Photovoltaic Power System with Electrochemical and Hydrogen Storage for Energy Independence in Student Dormitories
Abstract
1. Introduction
- Oversized photovoltaic systems without energy storage can only meet the current electricity demand of the facility during periods of strong and moderate sunlight. The surplus energy is fed into the power grid, which may cause the distribution network voltage limits to be exceeded. As a result, this can lead to the shutdown of photovoltaic systems, forcing the recipient to draw energy from the grid. As indicated in [5], excess energy generated by photovoltaic systems may necessitate feeding the surplus into the grid, ultimately leading to system shutdowns. Optimizing the power of PV systems and the capacity of energy storage systems is vital to minimize energy costs and enhance the self-sufficiency of households. Furthermore, Chub [6] suggests that the use of variable DC connection voltage in microinverters can increase system efficiency by 2% per year, reducing energy losses and improving the overall efficiency of the PV system.
- A large number of oversized photovoltaic systems and the resulting overproduction of energy can lead to current overloads in the local grid. As shown in [7], increasing the capacity of PV systems in the distribution network can exceed the grid’s hosting capacity (HC), causing voltage regulation issues and reverse energy flows. The introduction of solutions like energy storage can help increase the allowable level of PV connections, but challenges remain due to the high penetration of renewable energy into the grid. Similarly, Boeckl [8] emphasizes the importance of selecting the right power for PV system and energy storage systems based on household type to prevent grid overloads, especially during peak hours.
- The electricity consumption profiles of consumers depend on their activities and exhibit significant variability throughout the day. Domestic consumers typically use the most energy in the late afternoon, evening, and night, while businesses such as shops, offices, and manufacturing plants consume the most energy during working hours, typically in the morning, noon, and afternoon. The use of cooling systems in homes, offices, or production facilities leads to distorted energy consumption profiles throughout the day. As pointed out in [9], variable weather conditions, such as sunlight, air temperature, or shading, affect the performance of PV systems and their ability to adapt to different energy consumption profiles throughout the day. With better weather classification and improved PV technologies, system power can be more precisely matched to users’ changing energy needs, leading to greater efficiency of the photovoltaic system.
- A photovoltaic system with too small a power that limits or eliminates surplus energy will provide small savings to consumers but will not be satisfactory. As noted in [8], the correct selection of photovoltaic system power depends on the household type. A too-small system will not be able to fully meet the energy demand, especially during peak hours, resulting in only modest savings. On the other hand, oversizing the installation combined with appropriate energy storage yields better results, though the value of excess energy for storage must be carefully matched to the user’s needs. Similarly, Hazim [10] emphasizes that optimal sizing of the PV system is crucial for maximizing savings and energy efficiency, taking into account both energy production and minimizing costs related to improper inverter sizing.
- Photovoltaic systems with short-term storage provide self-sufficiency only during the summer, with energy being drawn from the grid during spring, autumn, and winter. As shown in [11], PV systems, especially those with energy storage, can ensure self-sufficiency throughout the year, but only if the storage capacity is matched to demand at different times of the year. Excessive storage capacity may lead to reduced economic benefits, while insufficient capacity will fail to provide adequate autonomy in the winter months. This approach is crucial for achieving energy stability in the context of fluctuating energy demand throughout the year.
- Building awareness of CO2 reduction and climate neutrality is vital. As Wiryadinata [12] indicates, transitioning to CO2-neutral energy systems, including the use of photovoltaics, is key to achieving carbon neutrality goals. This study highlights how integrating renewable energy sources such as photovoltaics can help reduce CO2 emissions, minimizing the environmental impact. Additionally, Suchithra [13] underscores that the sustainable integration of distributed energy sources and storage technologies in distribution networks has the potential to reduce greenhouse gas emissions and improve energy management efficiency in the context of renewable energy sources.
2. Analysis of Electricity Consumption in Dormitory
- The maximum monthly electricity consumption for the two analyzed dormitories, per dormitory, during the observation period, is approximately 12.5 MWh;
- The maximum daily electricity consumption, per dormitory, during the observation period, is approximately 490 kWh;
- The maximum hourly energy consumption, per dormitory, during the observation period, is approximately 33 kWh.
