The Impact of the Urban Heat Island and Future Climate on Urban Building Energy Use in a Midwestern U.S. Neighborhood
Abstract
1. Introduction
2. Literature Review
2.1. Methods for Measuring and Modeling UHI Effects
2.2. Enhanced Weather Data in Builing Energy Performance Simulations
2.3. Imapcts of UHI and Futre Cliamte on Building Energy Performance
2.4. Research Objectives and Contributions
3. Case Study and Methodology
3.1. Case Study
3.2. Future Weather Data Generation
3.3. Urban Heat Island Simulation
3.4. Urban Building Energy Modeling (UBEM)
4. Results and Discussion
4.1. Simulation Reliability
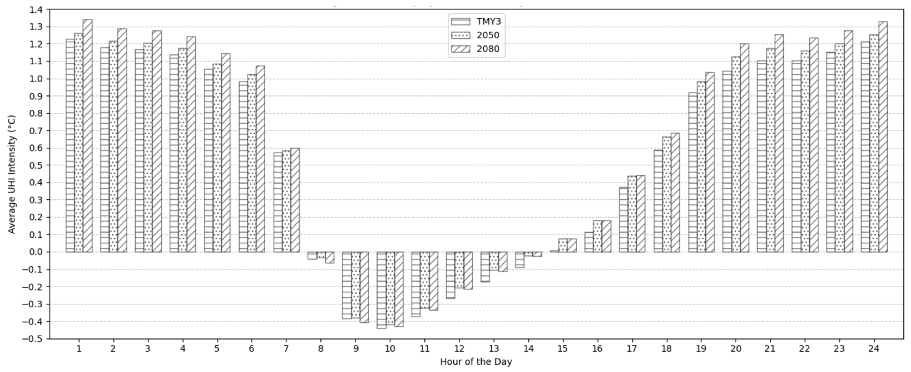
4.2. Future Projected and UHI-Induced Temperature
4.3. Degree Days Change Due to Climate Change and the UHI
4.4. Impacts on Cooling and Heating Loads
4.5. Impacts on Energy Use Intensity Changes (EUI)
R-Value Sensitivity Analysis Across Weather Scenarios
5. Conclusions
6. Limitations and Future Work
Author Contributions
Funding
Data Availability Statement
Acknowledgments
Conflicts of Interest
Abbreviations
| BEM | Building Energy Modeling |
| CDD | Cooling Degree Days |
| EPW | EnergyPlus Weather |
| EUI | Energy Use Intensity |
| HDD | Heating Degree Days |
| HVAC | Heating, Ventilation, and Air Conditioning |
| RCP | Representative Concentration Pathway |
| TEB | Town Energy Balance |
| TMY3 | Typical Meteorological Years version 3 |
| UCL | Urban Canopy Layer |
| UMI | Urban Modeling Interface |
| UHI | Urban Heat Island |
| UBEM | Urban Building Energy Modeling |
| UWG | Urban Weather Generator |
References
- United Nation, Department of Economic and Social Affairs, Population Division. World Urbanization Prospects: The 2018 Revision (ST/ESA/SER.A/420); United Nations: New York, NY, USA, 2019. [Google Scholar]
- Seto, K.C.; Güneralp, B.; Hutyra, L.R. Global forecasts of urban expansion to 2030 and direct impacts on biodiversity and carbon pools. Proc. Natl. Acad. Sci. USA 2012, 109, 16083–16088. [Google Scholar] [CrossRef] [PubMed]
- Stone, B.; Vargo, J.; Habeeb, D. Managing climate change in cities: Will climate action plans work? Landsc. Urban Plan. 2012, 107, 263–271. [Google Scholar] [CrossRef]
- Arnfield, A.J. Two decades of urban climate research: A review of turbulence, exchanges of energy and water, and the urban heat island. Int. J. Clim. 2003, 23, 1–26. [Google Scholar] [CrossRef]
- Oke, T.R. City size and the urban heat island. Atmos. Environ. 1973, 7, 769–779. [Google Scholar] [CrossRef]
- Unger, J. Connection between urban heat island and sky view factor approximated by a software tool on a 3D urban database. Int. J. Environ. Pollut. 2009, 36, 59. [Google Scholar] [CrossRef]
- Cui, Y.; Xu, X.; Dong, J.; Qin, Y. Influence of urbanization factors on surface urban heat island intensity: A comparison of Countries at different developmental phases. Sustainability 2016, 8, 706. [Google Scholar] [CrossRef]
- Zhou, B.; Rybski, D.; Kropp, J.P. The role of city size and urban form in the surface urban heat island. Sci. Rep. 2017, 7, 4791. [Google Scholar] [CrossRef]
- Taha, H. Characterization of Urban Heat and Exacerbation: Development of a Heat Island Index for California. Climate 2017, 5, 59. [Google Scholar] [CrossRef]
