Next Article in Journal
Offshore Wind Farm Impact Assessment on Radio Systems Operating in the MF Band
Next Article in Special Issue
A Multi-State Rotational Control Strategy for Hydrogen Production Systems Based on Hybrid Electrolyzers
Previous Article in Journal
Guiding Principles for Geochemical/Thermodynamic Model Development and Validation in Nuclear Waste Disposal: A Close Examination of Recent Thermodynamic Models for H+—Nd3+—NO3(—Oxalate) Systems
Previous Article in Special Issue
Stakeholder and Techno-Economic Assessment of Iceland’s Green Hydrogen Economy
 
 
Font Type:
Arial Georgia Verdana
Font Size:
Aa Aa Aa
Line Spacing:
Column Width:
Background:
Article

Techno-Economic Analysis of a Supercritical Gas Turbine Energy System Fueled by Methanol and Upgraded Biogas

1
Energy and Environment Division, Paul Scherrer Institute, 5232 Villigen, Switzerland
2
GR-KRO, ISIC, School of Basic Sciences, École Polytechnique Fédérale de Lausanne, 1015 Lausanne, Switzerland
3
Energy Systems Integration, University of Twente, 7522 NB Enschede, The Netherlands
*
Author to whom correspondence should be addressed.
Energies 2025, 18(7), 1651; https://doi.org/10.3390/en18071651
Submission received: 8 March 2025 / Revised: 21 March 2025 / Accepted: 24 March 2025 / Published: 26 March 2025
(This article belongs to the Special Issue Green Hydrogen Energy Production)

Abstract

The HERMES project investigates the utilization of surplus wind and solar energy to produce renewable fuels such as hydrogen, methane, and methanol for seasonal storage, thereby supporting carbon neutrality and the energy transition. This initiative aims to create a closed-loop, zero-emission energy system with efficiencies of up to 65%, employing a low-pressure (≤30 bar) synthesis process—specifically, sorption-enhanced methanol synthesis—integrated into the power system. Excess renewable electricity is harnessed for chemical synthesis, beginning with electrolysis to generate hydrogen, which is then converted into methanol using CO2 sourced from a biogas plant. This methanol, biomethane, or a hybrid fuel blend powers a supercritical gas turbine, providing a flexible and reliable energy supply. Optimization analysis indicates that a combined wind and photovoltaic system can meet 62% of electricity demand, while the proposed storage system can handle over 90%. Remarkably, liquid methanol storage requires a compact 313 m3 tank, significantly smaller than storage requirements for hydrogen or methane in gas form. The project entails a total investment of 105 M EUR and annual operation and maintenance costs of 3.1 M EUR, with the levelized cost of electricity expected to decrease by 43% in the short term and 69% in the long term as future investment costs decline.

1. Introduction

Given the intermittent nature of renewable energy sources (RESs) such as solar and wind energy, coupled with the growing electrification of various sectors including mobility, heating, and industry, achieving a substantial RES capacity necessitates several key strategies [1]. These strategies involve enhancing energy efficiency measures in demand and supply sectors, implementing negative emissions technologies to mitigate future RES expansion emissions [2], establishing flexible dispatchable power generation for balancing needs, and deploying energy storage solutions [3] to meet both short-term and long-term flexibility requirements.
Producing green hydrogen from the surplus power originating from RESs and utilizing them for seasonal storage represents a viable pathway to achieve carbon neutrality [4]. It functions by storing otherwise unusable electricity in the form of hydrogen generated due to weather fluctuations and temperature variations, such as increased wind speeds in winter and higher solar radiation levels in summer. Furthermore, seasonal storage contributes to grid resilience by securing ample long-term energy reserves to address unexpected emergencies, such as sudden spikes in demand.
Green hydrogen generated through the electrolysis of surplus renewable energy, serves as a clean, carbon-neutral fuel with the potential to decarbonize not only the energy sector but also challenging-to-decarbonize sectors like heavy duty transportation and industry. However, its physical characteristics pose challenges for large-scale storage and transportation in grid-scale energy storage applications due to its low molecular weight, boiling point, and volumetric density. Current infrastructure limitations hinder the widespread transport of hydrogen within existing gas grids. Although hydrogen can be injected into natural gas pipelines, blending mandates (i.e., maximum allowable percentage of hydrogen in the gas grid) remain relatively low, such as 10 vol.% in Germany and 6 vol.% in France [5].
An alternative approach involves converting excess renewable energy into synthetic fuels, leveraging established production processes, and infrastructure for transportation, storage, and distribution. Methane and methanol [6] stand out as primary synthetic fuels under evaluation as secondary energy carriers, widely utilized by both the energy and industrial sectors.
Synthetic natural gas (SNG) is generated through either thermochemical methanation (known as the Sabatier reaction) or bio-methanation utilizing hydrogenotrophic methanogenic archaea [7]. Both methods rely on renewable hydrogen and carbon dioxide as input materials. The Sabatier reaction entails a two-step process conducted in a catalytic reactor, operating at temperatures ranging from 150 to 550 °C and pressures of up to 100 bar [8]. This highly exothermic reaction is notably sensitive to thermodynamic variations, with lower temperatures preferred for maximizing methane yield.
Methanol emerges as a compelling option for energy storage due to its liquid state under ambient conditions, enhancing cost-effectiveness in transportation and distribution. Research indicates its potential for higher overall efficiency compared to SNG. Methanol synthesis involves a catalytic reaction utilizing hydrogen, carbon dioxide, or carbon monoxide as inputs. This exothermic process occurs at pressures of 60–80 bar and high temperatures ranging from 200 to 450 °C in commercial settings [9].
Recently, Moioli et al. [6] conducted a techno-economic analysis of seasonal storage using methane or methanol. The study examined the valorization of biogas for long-term seasonal storage in the form of methane or methanol for electricity generation or hydrogen end users. It was assessed that methane could be employed for electricity generation in a combined heat and power (CHP), with an efficiency of 55%. Conversely, for methanol, direct methanol fuel cells (DMFCs) were evaluated with an efficiency of 45%. It was concluded that methane is the preferred option for energy storage aimed at electricity production, whereas methanol is more suitable for hydrogen production. DMFCs are primarily utilized in portable devices and auxiliary power applications ranging from milliwatts to watts due to their ability to operate at low temperatures and their simple construction. Although there are efforts to develop high-power stacked DMFCs at a scale of some 100 kWs, currently there is no supplier offering DMFCs at MW scales. Consequently, DMFCs are not considered a viable option for grid balancing applications.
Supercritical carbon dioxide (sCO2) power generation gas turbines represent a cutting-edge advancement in energy technology, offering enhanced efficiency and environmental benefits. These turbines operate using CO2 at supercritical conditions, where it exhibits unique properties that combine the density of a liquid with the viscosity of a gas, improving thermal efficiency and heat transfer capabilities [10]. In the sCO2 cycle, CO2 is pressurized and heated to supercritical state, then expanded through a turbine to generate power. This process can achieve higher thermal efficiencies compared to traditional steam cycles, while also reducing greenhouse gas emissions and water usage. The compact size and operational flexibility of sCO2 turbines make them suitable for various applications, including waste heat recovery and integration with renewable energy sources. Gaseous and liquid fuels such as hydrogen, methane, and methanol can be fed directly into these gas turbines. Brown et al. [11] conducted a comparative analysis of various seasonal storage scenarios involving methanol and hydrogen in the UK, Germany, and Spain. Hydrogen storage was assumed to utilize H2 pressure vessels and H2 salt caverns, with power generation achieved through a combined cycle gas turbine. The average system electricity costs ranged from 62 to 165 EUR/MWh. The levelized cost of electricity via the Methanol Allam GT was estimated at 77, 86, and 94 EUR/MWh in Spain, the UK, and Germany, respectively.
Baak et al. [10] conducted a comprehensive assessment of the viability of a methanol-fed supercritical carbon dioxide gas turbine (sCO2-GT) CHP system for grid-balancing energy storage applications, with an input power capacity of 50 MWel. The evaluated system included a PEM electrolyzer for hydrogen production, followed by a recirculating catalytic synthesis reactor for methanol generation, and a supercritical carbon dioxide gas turbine. The theoretical analysis revealed a system energy efficiency of 26.5% and a levelized cost of storage estimated at 250 USD/MWh.
The EU project HERMES [12] aims to develop a closed-loop supercritical zero-emission gas turbine (s-GT) CHP system with high electrical efficiency of up to 65%. This innovative system relies on locally produced renewable liquid and gaseous fuels, such as hydrogen, methane, methanol, or a blend of the liquid and gaseous fuels. The project is also developing an innovative low-pressure (≤30 bar) methanol synthesis processes, which can be coupled with the power system. In large-scale methanol synthesis, high pressure is traditionally employed to overcome thermodynamic limitations. However, when scaling down for local closed-loop energy systems, maintaining such pressures becomes unfavorable due to increased costs and energy efficiency losses. This integration promises renewable, highly efficient, and zero-emission combustion, providing a flexible and decentralized energy generation system for heating and cooling applications.
This article assesses a case study wherein PV and wind turbines are deployed to fulfill the electricity demand for a community of 5000–6000 inhabitants, with surplus electricity directed towards a seasonal storage system. This system comprises an electrolysis unit responsible for hydrogen production, a methanol synthesis plant utilizing hydrogen from the electrolysis system and carbon dioxide assumed to be sourced from a biogas plant in the vicinity. The generated methanol is stored and subsequently utilized in the HERMES supercritical gas turbine to satisfy electricity demand as needed. The principal emphasis of this study lies in assessing the feasibility and cost associated with hydrogen, methanol, and electricity generation through the seasonal energy storage (SES) system. The sizes of the units are calculated, and the dynamic behavior of each unit is evaluated, followed by a comprehensive techno-economic analysis. Furthermore, a sensitivity analysis explores the influence of various boundary conditions (CAPEX, OPEX, electricity price, etc.) on the energy flux management system. Three pivotal values emerge as the comparative values of our assessment: the optimal sizing of different components, the extent of energy coverage achieved and the overarching efficiency of the systems.