3. Daily Characteristic Energy Consumption Profiles and PV System Modeling
- 1.
- Electricity consumption data should be collected, containing electricity consumption data for each hour of the day, for each day of a given month. Depending on the length of the month, this file may contain 672 rows of data for 28 days, 720 rows of data for 30 days, and 744 rows of data for 31 days.
- 2.
- The data received in the form of a data vector should be transformed into an array; in the rows of the array, you should place hours (1 to 24), and in the columns, the appropriate, consecutive days. Calculate the average, minimum and maximum values of energy consumption. This procedure allows you to present a characteristic day for each month, illustrating energy consumption during the day. This is known as the daily characteristic profile of energy consumption in a given month. The structure of the tables presenting electricity consumption for individual hours across subsequent days of a month consisting of 31, 30 and 28 days is as follows:For a 31-day month,where and the element represents a column vector consisting of energy used for each full hour of a given day; —pandemic academic year 21/22; —academic years 22/23 and 23/24, respectively. For a 30-day month,where . For a 28-day month,where .
- 3.
- If the observation period spans a multiple of 12 months, for example, 36 months, then when creating a daily characteristic energy consumption profile for a given month, the corresponding months in the observation period should also be taken into account. For an observation covering 36 months, we have three months, e.g., February 2022, February 2023 and February 2024, for which we can calculate the daily characteristic energy consumption profile.
- 4.
- The obtained average energy consumption values for the daily characteristic energy consumption profile (representing a given month) can be approximated by a polynomial function, to facilitate further analysis with smooth functions. The daily characteristic energy consumption profile for the analyzed month, within the range of years of observation, is given by the following formula (arithmetic mean):where ; —energy consumed on i-th day.
4. Modeling of Daily Production, Consumption, Self-Consumption and Overproduction of Energy in Dormitory with PV System
- Daily characteristic energy consumption: This block implements 12 polynomials representing the curve of energy consumption in the dormitory, described in detail in the previous chapter.
- PV production: Inside this block, 12 “Lookup tables” are inserted covering the data of hourly solar irradiation on 1 square meter [26] during the day of a desired month. The solar irradiation is multiplied by the area of solar panels; efficiency is assumed and it is filtered by a lowpass filter (with 15 min time constant). As a result, the outputs show the typical (statistical) hourly electricity production for each month.
- Consumption, self-consumption, and overproduction of energy: This module is based on input signals, such as the daily energy consumption profile and its integral, the PV production integral, and the difference between PV production and daily energy consumption. It calculates the energy usage components, including daily energy consumption and daily energy production. The energy usage components consist of the energy grid consumption, the PV energy self-consumption, and PV energy overproduction.
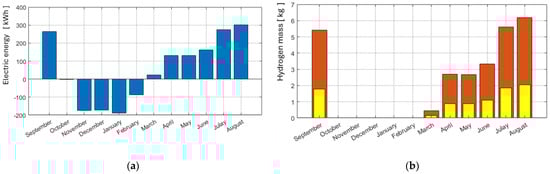
- The potential for hydrogen production, represented as the positive stored energy from Figure 12a divided by EH2 = 48.87 kWh/kgH2 (energy stored in 1 kg of hydrogen) [27]. The EH2 was calculated assuming 70% electrolysis efficiency, yielding 47.6 kWh/kgH2. Additionally, it was assumed that compression from 20 bar up to 600 bar consumes 1.27 kWh/kgH2 energy [27].
- The mass of hydrogen that can be converted back into electric energy, considering the assumed conversion efficiency of 33% [27]. It was assumed that the LHV is 33.3 kWh/kg of hydrogen and fuel cell efficiency is equal to 50%.
5. Discussion
6. Conclusions
Author Contributions
Funding
Data Availability Statement
Conflicts of Interest
Abbreviations
| IPOE | Intelligent platform for energy saving (abbreviation taken from polish: Inteligentna Platforma Oszczędzania Energii) |
| LHV | low heating value |
| PVGIS | Photovoltaic Geographical Information System |
| PV | photovoltaic system |
References
- Arrhenius, S.; Holden, E.S. On the Influence of Carbonic Acid in the Air upon the Temperature of the Earth; Astronomical Society of the Pacific: San Francisco, CA, USA, 1897; Volume 9, pp. 14–24. [Google Scholar]
- The National Aeronautics and Space Administration. Available online: https://climate.nasa.gov/vital-signs/global-temperature/?intent=121 (accessed on 31 December 2024).
