Abstract
Hybrid power generation systems utilizing pressurized Solid Oxide Fuel Cells (SOFCs) have gained considerable attention recently as an effective solution to the increasing demand for cleaner electricity sources. Among the various hybridization options, gas turbines (GT) and internal combustion engines (ICE) running on SOFC tail gas have been prominent. Although spark ignition (SI) tail gas engines have received less focus, they show significant potential for stationary power generation, particularly due to their ability to control combustion. This research experimentally characterized an SI engine fueled by simulated SOFC anode gas for five blends, which correspond to overall system power level and loads. The study aimed to optimize the engine operating conditions for each fuel blend and establish operational conditions that would sustain maximum performance. The results showed efficiencies as high as 31.4% at 1600 RPM, with a 17:1 compression ratio, equivalence ratio (φ) of 0.75, and a boost pressure of 165 kPa with low NOx emissions. The study also emphasizes the benefits of optimizing boost supply to minimize parasitic loads and improve brake thermal efficiency. Additionally, installing a catalytic oxidizer would enable the system to comply with new engine emission regulations. A proposed control scheme for automation includes regulating engine power by controlling the boost of the supercharger at a fixed throttle position. The results of this study help to promote the development of this SOFC-based clean energy technology.
1. Introduction
With the current electrification efforts to move away from fossil fuels, the United States (U.S.) Government has set goals for clean electricity by 2035 and net-zero emissions by 2050 [1]. To achieve net zero by 2050, it is crucial to find cleaner ways to produce sustainable electricity and eliminate the use of fossil fuels. Solid Oxide Fuel Cells (SOFCs) could be a stepping stone in the path toward cleaner electricity, due to their high efficiencies compared to conventional generation technologies and operation on a variety of fuel sources. Some of the advantages that SOFCs have over other technologies are their fuel flexibility, high efficiency, and low emissions. A report by IDTechEx has shown how SOFCs could use hydrocarbons as fuel, such as natural gas and biofuels, but also use zero/low-emission fuels like hydrogen (H2), ammonia (NH3), and methanol [2,3]. Additionally, studies have demonstrated SOFCs reaching an electrical efficiency of 50–60% depending on the conditions, with possibilities of increasing it even further with other techniques, such as pressurization and hybridization [4,5,6]. Potential hybridization techniques include combining SOFCs with gas turbines (GTs) or internal combustion engines (ICEs).
Studies on SOFC-GT systems have demonstrated high efficiencies when paired with SOFCs, although integration challenges remain. Control schemes for GTs are complex, especially when the operating conditions change, which makes the hybridization process more difficult. In an SOFC hybrid power generator, demand fluctuations can occur, leading to a reduction in GT operational efficiency. This, in turn, lowers the overall system efficiency if the operational conditions deviate too much from the design point. Additionally, GTs are much more expensive than ICEs, increasing the cost per kilowatt ($/kW) [7,8,9,10].
ICEs are an excellent solution for this type of power generation for many reasons, such as operational range, cost effectiveness, startup time, and simpler controls. Many studies have shown that ICEs could achieve similar performance to GTs, simplifying the controls with minimal drawbacks [11,12,13,14]. The two types of engines mostly used for hybridization are homogeneous charge compression-ignited (HCCI) and spark-ignited (SI) engines. Researchers from Seoul National University have shown brake thermal efficiencies as high as 33.9% for HCCI engines that have led to hybrid system efficiencies close to 60% [12]. The main concern the researchers noted when integrating HCCIs in a SOFC power generator was their sensitivity to temperature and pressure for auto-ignition [15,16,17]. Since there is no direct way to control ignition, these two properties need to be within a certain range for the engine to combust the fuel mix, having similar problems to GTs when the conditions diverge from the design point. In a configuration where the engine is downstream of the SOFC, the narrow range of operations could cause issues, since both properties are dependent on SOFC fuel utilization. Alternatively, SI engines can control ignition without being fully dependent on the operational conditions. Consequently, researchers from Stony Brook University, Seoul National University, and Colorado State University (CSU) have tested the feasibility of using SI engines instead of HCCI engines for residual power generation.
Seoul National University demonstrated comparable performance and emissions to HCCI engines without the added complexity of controls, and they improved their SOFC-ICE model, achieving an overall system efficiency of 63.2%, up from the previously reported 59%. Meanwhile, Stony Brook University tested an SI engine running with a fuel blend representative of anode gas to compare the performance at three different water vapor rates. The results showed a maximum brake thermal efficiency (BTE) of 33.9%, as part of a 1.1 MW SOFCI-HCCI model system with an estimated electrical efficiency of 70% [11,14,18]. CSU has focused many of their efforts on modeling and experimentally testing SIs with anode gas. Researcher Padhi [19] developed a predictive model to simulate the combustion of anode gas in a spark-ignited cooperative fuels research engine. The findings from this study were experimentally validated by researcher Balu, who tested and optimized seven variations of anode gas with varying dewpoint temperatures [20]. Results showed that the optimal system would include a water dropout heat exchanger at a dewpoint of 40 °C to achieve a 2.5% water volume in the fuel, with a brake thermal efficiency of 22.2%. This led to further experimental optimization by researcher Countie of a diesel-derived SI engine for further testing of anode fuels with spark-assisted ignition [21]. Results showed a maximum BTE of 27.37% at 1600 RPM with a brake power of 5.77 kW. Lastly, the engine model was further refined by Valles Castro by simulating different piston geometries and spark plug positions to find the optimal engine configuration for maximum efficiency [22]. The results from these previous CSU studies were used to inform the design choices for the current research, including compression ratio, piston geometry, and engine speed. The findings from all these institutions strongly support SIs as one of the best options for hybridization with SOFCs.
Despite the current research in SI engine use for SOFC hybridization, there are several gaps in the operational flexibility under varying SOFC loads. Nearly all the current research includes brake thermal efficiency optimization for SI engines operating on anode tail gas, but only Balu et al., Choi et al., and Nikiforakis et al. considered anode tail gas composition variation [11,12,20]. In addition, these three studies focused on composition variation at a constant load, but in real-world scenarios, the engine will need to respond to changes in composition and fuel flow depending on fuel cell utilization and overall system power demand. There is yet to be a study that focuses on an experimental SI engine optimized at a variety of compositions and loads. This research aims to fill this gap and use the optimization results to suggest a simple control strategy that can be used to operate an SI engine in a SOFC-ICE hybrid system.
The hybrid system that this research is on is being developed under the ARPA-e INTEGRATE program, and the full system flow chart has been displayed in previous publications [23,24]. The system begins by processing the natural gas entering the system to remove any impurities that could advance the degradation of the Ceres Power SOFC modules. While details of the SOFC stack are proprietary, they include planar architecture with a ferritic steel support and ceria electrolyte [25,26]. The physical dimensions of one stack are shown in Table 1. The natural gas enters the recycle loop, which is preheated and sent to the SOFC. After the SOFC uses most of the available fuel, high temperature anode gas (~630 °C) is redirected back through the recycle loop to heat up the incoming fuel. A portion of anode gas is directed to an SI engine to combust the remaining fuel. The power produced by the engine is turned into electricity, which is used to power the auxiliary components needed for SOFC operation, increasing the overall efficiency of the system. The combination of these techniques and other optimization of the auxiliary components (compressors, heat exchangers, etc.) have the possibility of achieving an overall system efficiency of over 70% of the lower heating value (LHV) at 80 kW of power generation, with a cost < 900 $/kW and low emissions [23,24].
Table 1.
Ceres Steel Cell 1kWe-class stack physical dimensions [24].
The purpose of this research was to experimentally test the SI engine within the hybrid system over a range of expected fuel compositions, optimize the engine for varying anode tail gas blends, and generate a set of operational conditions that could sustain maximum performance during operation. The optimization included finding the best spark timing to achieve the maximum power generation, adjusting the supercharger boost to reduce power losses, analyzing emissions data for all fuel blends, and performing a speed sweep to choose the optimal RPM. These tests provide a deeper understanding of SIs running with anode fuels, as this technology is the least researched in SOFC hybridization. Lastly, the findings of this research could also be used as the foundation of a future automated control scheme for anode-fueled engines. Section 2 of the paper describes the materials and methods used to collect the data and perform calculations. The results of the testing and resulting discussion are presented in Section 3, and, finally, the conclusions are presented in Section 4.