2. Methodology

The selected case study was designed for a community of 5–6 thousand residents on the island of Crete, Greece with the consumption of 5–15 MWh/h. The conceptualization of the energy system and the electricity demand profile are illustrated in Figure 1. Renewable electricity is primarily allocated for end-user consumption, with any surplus directed to a chemical synthesis unit. Within this unit, excess electricity powers an electrolysis process to produce hydrogen. The generated hydrogen is then channeled into a methanol synthesis unit, where it reacts with CO2 to form methanol (MeOH).
Biogas was evaluated as a source of CO2, capitalizing on the economic recovery of CO2 through power-to-X coupling integrated with biogas upgrading for biomethane production [13]. Methanol, biomethane, or a combination thereof is employed for electricity generation in a s-GT CHP system to fill the gap in the electricity demand. Biomethane is produced by converting the biogas in the upgrading unit, where the CO2 is removed from the biogas. The biomethane is subsequently employed as a fuel for the s-GT system, and any surplus is sold to the market. The biogas plant is sized based on the CO2 demand. In addition, to better exploit the PV and wind system and reduce the electrical energy imported from the grid, a battery storage system is also considered.

2.1. System Modeling

The algorithm for the calculation is depicted in Figure 2. Utilizing hourly weather data, the load factor and total renewable electricity production (referred to as Eel in the figure) can be calculated, given the installed capacities of PV and wind. Concurrently, the algorithm labels the hourly electricity demand as Edemand.
Should the electricity generated surpass on-site demand, the surplus (Eexcess) is directed towards the SES system. Subsequently, an assessment is made to determine if the excess electricity exceeds the minimum load required for electrolysis operation. Should this condition be met, the surplus electricity is utilized to produce hydrogen. In instances where the excess electricity surpasses the electrolysis capacity, the surplus is stored in the battery and discharged when demand exceeds the minimum load for electrolysis operation. Hydrogen is stored in a buffer tank before undergoing MeOH synthesis. Once there is a sufficient amount of hydrogen to operate MeOH synthesis above its minimum load, the synthesis process commences. The produced MeOH is then stored in a designated tank for future utilization.
In scenarios where the electricity demand from the community exceeds that generated by renewable sources (PV + wind), electricity is produced by the s-GT CHP system. The required energy in the form of MeOH (EMeOH,req) is determined accordingly. Subsequently, the MeOH tank’s level is assessed and compared to the required MeOH amount. Should the MeOH quantity fall short, biomethane from the biogas upgrading unit is utilized to supplement the remaining demand. Both MeOH and biomethane can be concurrently employed in the s-GT CHP system. However, if MeOH is unavailable, biomethane becomes the primary fuel source. Additionally, if a blend is utilized, the methane-to-MeOH ratio must not exceed 50 wt.% or adhere to the energy content ratio ECH4/EMeOH < 2.4, a constraint stipulated by the gas turbine specifications [14].

2.1.1. Methanol Synthesis Unit

For this analysis, a catalytic methanol synthesis reactor is considered, specifically the one analyzed Moioli et al. [15]. The main reaction that takes place is the hydrogenation of carbon dioxide over the commercial Cu/ZnO/Al2O3 catalyst:
C O 2 + 3 H 2 C H 3 O H + H 2 O
Δ H R 0 298   K = 49.5 k J m o l
The conversion of CO2 into MeOH is traditionally operated at around 250 °C and pressures between 50 and 100 bars to overcome thermodynamic constraints, especially when using CO2 as a feedstock, leading to low conversion rates per pass [16,17,18]. However, the requirement for high-pressure (OPEX), the necessary equipment (CAPEX), and the associated costs limit the economic feasibility of smaller-scale processes for decentralized methanol synthesis, coupling CO2 biogenic gasses and green hydrogen. In the standard process for methanol synthesis, the latter are produced using fossil fuels, e.g., from the steam reforming of natural gas. This allows for low-cost compression when hot gasses coming from the reforming unit are cooled which raises steam that is fed into a turbine [17]. The absence of this step for the synthesis of renewable methanol results in energy efficiency losses because electricity has to be used for the compression work. Therefore, in the innovative system, pressure is limited to 30 bars, representing the common pressure at which green H2 is supplied from the electrolyzer [18]. Nonetheless, effective reactor design can overcome these limitations at 30 bar, resulting in high overall MeOH yields through methods like intermediate condensation [19], multistage reactors [20], or in situ product removal through integration of membranes [21] or sorbents with batch-wise regeneration [22] in fixed-bed reactors.
An alternative approach involves the continuous addition and removal of sorbents, bypassing the sealing and material stability challenges of membrane reactors. This technique enables a more compact design compared to fixed-bed reactors, with regeneration in a separate vessel. The continuous sorbent entrainment through the catalyst bed (that is kept in bubbling fluidization) allows smaller reactors as no volume for saturated sorbent is needed (unlike in fixed-bed configurations). Therefore, further, continuous, and thus facilitated, operation is achieved. In the simulation, we assume a stoichiometric ratio of 3 moles of H2 to CO2. For simplicity, the full conversion of the reactants to the product is considered, i.e., the number of mols for CO2 and MeOH are equal. The minimum load of MeOH synthesis is considered to be 20%.

2.1.2. Electrolysis Unit

The hydrogen needed for the MeOH reaction is produced through the electrolysis of water. Two commercially available electrolyzer systems are the alkaline electrolysis system (AEL) and the proton exchange membrane (PEM) system. Presently, they offer comparable efficiencies, with the PEM system holding greater potential for future efficiency improvements. A PEM electrolyzer capable of operating under pressures of up to 35 bar for hydrogen production is used. The rapid dynamic response characteristics of PEM electrolysers render them an appropriate selection, particularly when dealing with power supply fluctuations, such as those associated with variable renewable energy sources.
The electricity consumption of an electrolyzer can be characterized as the electrical power requirement per unit of hydrogen generated. This metric is influenced by the operational state of the electrolyzer. It is important to note that this maximum efficiency is achieved when the electrolyzer operates at partial load [23]. At peak power, the efficiency can be up to 20% lower. In this study, a performance curve is incorporated into the model to represent the specific electricity consumption of the electrolyzer, with the operating power serving as the determining factor [24]. The minimum load of electrolysis is considered to be 15% and the maximum load of 100%.