- Zhong, S.; Qian, Y.; Zhao, C.; Leung, R.; Wang, H.; Yang, B.; Fan, J.; Yan, H.; Yang, X.-Q.; Liu, D. Urbanization-induced urban heat island and aerosol effects on climate extremes in the Yangtze River Delta region of China. Atmos. Chem. Phys. 2017, 17, 5439–5457. [Google Scholar] [CrossRef]
- Oke, T.R. The energetic basis of the urban heat island. Q. J. R. Meteorol. Soc. 1982, 108, 1–24. [Google Scholar] [CrossRef]
- Oke, T.R.; Mills, G.; Christen, A.; Voogt, J.A. (Eds.) Urban Climates. In Urban Climates; Cambridge University Press: Cambridge, UK, 2017; p. i. Available online: https://www.cambridge.org/core/product/0690FCE57A4E8E234524C2EE1A20C2BE (accessed on 15 November 2024).
- Stewart, I.D.; Mills, G. (Eds.) 1—Introduction. In The Urban Heat Island; Elsevier: Amsterdam, The Netherlands, 2021; pp. 1–11. [Google Scholar] [CrossRef]
- Sobrino, J.A.; Jiménez-Muñoz, J.C.; Paolini, L. Land surface temperature retrieval from LANDSAT TM 5. Remote Sens. Environ. 2004, 90, 434–440. [Google Scholar] [CrossRef]
- Hart, M.A.; Sailor, D.J. Quantifying the influence of land-use and surface characteristics on spatial variability in the urban heat island. Theor. Appl. Climatol. 2009, 95, 397–406. [Google Scholar] [CrossRef]
- Heisler, G.M.; Brazel, A.J. The Urban Physical Environment: Temperature and Urban Heat Islands. In Urban Ecosystem Ecology; John Wiley & Sons, Ltd.: Hoboken, NJ, USA, 2010; Chapter 2; pp. 29–56. [Google Scholar] [CrossRef]
- Morris, C.J.G.; Simmonds, I. Associations between varying magnitudes of the urban heat island and the synoptic climatology in Melbourne, Australia. Int. J. Climatol. 2000, 20, 1931–1954. [Google Scholar] [CrossRef]
- Kolokotroni, M.; Ren, X.; Davies, M.; Mavrogianni, A. London’s urban heat island: Impact on current and future energy consumption in office buildings. Energy Build. 2012, 47, 302–311. [Google Scholar] [CrossRef]
- Alexander, P.J.; Mills, G. Local Climate Classification and Dublin’s Urban Heat Island. Atmosphere 2014, 5, 755–774. [Google Scholar] [CrossRef]
- Battista, G.; Evangelisti, L.; Guattari, C.; Roncone, M.; Balaras, C.A. Space-time estimation of the urban heat island in Rome (Italy): Overall assessment and effects on the energy performance of buildings. Build. Environ. 2023, 228, 109878. [Google Scholar] [CrossRef]
- Jauregui, E. Heat island development in Mexico City. Atmos. Environ. 1997, 31, 3821–3831. [Google Scholar] [CrossRef]
- Yin, Z.; Liu, Z.; Liu, X.; Zheng, W.; Yin, L. Urban heat islands and their effects on thermal comfort in the US: New York and New Jersey. Ecol. Indic. 2023, 154, 110765. [Google Scholar] [CrossRef]
- Conry, P.; Sharma, A.; Potosnak, M.J.; Leo, L.S.; Bensman, E.; Hellmann, J.J.; Fernando, H.J.S. Chicago’s Heat Island and Climate Change: Bridging the Scales via Dynamical Downscaling. J. Appl. Meteorol. Clim. 2015, 54, 1430–1448. [Google Scholar] [CrossRef]
- Jahangir, M.S.; Moghim, S. Assessment of the urban heat island in the city of Tehran using reliability methods. Atmos. Res. 2019, 225, 144–156. [Google Scholar] [CrossRef]
- Wang, Q.; Zhang, C.; Ren, C.; Hang, J.; Li, Y. Urban heat island circulations over the Beijing-Tianjin region under calm and fair conditions. Build. Environ. 2020, 180, 107063. [Google Scholar] [CrossRef]
- Saitoh, T.S.; Shimada, T.; Hoshi, H. Modeling and simulation of the Tokyo urban heat island. Atmos. Environ. 1996, 30, 3431–3442. [Google Scholar] [CrossRef]