2. Materials and Methods
The experimental engine is located at the CSU Powerhouse Energy Campus and is part of a larger SOFC-ICE hybrid power generation system. The engine portion of the test facility consists of a 1.0 L, 3-cylinder, Kohler diesel engine (KDW993T Kohler Co., Kohler, WI, USA) modified for spark ignition, a scroll-type supercharger (P24H056A-BLDC, Air Squared, Arvada, CO, USA), a Kohler alternator (GC74037 Kohler Co., Kohler, WI, USA), and a load bank (LCNFM1 Libby Corporation, Bethany, CT, USA). There were several engine modifications to convert the engine from CI to SI. These modifications involved adding spark plugs, as well as altering the piston geometry and engine controls. The reason for modifying a diesel engine was to enhance its durability. Diesel engines are typically made of stronger materials to handle higher compression ratios, making them a more resilient platform to the embrittlement effects of H2 combustion [27]. In addition, the piston geometry had to change to achieve the desired compression ratios with the SI modification. Table 2 shows the engine specifications.
Table 2.
Specification of a SI-modified diesel engine (aTDC: after top dead center).
Additional instrumentation for the engine included six thermocouples (KQXL-116G-12), four pressure sensors (626-09-GH-P1-E1-S1), and a lambda sensor (LSU 4.9), as shown in Figure 1, to monitor the engine’s operating conditions. Figure 2 shows a schematic of the test facility. The fuel delivery was controlled by bottled gases that were blended using mass flow controllers (DPCS-010392) to meet the different anode gas compositions. The fuel blends consist of CO, CO2, H2, CH4, steam, and N2 at different amounts depending on SOFC load and fuel utilization. These compositions also have water as part of their constituents, but for this research, the water vapor was replaced with excess CO2. Previous researchers have shown that since the water vapor acts as a diluting agent and is in a very small quantity, it can safely be replaced by CO2 to decrease experimental complexity [20,21]. LabVIEW is utilized to manage each mass flow controller, with the mass fraction of each constituent provided as an input to control the composition of the blend. The total fuel flow rate is the sum of the mass flow controllers. After the mass flow controllers, the fuel passes through a zero-pressure regulator to bias the fuel pressure to the air pressure. The boosted air is manually controlled by the engine operator. In this way, LabVIEW controls the gas mass flow controllers to hold a steady pressure, always above the boosted air to ensure that fuel mixing is possible. The engine control unit (ECU) then controls a trim valve to regulate the fuel flow into the mixing valve, where air and fuel are mixed before entering the engine. Finally, the ECU precisely adjusts the throttle within 0.01% increments to regulate the engine speed and maintain steady-state operation.
Figure 1.
(a) California Analytical Instruments’ five-gas analyzer, (b) LSU 4.9 lambda sensor, exhaust sample port and KQXL-116G-12 K-type thermocouples.
Figure 2.
Engine controls scheme and available sensors. The black lines indicate a control signal, the light blue lines indicate engine coolant, the green lines indicate fuel flow, the dark blue lines indicate intake air, the purple lines indicate fuel/air mixture, the brown line indicates exhaust, and the red line indicates electrical power.
The method of loading the engine is through an alternator and load bank. The alternator efficiency, shown in Figure 3, was provided by Kohler Power Systems, and varied with the changes in power output. The raw data is shown in Appendix A. For this reason, the generator efficiency used in the BTE calculations had to change depending on the fuel blend. A load bank and alternator were used to apply torque to the engine through the alternator at the expected power output for each blend, and an energy logger (Fluke-1732/B) was used to measure and average the electrical power output.
Figure 3.
Calibrated alternator performance data provided by Kohler Power Systems.
Emissions samples were collected via an exhaust sample port and directed through a heated sample line into a control room equipped with the necessary instrumentation for exhaust gas analysis. A detailed description of the emissions analyzer used in this testing is referenced in King [28]. The five software programs utilized during testing were LabVIEW (2020 SP1) for managing the supercharger speed, fuel delivery, and for data logging, PG+ (v43.11) for controlling the ECU and logging engine sensor data, Microsoft 365 (16.0.16529.20182) for data analysis, Engineering Equation Solver (EES) (Version 11.019) for uncertainty propagation, and Python Spyder (6.0.0) for averaging the raw data. During the testing, the LabVIEW program records data for the mass flow controllers, thermocouples, and pressure transducers in a “.csv” file at a frequency of 1 Hz. The PG+ software records parameters such as engine speed, throttle position, and air–fuel ratio at a frequency of 1 Hz. These two files are synced to match timestamps so that steady state points can be averaged using Python Spyder. The average data are then post processed to generate plots with Microsoft Excel and uncertainty analysis using EES. All programs and codes used are available, except for PG+, which is proprietary software developed by Woodward and not readily accessible. Figure 4 shows all the components used in the facility.
Figure 4.
Test facility components and instrumentation. (a) Kohler engine; (b) alternator; (c) supercharger; and (d) load bank, load bank power supply (PSU), and energy logger.
The testing methods were based on the fuel composition, as shown in Table 3. These blends were determined using a SOFC-ICE hybrid system modeling tool created with GPROMs (Version 2023.1) software and operated by the Colorado School of Mines (CSM) researchers Floerchinger and Braun. The tool can determine the chemical composition and flow rate of the anode tail gas at a variety of fuel cell operating conditions and loads. This modeling tool was described in more detail in previous studies [24]. Blend 1, referred to as the “Legacy Fuel Composition”, was calculated using the CSM modeling tool and was used in previous anode tail gas engine studies at CSU [20,21,22]. However, the anode gas composition has changed due to the different balance of plant component modifications to the overall hybrid system. Blends 2–5, referred to as “New Fuel Compositions”, represent the anode tail gas composition based on the current SOFC modeling tool. The legacy fuel blend was included in this study because it provides a point of comparison for previous engine studies and justification for some of the design decisions made with the current engine.
Table 3.
System model outputs for anode tail gas fuel compositions at different SOFC utilizations.
The fuel blends targeting LHV (LHVf) shown in Table 3 were calculated utilizing the following equations:
where ni is the number of moles, ntot is the total mixture moles, Xi, Yi, MWi, and LHVi are the mole fractions, mass fractions, molar weights, and LHV of the constituents, respectively, while MWf is the molar weight of the fuel blend. Using these LHVf values, it is possible to calculate the expected power for each fuel composition, using the following equation solved for We:
where the ηb is the brake thermal efficiency target that was assumed to be 35% [24], ηGEN is the corresponding alternator efficiency for each blend, and the target fuel mass flow rate mf is shown in Table 3 under “Flow rate [g/s]”. With the model data and calculated LHVf, a consistent testing methodology was produced to test the engine at all the expected operational conditions, and optimized for best performance. It is also important to note that the LHVf chosen for all BTE calculations was calculated from the real LHV measured from the mass flow controllers. The LHVf and flow rates mf shown in Table 3 were target values. This was considered during the uncertainty propagation calculations.
Xi = ni/ntot,
MWf = Σ MWi ∗ Xi,
Yi = Xi ∗ (MWi/MWf),
LHVf = Σ LHVi ∗ Yi,
ηb = (We/ηGEN)/(mf ∗ LHVf)
For this research, the steam was replaced with CO2, since both gases served the same purpose of diluting the fuel. Prior research conducted at CSU showed the engine’s performance metrics when steam was dropped out and a small volume of water was utilized as part of the fuel blend [19,20,21,22]. Therefore, for ease of testing, CO2 was used instead of steam and N2 was neglected because of its small amount.
