supercapacitor Hybrid Energy Storage and Synchronous Condenser for Isolated Operation of PMSG Based Variable-Speed Wind Turbine Generating Systems. IEEE Trans. Smart Grid 2014, 5, 944–953. [Google Scholar] [CrossRef]
- Dash, V.; Bajpai, P. Power management control strategy for a stand-alone solar photovoltaic-fuel cell–battery hybrid system. Sustain. Energy Technol. Assess. 2015, 9, 68–80. [Google Scholar] [CrossRef]
- Li, J.; Li, G.; Ma, S.; Liang, Z.; Li, Y.; Zeng, W. Modeling and Simulation of Hydrogen Energy Storage System for Power-to-gas and Gas-to-power Systems. J. Mod. Power Syst. Clean Energy 2023, 11, 885–895. [Google Scholar] [CrossRef]
- Gil-García, I.C.; Fernández-Guillamón, A.; Molina-García, Á. Optimized Wind Power Plant Repowering and Green Hydrogen Production: Synergies Based on Renewable Hybrid Solutions. IEEE Access 2024, 12, 155607–155617. [Google Scholar] [CrossRef]
- Cai, G.; Chen, C.; Kong, L.; Peng, L. Control of Hybrid System of Wind/Hydrogen/Fuel Cell/Supercapacitor. Trans. China Electrotech. Soc. 2017, 32, 84–94. [Google Scholar]
- Deng, H.; Chen, J.; Teng, Y.X.; Zhang, B.; Fu, J. Energy management strategy of wind power coupled with hydrogen system. Acta Energiae Solaris Sin. 2021, 42, 256–263. [Google Scholar]
- Huang, D.; Qi, D.; Yu, N.; Cai, G. Capacity Allocation Method for Hydrogen Production System to Consuming Abandoned Wind Power. Acta Energiae Solaris Sin. 2017, 38, 1517–1525. [Google Scholar]
- Lu Je Yu, L.; Zheng, P.; Hou, S. Research on advance control strategy of wind hydrogen coupling system. Acta Energiae Solaris Sin. 2022, 43, 53–60. [Google Scholar]
- Xu, M.; Zhang, G.; Li, W.; Ge, L.; Song, Z.; Geng, Y.; Wang, J. Coordinated Control Strategy for Grid-Connected Integrated Energy System of Wind, Photovoltaic and Hydrogen. In Proceedings of the 2019 IEEE 8th International Conference on Advanced Power System Automation and Protection (APAP), Xi’an, China, 21–24 October 2019; pp. 1120–1124. [Google Scholar]
- Awasthi, A.; Scott, K.; Basu, S. Dynamic modeling and simulation of a proton exchange membrane electrolyzer for hydrogen production. Int. J. Hydrogen Energy 2011, 36, 14779–14786. [Google Scholar] [CrossRef]
- Görgün, H. Dynamic modelling of a proton exchange membrane (PEM) electrolyzer. Int. J. Hydrogen Energy 2006, 3, 29–38. [Google Scholar] [CrossRef]
- Raúl Sarrias-Mena Luis, M. Fernández-Ramírez, Carlos Andrés García-Vázquez, Francisco Jurado. Electrolyzer models for hydrogen production from wind energy systems. Int. J. Hydrogen Energy 2015, 40, 2927–2938. [Google Scholar] [CrossRef]
- Muljadi, E.; Butterfield, C.P. Pitch-controlled variable-speed wind turbine generation. IEEE Trans. Ind. Appl. 2001, 37, 240–246. [Google Scholar] [CrossRef]
- Du, C.; Du, X.; Fan, L.; Su, J. Two-variable Admittance Model for DFIG Stability Analysis Under the Entire Wind Speed Operation Range. Proc. CSEE 2022, 42, 5300–5312. [Google Scholar]
- Hu, S.; Guo, B.; Ding, S.; Yang, F.; Dang, J.; Liu, B.; Gu, J.; Ma, J.; Ouyang, M. A comprehensive review of alkaline water electrolysis mathematical modeling. Appl. Energy 2022, 327, 120099–120132. [Google Scholar] [CrossRef]
- Salameh, Z.M.; Casacca, M.A.; Lynch, W.A. A mathematical model for lead-acid batteries. IEEE Trans. Energy Convers. 1992, 7, 93–98. [Google Scholar] [CrossRef]
- Qi, J.; Li, W.; Zhu, M.; Li, Z. Impact of Low Voltage Ride-through Behavior of Direct-driven Wind Turbine on Voltage of Grid-connected Point and Optimal Control. Autom. Electr. Power Syst. 2023, 47, 105–113. [Google Scholar]

















| Physical Parameters | Physical Meaning | Physical Parameters | Physical Meaning |
|---|---|---|---|
| E0 | No-load electromotive force | A | Voltage amplitude fitting factor |
| K | Polarization Voltage Fitting Coefficient | B | Fitting factor for exponential capacity |
| Q | Battery capacity | Discharge (positive values represent discharging; negative values represent charging) | |
| Ib | Battery current | Ubat | Battery terminal voltage |
Disclaimer/Publisher’s Note: The statements, opinions and data contained in all publications are solely those of the individual author(s) and contributor(s) and not of MDPI and/or the editor(s). MDPI and/or the editor(s) disclaim responsibility for any injury to people or property resulting from any ideas, methods, instructions or products referred to in the content. |
© 2025 by the authors. Licensee MDPI, Basel, Switzerland. This article is an open access article distributed under the terms and conditions of the Creative Commons Attribution (CC BY) license (https://creativecommons.org/licenses/by/4.0/).
Share and Cite
Wang, W.; Qi, Y.; Wang, F.; Yang, Y.; Guo, Y. A Coordinated Control Strategy for a Coupled Wind Power and Energy Storage System for Hydrogen Production. Energies 2025, 18, 2012. https://doi.org/10.3390/en18082012
Wang W, Qi Y, Wang F, Yang Y, Guo Y. A Coordinated Control Strategy for a Coupled Wind Power and Energy Storage System for Hydrogen Production. Energies. 2025; 18(8):2012. https://doi.org/10.3390/en18082012
Chicago/Turabian StyleWang, Weiwei, Yu Qi, Fulei Wang, Yifan Yang, and Yingjun Guo. 2025. "A Coordinated Control Strategy for a Coupled Wind Power and Energy Storage System for Hydrogen Production" Energies 18, no. 8: 2012. https://doi.org/10.3390/en18082012
APA StyleWang, W., Qi, Y., Wang, F., Yang, Y., & Guo, Y. (2025). A Coordinated Control Strategy for a Coupled Wind Power and Energy Storage System for Hydrogen Production. Energies, 18(8), 2012. https://doi.org/10.3390/en18082012