- Souverijns, N.; De Ridder, K.; Veldeman, N.; Lefebre, F.; Kusambiza-Kiingi, F.; Memela, W.; Jones, N.K. Urban heat in Johannesburg and Ekurhuleni, South Africa: A meter-scale assessment and vulnerability analysis. Urban Clim. 2022, 46, 101331. [Google Scholar] [CrossRef] [PubMed]
- Yadav, N.; Rajendra, K.; Awasthi, A.; Singh, C.; Bhushan, B. Systematic exploration of heat wave impact on mortality and urban heat island: A review from 2000 to 2022. Urban Clim. 2023, 51, 101622. [Google Scholar] [CrossRef]
- Park, J.; Bangalore, M.; Hallegatte, S.; Sandhoefner, E. Households and heat stress: Estimating the distributional consequences of climate change. Environ. Dev. Econ. 2018, 23, 349–368. [Google Scholar] [CrossRef]
- Wang, Y.; Guo, Z.; Han, J. The relationship between urban heat island and air pollutants and them with influencing factors in the Yangtze River Delta, China. Ecol. Indic. 2021, 129, 107976. [Google Scholar] [CrossRef]
- Hsu, A.; Sheriff, G.; Chakraborty, T.; Manya, D. Disproportionate exposure to urban heat island intensity across major US cities. Nat. Commun. 2021, 12, 2717. [Google Scholar] [CrossRef]
- Arifwidodo, S.; Chandrasiri, O. Urban Heat Island and Its Effects to Health and Well-being in Bangkok, Thailand. Procedia Environ. Sci. 2016. [Google Scholar] [CrossRef]
- Li, X.; Zhou, Y.; Yu, S.; Jia, G.; Li, H.; Li, W. Urban heat island impacts on building energy consumption: A review of approaches and findings. Energy 2019, 174, 407–419. [Google Scholar] [CrossRef]
- IPCC. IPCC, 2023: Summary for Policymakers. In Climate Change 2023: Synthesis Report. Contribution of Working Groups I, II and III to the Sixth Assessment Report of the Intergovernmental Panel on Climate Change; IPCC: Geneva, Switzerland, 2023. [Google Scholar] [CrossRef]
- Angel, J.; Boustead, B.M.; Conlon, K.C.; Hall, K.R.; Jorns, J.L.; Kunkel, K.E.; Lemos, M.C.; Lofgren, B.; Ontl, T.A.; Posey, J.; et al. Chapter 21: Midwest. In Fourth National Climate Assessment: Volume II, Impacts, Risks, and Adaptation in the United States; U.S. Global Change Research Program: Washington, DC, USA, 2018; Volume 2, pp. 863–931. [Google Scholar]
- Babu, A.D.C.A.; Srivastava, R.S.; Rai, A.C. Impact of climate change on the heating and cooling load components of an archetypical residential room in major Indian cities. Build. Environ. 2024, 250, 111181. [Google Scholar] [CrossRef]
- Rodríguez, L.R.; Ramos, J.S.; Domínguez, S.Á. Simplifying the process to perform air temperature and UHI measurements at large scales: Design of a new APP and low-cost Arduino device. Sustain. Cities Soc. 2023, 95, 104614. [Google Scholar] [CrossRef]
- Järvi, L.; Grimmond, C.; Christen, A. The Surface Urban Energy and Water Balance Scheme (SUEWS): Evaluation in Los Angeles and Vancouver. J. Hydrol. 2011, 411, 219–237. [Google Scholar] [CrossRef]
- Kusaka, H.; Kondo, H.; Kikegawa, Y.; Kimura, F. A Simple Single-Layer Urban Canopy Model for Atmospheric Models: Comparison with Multi-Layer and Slab Models. Bound.-Layer Meteorol. 2001, 101, 329–358. [Google Scholar] [CrossRef]
- Skamarock, W.C.; Klemp, J.B. A time-split nonhydrostatic atmospheric model for weather research and forecasting applications. J. Comput. Phys. 2008, 227, 3465–3485. [Google Scholar] [CrossRef]
- Masson, V. A Physically-Based Scheme For The Urban Energy Budget In Atmospheric Models. Bound.-Layer Meteorol. 2000, 94, 357–397. [Google Scholar] [CrossRef]