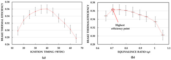
To develop a consistent testing methodology, engine conditions were chosen as a baseline. The specifications shown in Table 2 were based on engine geometry and previous testing carried out with the same engine platform [21], but the equivalence ratio (φ) was chosen based on the data shown in Figure 5. These data were acquired in 2022 for the same spec engine running on Blend 1, as shown in Table 3. As previously stated, this fuel is based on older SOFC anode gas compositions and has a higher LHV and load target than the blends that will be optimized in this research. During the test campaign on Blend 1, an ignition and equivalence ratio sweep were performed to find the optimal points for each parameter. The highest efficiency calculated was obtained with an φ = 0.70, showing a BTE of 36.3%, while the ignition timing sweep showed a maximum BTE of 36.0% with φ = 0.75, both at 40° before top dead center (BTDC) and 10 kW of load. Based on this previous research, the chosen equivalence ratio for the new tests was 0.75 because of three main factors: efficiency stability, supercharger requirements, and fuel LHV. With a φ = 0.70, the engine may have hit its maximum BTE, but as seen in Figure 5b, there was a substantial drop off in efficiency when going from φ = 0.70 to 0.65. To avoid this efficiency boundary, a φ = 0.75 was selected, because it has a similar efficiency, but less risk of deviation in case of unexpected operational changes. Additionally, running at a lower equivalence ratio would require the supercharger to run at higher speeds, increasing the parasitic loads and reducing the overall system efficiency. Moreover, the new fuel blends have a lower LHV than the legacy fuel blend. Having a lower LHV could change the mixing requirements of the fuel blends, requiring more fuel to be mixed with air for combustion [29]. These factors made an φ = 0.75 more suitable for the engine to sustain high efficiency over a bigger range of conditions. Lastly, the difference between BTEs was <1%, which is within the uncertainty range of the measurements. The torque measurement from this legacy testing was measured with a dynamometer, so the BTE was calculated using the following equation:
where τb is the engine brake torque in Nm and N is the engine speed in RPM.
ηb = ((τb ∗ N)/(9548.8))/(mf ∗ LHVf)
Figure 5.
Plots show in the results for Blend 1 test data are shown in red for clarity. (a) Blend #1 ignition timing sweep to determine the best crank angle degree (CAD) of spark to achieve maximum BTE. Testing showed a maximum BTE of 36.0% in these conditions: 40° BTDC, φ = 0.75, 150 kPa, and 10 kW load. (b) Blend #1 equivalence ratio sweep to determine best air–fuel ratio to achieve maximum BTE. Testing showed a maximum BTE of 36.3% in these conditions: 40° BTDC, φ = 0.70, 158 kPa, and 10 kW load.
The testing program evaluated for Blends 2–5 in Table 3 began with an ignition timing sweep from 30° BTDC to 60° BTDC for each blend, while holding the power constant. Ignition timing was increased in increments of 5°, having a total of seven test points for each fuel. For validation purposes, a timing light was used to ensure that the values stated by the PG+ ECU software were accurate to the real timing. To ensure that all test points were recorded in the same conditions, engine speed and equivalence ratio were held constant at 1600 RPM and 0.75, respectively. If the engine speed did not meet 1600 RPM at any of the ignition timings, the supercharger speed was changed to reach steady engine speed. The power applied via the load bank stayed constant during the test to observe the effects of ignition timing on the mass flow rate of the fuel. Lastly, the data were analyzed to determine the optimal ignition timing that yielded the highest efficiency for each fuel blend. The results were then compared to those in Figure 5 to assess the impact of the fuel’s LHV and load.
In addition, boost was swept by varying the supercharger speed for a fixed fuel flow and power level. The goal was to find the range in which the supercharger could be run to maintain steady state. Environmental conditions, such as ambient air temperature, could change during operation, directly affecting engine performance. Establishing the operational range of the supercharger for each blend would ensure that the engine performs at steady state operation, regardless of environmental changes. More importantly, the boost sweep determined the lowest air pressure required to operate the engine at each blend, which reduces the supercharger’s electricity consumption and increases the overall hybrid system efficiency. After finishing both ignition and boost sweeps, emissions data were measured with the optimized timings and supercharger speeds using a California Analytical Instruments five-gas analyzer, as seen in Figure 1. To perform the emission analysis, a slipstream of gas was removed from the exhaust piping and delivered to the five-gas analyzer for continuous emissions monitoring. Finally, an engine speed sweep was conducted to confirm that the fuel composition changes did not affect the optimal speed found in previous studies [21]. Blend 4 was chosen as the fuel composition to test during the speed sweep since the LHVs between the new compositions were similar and this fuel would be the one most available during system operation. The speed range selected for the tests was from 1400 RPM to 1800 RPM. During testing, the load was held constant at its expected power output to see the effects that speed would have on efficiency. However, ignition timing and boost were changed to achieve steady state operation. The results of the engine test program were the operational conditions for the engine to achieve maximum power output, and they are shown in the following section.
The uncertainties of the instruments used during testing were applied to determine the uncertainty of each calculated parameter. The uncertainty calculation was performed by following the uncertainty propagation analysis, as described in NIST Technical Note 1297 [30], where the uncertainty of a calculated quantity can be determined using the following equation:
For the ignition timing sweep, both the mass flow controllers and the energy logger data sheets were considered. All these instruments use the factory calibration, which results in factory uncertainty. The mass flow controllers had an uncertainty of ±0.002 for full-scale measurements and ±0.005 for mass flow readings, while the energy logger had a 1.2% uncertainty for power readings. In the boost sweep, the current clamp used to calculate power consumption had an uncertainty of ±3.0% of the reading, plus 10 digits, as stated on the data sheet. Lastly, the five-gas analyzer data sheet had an uncertainty of 1% of full-scale measurements for all constituents. These uncertainties were factored into all calculations to assess the error propagation [31].
3. Results and Discussion
The initial results to be discussed are from the ignition timing sweep, as illustrated in Figure 6 with the raw data shown in Appendix A. The data showed an increase in BTE when going from the lowest to the highest load blend. The maximum efficiency recorded for each blend was 23.6% for Blend 2 at 55° BTDC at 3.29 kW, 27.1% for Blend 3 at 5.01 kW, 29.6% for Blend 4 at 6.81 kW, and 31.0% for Blend 5 at 8.17 kW, all at a timing of 50° BTDC. The increase in efficiency was anticipated because the power production for the blends was increasing, so the parasitic loads of the engine were a lower fraction of the total power produced at higher output powers. All the blends achieved a maximum BTE at 50° BTDC, except Blend 2, which was at 55° BTDC. The advanced timing could be due to the low hydrogen and high CO2 content in the blend, which makes the fuel more diluted and less reactive. Regardless, it was still recommended to use 50° for all blends, since the difference in BTE between 50° and 55° was <1%. This would simplify the engine controls by keeping the ignition timing the same at every SOFC fuel utilization. A similar explanation to the one for Blend 2 can be applied when comparing the optimized timings to those used during Blend 1 testing. The higher hydrogen concentration in Blend 1, relative to the new blends, may have contributed to the 10° difference in spark timing.
Figure 6.
Ignition timing sweep to determine the best CAD of spark to achieve maximum BTE at the following steady state conditions: 1600 RPM, φ = 0.75. Maximum BTE was achieved at these spark timings, not including supercharger losses: Blend #2: 23.6% at 55° BTDC with 3.29 kW power output, Blend #3: 27.1% at 50° BTDC with 5.01 kW power output, Blend #4: 29.6% at 50° BTDC with 6.81 kW power output, and Blend #5: 31.0% at 50° BTDC with 8.17 kW power output.
It is worth mentioning that during the ignition timing sweep, although the supercharged air passed through an air-coupled heat exchanger, the initial intake air temperature increased. The temperature for Blends 2 to 4 began at approximately 30 °C and increased to 34 °C, while for Blend 5, the intake temperature started at 34 °C and reached 37 °C. These increases in temperature were likely caused by an increased ambient temperature throughout the test day. For Blends 2 to 4, the ambient air temperature increased from 26 °C to 29 °C, while Blend 5 started at 32 °C and ended at 39 °C. This could have affected the BTE, since a lower air temperature would have benefited the engine performance. Researcher Krishnamoorthi reported that an increase in intake charge temperature causes a decrease in volumetric efficiency and an inferior oxygen fraction. This effect could be up to four efficiency points for temperature changes between 70 °C and 80 °C, but is much less below 60 °C. The change in efficiency is not quantified below 60 °C and would be difficult to measure for this study, but nonetheless, the increased intake temperature throughout the tests could cause a slight decrease in efficiency [32].