- IPCC. 2023: Summary for Policymakers. In Climate Change 2023: Synthesis Report. Contribution of Working Groups I. II and III to the Sixth Assessment Report of the Intergovernmental Panel on Climate Change; Core Writing Team, Lee, H., Romero, J., Eds.; IPCC: Geneva, Switzerland; pp. 1–34. [CrossRef]
- Macleod, M.; Leinonen, I.; Wall, E.; Houdijk, J.; Eory, V.; Burns, J.; Vosough Ahmadi, B.; Gomez Barbero, M. Impact of Animal Breeding on GHG Emissions and Farm Economics; EUR 29844 EN, JRC117897; Publications Office of the European Union: Luxembourg, 2019; ISBN 978-92-76-10943-3. [Google Scholar] [CrossRef]
- Li, J. Optimal sizing of grid-connected photovoltaic battery systems for residential houses in Australia. Renew. Energy 2019, 136, 1245–1254. [Google Scholar]
- Chub, A.; Vinnikov, D.; Stepenko, S.; Liivik, E.; Blaabjerg, F. Photovoltaic energy yield improvement in two-stage solar microinverters. Energies 2019, 12, 3774. [Google Scholar] [CrossRef]
- Saad, S.N.M.; van der Weijde, A.H. Evaluating the potential of hosting capacity enhancement using integrated grid planning modeling methods. Energies 2019, 12, 3610. [Google Scholar] [CrossRef]
- Boeckl, B.; Kienberger, T. Sizing of PV storage systems for different household types. J. Energy Storage 2019, 24, 100763. [Google Scholar]
- Aslam, A.; Ahmed, N.; Qureshi, A.S.; Assadi, M.; Ahmed, N. Advances in solar PV systems; A comprehensive review of PV performance, influencing factors, and mitigation techniques. Energies 2022, 15, 7595. [Google Scholar] [CrossRef]
- Hazim, H.I.; Baharin, K.A.; Gan, C.K.; Sabry, A.H. Techno-economic optimization of photovoltaic (PV)-inverter power sizing ratio for grid-connected PV Systems. Results Eng. 2024, 23, 102580. [Google Scholar]
- Xiao, W.; Zhang, J.; Liu, Y.; Jiang, C. Assessment of rooftop photovoltaic potential in dormitory towards a low-carbon campus. In Proceedings of the 3rd International Conference on Electrical Engineering and Control Science (IC2ECS), Hangzhou, China, 29–31 December 2023; pp. 796–800. [Google Scholar]
- Wiryadinata, S.; Morejohn, J.; Kornbluth, K. Pathways to carbon neutral energy systems at the University of California, Davis. Renew. Energy 2019, 130, 853–866. [Google Scholar]
- Suchithra, J.; Robinson, D.; Rajabi, A. Hosting Capacity Assessment Strategies and Reinforcement Learning Methods for Coordinated Voltage Control in Electricity Distribution Networks: A Review. Energies 2023, 16, 2371. [Google Scholar] [CrossRef]
- Li, B.; Liu, Z.; Wu, Y.; Wang, P.; Liu, R.; Zhang, L. Review on photovoltaic with battery energy storage system for power supply to buildings: Challenges and opportunities. J. Energy Storage 2023, 61, 106763. [Google Scholar] [CrossRef]
- Chen, Y.; Quan, M.; Wang, D.; Du, H.; Hu, L.; Zhao, Y.; Guo, M.; Liu, Y. Optimization and comparison of multiple solar energy systems for public sanitation service buildings in Tibet. Energy Convers. Manag. 2022, 267, 115847. [Google Scholar] [CrossRef]