2.1.3. Supercritical Gas Turbine

Gas turbine systems are power generation systems that operate based on the principles of the Brayton cycle. The primary components of these systems include a compressor, combustor, and turbine. Traditionally, gas turbine systems utilize air as the working fluid. However, there has been notable research interest in supercritical carbon dioxide (sCO2) gas turbine systems due to their superior thermal efficiency, streamlined and compact design, and operational versatility, enabling them to efficiently accommodate the intermittency of renewable energy sources. Gas turbine efficiency varies based on type and size. According to Boyce [25] heavy-duty gas turbines (up to 480 MW) achieve 48% efficiency in simple-cycle and 60% in combined cycle configurations. Aircraft-derivative gas turbines (2.5 to 50 MW) reach 35% to 45% efficiency. Industrial-type gas turbines (2.5 to 15 MW) achieve 30% efficiency, up to 40% with a regenerator. Small gas turbines (0.5 to 2.5 MW) range from 15% to 25% in simple-cycle and 30% to 35% in regenerated cycle applications.
Gas turbine cycles can be categorized into open and closed configurations. In an open cycle, fuel combustion occurs directly, and the resulting exhaust gases are released into the environment. Conversely, in a closed cycle, the working fluid goes through a heat exchanger, utilizing an external heat source like an external combustor or concentrated solar energy. Open cycles facilitate the attainment of high gas turbine inlet temperatures, whereas closed cycles are capable of operating at elevated pressures.
Various working fluids, including air, CO2, and Xe, can be utilized in closed cycle gas turbines. CO2 is particularly advantageous due to its high density at the critical point (467.6 kg/m3) which occurs at a pressure of 73.8 bar and a temperature of 31 °C. In the supercritical region, CO2 exhibits high density, with no distinct boundary between liquid and gas phases. Compression in a CO2 power cycle occurs near the critical point, resulting in reduced compression work and increased cycle thermal efficiency. Additionally, the compactness of the system is enhanced by CO2’s high density, making CO2 power systems approximately ten times smaller in size compared to conventional air gas turbines, for the same power output.
Various sCO2 gas turbine research initiatives are underway. The STEP 10 MWe pilot demo project, located at the Southwest Research Institute’s San Antonio campus, showcases indirectly fired sCO2 cycles with temperatures reaching 700 °C and pressures of 250 bar, achieving over 50% efficiency and advancing from TRL 3 to 7 [26,27]. NET Power demonstrated sCO2 gas turbines with oxy-fuel combustion on a 50 MWth test facility and is progressing to a 300 MWe utility-scale natural gas-fired sCO2 turbine, achieving 59% efficiency [28]. This cycle operates between 30 bar and 300 bar with an inlet temperature of 1150 °C.
The implementation of the supercritical CO2 gas turbine within the HERMES system operates on the following principle. Supercritical CO2 undergoes recirculation throughout the compressor, regenerator, combustor, and turbine stages. Renewable fuels such as MeOH or H2, along with oxygen, are introduced into the system, while combustion byproducts, including water vapor and CO2, are expelled. Within the compressor, supercritical CO2 at 75 bar and 45 °C is elevated to high-pressure conditions, approximately 200 bar, with minimal work required due to the small pressure ratio and utilization of highly dense supercritical fluid. The regenerator utilizes heat from the turbine exit to preheat the supercritical CO2 to high temperatures. In the combustion chamber, renewable fuels and oxygen are combined, resulting in high gas turbine inlet temperatures reaching around 1200 °C. The heated supercritical CO2 and combustion products then undergo expansion in the turbine, reducing the pressure to 75 bar. Heat transfer via the regenerator occurs, transferring heat from the compressor’s outlet flow. Water is subsequently condensed and removed from the system at 75 bar and 40 °C. Excess CO2 is separated, leaving pure supercritical CO2 to be compressed under high-pressure conditions for the continuation of the cycle. The HERMES system offers numerous advantages, including zero pollutant emissions, complete carbon recovery, high efficiency (65%), compact design, rapid response time, and operational flexibility. Further information on the HERMES s-GT can be found here [29].

2.1.4. Photovoltaic and Wind Systems

The capacity factors are calculated based on that described in references [30,31] and iprovided by the internet site www.renewables.ninja (accessed on 10 November 2024). The hourly PV and wind profiles are then evaluated for the year 2019 at the specified locations (Crete island). According to the reference, the Full Load hours (FLh) of PV and wind are 1974 h and 3770 h, respectively.
The approach of Madi et al. [32] was used to calculate the size of the PV and wind turbine. Several variables were taken into account including annual solar irradiation profile, annual wind profile, demand electricity profile hourly base, purchase electricity price, and CAPEX and OPEX of the PV and wind turbine. The model employs Mixed-Integer Linear Programming (MILP), a method commonly utilizing linear constraints but also accommodating binary and integer variables. In optimizing installed technologies, binary variables are employed to choose the most suitable options. MILP enables the rapid calculation of energy demand and supply for an entire year within a few minutes. The commercial Gurobi Optimizer v10.0.0 is used as the solver. For further details about the MILP model, see Appendix A.

2.1.5. Battery Storage Unit

To effectively control the electrical energy generated by the PV plant, a Li-ion (lithium-ion) battery storage system is introduced. The calculation of the stored energy in the battery is determined using Equation (2). To safeguard against premature battery wear, there are constraints on the amount of energy that can be stored, defined by the minimum and maximum State of Charge (SOC). These SOC limits are expressed as a percentage of the battery’s rated capacity. In this work, the minimum SOC set at 20% and the maximum at 100%.
E B T t + 1 = E B T t + E B T ,   i n t . η B T ,   c h E B T ,   o u t t η B T ,   d c
where E B T (in MWh) is the stored energy, E B T ,   i n (in MWh) is the battery input power (charging), E B T ,   o u t (in MWh) the battery output power (discharging), η B T ,   c h is the battery charging efficiency, and η B T ,   d c is the battery discharging efficiency. Both charging and discharging efficiencies are set at 0.92 in this study [33].
The summary of technical parameters used for the integrated energy system is shown in Table 1.