The results shown in Figure 6 show an increase in the brake thermal efficiency compared to the maximum efficiencies presented by Balu and Countie of 22.2% and 27.4%, respectively [20,21]. This increase in performance is expected because of the increase in fuel flow and power consumption, which decreases the effect of parasitic loads. The results shown in Figure 6 are also consistent with prior findings of researchers from Seoul National University, who showed brake thermal efficiencies as high as 33.9% with a brake horsepower of 10.6 kW [11]. It is expected that a further increase in fuel flow and power consumption for the current engine would produce higher brake thermal efficiencies. However, the data from Blends 2–5 show a decrease in efficiency compared with the legacy blend (Blend 1). This could have been because the LHV of Blend 1 was 13% higher than the highest LHV among the new blends, along with a higher load. Dropping the LHV at the same equivalence ratio and boost would directly affect the power being produced. To increase power production a higher boost would be required, but this would increase parasitic loads. In contrast, having a higher LHV would increase the thermal energy produced by combustion, generating more power. Additionally, the decreased load for Blends 2–5 compared with Blend 1 contributed to the decrease in BTE compared to the legacy blend, due to the decreased effect of parasitic loads. The decrease in engine performance does have an impact on the overall system efficiency, but it is minimal due to the difference in power generation between the engine and the fuel cells. For the nominal operating load case, as shown in Blend 4 of Table 3, the engine is only producing 6.8 kW (at an assumed 35% efficiency) of the total 80 kW. This indicates that the fuel cells are producing a much larger portion of the overall system power. The actual measured engine efficiency for Blend 4 was 29.6%, which indicates that at the fuel flow shown in Table 3, the engine would generate 5.75 kW. We can then determine that the actual overall system power would be 79 kW, which is a 1.3% reduction in the overall system efficiency. Thus, despite the 5% decrease in engine efficiency due to changing between Blend 1 and Blend 4, the overall system is not dramatically affected.
Another key metric that can be used to compare the engine performance across multiple engine platforms is the brake mean effective pressure (BMEP), which is calculated based on the brake power, engine speed, and engine displacement. The calculated BMEP values for Blends 1, 2, 3, 4, and 5, were 8.9 bar, 2.9 bar, 4.4 bar, 6.1 bar, and 7.2 bar, respectively. The BMEP is low here compared to with conventional engines, where it can be in the 10–12 range [33], likely because of the highly diluted fuel, which causes a low LHV and thus power level per given flow rate of the fuel. In addition, the low LHV causes poor combustion characteristics and results in low combustion pressures. However, the BMEP is comparable to in other anode tail gas engines, such as those of Seoul University, where a BMEP in the 5.5–6.5 bar range for an engine operating at an equivalence ratio of 0.75 was indicated [11]. One other note is that the BMEP values correspond with the engine load change across the different blends. For instance, Blend 1 has the highest power level of 10 kW, which corresponds to the highest BMEP of 8.9 bar, while Blend 2 has the lowest power level of 3.3 kW and the lowest BMEP of 2.9 bar. This result is expected because of the effect of boosting the engine. For all tests, the engine operates at a constant speed of 1600 RPM, so to increase the power level, the boost pressure must be increased, which has an effect of increasing the mixture flow to the engine and thus increasing the combustion products available. These increased combustion products drive a higher BMEP, despite the same operational speed.
The boost sweep followed a similar procedure to the ignition timing tests. During the boost sweep, all other parameters except the supercharger speed were held constant, and the ignition timings were set to the values discovered during the timing sweep. Figure 7 shows the boost range for each blend, in which the steady state conditions could be met with the throttle controlling engine speed. The raw data is shown in Appendix A. The upper limit was defined as the maximum boost that the engine could receive while still holding constant speed. In this scenario, the throttle was fully closed, and any further increases in boost pressure would result in an increase in engine speed. In contrast, the lower limit was the minimum boost required for the engine to reach the target speed. In this case, the throttle was fully open and any decrease in boost would result in a decrease in the engine speed. This lower limit was the most optimal because it lowered the power consumption from the supercharger and slightly increased efficiency. The BTE was calculated for the lowest boost value and the results indicated a 1% efficiency reduction for Blend 2, while Blends 3–5 showed an average of a 1% increase in efficiency compared to the ignition timing sweep. The less restrictive throttle position may have improved the fuel distribution to the engine, enhancing combustion efficiency. This could also explain why, in nearly all cases where the inlet manifold pressure and boosted pressure were the same, the engine achieved the highest BTE. In addition, the reduction in BTE for Blend 2 could have been influenced by environmental conditions. While the testing conditions were nearly identical on both test days, the ambient air temperature differed. This is why it is important to highlight that the inlet manifold and ambient air temperatures changed significantly during the boost sweep. During testing with Blends 2 and 3, the intake temperature started at 41 °C and rose to 42 °C, while the ambient temperature increased from 34 °C to 36 °C. For Blends 4 and 5, the intake temperature began at 38 °C and reached 41 °C, with the ambient temperature changing from 31 °C to 32 °C. As previously mentioned, the difference in the intake temperature compared to the ignition timing sweep could have affected the newly calculated BTE, although the effect was likely minimal, since the intake temperatures were below 60 °C. Nonetheless, testing showed that the efficiencies could be increased with optimal boost pressure, reaching as high as 31.4%, even in less-than-favorable temperature conditions. This could have meant that if the temperatures had been constant during both tests, an additional estimate of 1% higher BTE could have been achieved. Also, the lower limit boost would benefit the overall system efficiency by reducing the power being consumed by the supercharger.
Figure 7.
Boost sweep to determine the range of operations in which steady state conditions are met (1600 RPM, φ = 0.75). Results showed a maximum BTE of 31.4%. It was found that lower limit conditions are the most beneficial for engine performance, with an average increase of 1% BTE, and the most power savings.
One other note from Figure 7 is the large uncertainty associated with the compressor power. This high uncertainty is due to the large instrument error with the clamp current meter (EEDM575D), which has an uncertainty of ±3.0%. This high uncertainty propagated to the compressor power consumption results in data, which is uncertain. However, the general trends for the data follow a similar pattern, which indicates that the exact boost power numbers might not be accurate, but do reflect a similar and expected trend between each of the blends. Future studies will opt to use more accurate methods to measure compressor power to decrease uncertainty.
The next phase of testing was of the emissions. As mentioned in the testing methodology section, a five-gas analyzer was used. All samples were taken by using the optimized timings and boost conditions from the previous tests. For estimation purposes, an ideal lean combustion reaction assuming a theoretical hydrocarbon equivalent to the fuel blends was solved for all the gas blends to determine if the exhaust constituents were close to the ones during perfect combustion. Moreover, the necessary data to calculate BTE were also recorded and analyzed to ensure that the engine performance was the same as in previous tests. Figure 8 shows the emissions results as brake-specific emissions, a standardized industry technique to normalize the emissions based on engine power. The raw data is shown in Appendix A. The three metrics that were analyzed were brake-specific total hydrocarbons (BSTHCs), brake-specific carbon monoxide (BSCO), and brake-specific nitrogen oxides (BSNOx). Blend 2 exhibited the highest BSTHC rate at 3.48 g/bkW hr. In comparison, the other blends displayed a gradual increase in BSTHCs, but their emissions remained lower than those of Blend 2. This may have been due to Blend 2 having a low combustion efficiency. A low combustion efficiency could indicate that not all the fuel is being consumed, which is resulting in a higher emissions factor. The combustion efficiency could be directly tied to the lean operation of the engine, which would decrease the combustion temperature. As seen in Figure 8, Blend 2 also showed the highest BSCO rate, with 37.2 g/bkW hr. A lower BSCO rate indicates higher combustion efficiencies, which is another possible explanation for why the BSTHC rate was much higher for Blend 2 compared to the other blends [21]. This low combustion efficiency could have been caused by Blend 2 being the most diluted out of all the fuel compositions. For Blends 3–5, the BSCO rate was similar across the different fuel compositions, which indicates consistent combustion efficiency. In addition, the power level for Blend 2 is the lowest, which could indicate that the engine is operating with high parasitic losses, which could potentially inflate the emissions numbers—a more efficient engine will naturally have lower emissions factors due to operating at lower fuel levels.