- Colombert, M.; Diab, Y.; Salagnac, J.-L.; Morand, D. Sensitivity study of the energy balance to urban characteristics. Sustain. Cities Soc. 2011, 1, 125–134. [Google Scholar] [CrossRef]
- Masson, V.; Grimmond, C.S.B.; Oke, T.R. Evaluation of the Town Energy Balance (TEB) scheme with direct measurements from dry districts in two cities. J. Appl. Meteorol. 2002, 41, 1011–1026. [Google Scholar] [CrossRef]
- Pigeon, G.; Zibouche, K.; Bueno, B.; Le Bras, J.; Masson, V. Improving the capabilities of the Town Energy Balance model with up-to-date building energy simulation algorithms: An application to a set of representative buildings in Paris. Energy Build. 2014, 76, 1–14. [Google Scholar] [CrossRef]
- Lemonsu, A.; Masson, V.; Berthier, E. Improvement of the hydrological component of an urban soil–vegetation–atmosphere–transfer model. Hydrol. Process. 2007, 21, 2100–2111. [Google Scholar] [CrossRef]
- Bruse, M.; Fleer, H. Simulating surface–plant–air interactions inside urban environments with a three dimensional numerical model. Environ. Model. Softw. 1998, 13, 373–384. [Google Scholar] [CrossRef]
- Jasak, H. OpenFOAM: Open source CFD in research and industry. Int. J. Nav. Arch. Ocean Eng. 2009, 1, 89–94. [Google Scholar] [CrossRef]
- Wilcox, S.; Marion, W. Users Manual for TMY3 Data Sets; Technical Report NREL/TP-581-43156; National Technical Reports Library: Alexandria, VA, USA, 2008. [Google Scholar]
- WMO, World Meteorological Organization. Guide to Meteorological Instruments and Methods of Observation, 7th ed.; WMO: Geneva, Switzerland, 2008. [Google Scholar]
- Bueno, B.; Norford, L.; Hidalgo, J.; Pigeon, G. The urban weather generator. J. Build. Perform. Simul. 2013, 6, 269–281. [Google Scholar] [CrossRef]
- Bueno, B.; Norford, L.; Pigeon, G.; Britter, R. Combining a Detailed Building Energy Model with a Physically-Based Urban Canopy Model. Bound.-Layer Meteorol. 2011, 140, 471–489. [Google Scholar] [CrossRef]
- Bueno, B.; Norford, L.; Pigeon, G.; Britter, R. A resistance-capacitance network model for the analysis of the interactions between the energy performance of buildings and the urban climate. Build. Environ. 2012, 54, 116–125. [Google Scholar] [CrossRef]
- Bande, L.; Afshari, A.; Al Masri, D.; Jha, M.; Norford, L.; Tsoupos, A.; Marpu, P.; Pasha, Y.; Armstrong, P. Validation of UWG and ENVI-Met Models in an Abu Dhabi District, Based on Site Measurements. Sustainability 2019, 11, 4378. [Google Scholar] [CrossRef]
- Dickinson, R.; Brannon, B. Generating Future Weather Files for Resilience. In Proceedings of the PLEA2016, Los Angeles, CA, USA, 11–13 July 2016. [Google Scholar]
- Remund, J.; Kunz, S. Meteonorm: Global Meteorological Database for Solar Energy and Applied Climatology; Ed. ’97, Version 3.0; Meteotest: Bern, Switzerland, 1997. [Google Scholar]
- Jentsch, M.F.; James, P.A.B.; Bahaj, A.S. CCWorldWeatherGen Software: Manual for CCWorldWeatherGen Climate Change World Weather File Generator; University of Southampton: Southampton, UK, 2012. [Google Scholar]
- Moazami, A.; Carlucci, S.; Geving, S. Critical Analysis of Software Tools Aimed at Generating Future Weather Files with a view to their use in Building Performance Simulation. Energy Procedia 2017, 132, 640–645. [Google Scholar] [CrossRef]