2.2. Economic Analysis

Techno-economic analysis is conducted to assess the feasibility of the plant under investigation. Key economic indicators used to evaluate the energy system’s economic performance include the Levelized Cost Of Product (LCOP) and Levelized Cost Of Electricity (LCOE).
The initial total investment cost (CAPEX, in EUR) at the commencement of the analysis period is derived from the sum of investment costs for each i-th component, each component’s specific investment costs being detailed in Table 2. The annual net operating cost (OPEX, in EUR/y) encompasses the cumulative expenses incurred during the operational lifespan of the plant. For each i-th component, annual Operation and Maintenance (O&M) costs are calculated as a percentage of their respective investment costs. Replacement costs are similarly determined as a percentage of the initial investment costs, accounting for the periodic replacement of key components such as the electrolysis stack over the plant’s operational life.
LCOE calculation involves consideration of financial parameters, including CAPEX, OPEX, project lifetime, and the Weighted Average Cost of Capital (WACC). The total discounted cost over the project’s lifespan (N) is determined, integrating both CAPEX and OPEX while factoring in the time value of money through discounting with the WACC via the term Capital Recovery Factor (crf), Equation (3). This culminates in the derivation of an annualized CAPEX (Equation (4)), elucidating the equivalent yearly payment required to amortize the initial investment with interest. Subsequently, the total annual cost, encompassing both OPEX and annualized CAPEX, is computed.
c r f = W A C C   ·   ( 1 + W A C C ) N ( 1 + W A C C ) N 1
C A P E X a n n u a l ( a n . ) = C A P E X .   c r f
To derive the LCOE for PV and wind systems, Equation (5) is applied. By inputting the dimensions of the PV and wind installations along with their respective full load hours, one can compute the LCOE for each system. The average LCOE encompassing both PV and wind systems is subsequently determined and reported.
L C O E P V ,   w i n d = C A P E X + t = 1 N O P E X t ( 1 + W A C C ) t t = 1 N F L h × P P V / w i n d ( 1 + W A C C ) t
The LCOESES for the integrated system encompasses electricity generation from both PV and wind sources, as well as seasonal energy storage. This metric considers the CAPEX and OPEX of the entire system and is computed utilizing Equation (6).
L C O E S E S = C A P E X t o t a l . c r f + O P E X t o t a l T o t a l   e l .   p r o d .   f r o m   P V , w i n d   &   s t o r a g e   s y s t e m
C A P E X t o t a l = C A P E X w i n d + C A P E X p v + C A P E X P E M + C A P E X M e O H + C A P E X C H P + C A P E X t a n k s , H 2 , O 2 , C O 2
O P E X t o t a l = O P E X w i n d + O P E X p v + O P E X P E M + O P E X M e O H + O P E X C H P + O P E X t a n k s , H 2 , O 2 , C O 2
The LCOPH2 and LCOPMeOH indicators represent the average cost per unit of the hydrogen and MeOH, respectively. To calculate the LCOP for hydrogen and MeOH, only the CAPEX and OPEX of the involved systems in the process are considered (Equations (7) and (9)). Hydrogen and methanol serve as an intermediate product within the integrated system. According to the algorithm, a constraint must be established for the methanol storage capacity. Any excess methanol produced beyond this storage limit is sold on the market at the LCOP, generating additional revenue.
L C O P H 2 = C A P E X P E M · c r f + O P E X P E M + t = 1 8760 E e x c e s s , t · L C O E P V + w i n d A n n u a l   H 2   p r o d u c t i o n
L C O P M e O H = C A P E X M e O H · c r f + O P E X M e O H + L C O P H 2 · H 2 , p r o d , a n . A n n u a l   M e O H   p r o d u c t i o n
To assess the economic viability of electricity production using the proposed seasonal energy storage system in future scenarios, we authors projected the costs of key technologies based on the data provided in Table 3. Anticipated reductions in specific investment costs for these units are expected over the coming decades. We authors delineate the short-term perspective as 2030 and the long-term perspective as 2050.

3. Results and Discussions

3.1. Energy System Assessment

The dimensions and the results of the energy simulation are shown in Table 4. The nominal sizes of the PV and wind installations are calculated based on the approach of Madi et al. [32], resulting in values of 20.6 and 16.6, respectively.
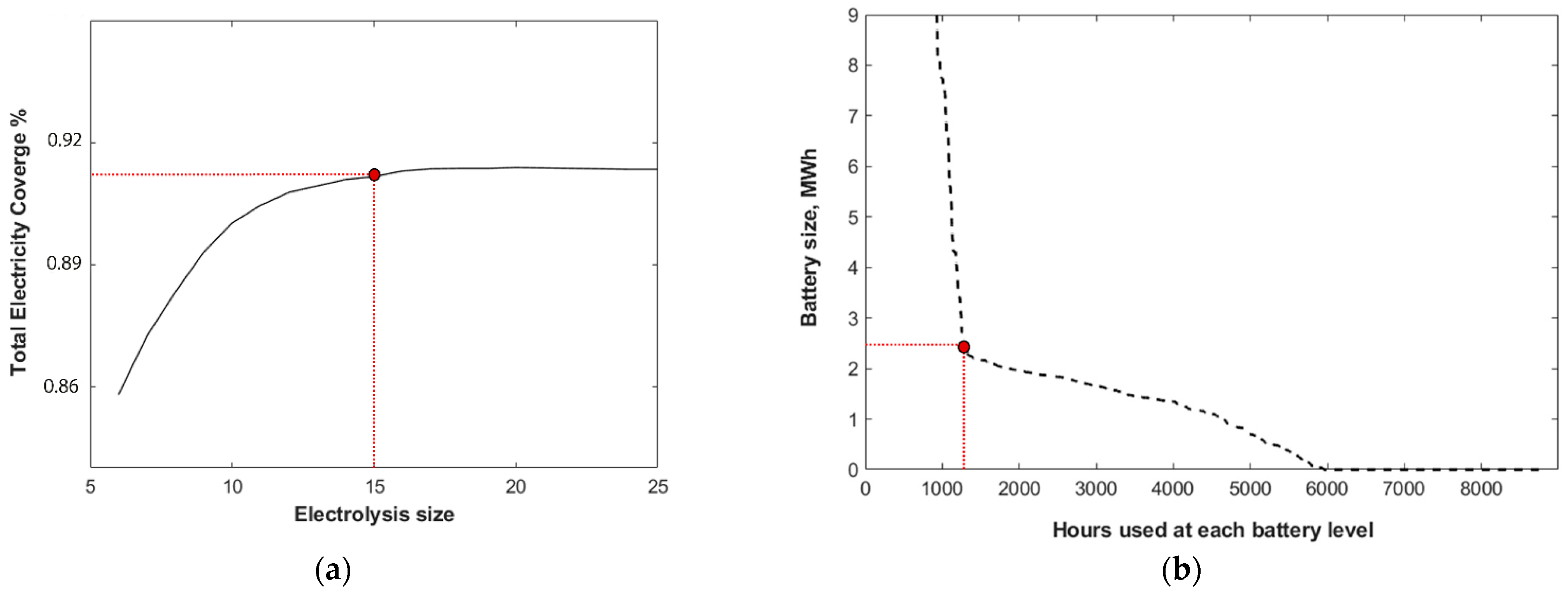
The determination of the optimal electrolysis size involved a sensitivity analysis encompassing various electrolysis capacities and the corresponding total electricity coverage from the storage system, PV and wind system. As depicted in Figure 3a, the optimal electrolysis size is determined to be 15 MW. Expanding the size of the electrolysis system offers only marginal gains in the annual electricity coverage for the community. Larger electrolysis capacities yield excess hydrogen production, which surpasses the storage system’s requirements. Evaluating the excess electricity profile shown in the next section, only 9% of the time throughout the year does the excess electricity exceed 15 MW. These higher levels of excess electricity can be temporarily stored in the battery. Additionally, considering minimum load requirements adds complexity to the decision-making process. A system size that is too large may result in suboptimal operation during periods of low excess, leading to inefficiencies and resource wastage. Conversely, a size that is too small may struggle to meet demand during peak periods, compromising the overall effectiveness of the system.
The battery serves as a crucial buffer, smoothing out fluctuations in electricity generation and enhancing the overall stability and reliability of the system. Dimensioning the battery storage system necessitated a sensitivity analysis concerning battery size and the duration of battery utilization at different capacity levels. According to Figure 3b, a battery storage system with a capacity of 2.5 MWh is deemed optimal for the studied case. Larger batteries are found to be inefficient for the system, as the entirety of their capacity is seldom utilized throughout the year, resulting in significant unused capacity for extended periods.
The sizing of the s-GT is a key element as the gas turbine represents a critical component of the overall system design. A similar approach to the electrolysis sizing, i.e., maximizing electricity coverage over the whole year, was used. The size-dependent coverage percentage value is reached at a capacity of 14 MW for the s-GT, considering a 60% efficiency rate, which equals 8.4 MWh/h of maximal electricity that can be provided.