Figure 8.
Brake-specific emissions for all fuel blends tested using five-gas analyzer for (a) brake specific total hydrocarbons, (b) brake specific carbon monoxide, (c) brake specific nitrogen oxides. A catalytic converter is required to meet the South Coast Air Quality Management District emission regulations.
The increase in the BSTHC rate for these blends may also be due to the methane content in each blend. As shown in Table 3, Blend 2 has the highest methane content, followed by Blend 5, Blend 4, and finally Blend 3. This pattern aligns perfectly with the BSTHC results from the emission measurements. The higher hydrocarbon content in the incoming fuel is not being fully consumed for Blend 2, which results in higher emissions. The BSNOx results showed values close to zero, which is likely caused by the lean fuel mixture and cold combustion. Typical engine exhaust temperatures can reach up to 850 °C, whereas this engine peaked at approximately 372 °C while delivering its maximum power output. This cold combustion would decrease the formation of NOx despite lean operation. As a standalone engine, the emissions did not meet the legal requirements of 0.20 g/bkW hr for BSTHC and BSNOx, and 0.80 g/bkW hr for BSCO, as mandated by the South Coast Air Quality Management District [34]. However, when accounting for the total system power output at a 100% load (80 kW), the legal requirements for new engines are met, except for BSCO. The primary methods to decrease BSCO emissions are to increase the oxidation capability of the engine by increasing the equivalence ratio or installing a catalytic oxidizer. The lean operation of the engine is required to meet the high efficiencies, as shown in Figure 5b, so a catalytic oxidizer at a minimum 63% CO oxidation is required to meet the BSCO legal emissions limits.
Figure 9 illustrates the results from the speed sweep, the last test within the scope of this research. The raw data is shown in Appendix A. The engine operated at 1400 RPM, 1600 RPM, and 1800 RPM, and the results indicate the highest efficiency (calculated using Equation (5)) occurring at 1600 RPM, of approximately 29.9%. The reduction in efficiency for 1400 RPM could have been induced by increased frictional and pumping losses, while 1800 RPM showed a reduction because of the advance timing changing the cylinder dynamics of its design point. Therefore, it is reasonable to conclude that the reduction in the fuel’s LHV and load compared to Blend 1 did not affect the optimal engine speed.
Figure 9.
Speed sweep for Blend #4 to determine the optimal engine speed to achieve maximum BTE. Testing showed that 1600 RPM was the optimal speed for the highest efficiency of 29.9%.
By compiling all the experimental data, the operational conditions were established to propose an engine control scheme. It was determined that simplifying the engine controls is best achieved by maintaining the ignition timing at 50° BTDC during all stages of operation. Additionally, to maximize the BTE, the throttle should be set to fully open, and the supercharger used to control boost pressure to achieve the pressures recorded in Figure 7. This adjustment not only enhances the engine’s BTE, but also reduces the power consumption. By adjusting the supercharger setpoint, the engine power could be increased during transient fuel compositions, ensuring maximum efficiency at all stages of operation. Figure 10 illustrates the boost and mass flow behavior while the engine transitioned between blends. Boost pressure was manually controlled by gradually increasing the supercharger speed to ensure the proper operation of the zero-pressure regulator and prevent fuel starvation. The data indicated that the engine could be transitioned manually between load points within 4 to 15 min depending on the blend. Based on current SOFC-ICE hybrid modeling, it is expected to take 1 h to ramp up from Blend 2 to 4, so the data shown in Figure 10 should be acceptable for operation. During the transition between Blend 3 and Blend 4, there was a boost pressure peak without a corresponding increase in fuel mass flow. This anomaly could be due to a malfunction in the mass flow controllers, an error in the LabVIEW code, or the boost pressure overpowering the fuel flow. Despite this, the data suggest that the engine could be effectively controlled via the supercharger. In the future, a PID controller could be used to adjust the boost setpoint during changing load conditions, by tracking the power output and inlet manifold pressure.
Figure 10.
(a) Boost response during fuel blend transitions. (b) Mass flow response during fuel blend transitions. The green shading represents the startup phase of the engine while the red shading indicates a transition between steady state load states.
4. Conclusions
This research focused on operating an SI engine with fuel blends representative of the anode tail gas from a pressurized SOFC and optimizing each composition for high-efficiency operation and low power requirements. The results showed efficiencies as high as 31.4% at 1600 RPM, 17:1 CR, φ = 0.75, 50° BTDC, and 165 kPa of boost. The highest efficiency was likely achieved due to the lean combustion and operation at early ignition timings, due to the low hydrogen and high CO2 content in the blend, which makes the fuel more diluted and less reactive. The results also demonstrated the advantages of supplying the engine with the lowest boost to save on parasitic loads and increase BTE. Compared to the legacy data (Blend 1), the engine had a BTE decrease of 4.9%; however, the results were still satisfactory considering the reduction in LHV and load, and had minimal effect on the overall system efficiency. In addition, it was found that a catalytic oxidizer is necessary to comply with the BSCO emission regulations, because operating at lean equivalence ratios is a key method in increasing efficiency. Lastly, the speed sweep confirmed that 1600 RPM is the optimal speed, even with LHV reductions of up to 13% compared with the legacy fuel blends. A speed of 1600 RPM is likely optimal due to the higher portion of parasitic loads at low speeds and high reactivity of the fuel at higher speeds. With all the data gathered from these tests, the operational conditions were made to reliably maintain maximum efficiency at all stages of operation. The results of this study will be used to optimize engine operations with respect to the integration of the full SOFC-ICE hybrid system, a technology that could help improve the future of clean energy. It can also be noted that the results presented in this study are highly specific to the current 1 L anode tail gas engine, but that similar principles can be applied by other researchers to different engine models operating with similar tail gas blends. However, this study has shown that changes in the fuel composition could lead to large changes in efficiency, especially regarding the hydrogen concentration. Further design studies would be required if the anode gas composition had different gas compositions, to ensure the efficient operation of the engine.
Future work could include developing the control scheme for automation, which would involve using the supercharger to regulate power with a constant throttle position. This would require the optimized operational conditions, as discussed in the current study, to be coded into a LabVIEW matrix and tested for experimental validation. The goal of that future work would be to decrease operator interactions so that the engine can efficiently generate power based on fuel composition estimates from the fuel cell automatically. An exergy analysis could be beneficial to obtain more insight into the quality of the energy being produced. The engine should be tested by operating it with the developed control scheme on actual anode tail gas from a SOFC, rather than on simulated gases. The potential challenges of operating on actual tail gas need to be addressed during future testing, such as determining the minimum startup flow, potential pressure pulsations, which could travel upstream to the fuel cell, and the presence of water vapor in the engine.
Author Contributions
Conceptualization, V.A.R.-F. and D.B.O.; methodology, V.A.R.-F., S.G. and D.B.O.; software, V.A.R.-F.; validation, V.A.R.-F., S.G. and D.B.O.; formal analysis, V.A.R.-F. and Z.S.; investigation, V.A.R.-F., Z.S., S.G., D.B.O., B.W., T.B. and R.B.; resources, V.A.R.-F., S.G., D.B.O. and B.W.; data curation, V.A.R.-F. and Z.S.; writing—original draft preparation, V.A.R.-F.; writing—review and editing, S.G., D.B.O., B.W. and T.B.; visualization, V.A.R.-F., S.G., T.B. and B.W.; supervision, S.G.; project administration, R.B.; funding acquisition, R.B. All authors have read and agreed to the published version of the manuscript.