- Matsuura, K. Effects of climate change on building energy consumption in cities. Theor. Appl. Clim. 1995, 51, 105–117. [Google Scholar] [CrossRef]
- Sun, Y.; Augenbroe, G. Urban heat island effect on energy application studies of office buildings. Energy Build. 2014, 77, 171–179. [Google Scholar] [CrossRef]
- Hashemi, F.; Mills, G.; Poerschke, U.; Iulo, L.D.; Pavlak, G.; Kalisperis, L. A novel parametric workflow for simulating urban heat island effects on residential building energy use: Coupling local climate zones with the urban weather generator a case study of seven U.S. cities. Sustain. Cities Soc. 2024, 110, 105568. [Google Scholar] [CrossRef]
- Stewart, I.D.; Oke, T.R. Local Climate Zones for Urban Temperature Studies. Bull. Am. Meteorol. Soc. 2012, 93, 1879–1900. [Google Scholar] [CrossRef]
- Ahmed, K.; Ortiz, L.E.; González, J.E. On the Spatio-Temporal End-User Energy Demands of a Dense Urban Environment. J. Sol. Energy Eng. 2017, 139, 041005. [Google Scholar] [CrossRef]
- Errebai, F.B.; Strebel, D.; Carmeliet, J.; Derome, D. Impact of urban heat island on cooling energy demand for residential building in Montreal using meteorological simulations and weather station observations. Energy Build. 2022, 273, 112410. [Google Scholar] [CrossRef]
- Toparlar, Y.; Blocken, B.; Maiheu, B.; van Heijst, G. Impact of urban microclimate on summertime building cooling demand: A parametric analysis for Antwerp, Belgium. Appl Energy 2018, 228, 852–872. [Google Scholar] [CrossRef]
- Romano, P.; Prataviera, E.; Carnieletto, L.; Vivian, J.; Zinzi, M.; Zarrella, A. Assessment of the Urban heat island impact on building energy performance at district level with the EUReCA platform. Climate 2021, 9, 48. [Google Scholar] [CrossRef]
- Shen, P.; Wang, M.; Liu, J.; Ji, Y. Hourly air temperature projection in future urban area by coupling climate change and urban heat island effect. Energy Build. 2023, 279, 112676. [Google Scholar] [CrossRef]
- Jalali, Z.; Shamseldin, A.Y.; Ghaffarianhoseini, A. Urban microclimate impacts on residential building energy demand in Auckland, New Zealand: A climate change perspective. Urban Clim. 2024, 53, 101808. [Google Scholar] [CrossRef]
- Santamouris, M. Recent progress on urban overheating and heat island research. Integrated assessment of the energy, environmental, vulnerability and health impact. Synergies with the global climate change. Energy Build. 2020, 207, 109482. [Google Scholar] [CrossRef]
- Reid, C.E.; O’Neill, M.S.; Gronlund, C.J.; Brines, S.J.; Brown, D.G.; Diez-Roux, A.V.; Schwartz, J. Mapping Community Determinants of Heat Vulnerability. Environ. Health Perspect. 2009, 117, 1730–1736. [Google Scholar] [CrossRef]
- Belcher, S.E.; Hacker, J.N.; Powell, D.S. Constructing design weather data for future climates. Build. Serv. Eng. Res. Technol. 2005, 26, 49–61. [Google Scholar] [CrossRef]
- Yassaghi, H.; Mostafavi, N.; Hoque, S. Evaluation of current and future hourly weather data intended for building designs: A Philadelphia case study. Energy Build. 2019, 199, 491–511. [Google Scholar] [CrossRef]
- Gordon, C.; Cooper, C.; Senior, C.A.; Banks, H.; Gregory, J.M.; Johns, T.C.; Mitchell, J.F.B.; Wood, R.A. The simulation of SST, sea ice extents and ocean heat transports in a version of the Hadley Centre coupled model without flux adjustments. Clim. Dyn. 2000, 16, 147–168. [Google Scholar] [CrossRef]