- Wang, Q.; Yang, X.; Li, R. The impact of the COVID-19 pandemic on the energy market—A comparative relationship between oil and coal. Energy Strategy Rev. 2022, 39, 100761. [Google Scholar] [CrossRef]
- Szczygielski, J.J.; Brzeszczynski, J.; Charteris, A.; Bwanya, P.R. The COVID-19 storm and the energy sector: The impact and role of uncertainty. Energy Econ. 2022, 109, 105258. [Google Scholar] [CrossRef] [PubMed]
- Kang, X.; An, J.; Yan, D. A systematic review of building electricity use profile models. Energy Build. 2023, 281, 112753. [Google Scholar] [CrossRef]
- Tsiaras, E.; Papadopoulos, D.N.; Antonopoulos, C.N.; Papadakis, V.G.; Coutelieris, F.A. Planning and assessment of an off—Grid power supply system for small settlements. Renew. Energy 2020, 149, 1271–1281. [Google Scholar] [CrossRef]
- Hao, D.; Qi, L.; Tairab, A.M.; Ahmed, A.; Azam, A.; Luo, D.; Pan, Y.; Zhang, Z.; Yan, J. Solar energy harvesting technologies for PV self—Powered applications: A comprehensive review. Renew. Energy 2022, 188, 678–697. [Google Scholar] [CrossRef]
- Hui, B.; Liang, F.; Ren, F.; Zhu, S.; Su, S.; Li, W.; Li, Q. Experimental investigation of a 10 kW photovoltaic power system and lithium battery energy storage system for off-grid electro-hydrogen coupling. Case Stud. Therm. Eng. 2025, 68, 105877. [Google Scholar] [CrossRef]
- Rajasekaran, S.; Krishnamoorthy, M.; Srinivasan, S.; Gouda, P.K. Integrated renewable electrification system modelling and tri-objective optimization analysis for net zero energy institutional building: A simulated case study of green hydrogen production. Environ. Dev. Sustain. 2024, 1–30. [Google Scholar] [CrossRef]
- IPOE (APA Sp. z o.o. Company). Available online: https://ipoe.pl/ (accessed on 1 January 2025).
- Pullinger, M.; Zapata-Webborn, E.; Kilgour, J.; Elam, S.; Few, J.; Goddard, N.; Hanmer, C.; McKenna, E.; Oreszczyn, T.; Webb, L. Capturing variation in daily energy demand profiles over time with cluster analysis in British homes (September 2019–August 2022). Appl. Energy 2024, 360, 122683. [Google Scholar] [CrossRef]
- Ponniran, A.; Azura Mamat, N.; Joret, A. Electricity Profile Study for Domestic and Commercial Sectors. Int. J. Integr. Eng. 2012, 4, 8–12. [Google Scholar]
- European Commision—Photovoltaic Geographical Information System—PVGIS. Available online: https://re.jrc.ec.europa.eu/pvg_tools/en/ (accessed on 2 November 2024).
- Pashchenko, D. Green hydrogen as a power plant fuel: What is energy efficiency from production to utilization? Renew. Energy 2024, 223, 120033. [Google Scholar] [CrossRef]
- Louie, H.; Atcitty, S.; Terry, D.; Lee, D.; Peter Romine, P. Daily electrical energy consumption characteristics and design implications for off-grid homes on the Navajo Nation. Energy Sustain. Dev. 2023, 73, 315–325. [Google Scholar] [CrossRef]