Funding
This research was funded by the Advanced Research Projects Agency—Energy, U.S. Department of Energy, under Award Number DE-AR0000954.
Data Availability Statement
The original contributions presented in the study are included in the article, further inquiries can be directed to the corresponding author.
Acknowledgments
Thanks to Sam McCreery from Woodward for providing support and the engine’s computer and corresponding software, Chris Lute for LabVIEW and electrical component support, Sofia Ananieva and Ben Platt for reviewing the article, Isaac Frampton for engine troubleshooting, and Karina A. Concepción, family, and friends for moral support.
Conflicts of Interest
The authors declare no conflicts of interest.
Nomenclature
| SOFC | Solid Oxide Fuel Cell |
| GT | Gas turbine |
| ICE | Internal combustion engine |
| HCCI | Homogeneous charge compression ignition |
| CI | Compression ignition |
| SI | Spark ignition |
| BTDC | Before top dead center |
| CAD | Crank degree angle |
| ECU | Engine control unit |
| φ | Equivalence ratio |
| NH3 | Ammonia |
| CO | Carbon monoxide |
| CO2 | Carbon dioxide |
| CH4 | Methane |
| H2 | Hydrogen |
| H2O | Water |
| N2 | Nitrogen |
| LHV | Low heating value |
| BTE | Brake thermal efficiency |
| NOx | Nitrous oxide |
| BMEP | Brake mean effective pressure |
| BSTHC | Brake specific total hydrocarbons |
| BSCO | Brake specific carbon monoxide |
| BSNOx | Brake specific nitrous oxide |
Appendix A
Table A1.
Alternator efficiency data.
Table A1.
Alternator efficiency data.
| 208 V Hot Power (We) | Efficiency at 1600 RPM |
|---|---|
| 1631.2 | 81.50% |
| 2193.9 | 88.00% |
| 5018.5 | 86.60% |
| 7002.2 | 88.20% |
| 9839.7 | 89.10% |
| 11,269 | 89.60% |
| 12,014.8 | 89.90% |
Table A2.
Ignition timing sweep analyzed data.
Table A2.
Ignition timing sweep analyzed data.
| BLEND #2 (SOFC LOAD = 50%) | |||||
| Ambient Temperature and Pressure: 26 °C/85 kPa | |||||
| Manifold Temperature and Pressure: 30–31 °C/90–100 kPa | |||||
| °BTDC | RPM | φ | kW | SumController [g/s] | BTE |
| 60.00 | 1594.35 | 0.75 | 3.24 | 4.94 | 0.2326 |
| 55.00 | 1603.62 | 0.75 | 3.29 | 4.94 | 0.2360 |
| 50.00 | 1604.61 | 0.75 | 3.30 | 4.97 | 0.2354 |
| 45.00 | 1601.85 | 0.75 | 3.28 | 4.99 | 0.2329 |
| 40.00 | 1602.50 | 0.75 | 3.26 | 5.12 | 0.2258 |
| 35.00 | 1592.91 | 0.75 | 3.22 | 5.27 | 0.2166 |
| 30.00 | 1613.89 | 0.75 | 3.31 | 5.63 | 0.2087 |
| BLEND #3 (SOFC LOAD = 75%) | |||||
| Ambient Temperature and Pressure: 27–28 °C/85 kPa | |||||
| Manifold Temperature and Pressure: 32–33 °C/110–120 kPa | |||||
| 60.00 | 1605.24 | 0.75 | 4.99 | 6.52 | 0.2604 |
| 55.00 | 1613.87 | 0.75 | 5.06 | 6.44 | 0.2673 |
| 50.00 | 1601.58 | 0.75 | 5.01 | 6.30 | 0.2706 |
| 45.00 | 1601.36 | 0.75 | 4.96 | 6.26 | 0.2695 |
| 40.00 | 1600.00 | 0.75 | 4.96 | 6.38 | 0.2645 |
| 35.00 | 1599.93 | 0.75 | 4.95 | 6.57 | 0.2568 |
| 30.00 | 1608.61 | 0.75 | 4.99 | 6.88 | 0.2471 |
| BLEND #4 (SOFC LOAD = 100%) | |||||
| Ambient Temperature and Pressure: 28–29 °C/85 kPa | |||||
| Manifold Temperature and Pressure: 34 °C/140–150 kPa | |||||
| 60.00 | 1599.31 | 0.75 | 6.82 | 8.02 | 0.2875 |
| 55.00 | 1593.97 | 0.75 | 6.79 | 7.81 | 0.2940 |
| 50.00 | 1596.14 | 0.75 | 6.81 | 7.77 | 0.2963 |
| 45.00 | 1606.82 | 0.75 | 6.86 | 7.85 | 0.2953 |
| 40.00 | 1597.74 | 0.75 | 6.79 | 7.96 | 0.2882 |
| 35.00 | 1598.62 | 0.75 | 6.79 | 8.27 | 0.2776 |
| 30.00 | 1605.68 | 0.75 | 6.84 | 8.68 | 0.2661 |
| BLEND #5 (SOFC LOAD = 125%) | |||||
| Ambient Temperature and Pressure: 32–39 °C/85 kPa | |||||
| Manifold Temperature and Pressure: 34–37 °C/160–180 kPa | |||||
| 60.00 | 1603.30 | 0.75 | 8.02 | 9.10 | 0.3043 |
| 55.00 | 1600.16 | 0.75 | 8.04 | 8.98 | 0.3088 |
| 50.00 | 1610.50 | 0.75 | 8.17 | 9.10 | 0.3099 |
| 45.00 | 1600.49 | 0.75 | 7.98 | 9.05 | 0.3042 |
| 40.00 | 1598.78 | 0.75 | 7.95 | 9.28 | 0.2957 |
| 35.00 | 1596.51 | 0.75 | 7.91 | 9.61 | 0.2842 |
| 30.00 | 1606.30 | 0.75 | 8.01 | 10.27 | 0.2733 |
Table A3.
Supercharger boost sweep data.
Table A3.
Supercharger boost sweep data.
| BLEND #2 (SOFC LOAD = 50%) | TIMING: 55° | |||
| Ambient Temperature and Pressure: 34–35 °C/85 kPa | ||||
| Ignition Timing Data | Lower Limit | Upper Limit | ||
| RPM | 1603.32 | 1598.26 | 1599.96 | |
| φ | 0.75 | 0.75 | 0.75 | |
| kW | 3.29 | 3.25 | 3.27 | |
| SumController [g/s] | 4.94 | 4.97 | 5.01 | |
| BTE | 23.60 | 23.21 | 23.15 | |
| Booster Air [kPa] | 100.31 | 94.96 | 122.00 | |
| Inlet Manifold Temperature [C] | 31 | 41 | 41 | |
| Inlet Manifold Pressure [kPa] | 89.85 | 95.34 | 96.46 | |
| Throttle Position [%] | 17.27 | 22.14 | 6.76 | |
| Boost Consumed Power [W] | N/A | 228.00 | 388.80 | |
| BLEND #3 (SOFC LOAD = 75%) | TIMING: 50° | |||
| Ambient Temperature and Pressure: 36 °C/85 kPa | ||||
| Ignition Timing Data | Lower Limit | Upper Limit | ||
| RPM | 1601.58 | 1606.84 | 1600.19 | |
| φ | 0.75 | 0.75 | 0.75 | |
| kW | 5.01 | 5.13 | 5.07 | |
| SumController [g/s] | 6.30 | 6.42 | 6.39 | |
| BTE | 27.06 | 27.22 | 27.05 | |
| Booster Air [kPa] | 118.00 | 123.58 | 179.10 | |
| Inlet Manifold Temperature [C] | 32 | 42 | 42 | |
| Inlet Manifold Pressure [kPa] | 112.18 | 119.37 | 118.89 | |
| Throttle Position [%] | 21.56 | 16.26 | 4.17 | |
| Boost Consumed Power [W] | N/A | 528.00 | 1075.20 | |
| BLEND #4 (SOFC LOAD = 100%) | TIMING: 50° | |||
| Ambient Temperature and Pressure: 31 °C/85 kPa | ||||
| Ignition Timing Data | Lower Limit | Upper Limit | ||
| RPM | 1596.14 | 1600.14 | 1600.00 | |
| φ | 0.75 | 0.75 | 0..75 | |
| kW | 6.81 | 6.90 | 6.85 | |
| SumController [g/s] | 7.77 | 7.82 | 8.06 | |
| BTE | 29.63 | 29.89 | 29.67 | |
| Booster Air [kPa] | 147.21 | 145.21 | 204.11 | |
| Inlet Manifold Temperature [C] | 34 | 38 | 40 | |
| Inlet Manifold Pressure [kPa] | 139.99 | 143.13 | 145.43 | |
| Throttle Position [%] | 17.33 | 22.10 | 5.00 | |
| Boost Consumed Power [W] | N/A | 907.20 | 1588.80 | |
| BLEND #5 (SOFC LOAD = 125%) | TIMING: 50° | |||
| Ambient Temperature and Pressure: 32 °C/85 kPa | ||||
| Ignition Timing Data | Lower Limit | Upper Limit | ||
| RPM | 1610.50 | 1592.74 | 1600.96 | |
| φ | 0.75 | 0.75 | 0.75 | |
| kW | 8.17 | 8.22 | 8.26 | |
| SumController [g/s] | 9.10 | 9.05 | 9.31 | |
| BTE | 30.99 | 31.41 | 31.41 | |
| Booster Air [kPa] | 180.67 | 165.33 | 182.64 | |
| Inlet Manifold Temperature [C] | 34 | 40 | 41 | |
| Inlet Manifold Pressure [kPa] | 161.88 | 164.22 | 167.36 | |
| Throttle Position [%] | 13.36 | 22.29 | 12.25 | |
| Boost Consumed Power [W] | N/A | 1296.00 | 1617.60 | |
Table A4.