- Shah, F.; Sharifi, A. Climate models for predicting precipitation and temperature trends in cities: A systematic review. Sustain. Cities Soc. 2025, 120, 106171. [Google Scholar] [CrossRef]
- Jagani, C.; Passe, U. Simulation-based sensitivity analysis of future climate scenario impact on residential weatherization initiatives in the US Midwest. In Proceedings of the Symposium on Simulation for Architecture and Urban Design, SIMAUD ’17, Toronto, ON, Canada, 22–24 May 2017; Society for Computer Simulation International: San Diego, CA, USA, 2017. [Google Scholar]
- Hashemi, F.; Marmur, B.; Passe, U.; Thompson, J. Developing a workflow to integrate tree inventory data into urban energy models. Simul. Ser. 2018, 50, 261–266. [Google Scholar] [CrossRef]
- Hashemi, F.; Iulo, L.D.; Poerschke, U. A Novel Approach for Investigating Canopy Heat Island Effects on Building Energy Performance: A Case Study of Center City of Philadelphia, PA. In Proceedings of the 2020 AIA/ACSA Intersections Research Conference: CARBON, Online, 30 September–2 October 2020; ACSA Press: Washington, DC, USA, 2020; pp. 197–203. [Google Scholar] [CrossRef]
- Roudsari, M.S.; Pak, M.; Viola, A. Ladybug: A parametric environmental plugin for grasshopper to help designers create an environmentally-conscious design. In Proceedings of the Building Simulation 2013: 13th Conference of IBPSA, BS 2013, Chambery, France, 25–28 August 2013; Volume 13, pp. 3128–3135. [Google Scholar]
- Polk County Assessor. Available online: https://www.assess.co.polk.ia.us/cgi-bin/web/tt/infoqry.cgi?tt=home/index (accessed on 16 May 2017).
- Hashemi, F.; Salahi, N.; Ghiasi, S.; Passe, U. Comparative Analysis of Urban Heat Island Effects on Building Energy Consumption in the U.S. Midwest A combined workflow using Urban Weather Generator and Future Typical Meteorological Year Climate Scenarios. In Proceedings of the PLEA 2024: (RE)Thinking Resilience, Wrocław, Poland, 24–28 June 2024; Wrocław University of Science and Technology Publishing House: Wrocław, Poland, 2024; pp. 304–309. [Google Scholar] [CrossRef]
- Sailor, D.J.; Lu, L. A top-down methodology for developing diurnal and seasonal anthropogenic heating profiles for urban areas. Atmos. Environ. 2004, 38, 2737–2748. [Google Scholar] [CrossRef]
- Reinhart, C.; Dogan, T.; Jakubiec, A.; Rakha, T.; Sang, A. Umi—An Urban Simulation Environment for Building Energy Use, Daylighting and Walkability. In Proceedings of the Building Simulation 2013, Chambery, France, 25–28 August 2013. [Google Scholar] [CrossRef]
- Koupaei, D.M.; Hashemi, F.; Tabard-Fortecoëf, V.; Passe, U. Development of a modeling framework for refined residential occupancy schedules in an urban energy model. Build. Simul. 2019, 2019, 3377–3384. [Google Scholar]
- Nunes, G.H.; Zara, R.B.; Ribeiro, J.G.; Giglio, T.G.F. Effectiveness of CCWorldWeatherGen weather file generation tool. Ambiente Construído 2024, 24, e138234. [Google Scholar] [CrossRef]
- Ghiasi, S.; Passe, U.; Thompson, J.R. Addressing the Need for Microclimate Considerations in DOE Reference Building Prototypes for Urban Energy Simulation with a Focus on The Urban Shadow Effects. In Proceedings of the IBPSA-USA Building Simulation Conference, Denver, CO, USA, 21–23 May 2024; pp. 511–517. Available online: https://publications.ibpsa.org/conference/paper/?id=simbuild2024_2177 (accessed on 6 March 2025).