3.2. Dynamic Behavior

Electricity production from the combined 20.6 MW PV and 16.6 MW wind power system is directly utilized to fulfill the demand profile delineated in Figure 1. Any surplus electricity, herein referred to as “excess electricity”, is directed towards electrolysis. Owing to the inherent fluctuations and occasional peaks in the surplus electricity profile, a battery system is integrated to mitigate these peaks. Additionally, the battery serves the purpose of storing electricity during periods when the available electricity falls below the minimum operational load threshold of the electrolysis, which is set at 15%. Figure 4a–d illustrates the surplus electricity generated from the PV and wind system, the battery storage system dynamic behavior, and the H2 production and H2 storage tank during the year.
The hydrogen generated through the electrolysis process is stored within an intermediary buffer tank before being utilized in MeOH synthesis. This intermediary step is necessitated by the operational constraints of the MeOH synthesis unit, which cannot effectively operate at loads lower than 20%. Consequently, the storage of hydrogen serves as a buffer, ensuring a consistent and reliable supply for the MeOH synthesis process. Based on the data presented in Figure 5a, it is determined that the hydrogen storage tank must possess a capacity of 280 kg to adequately fulfill the requirements of the system.
Figure 5 illustrates the dynamic behavior of the MeOH storage tank, the electricity generated from the s-GT, and the electricity coverage from the grid. In the initial half of the year, the MeOH storage tank tends to remain predominantly full. This is attributed to the comprehensive coverage provided by the PV and wind systems, effectively meeting the electricity demand, with infrequent reliance on the seasonal storage system for supplemental coverage. However, as presented by the electricity demand profile in Figure 1, demand peaks during the summer and autumn seasons exceed the capacity of the PV and wind systems. Consequently, the seasonal storage system becomes increasingly utilized to meet the heightened demand, leading to occasional depletion of the MeOH storage tank. The determined size of the MeOH tank stands at 313 m3. In our previous study [42], where hydrogen was considered as the storage medium, achieving the same level of electricity coverage required more than 100 H2 tanks, each with a capacity of 527 kg of H2. Through further optimization, it was determined that 26 of these reference tanks were sufficient; however, this resulted in reduced electricity coverage from the energy storage system, leading to greater dependency on grid electricity.
The efficiency of the s-GT exhibits a significant decline during low-load operations, prompting the introduction of a minimum load operation threshold set at 10%. Consequently, during periods when the electricity demand falls below the operational capacity of the s-GT, the grid intervenes to provide supplementary support.
The implementation of the proposed seasonal storage system proves highly effective, covering over 90% of the annual electricity demand. In the absence of this storage system, the PV and wind systems generate a substantial surplus of electricity, particularly during the summer. Overall, without the storage system, these renewable sources fulfill 62% of the electricity demand on average.

3.3. CO2 Supply

The CO2 emitted from the s-GT can be captured and stored in a dedicated storage tank, with an assumed capture rate of 80%. This captured CO2 serves as a feedstock for the MeOH synthesis process. However, the quantity of CO2 generated from the s-GT alone may not suffice to meet the requirements of the synthesis process. Consequently, an external source of CO2 is necessitated. In this case study, biogas is considered a supplementary CO2 source. To extract CO2 from biogas, a biogas upgrading unit is employed. The extracted CO2 is then accumulated in a designated CO2 tank, while the methane can either be utilized as fuel for the s-GT to generate electricity or sold on the market.
To ascertain the optimal CO2 flow rate from biogas and the additional CO2 required for MeOH synthesis, a sensitivity analysis was conducted. The CO2 flow rate from biogas was varied from 0 to 500 Nm3/h, while the corresponding demand for additional CO2 procurement over the year was calculated. Figure 6 shows the results from the sensitivity analysis. Considering a storage tank with a maximum capacity of 60 tons (equivalent to 33,000 Nm3) of CO2, a commercial product provided by Linde, the analysis revealed that without CO2 from the biogas stream, ca. 1500 tons of CO2 would need to be purchased annually. However, with integration of biogas at a flow rate of ca. 400 Nm3/h of CO2, there would be no requirement for additional purchased CO2.
In this analysis, a CO2 flow rate of 200 Nm3/h is considered, which corresponds to a biogas plant maintaining a constant production of 500 Nm3/h, assuming a CO2 concentration of 40 vol% in biogas.

3.4. Economic Assessment

Figure 7 shows the breakdown of both investment and operational costs, presenting the composition of each unit within the evaluated energy system. The total investment outlay for the energy system amounts to 105 M EUR, with annual operational and maintenance costs totaling 3.1 M EUR. Investment costs are distributed across various components, with the electricity production system accounting for 34% of the total investment, comprising 18.8% for PV and 22.3% for wind power. Subsequently, the s-GT represents 24.2% of the investment, followed by the MeOH synthesis plant at 13.5%, electrolysis at 17.3%, battery storage at 2.2%, and the remainder allocated to storage tanks.
The electricity generated by the PV and wind systems primarily supplies the end user’s demand, resulting in a calculated LCOE of 43 EUR/MWh. However, due to the oversized design of the PV and wind systems, about 38% of the generated electricity remains unused by the end user.
The surplus electricity, equivalent to 38% of the total generation from the PV and wind systems, is directed to the SES system. Initially, this surplus electricity powers electrolysis for hydrogen production. The produced hydrogen is then stored in an intermediate tank, and subsequently utilized in the MeOH synthesis process. The size of this storage tank is relatively modest at 10 MWh (based on higher heating value) or 3000 Nm3. The annual MeOH production capacity is calculated to be 3000 tons/year, with an LCOPMeOH of 2.7 EUR/kg. The average LCOE, encompassing both direct utilization from PV and wind and the SES system, is determined to be 94 EUR/MWh.
Taking into account the anticipated future investment cost trajectories for the technologies, as delineated in Table 3, the LCOE is projected to potentially decrease by 43% in the short term (by 2030) and by 69% in the long term (by 2050). Concurrently, the corresponding LCOP values for MeOH are computed and illustrated in Figure 8.
In addition to CAPEX and OPEX, the discount rate plays a crucial role in economic evaluations. In our current study, a discount rate of 5% was considered. However, due to future uncertainties, a sensitivity analysis around this parameter was conducted. The discount rate varied from 4 to 8%, and the results are depicted in Figure 8. As illustrated, the LCOE would increase by 32% (reaching 124 EUR/MWh) at a discount rate of 8%, while it could decrease by 11% to 84 EUR/MWh if the discount rate were lowered to 4%. Consequently, the LCOP for MeOH would increase by 21% at a discount rate of 8%.

4. Conclusions

This study has evaluated the technical and economic feasibility of integrating the HERMES s-GT and novel methanol synthesis into an energy storage system. By utilizing excess renewable electricity for chemical synthesis, including hydrogen production via electrolysis and subsequent methanol synthesis using carbon dioxide from a biogas plant, the system demonstrates a promising approach for grid-balancing energy storage.
The study identifies a 15 MW electrolysis system and a 2.5 MWh battery storage as optimal for balancing electricity generation and storage. These configurations minimize resource wastage while ensuring stability and reliability, particularly during periods of fluctuating electricity production from renewable sources. The s-GT, with a capacity of 14 MW, also plays a significant role in meeting electricity demand, especially during peak periods.
The intermediate hydrogen storage tank with a capacity of 280 kg, alongside a MeOH storage tank of 313 m3, ensures that excess renewable energy is effectively utilized. The study demonstrates that the proposed system can meet over 90% of the annual electricity demand, reducing dependency on grid electricity and optimizing the use of renewable resources. The combination of PV, wind, and seasonal storage systems proves to be an effective solution for managing seasonal variations in electricity demand.
To realize the project, an initial investment of 105 MEUR is necessary, accompanied by annual operational and maintenance expenses of 3.8 MEUR. The levelized cost of electricity was estimated at 94 EUR/MWh. Moreover, considering future investment cost trajectories, the anticipated decreases in the LCOE by 43% in the short term (2030) and 69% by 2050, underscore the system’s potential for long-term cost reduction.

Author Contributions

Conceptualization, H.M. and C.B. (Claude Biever); methodology, H.M. and C.B. (Claude Biever); validation, C.B. (Chiara Berretta), Y.S.H. and T.S.; formal analysis, T.S.; investigation, H.M. and C.B. (Claude Biever); resources, H.M. and T.S.; data curation, C.B. (Claude Biever); writing—original draft preparation, H.M.; writing—review and editing, C.B. (Chiara Berretta), Y.S.H. and T.S.; supervision, T.S.; funding acquisition, H.M. and T.S. All authors have read and agreed to the published version of the manuscript.