Raw five-gas emissions.
Table A4.
Raw five-gas emissions.
| CO2 [%] | O2 [%] | THC [ppm] | CO [ppm] | NOx [ppm] | |
|---|---|---|---|---|---|
| BLEND #2 | 28.3267 | 7.059551 | 466.4659 | 2860.731 | 3.52604 |
| BLEND #3 | 28.89676 | 6.864678 | 232.773 | 2582.732 | 4.492637 |
| BLEND #4 | 28.89054 | 6.810778 | 318.6553 | 2655.636 | 5.291266 |
| BLEND #5 | 29.06182 | 6.872473 | 392.9327 | 2954.484 | 4.845675 |
Table A5.
Speed sweep data.
Table A5.
Speed sweep data.
| BLEND #4 (SOFC LOAD = 100%) | |||||
|---|---|---|---|---|---|
| °BTDC | RPM | φ | kW | SumController [g/s] | BTE |
| 60.00 | 1797.92 | 0.75 | 6.66 | 10.27 | 0.2199 |
| 50.00 | 1600.14 | 0.75 | 6.90 | 7.82 | 0.2989 |
| 45.00 | 1392.69 | 0.75 | 5.93 | 11.14 | 0.1767 |
Table A6.
Engine instrumentation and sensors.
Table A6.
Engine instrumentation and sensors.
| Kohler KDW993T Sensors | |||
|---|---|---|---|
| Sensor type | Model | Range | Uncertainty |
| Pressure transducer | 626-09-GH-P1-E1-S1 | 0–50 psig | ±0.25% |
| Thermocouple | KQXL-116G-12 | 0–1204 °C | ±0.75% |
| Cam sensor | MSD2348 | - | - |
| Crank sensor | 25375909 | - | - |
| Lambda sensor | LSU 4.9 | 0.65–10 λ | 0.80 ± 0.01 |
| Supercharger clamp meter | EEDM575D | ±3.0% + 10 | |
| Energy logger | Fluke-1732/B | ±1.2% | |
| Mass flow controllers | DPCS-010392 | ±0.002 FS; ±0.005 RS | |
Table A7.
Engine stock technical specification [35].
Table A7.
Engine stock technical specification [35].
| Engine Type | KDW993T | ||
|---|---|---|---|
| Cylinders | N | 3 | |
| Bore | mm | 75 | |
| Stroke | mm | 77.6 | |
| Displacement | cm3 | 1028 | |
| Compression ratio | 22.8:1 | ||
| Revolutions per Minute | RPM | 3600 | |
| Rated power | N 80/1269/CEE-ISO 1585 | kW (hp) | 19.5 (26.5) |
| NB ISO 3046—IFN | kW (hp) | 18 (24.5) | |
| NA ISO 3046—ICXN | kW (hp) | 16.5 (22.4) | |
| Maximum torque | Nm | 64@2000 | |
| Maximum torque available @ N° 3 PTO 3600 RPM | Nm | 37@1800 | |
| Oil consumption | kg/h | 0.013 | |
| Dry weight of engine | kg | 120 | |
| Combustion air volume at 3600 RPM | L | 1850 | |
| Cooling air volume at 3600 RPM | m3/mm | 63 | |
References
- Donohoo-Vallett, P. On The Path to 100% Clean Electricity Introduction to 100% Clean Electricity; U.S. Department of Energy: Washington, DC, USA, 2023. [Google Scholar]
- O’Brien, C. Fuel Flexibility of SOFC Paves Path to Hydrogen Economy; IDTechEx: Cambridge, UK, 2023. [Google Scholar]
- Yang, R.; Shang, T.; Li, L.; Liu, J.; Xie, T.; Liu, Z.; Liu, J. The mechanism of the increased ratio of nitrogen dioxide to nitrogen oxides in methanol/diesel dual fuel engines. Energy 2024, 312, 133701. [Google Scholar] [CrossRef]
- Kim, T.; Kang, S. Numerical Analysis of a Highly Efficient Cascade Solid Oxide Fuel Cell System with a Fuel Regenerator. Appl. Energy 2023, 341, 121114. [Google Scholar] [CrossRef]
- Zhou, J.; Wang, Z.; Han, M.; Sun, Z.; Sun, K. Optimization of a 30 KW SOFC Combined Heat and Power System with Different Cycles and Hydrocarbon Fuels. Int. J. Hydrogen Energy 2022, 47, 4109–4119. [Google Scholar] [CrossRef]
- Langnickel, H.; Rautanen, M.; Gandiglio, M.; Santarelli, M.; Hakala, T.; Acri, M.; Kiviaho, J. Efficiency Analysis of 50 KWe SOFC Systems Fueled with Biogas from Waste Water. J. Power Sources Adv. 2020, 2, 100009. [Google Scholar] [CrossRef]
- Kandepu, R.; Imsland, L.; Foss, B.A.; Stiller, C.; Thorud, B.; Bolland, O. Modeling and Control of a SOFC-GT-Based Autonomous Power System. Energy 2007, 32, 406–417. [Google Scholar] [CrossRef]
- Song, T.W.; Sohn, J.L.; Kim, T.S.; Ro, S.T. Performance Characteristics of a MW-Class SOFC/GT Hybrid System on a Commercially Available Gas Turbine. Power Sources 2006, 158, 361–367. [Google Scholar] [CrossRef]
- Calise, F.; Palombo, A.; Vanoli, L. Design and Partial Load Exergy Analysis of Hybrid–GT Power Plant. Power Sources 2006, 158, 225–244. [Google Scholar] [CrossRef]
- Yang, J.S.; Sohn, J.L.; Ro, S.T. Performance Characteristics of a Solid Oxide Fuel Cell/Gas Turbine System with Various Part-Load Control Modes. Power Source 2007, 166, 155–164. [Google Scholar] [CrossRef]
- Nikiforakis, I.; Ran, Z.; Sprengel, M.; Brackett, J.; Babbitt, G.; Assanis, D. Investigating Realistic Anode Off-Gas Combustion in SOFC/ICE Hybrid Systems: Mini Review and Experimental Evaluation. Int. J. Engine Res. 2022, 23, 876–892. [Google Scholar] [CrossRef]
- Choi, W.; Kim, J.; Kim, Y.; Kim, S.; Oh, S.; Song, H.H. Experimental Study of Homogeneous Charge Compression Ignition Engine Operation Fuelled by Emulated Solid Oxide Fuel Cell Anode Off-Gas. Appl. Energy 2018, 229, 42–62. [Google Scholar] [CrossRef]
- Choi, W.; Kim, J.; Kim, Y.; Song, H.H. Solid Oxide Fuel Cell Operation in a Solid Oxide Fuel Cell–Internal Combustion Engine Hybrid System and the Design Point Performance of the Hybrid System. Appl. Energy 2019, 254, 113681. [Google Scholar] [CrossRef]
- Kim, J.; Kim, Y.; Choi, W.; Ahn, K.Y.; Song, H.H. Analysis on the Operating Performance of 5-KW Class Solid Oxide Fuel Cell-Internal Combustion Engine Hybrid System Using Spark-Assisted Ignition. Appl. Energy 2020, 260, 114231. [Google Scholar] [CrossRef]
- Chehrmonavari, H.; Kakaee, A.; Hosseini, S.E.; Desideri, U.; Tsatsaronis, G.; Floerchinger, G.; Braun, R.; Paykani, A. Hybridizing Solid Oxide Fuel Cells with Internal Combustion Engines for Power and Propulsion Systems: A Review. Renew. Sustain. Energy Rev. 2023, 171, 112982. [Google Scholar]