- Pombeiro, H.; Pina, A.; Silva, C. Analyzing residential electricity consumption patterns based on consumer’s segmentation. In Proceedings of the First International Workshop on Information Technology for Energy Applications, Lisbon, Portugal, 1 January 2012; pp. 29–38. [Google Scholar]
- Anestis, A.; Georgios, V. Economic benefits of Smart Microgrids with penetration of DER and mCHP units for non-interconnected islands. Renew. Energy 2019, 142, 478–486. [Google Scholar] [CrossRef]
- Hinestroza-Olascuaga, L.M.; Carvalho, P.M.S.; Cardoso de Jesus, C.M.S. Lowering risk intolerance to unlock private investments in renewable energy-based rural electrification. Energy Sustain. Dev. 2023, 74, 258–268. [Google Scholar] [CrossRef]













| Month | 21/22 [MWh] | 22/23 [MWh] | 23/24 [MWh] |
|---|---|---|---|
| September | 0.6 | 5.8 | 4.7 |
| October | 12.2 | 8.2 | 9.3 |
| November | 12.4 | 9.2 | 9.8 |
| December | 11.5 | 8.7 | 7.6 |
| January | 11.8 | 9.2 | 10.8 |
| February | 8.9 | 7.7 | 6.8 |
| March | 11.4 | 8.8 | 7.7 |
| April | 10.8 | 8.3 | 7.1 |
| May | 11.1 | 8.7 | 6.6 |
| June | 10.8 | 8.2 | 6.4 |
| July | 8.0 | 6.4 | 2.7 |
| August | 5.7 | 5.7 | 0.6 |
| Sum [MWh] | 115.2 | 94.9 | 80.1 |
| Month | 21/22 | 22/23 | 23/24 | ||||||
|---|---|---|---|---|---|---|---|---|---|
| Daily Average | Max | Min | Daily Average | Max | Min | Daily Average | Max | Min | |
| [kWh] | [kWh] | [kWh] | [kWh] | [kWh] | [kWh] | [kWh] | [kWh] | [kWh] | |
| September | 278.6 | 286.8 | 270.6 | 193.8 | 211.2 | 169.1 | 156.3 | 195.8 | 121.2 |
| October | 392.5 | 449.2 | 277.0 | 263.2 | 310.6 | 200.4 | 300.9 | 343.4 | 223.2 |
| November | 413.7 | 489.5 | 311.4 | 305.0 | 352.7 | 236.9 | 327.3 | 395.1 | 244.8 |
| December | 371.6 | 482.6 | 234.9 | 279.6 | 348.4 | 187.8 | 246.5 | 368.1 | 153.3 |
| January | 379.5 | 457.6 | 291.1 | 297.4 | 355.0 | 205.4 | 348.8 | - | 169.0 |
| February | 319.0 | 386.9 | 262.2 | 274.3 | 331.0 | 225.3 | 235.3 | 327.7 | 160.5 |
| March | 366.8 | 412.4 | 317.7 | 283.7 | 321.0 | 246.2 | 247.3 | 353.5 | 131.2 |
| April | 358.8 | 417.7 | 239.6 | 277.0 | 334.8 | 60.3 | 235.8 | 315.6 | 148.5 |
| May | 356.5 | 438.1 | 289.6 | 281.0 | 324.0 | 213.6 | 211.8 | 268.1 | 163.0 |
| June | 361.6 | 428.1 | 296.9 | 273.1 | 313.1 | 213.5 | 213.0 | 269.8 | 162.1 |
| July | 256.9 | 354.0 | 210.4 | 206.4 | 259.2 | 169.0 | 87.8 | 212.7 | 14.2 |
| August | 183.5 | 217.7 | 160.7 | 183.5 | 217.7 | 160.7 | 20.8 | 23.2 | 19.0 |
| Month | 21/22 | 22/23 | 23/24 | ||||||
|---|---|---|---|---|---|---|---|---|---|
| Hourly av. | Max | Min | Hourly av. | Max | Min | Hourly av. | Max | Min | |
| [kWh] | [kWh] | [kWh] | [kWh] | [kWh] | [kWh] | [kWh] | [kWh] | [kWh] | |
| September | 11.9 | 18.5 | 7.0 | 8.1 | 13.9 | 1.2 | 6.5 | 12.9 | 2.6 |
| October | 16.3 | 5.4 | 3.6 | 11.0 | 21.4 | 3.6 | 12.5 | 25.2 | 1.3 |
| November | 17.2 | 33.0 | 8.1 | 12.7 | 22.7 | 6.1 | 13.6 | 27.2 | 4.8 |