- Tootkaboni, M.P.; Ballarini, I.; Corrado, V. Analysing the future energy performance of residential buildings in the most populated Italian climatic zone: A study of climate change impacts. Energy Rep. 2021, 7, 8548–8560. [Google Scholar] [CrossRef]
- Zhao, L.; Lee, X.; Smith, R.B.; Oleson, K. Strong contributions of local background climate to urban heat islands. Nature 2014, 511, 216–219. [Google Scholar] [CrossRef]
- Lemonsu, A.; Kounkou-Arnaud, R.; Desplat, J.; Salagnac, J.-L.; Masson, V. Evolution of the Parisian urban climate under a global changing climate. Clim. Change 2013, 116, 679–692. [Google Scholar] [CrossRef]
- Duan, S.; Luo, Z.; Yang, X.; Li, Y. The impact of building operations on urban heat/cool islands under urban densification: A comparison between naturally-ventilated and air-conditioned buildings. Appl. Energy 2019, 235, 129–138. [Google Scholar] [CrossRef]
- Hong, T.; Xu, Y.; Sun, K.; Zhang, W.; Luo, X.; Hooper, B. Urban microclimate and its impact on building performance: A case study of San Francisco. Urban Clim. 2021, 38, 100871. [Google Scholar] [CrossRef]
- Schatz, J.; Kucharik, C.J. Urban heat island effects on growing seasons and heating and cooling degree days in Madison, Wisconsin USA. Int. J. Clim. 2016, 36, 4873–4884. [Google Scholar] [CrossRef]
- Ramon, D.; Allacker, K.; De Troyer, F.; Wouters, H.; van Lipzig, N.P. Future heating and cooling degree days for Belgium under a high-end climate change scenario. Energy Build. 2020, 216, 109935. [Google Scholar] [CrossRef]
- Deng, Z.; Javanroodi, K.; Nik, V.M.; Chen, Y. Using urban building energy modeling to quantify the energy performance of residential buildings under climate change. Build. Simul. 2023, 16, 1629–1643. [Google Scholar] [CrossRef] [PubMed]
- Shen, P. Impacts of climate change on U.S. building energy use by using downscaled hourly future weather data. Energy Build. 2017, 134, 61–70. [Google Scholar] [CrossRef]
- Berardi, U.; Jafarpur, P. Assessing the impact of climate change on building heating and cooling energy demand in Canada. Renew. Sustain. Energy Rev. 2020, 121, 109681. [Google Scholar] [CrossRef]
- Jylhä, K.; Jokisalo, J.; Ruosteenoja, K.; Pilli-Sihvola, K.; Kalamees, T.; Seitola, T.; Mäkelä, H.M.; Hyvönen, R.; Laapas, M.; Drebs, A. Energy demand for the heating and cooling of residential houses in Finland in a changing climate. Energy Build. 2015, 99, 104–116. [Google Scholar] [CrossRef]
- Jafarpur, P.; Berardi, U. Effects of climate changes on building energy demand and thermal comfort in Canadian office buildings adopting different temperature setpoints. J. Build. Eng. 2021, 42, 102725. [Google Scholar] [CrossRef]
- Zhang, Y.; Teoh, B.K.; Zhang, L. Multi-objective optimization for energy-efficient building design considering urban heat island effects. Appl. Energy 2024, 376, 124117. [Google Scholar] [CrossRef]










| Parameter | Input Value |
|---|---|
| Average building height | 5.1 m |
| Footprint density | 0.15 |
| Facade-to-site ratio | 0.19 |
| Tree coverage ratio | 0.35 |
| Grass coverage ratio | 0.43 |
| Traffic intensity (W/m2) | 12.5 (Low-traffic residential areas [80]) |
| Vegetation albedo | 0.2 |
| Terrain albedo | 0.18 |
| Daytime boundary–layer height (m) | 600 |
| Category | Layers | d [m] | λ [W/mK] | R [m2K/W] | |
|---|---|---|---|---|---|
| Façade Materials | Asbestos | Concrete | 0.07 | 0.74 | 2.12 |
| Polystyrene | 0.05 | 0.03 | |||
| Cement Plaster | 0.2 | 0.72 | |||
| Gypsum Board | 0.013 | 0.16 | |||
| Brick | Brick | 0.15 | 1.02 | 1.98 | |
| Polystyrene | 0.05 | 0.03 | |||
| Air Layer | 0.02 | 0.139 | |||
| Gypsum plaster | 0.015 | 0.56 | |||