- Koo, T.; Kim, Y.S.; Lee, Y.D.; Yu, S.; Lee, D.K.; Ahn, K.Y. Exergetic Evaluation of Operation Results of 5-KW-Class SOFC-HCCI Engine Hybrid Power Generation System. Appl. Energy 2021, 295, 117037. [Google Scholar] [CrossRef]
- Chuahy, F.D.F.; Kokjohn, S.L. Solid Oxide Fuel Cell and Advanced Combustion Engine Combined Cycle: A Pathway to 70% Electrical Efficiency. Appl. Energy 2019, 235, 391–408. [Google Scholar] [CrossRef]
- Zhu, P.; Yao, J.; Qian, C.; Yang, F.; Porpatham, E.; Zhang, Z.; Wu, Z. High-Efficiency Conversion of Natural Gas Fuel to Power by an Integrated System of SOFC, HCCI Engine, and Waste Heat Recovery: Thermodynamic and Thermo-Economic Analyses. Fuel 2020, 275, 117883. [Google Scholar] [CrossRef]
- Padhi, G.; Balu, A.; Garland, S.; Olsen, D.; Bandhauer, T.; Windom, B. Combustion Modelling and Simulation of Dilute Syngas Fuels in a CFR Engine. Master’s Thesis, Colorado State University, Fort Collins, CO, USA, 2019. [Google Scholar]
- Balu, A.; Castro, M.; Padhi, G.; Bandhauer, T.; Windom, B.; Garland, S.; Braun, R.; Olsen, D. Optimization and Simulation of a CFR Engine Fueled by Dilute Anode Tail-Gas. In Proceedings of the ASME 2020 Internal Combustion Fall Technical Conference, Virtual, Online, 4–6 November 2020. [Google Scholar]
- Countie, M.; Windom, B.; Bandhauer, T.; Garland, S.; Braun, R.; Olsen, D. Predictive Modeling of a Spark Ignition SOFC Anode Tailgas Engine. In Proceedings of the Western States Section of the Combustion Institute, Albuquerque, New Mexico, 14–15 October 2019. [Google Scholar]
- Valles, M.; Daniel; Olsen, B.; Bandhauer, T.; Swartwout, Z.; Windom, B. Simulation of a High-Efficiency Engine Fueled by Dilute Anode Tail-Gas. In Proceedings of the Western States Section of the Combustion Institute Meeting, Stanford University, Stanford, CA, USA, 21–22 March 2022. [Google Scholar]
- Braun, R.J.; Reznicek, E.; Cadigan, C.; Sullivan, N.P.; Danforth, R.; Bandhauer, T.M.; Garland, S.; Olsen, D.; Windom, B.; Schaffer, B. Development of a Novel High Efficiency, Low Cost Hybrid SOFC/Internal Combustion Engine Power Generator. ECS Trans. 2019, 91, 355–360. [Google Scholar] [CrossRef]
- Floerchinger, G.; Cadigan, C.; Sullivan, N.P.; Braun, R.J. Characterizing the Performance of kW-Scale Multi-Stack Solid Oxide Fuel Cell Modules through Modeling. ECS Trans. 2023, 111, 803–808. [Google Scholar] [CrossRef]
- Leah, R.T.; Bone, A.; Hammer, E.; Selcuk, A.; Rahman, M.; Clare, A.; Mukerjee, S.; Selby, M. Development Progress on the Ceres Power Steel Cell Technology Platform: Further Progress Towards Commercialization. ECS Trans. 2017, 78, 87–95. [Google Scholar] [CrossRef]
- Leah, R.; Bone, A.; Selcuk, A.; Lankin, M.; Rahman, M.; Clare, A.; Reade, G.; Felix, F.; De Vero, J.; Wang, X.; et al. Commercialization of the Ceres Power SteelCell® Technology: Latest Update. ECS Trans. 2021, 103, 679–684. [Google Scholar] [CrossRef]
- Broerman, E.; Blais, M.S.; Weyandt, N.; Renzi, P. Safety. In Machinery and Energy Systems for the Hydrogen Economy; Elsevier: Amsterdam, The Netherlands, 2022; pp. 521–542. ISBN 9780323903943. [Google Scholar]
- King, B.A.; Olsen, D.; Quinn, J.; Carter, E. Experimental Evaluation of Stack Testing Methods for Accurate VOC Measurement. Master’s Thesis, Colorado State University, Fort Collins, CO, USA, 2019. [Google Scholar]
- Battista, R.A.; Hilt, M.B. Low Heating Value Fuel Burning Capabilities of General Electric Industrial Gas Turbines; American Society of Mechanical Engineers: New York, NY, USA, 1982. [Google Scholar]
- Taylor, B.N.; Kuyatt, C.E. Guidelines for Evaluating and Expressing the Uncertainty of NIST Measurement Results, National Institute of Standards and Technology Technical Note 1297; US Department of Commerce, Technology Administration, National Institute of Standards and Technology: Gaithersburg, MD, USA, 1994. [Google Scholar]
- F-Chart Software—Engineering Equation Solver Uncertainty Propagation. Available online: https://fchart.com/ees/eeshelp/1mvc0zd.htm (accessed on 19 December 2024).
- Krishnamoorthi, M.; Malayalamurthi, R.; He, Z.; Kandasamy, S. A Review on Low Temperature Combustion Engines: Performance, Combustion and Emission Characteristics. Renew. Sustain. Energy Rev. 2019, 116, 109404. [Google Scholar] [CrossRef]
- Heywood, J.B. Chapter 2.7 Mean Effective Pressure. In Internal Combustion Engine Fundamentals, 2nd ed.; McGraw-Hill Education: New York, NY, USA, 2018. [Google Scholar]
- Southern California Gas Company. Understanding SCAQMD Quality Rules for Engines; Los Angeles, CA, USA, 2009. Available online: https://www.socalgas.com/documents/business/aq_rules_engines.pdf (accessed on 4 April 2025).
- Kohler, Co. “Kohler Diesel, Model KDW1003, High Speed Open Power Unit,” Datasheet. 2008. Available online: https://www.powersystems.rehlko.com/in-en/manuals/engines/kdw1003hs.pdf (accessed on 4 April 2025).
Disclaimer/Publisher’s Note: The statements, opinions and data contained in all publications are solely those of the individual author(s) and contributor(s) and not of MDPI and/or the editor(s). MDPI and/or the editor(s) disclaim responsibility for any injury to people or property resulting from any ideas, methods, instructions or products referred to in the content. |
© 2025 by the authors. Licensee MDPI, Basel, Switzerland. This article is an open access article distributed under the terms and conditions of the Creative Commons Attribution (CC BY) license (https://creativecommons.org/licenses/by/4.0/).