| December | 15.5 | 30.6 | 6.3 | 11.6 | 23.8 | 5.2 | 10.3 | 25.5 | 1.3 |
| January | 15.8 | 29.2 | 7.6 | 12.4 | 23.0 | 5.7 | 14.5 | - | 3.8 |
| February | 13.3 | 24.7 | 6.7 | 11.4 | 20.3 | 6.1 | 9.8 | 20.7 | 2.1 |
| March | 15.3 | 29.3 | 7.6 | 11.8 | 21.4 | 6.3 | 10.3 | 26.5 | 2.0 |
| April | 14.9 | 29.5 | 6.4 | 11.5 | 23.9 | - | 9.8 | 25.8 | 2.1 |
| May | 14.9 | - | 6.8 | 11.7 | 23.1 | 5.6 | 8.8 | 26.7 | 2.1 |
| June | 15.1 | 26.7 | 1.3 | 11.4 | 20.9 | 2.0 | 8.9 | 24.5 | 2.2 |
| July | 10.7 | 20.8 | 2.7 | 8.6 | 16.2 | 3.5 | 3.7 | 17.5 | 0 |
| August | 7.6 | 13.6 | 4.5 | 7.6 | 13.6 | 4.5 | 0.9 | 3.1 | 0 |
| Month | a6 | a5 | a4 | a3 | a2 | a1 | a0 |
|---|---|---|---|---|---|---|---|
| January | 1.0452 × 10−3 | −1.1067 × 10−1 | 4.1514 | −7.6793 × 101 | 8.1778 × 102 | −4.4448 × 103 | 1.8139 × 104 |
| February | 1.1792 × 10−3 | −1.1865 × 10−1 | 4.1904 | −7.0040 × 101 | 6.5642 × 102 | −3.4447 × 103 | 1.6135 × 104 |
| March | −6.8402 × 10−4 | −2.9133 × 10−2 | 3.2050 | −8.0626 × 101 | 9.1373 × 102 | −4.7709 × 103 | 1.7674 × 104 |
| April | −8.8854 × 10−3 | 5.8548 × 10−1 | −1.4178 × 101 | 1.5016 × 102 | −5.3393 × 102 | −1.1535 × 103 | 1.5882 × 104 |
| May | −1.1030 × 10−2 | 7.7317 × 10−1 | −2.0193 × 101 | 2.3733 × 102 | −1.1012 × 103 | 2.5978 × 102 | 1.4765 × 104 |
| June | −1.0249 × 10−2 | 7.2884 × 10−1 | −1.9314 × 101 | 2.2990 × 102 | −1.0687 × 103 | 1.0074 × 102 | 1.5367 × 104 |
| July | −6.5243 × 10−3 | 4.7359 × 10−1 | −1.2914 × 101 | 1.6149 × 102 | −8.5971 × 102 | 1.0331 × 103 | 8.7341 × 103 |
| August | −4.7418 × 10−3 | 3.3858 × 10−1 | −9.0703 | 1.1128 × 102 | −5.8168 × 102 | 7.1683 × 102 | 6.4609 × 103 |
| September | −3.0754 × 10−3 | 1.9773 × 10−1 | −4.6382 | 4.7469 × 101 | −1.6915 × 102 | −2.5508 × 102 | 6.2366 × 103 |
| October | −2.0221 × 10−3 | 7.9386 × 10−2 | 1.0155× 10−1 | −4.3804 × 101 | 7.4269 × 102 | −4.2900 × 103 | 1.6102 × 104 |
| November | 7.4183 × 10−4 | −1.0746 × 10−1 | 4.7758 | −9.8529 × 101 | 1.0838 × 103 | −5.6094 × 103 | 1.9751 × 104 |
| December | 1.7006 × 10−3 | −1.5793 × 10−1 | 5.5250 | −9.6773 × 101 | 9.5190 × 102 | −4.7208 × 103 | 1.7383 × 104 |
| September | October | November | December | January | February | March | April | May | June | July | August | ||
|---|---|---|---|---|---|---|---|---|---|---|---|---|---|
| PVGIS | [MWh] | 12.04 | 8.98 | 4.87 | 3.49 | 3.73 | 5.45 | 9.54 | 12.3 | 12.7 | 13.3 | 13.9 | 13.6 |
| PV Karolinka | [MWh] | 11.65 | 8.68 | 4.71 | 3.37 | 3.61 | 5.28 | 9.23 | 12 | 12.2 | 12.9 | 13.4 | 13.17 |
| Difference | % | 3.24 | 3.34 | 3.29 | 3.44 | 3.22 | 3.12 | 3.25 | 2.76 | 3.56 | 3.23 | 3.24 | 3.16 |
| Months of av. Academic Year | Energy Consumption | Energy Production PV | Self-Consumption PV | Overproduction from PV | Consumption from Grid | Energy to Storage |
|---|---|---|---|---|---|---|
| [-] | [kWh] | [kWh] | [kWh] | [kWh] | [kWh] | [kWh] |
| September | −124.3 | 388.4 | −56.1 | 332.3 | −68.3 | 264.0 |