| Composite | Composite | 0.07 | 0.85 | 2.00 | |
| Polystyrene | 0.05 | 0.03 | |||
| Cement | 0.2 | 1.15 | |||
| Gypsum Board | 0.013 | 0.16 | |||
| Wood siding | Hardwood | 0.013 | 0.16 | 3.48 | |
| OSB Board | 0.013 | 0.91 | |||
| Hardwood | 0.02 | 0.16 | |||
| Polystyrene | 0.05 | 0.03 | |||
| Fiberglass | 0.065 | 0.043 | |||
| Gypsum Board | 0.013 | 0.16 | |||
| Metal siding | Metal | 0.002 | 45.3 | 2.78 | |
| Polystyrene | 0.05 | 0.03 | |||
| Hardboard | 0.013 | 0.105 | |||
| Steel | 0.002 | 45.3 | |||
| Fiberglass | 0.039 | 0.043 | |||
| Gypsum Board | 0.013 | 0.16 | |||
| PVC | PVC | 0.07 | 0.2 | 2.38 | |
| Polystyrene | 0.05 | 0.03 | |||
| Cement Plaster | 0.2 | 0.72 | |||
| Gypsum Board | 0.013 | 0.16 | |||
| Stucco | Stucco | 0.022 | 0.346 | 2.72 | |
| Steel | 0.002 | 45.3 | |||
| Polystyrene | 0.05 | 0.03 | |||
| Steel | 0.002 | 45.3 | |||
| Fiberglass | 0.039 | 0.043 | |||
| Gypsum Board | 0.013 | 0.16 | |||
| Cement | Cement plaster | 0.02 | 0.72 | 2.05 | |
| Polystyrene | 0.05 | 0.03 | |||
| Cement plaster | 0.2 | 0.72 | |||
| Gypsum Board | 0.013 | 0.16 | |||
| Roof Material | Asphalt Shingle | Asphalt shingle | 0.02 | 1.15 | 4.08 |
| Plywood panels | 0.02 | 0. 11 | |||
| Fiberglass | 0.15 | 0.043 | |||
| Softwood | 0.04 | 0.13 | |||
| Gypsum board | 0.013 | 0.16 | |||
| Exterior Floor | Mass Floor | Carpet | 0.013 | 0.045 | 1.49 |
| Concrete reinforced | 0.15 | 2.15 | |||
| Polystyrene | 0.034 | 0.03 | |||
| Windows | Window to Wall (WWR) Ratio | 40% | |||
| Window Structure | Single Glazing | ||||
| Building Systems | Equipment Power Density | 4.43 W/m2 | |||
| Illuminance Target | 350 lux | ||||
| Lighting Power Density | 3.28 W/m2 | ||||
| DHW System | Efficiency | 70%, powered by natural gas | |||
| Water Supply Temperature | 55 °C | ||||
| Water Inlet Temperature | 10 °C | ||||
| HVAC System | Cooling Setpoint | 26 °C, powered by electricity | |||
| Heating Setpoint | 20 °C, powered by natural gas | ||||
Disclaimer/Publisher’s Note: The statements, opinions and data contained in all publications are solely those of the individual author(s) and contributor(s) and not of MDPI and/or the editor(s). MDPI and/or the editor(s) disclaim responsibility for any injury to people or property resulting from any ideas, methods, instructions or products referred to in the content. |
© 2025 by the authors. Licensee MDPI, Basel, Switzerland. This article is an open access article distributed under the terms and conditions of the Creative Commons Attribution (CC BY) license (https://creativecommons.org/licenses/by/4.0/).
Share and Cite
Hashemi, F.; Najafian, P.; Salahi, N.; Ghiasi, S.; Passe, U. The Impact of the Urban Heat Island and Future Climate on Urban Building Energy Use in a Midwestern U.S. Neighborhood. Energies 2025, 18, 1474. https://doi.org/10.3390/en18061474
Hashemi F, Najafian P, Salahi N, Ghiasi S, Passe U. The Impact of the Urban Heat Island and Future Climate on Urban Building Energy Use in a Midwestern U.S. Neighborhood. Energies. 2025; 18(6):1474. https://doi.org/10.3390/en18061474
Chicago/Turabian StyleHashemi, Farzad, Parisa Najafian, Negar Salahi, Sedigheh Ghiasi, and Ulrike Passe. 2025. "The Impact of the Urban Heat Island and Future Climate on Urban Building Energy Use in a Midwestern U.S. Neighborhood" Energies 18, no. 6: 1474. https://doi.org/10.3390/en18061474
APA StyleHashemi, F., Najafian, P., Salahi, N., Ghiasi, S., & Passe, U. (2025). The Impact of the Urban Heat Island and Future Climate on Urban Building Energy Use in a Midwestern U.S. Neighborhood. Energies, 18(6), 1474. https://doi.org/10.3390/en18061474