Funding

This work received funding from the EU-project HERMES, supported by the European Union’s Horizon Europe Research and Innovation program under Grant Agreement No. 1010837. Also this project has received the European union’s Horizon 2020 research and innovation program under the Marie Skłodowska-Curie grant agreement No. 945363.

Data Availability Statement

The data are contained within the article and is available upon request.

Conflicts of Interest

The authors declare no conflicts of interest.

Abbreviations

AELalkaline electrolysis
CAPEXcapital expenditure
CHPcombine heat and power
LCOElevelized cost of electricity
LCOPlevelized cost of the product
MeOHmethanol
MILPMixed-Integer Linear Programming
O&Moperation and maintenance
OPEXoperation and maintenance expenditure
PAFCphosphoric acid fuel cell
PEMproton exchange membrane
sCO2supercritical carbon dioxide
s-GTsupercritical gas turbine
SOCState of Charge
RESrenewable energy sources
SESseasonal energy storage
SNGSynthetic natural gas
WACCWeighted Average Cost of Capital

Appendix A. PV and Wind Sizing Using MILP

Mixed-Integer Linear Programming (MILP) models are widely employed in optimization tasks due to their ability to handle linear constraints while accommodating both binary and integer variables. This flexibility is particularly beneficial when optimizing the selection and sizing of installed technologies, as it enables the model to determine the most optimal configuration by making discrete decisions, which are represented by binary variables. By incorporating these binary variables, the MILP model can effectively decide whether to include specific technologies or components within the system.
In this study, the MILP model is utilized to calculate the energy demand and supply over an entire year, with the capability to perform these calculations at hourly or daily resolutions. This level of granularity ensures that the model can capture the dynamic behavior of energy systems throughout different periods of the year. The Gurobi Optimizer is employed to solve the MILP model. The energy supply system in the model is primarily defined by two key renewable energy technologies: PV and wind power. These technologies are central to the model’s objective of optimizing the energy supply to meet demand while minimizing costs.
The electricity demand, denoted as   E ˙ C r e t e ,   c o n s E L , must be met by the power generation units within the system, represented by u E L U n i t s E ˙ u ,   p r o d . E L , where the EL-Units consist of PV and wind energy sources. Given the inherent intermittency of renewable energy sources, there will inevitably be periods where supply and demand are mismatched. In situations where there is a shortfall in electricity supply, the system can import electricity from the grid, denoted as E ˙ g r i d ,   i m p E L . Conversely, when there is excess electricity production E ˙ e x E L , it can be stored in the seasonal energy storage system to be used later. The electricity balance within the system is governed by a critical condition: E ˙ g r i d ,   i m p E L should be zero whenever E ˙ e x E L is non-zero, and vice versa. This ensures that the system either imports electricity from the grid or utilizes excess electricity for storage, but never both simultaneously.
In the MILP model, this mutual exclusivity is enforced through the use of binary variables. Specifically, binary variables B g r i d ,   i m p   E L { 0 ,   1 } and B e x   E L { 0 ,   1 } , each taking a value of either 0 or 1, are introduced to control the state of grid import and excess electricity utilization. These binary variables ensure that only one of the two actions—grid import or excess electricity storage—is active at any given time, as mathematically defined in Equations (A2) and (A3). This approach allows the model to dynamically manage the electricity balance while optimizing the overall system performance.
E ˙ g r i d , i m p E L h + u E L U n i t s E ˙ u , p r o d . E L h = E ˙ C r e t e , c o n s E L h + E ˙ e x E L h , h { h o u r s }
B g r i d , i m p E L h + B e x E L h 1 , h { h o u r s }
B e x E L h . E ˙ e x E L h = E ˙ e x E L h , h { h o u r s }
The formalization of the economic evaluation for the defined energy system builds upon the methodologies of P. Stadler (Model-based Optimization of Distributed and Renewable Energy Systems in Buildings, 2016, https://doi.org/10.1016/j.enbuild.2016.03.051). This framework integrates a series of equations that link technological deployment and fueling costs with the physical dimensions of the systems and their fuel consumption rates. The primary aim of this model is to minimize the total annual expenditures (TOTEX). TOTEX represents the aggregate of annualized capital expenditures (CAPEX) and annual operational expenditures (OPEX). In detail, CAPEX encompasses the initial investment required for the installation and commissioning of the energy system’s components, including infrastructure and technology costs. OPEX, on the other hand, covers the ongoing costs associated with the operation and maintenance of the system throughout its lifecycle. The economic parameters to calculate OPEX and CAPEX of PV and wind are provided in Table 2 of the manuscript.
T O T E X = O P E X + C A P E X
Having the hourly data for the electricity price in Crete from 2019, P g r i d ,   i m p E L h , the total expenditure on electricity is defined as follows:
O P E X E L = h H o u r s E ˙ g r i d ,   i m p E L h   ·   P g r i d ,   i m p E L h