| October | −291.1 | 289.6 | −114.7 | 174.9 | −176.4 | −1.5 |
| November | −332.0 | 157.1 | −100.6 | 56.5 | −231.4 | −174.9 |
| December | −284.8 | 112.5 | −81.8 | 30.7 | −202.9 | −172.3 |
| January | −309.2 | 120.3 | −88.9 | 31.5 | −220.3 | −188.8 |
| February | −262.9 | 176.0 | −89.6 | 86.5 | −173.3 | −86.9 |
| March | −285.6 | 307.8 | −112.0 | 195.8 | −173.6 | 22.2 |
| April | −275.4 | 406.8 | −114.7 | 292.2 | −160.7 | 131.5 |
| May | −267.7 | 399.0 | −118.0 | 280.9 | −149.7 | 131.3 |
| June | −266.8 | 429.1 | −121.0 | 308.0 | −145.7 | 162.3 |
| July | −174.1 | 448.2 | −84.5 | 363.6 | −89.6 | 274.0 |
| August | −137.0 | 439.1 | −67.3 | 371.9 | −69.8 | 302.1 |
| Month | Number of Days | Energy for Long-Term Storage | Energy for Long-Term Storage | Energy Demands | Energy Demands |
|---|---|---|---|---|---|
| [-] | [-] | [kWh/day] | [kWh/month] | [kWh/day] | [kWh/month] |
| September | 30 | 100.3 | 3009 | - | - |
| October | 31 | - | - | 1.5 | 46 |
| November | 30 | - | - | 174.9 | 5248 |
| December | 31 | - | - | 172.3 | 5341 |
| January | 31 | - | - | 188.8 | 5852 |
| February | 28 | - | - | 86.8 | 2432 |
| March | 31 | 8.5 | 262 | - | - |
| April | 30 | 49.9 | 1497 | - | - |
| May | 31 | 50.0 | 1549 | - | - |
| June | 30 | 61.7 | 1850 | - | - |
| July | 31 | 114.8 | 3558 | - | - |
| August | 31 | 104.1 | 3228 | - | - |
| Sum [kWh] | - | 14,953 | - | 18,919 |
Disclaimer/Publisher’s Note: The statements, opinions and data contained in all publications are solely those of the individual author(s) and contributor(s) and not of MDPI and/or the editor(s). MDPI and/or the editor(s) disclaim responsibility for any injury to people or property resulting from any ideas, methods, instructions or products referred to in the content. |
© 2025 by the authors. Licensee MDPI, Basel, Switzerland. This article is an open access article distributed under the terms and conditions of the Creative Commons Attribution (CC BY) license (https://creativecommons.org/licenses/by/4.0/).
Share and Cite
Trawiński, T.; Kotowicz, J. Photovoltaic Power System with Electrochemical and Hydrogen Storage for Energy Independence in Student Dormitories. Energies 2025, 18, 1570. https://doi.org/10.3390/en18071570
Trawiński T, Kotowicz J. Photovoltaic Power System with Electrochemical and Hydrogen Storage for Energy Independence in Student Dormitories. Energies. 2025; 18(7):1570. https://doi.org/10.3390/en18071570
Chicago/Turabian StyleTrawiński, Tomasz, and Janusz Kotowicz. 2025. "Photovoltaic Power System with Electrochemical and Hydrogen Storage for Energy Independence in Student Dormitories" Energies 18, no. 7: 1570. https://doi.org/10.3390/en18071570
APA StyleTrawiński, T., & Kotowicz, J. (2025). Photovoltaic Power System with Electrochemical and Hydrogen Storage for Energy Independence in Student Dormitories. Energies, 18(7), 1570. https://doi.org/10.3390/en18071570