References

  1. Gielen, D.; Boshell, F.; Saygin, D.; Bazilian, M.D.; Wagner, N.; Gorini, R. The Role of Renewable Energy in the Global Energy Transformation. Energy Strategy Rev. 2019, 24, 38–50. [Google Scholar] [CrossRef]
  2. Jeswani, H.K.; Saharudin, D.M.; Azapagic, A. Environmental Sustainability of Negative Emissions Technologies: A Review. Sustain. Prod. Consum. 2022, 33, 608–635. [Google Scholar] [CrossRef]
  3. Amir, M.; Deshmukh, R.G.; Khalid, H.M.; Said, Z.; Raza, A.; Muyeen, S.M.; Nizami, A.-S.; Elavarasan, R.M.; Saidur, R.; Sopian, K. Energy Storage Technologies: An Integrated Survey of Developments, Global Economical/Environmental Effects, Optimal Scheduling Model, and Sustainable Adaption Policies. J. Energy Storage 2023, 72, 108694. [Google Scholar] [CrossRef]
  4. Elberry, A.M.; Thakur, J.; Veysey, J. Seasonal Hydrogen Storage for Sustainable Renewable Energy Integration in the Electricity Sector: A Case Study of Finland. J. Energy Storage 2021, 44, 103474. [Google Scholar] [CrossRef]
  5. Erdener, B.C.; Sergi, B.; Guerra, O.J.; Lazaro Chueca, A.; Pambour, K.; Brancucci, C.; Hodge, B.-M. A Review of Technical and Regulatory Limits for Hydrogen Blending in Natural Gas Pipelines. Int. J. Hydrogen Energy 2023, 48, 5595–5617. [Google Scholar] [CrossRef]
  6. Moioli, E.; Schildhauer, T. Techno-Economic-Environmental Assessment of the Integration of Power-to-X and Biogas Utilization towards the Production of Electricity, Hydrogen, Methane and Methanol. Sustain. Energy Fuels 2023, 7, 2690–2706. [Google Scholar] [CrossRef]
  7. Götz, M.; Lefebvre, J.; Mörs, F.; McDaniel Koch, A.; Graf, F.; Bajohr, S.; Reimert, R.; Kolb, T. Renewable Power-to-Gas: A Technological and Economic Review. Renew. Energy 2016, 85, 1371–1390. [Google Scholar] [CrossRef]
  8. Chapter 5.3.3—Application of Hydrogen by Use of Chemical Reactions of Hydrogen and Carbon Dioxide. In Science and Engineering of Hydrogen-Based Energy Technologies; de Miranda, P.E.V., Ed.; Academic Press: Cambridge, MA, USA, 2019; pp. 279–289. ISBN 978-0-12-814251-6. [Google Scholar]
  9. Bowker, M. Methanol Synthesis from CO2 Hydrogenation. ChemCatChem 2019, 11, 4238–4246. [Google Scholar] [CrossRef]
  10. Baak, J.A. Techno-Economic Study of a Zero-Emission Methanol Based Energy Storage System. Energy Convers. Manag. 2019, 182, 530–545. [Google Scholar]
  11. Brown, T.; Hampp, J. Ultra-Long-Duration Energy Storage Anywhere: Methanol with Carbon Cycling. Joule 2023, 7, 2414–2420. [Google Scholar] [CrossRef]
  12. Highly Efficient Super Critical ZERO eMission Energy System|HERMES Project|Fact Sheet|HORIZON. Available online: https://cordis.europa.eu/project/id/101083748 (accessed on 26 March 2024).
  13. Yang, M.; Baral, N.R.; Anastasopoulou, A.; Breunig, H.M.; Scown, C.D. Cost and Life-Cycle Greenhouse Gas Implications of Integrating Biogas Upgrading and Carbon Capture Technologies in Cellulosic Biorefineries. Environ. Sci. Technol. 2020, 54, 12810–12819. [Google Scholar] [CrossRef] [PubMed]
  14. Pozarlik, A.K. University of Twente, Enschede, The Netherlands, Personal Communication, 2024.
  15. Moioli, E.; Schildhauer, T. Tailoring the Reactor Properties in the Small-Scale Sorption-Enhanced Methanol Synthesis. Chem. Ing. Tech. 2023, 95, 631–641. [Google Scholar] [CrossRef]
  16. Moioli, E.; Mutschler, R.; Züttel, A. Renewable Energy Storage via CO2 and H2 Conversion to Methane and Methanol: Assessment for Small Scale Applications. Renew. Sustain. Energy Rev. 2019, 107, 497–506. [Google Scholar] [CrossRef]
  17. Twigg, M.V. Catalyst Handbook; Routledge: London, UK, 2018; ISBN 978-1-351-46232-7. [Google Scholar]
  18. Moioli, E.; Wötzel, A.; Schildhauer, T. Feasibility Assessment of Small-Scale Methanol Production via Power-to-X. J. Clean. Prod. 2022, 359, 132071. [Google Scholar] [CrossRef]
  19. Bos, M.J.; Brilman, D.W.F. A Novel Condensation Reactor for Efficient CO2 to Methanol Conversion for Storage of Renewable Electric Energy. Chem. Eng. J. 2015, 278, 527–532. [Google Scholar] [CrossRef]
  20. Samimi, F.; Rahimpour, M.R.; Shariati, A. Development of an Efficient Methanol Production Process for Direct CO2 Hydrogenation over a Cu/ZnO/Al2O3 Catalyst. Catalysts 2017, 7, 332. [Google Scholar] [CrossRef]
  21. Gallucci, F. Inorganic Membrane Reactors for Methanol Synthesis. In Methanol; Elsevier: Amsterdam, The Netherlands, 2018; pp. 493–518. ISBN 978-0-444-63903-5. [Google Scholar]
  22. Terreni, J.; Trottmann, M.; Franken, T.; Heel, A.; Borgschulte, A. Sorption-Enhanced Methanol Synthesis. Energy Tech 2019, 7, 1801093. [Google Scholar] [CrossRef]
  23. Buttler, A.; Spliethoff, H. Current Status of Water Electrolysis for Energy Storage, Grid Balancing and Sector Coupling via Power-to-Gas and Power-to-Liquids: A Review. Renew. Sustain. Energy Rev. 2018, 82, 2440–2454. [Google Scholar] [CrossRef]
  24. Santos, M.; Rodriguez, R.; Garcia, S. Techno-Economic Analysis of Wind-Hydrogen Integration. Tech. Rep. Haeolus 2020, 5, 3. [Google Scholar]
  25. Boyce, M.P. Gas Turbine Engineering Handbook, 4th ed.; Elsevier: Amsterdam, The Netherlands; Butterworth-Heinemann: Boston, MA, USA, 2012; ISBN 978-0-12-383842-1. [Google Scholar]
  26. Marion, J.; Macadam, S.; McClung, A. The STEP 10 MWe sCO2 Pilot Demonstration Status Update. In Turbo Expo: Power for Land, Sea, and Air; American Society of Mechanical Engineers: New York, NY, USA, 2021; Volume 85048, p. V010T30A011. [Google Scholar]
  27. Turchi, C. 10 MW Supercritical CO2 Turbine Test; Sandia National Laboratories, University of Wisconsin at Madison: Madison, WI, USA; Echogen Power Systems: Akron, OH, USA; Barber-Nichols, Inc.: Arvada, CO, USA; Abengoa Solar, Electric Power Research Institute: Palo Alto, CA, USA, 2014; p. DE-EE0002589, 1117025. [Google Scholar]
  28. Allam, R.; Martin, S.; Forrest, B.; Fetvedt, J.; Lu, X.; Freed, D.; Brown, G.W.; Sasaki, T.; Itoh, M.; Manning, J. Demonstration of the Allam Cycle: An Update on the Development Status of a High Efficiency Supercritical Carbon Dioxide Power Process Employing Full Carbon Capture. Energy Procedia 2017, 114, 5948–5966. [Google Scholar] [CrossRef]
  29. Oleś, S.; Mularski, J.; Pyka, D.; Pawlak-Kruczek, H.; Pozarlik, A. Optimization of Hydrogen Supercritical Oxy-Combustion in Gas Turbines. Fuels 2025, 6, 6. [Google Scholar] [CrossRef]
  30. Pfenninger, S.; Staffell, I. Long-Term Patterns of European PV Output Using 30 Years of Validated Hourly Reanalysis and Satellite Data. Energy 2016, 114, 1251–1265. [Google Scholar] [CrossRef]
  31. Staffell, I.; Pfenninger, S. Using Bias-Corrected Reanalysis to Simulate Current and Future Wind Power Output. Energy 2016, 114, 1224–1239. [Google Scholar] [CrossRef]
  32. Madi, H.; Lytvynenko, D.; Schildhauer, T.; Jansohn, P. Decarbonisation of Geographical Islands and the Feasibility of Green Hydrogen Production Using Excess Electricity. Energies 2023, 16, 4094. [Google Scholar] [CrossRef]
  33. Marocco, P.; Ferrero, D.; Gandiglio, M.; Ortiz, M.M.; Sundseth, K.; Lanzini, A.; Santarelli, M. A Study of the Techno-Economic Feasibility of H2-Based Energy Storage Systems in Remote Areas. Energy Convers. Manag. 2020, 211, 112768. [Google Scholar] [CrossRef]
  34. Panos, E.; Kannan, R.; Hirschberg, S.; Kober, T. Net-Zero CO2 Emissions Scenarios for Switzerland. Preprint 2022. [CrossRef]
  35. Green Hydrogen Cost Reduction. Available online: https://www.irena.org/publications/2020/Dec/Green-hydrogen-cost-reduction (accessed on 25 March 2024).
  36. Bauer, C.; Desai, H.; Heck, T.; Sacchi, R.; Schneider, S.; Terlouw, T.; Treyer, K.; Zhang, X. Electricity Storage and Hydrogen—Technologies, Costs and Impacts on Climate Change; Paul Scherrer Institut: Würenlingen, Switzerland, 2022. [Google Scholar]
  37. Oxygen Synergy for Hydrogen Production. Available online: https://projecten.topsectorenergie.nl/storage/app/uploads/public/5e9/47d/800/5e947d8007aed241013086.pdf (accessed on 20 April 2024).
  38. Minardi, M.; Marocco, P.; Gandiglio, M. Carbon Recovery from Biogas through Upgrading and Methanation: A Techno-Economic and Environmental Assessment. J. CO2 Util. 2023, 78, 102632. [Google Scholar] [CrossRef]
  39. Greece: Monthly DAM Baseload Electricity Price. 2024. Available online: https://www.statista.com/statistics/1215877/dam-electricity-baseload-price-greece/ (accessed on 20 April 2024).
  40. IRENA Future of Wind 2019. Available online: https://www.irena.org/-/media/Files/IRENA/Agency/Publication/2019/Oct/IRENA_Future_of_wind_2019_summ_EN.pdf?la=en&hash=D07089441987EBABC7F4BED63B62C83820C18724 (accessed on 20 April 2024).
  41. Cole, W.; Karmakar, A. Cost Projections for Utility-Scale Battery Storage: 2023 Update. Renew. Energy 2023. [Google Scholar] [CrossRef]
  42. Madi, H. SOFC versus Supercritical Gas Turbine: A Techno-Economic Analysis of an Efficient and Decarbonized Energy System Fueled by E-Methanol. In Proceedings of the EFCF 2024: 16th European SOFC & SOE Forum, Lucerne, Switzerland, 1 July 2024. [Google Scholar]
Figure 1. The conceptualization of the designed system for the seasonal energy storage system.
Figure 1. The conceptualization of the designed system for the seasonal energy storage system.
Energies 18 01651 g001
Figure 2. Algorithm of the model for the seasonal energy storage system. The blue rectangular boxes represent units such as PV, wind, electrolysis, CHP, and tanks. The orange rhombuses indicate decision-making processes, while the gray parallelogram is used for loading inputs.
Figure 2. Algorithm of the model for the seasonal energy storage system. The blue rectangular boxes represent units such as PV, wind, electrolysis, CHP, and tanks. The orange rhombuses indicate decision-making processes, while the gray parallelogram is used for loading inputs.
Energies 18 01651 g002
Figure 3. Sensitivity analysis for the size of electrolysis and the share of electricity coverage (a) and sensitivity analysis to optimize the battery size (b). Red dots show the optimal values.
Figure 3. Sensitivity analysis for the size of electrolysis and the share of electricity coverage (a) and sensitivity analysis to optimize the battery size (b). Red dots show the optimal values.
Energies 18 01651 g003
Figure 4. The hourly profiles of (a) excess electricity, (b) battery, (c) hydrogen production and (d) the level of hydrogen tank.
Figure 4. The hourly profiles of (a) excess electricity, (b) battery, (c) hydrogen production and (d) the level of hydrogen tank.
Energies 18 01651 g004
Figure 5. Dynamic behavior of (a) the MeOH storage tank, (b) electricity generation from the s-GT and (c) the coverage from the grid.
Figure 5. Dynamic behavior of (a) the MeOH storage tank, (b) electricity generation from the s-GT and (c) the coverage from the grid.
Energies 18 01651 g005
Figure 6. Sensitivity analysis for the CO2 flow rate and the extra CO2 need to be purchased.
Figure 6. Sensitivity analysis for the CO2 flow rate and the extra CO2 need to be purchased.
Energies 18 01651 g006
Figure 7. Total investment costs with the breakdown cost of each unit (left), and the annual operation and maintenance of the plant (right).
Figure 7. Total investment costs with the breakdown cost of each unit (left), and the annual operation and maintenance of the plant (right).
Energies 18 01651 g007
Figure 8. (Up) LCOE and LCOP methanol for the currents study and future cost reduction scenarios. (Down) Sensitivity analysis for the discount rate and its impact on LCOE and LCOP methanol.
Figure 8. (Up) LCOE and LCOP methanol for the currents study and future cost reduction scenarios. (Down) Sensitivity analysis for the discount rate and its impact on LCOE and LCOP methanol.
Energies 18 01651 g008
Table 1. Summary of technical parameters for the energy system.
Table 1. Summary of technical parameters for the energy system.
ParameterValueRef.
Electrolysis efficiencyEfficiency curve (62–71%)[24]
Electrolysis Min–Max load15–100%[24]
Methanol synthesis efficiency86%[16]
s-GT electrical efficiency60%[14]
s-GT Min–Max load10–100%[14]
Battery charging eff., discha. eff.92, 92%[33]
Battery Min–Max SOC20–100%[33]
Table 2. Economic parameters for the energy system.
Table 2. Economic parameters for the energy system.
ParameterUnitValueRef.
General assumptions
WACC%5assumption
Lifetime of the plantyears20assumption
Investment costs
PV systemEUR/kW950[34]
WindEUR/kW1400[34]
ElectrolysisEUR/kW1200[35]
MeOH synthesisEUR/kWMeOH(HHV)2000[16]
BatteryEUR/kWh320[34]
s-GTEUR/kW1800[11]
H2 tankEUR/t460[36]
CO2 tankEUR/t600[36]
O2 tankEUR/t2600[37]
Operation costs
Electrolysis O&M (annual)% of CAPEX2[38]
Electrolysis stack lifetime years10[38]
Electrolysis stack replacement cost% of CAPEX40[38]
PV system O&M (annual)% of CAPEX2[38]
Battery system O&M (annual)% of CAPEX3.2[38]
MeOH synthesis O&M (annual)% of CAPEX4[16]
H2, O2, CO2 tank% of CAPEX1[36]
s-GT% of CAPEX4[11]
Energy prices
BiomethaneEUR/kWh0.1assumption
Grid electricity, avg. Crete 2019EUR/kWh0.1[39]
Table 3. Cost projections for the short term (2030) and long term (2050) scenarios.
Table 3. Cost projections for the short term (2030) and long term (2050) scenarios.
ParametersCurrent StudyShort Term
(2030)
Long Term
(2050)
UnitRef.
PV system950500400EUR/kW[34]
Wind system140012001000EUR/kW[40]
PEM electrolysis 1200800600EUR/kW[34]
Battery320192156EUR/kWh[41]
MeOH synthesis200015001000EUR/kWMeOH(HHV)assumption
s-GT180015001200EUR/kWassumption
Table 4. Results of sizing and energy simulation.
Table 4. Results of sizing and energy simulation.
ParameterValueUnit
Plant design
PV20.6MW
Wind16.6MW
PEM Electrolysis 15MW
Battery2.5MWh
MeOH synthesis 7MW
s-GT CHP 14MW
Hydrogen tank280kg
CO2 storage tank60t
O2 tank300t
MeOH storage tank313m3
Energy simulation
PV and wind annual prod.103,250MWh/y
s-GT annual electricity prod.12,863MWh/y
H2 annual prod.26,506 (672.7)MWh/y (t/y)
MeOH annual prod.19,481 (3049)MWh/y (t/y)
Biogas production rate500Nm3/h
Biomethane for s-GT6944MWh/y
Biomethane for sell29,351MWh/y
Disclaimer/Publisher’s Note: The statements, opinions and data contained in all publications are solely those of the individual author(s) and contributor(s) and not of MDPI and/or the editor(s). MDPI and/or the editor(s) disclaim responsibility for any injury to people or property resulting from any ideas, methods, instructions or products referred to in the content.

Share and Cite

MDPI and ACS Style

Madi, H.; Biever, C.; Berretta, C.; Hajimolana, Y.S.; Schildhauer, T. Techno-Economic Analysis of a Supercritical Gas Turbine Energy System Fueled by Methanol and Upgraded Biogas. Energies 2025, 18, 1651. https://doi.org/10.3390/en18071651

AMA Style

Madi H, Biever C, Berretta C, Hajimolana YS, Schildhauer T. Techno-Economic Analysis of a Supercritical Gas Turbine Energy System Fueled by Methanol and Upgraded Biogas. Energies. 2025; 18(7):1651. https://doi.org/10.3390/en18071651

Chicago/Turabian Style

Madi, Hossein, Claude Biever, Chiara Berretta, Yashar S. Hajimolana, and Tilman Schildhauer. 2025. "Techno-Economic Analysis of a Supercritical Gas Turbine Energy System Fueled by Methanol and Upgraded Biogas" Energies 18, no. 7: 1651. https://doi.org/10.3390/en18071651

APA Style

Madi, H., Biever, C., Berretta, C., Hajimolana, Y. S., & Schildhauer, T. (2025). Techno-Economic Analysis of a Supercritical Gas Turbine Energy System Fueled by Methanol and Upgraded Biogas. Energies, 18(7), 1651. https://doi.org/10.3390/en18071651

Note that from the first issue of 2016, this journal uses article numbers instead of page numbers. See further details here.

Article Metrics

Back to TopTop