Lithium-Ion Battery State of Health Estimation Based on Feature Reconstruction and Transformer-GRU Parallel Architecture
Abstract
1. Introduction
- (1)
- It is based on incremental capacity analysis and a Gaussian filtering algorithm to extract IC curve features, combined with conventional charging features to form a multivariate health feature set;
- (2)
- The CEEMDAN algorithm is used to decompose and reconstruct the health features to reduce their noise due to data acquisition and secondary data processing;
- (3)
- A data-driven model with Transformer-GRU parallel architecture is built for SOH prediction, which enhances the model’s performance in handling complex and diverse data.
2. Dataset and Feature Extraction
2.1. Definition of State of Health
2.2. Introduction to the Dataset
2.3. Feature Extraction
2.4. Feature Correlation Analysis
3. Methods for Estimating State of Health
3.1. Feature Reconstruction
3.2. Transformer Encoder Network
3.3. Gated Recurrent Neural Network (GRU)
3.4. Transformer-GRU Parallel Architecture
4. Discussion of the Results
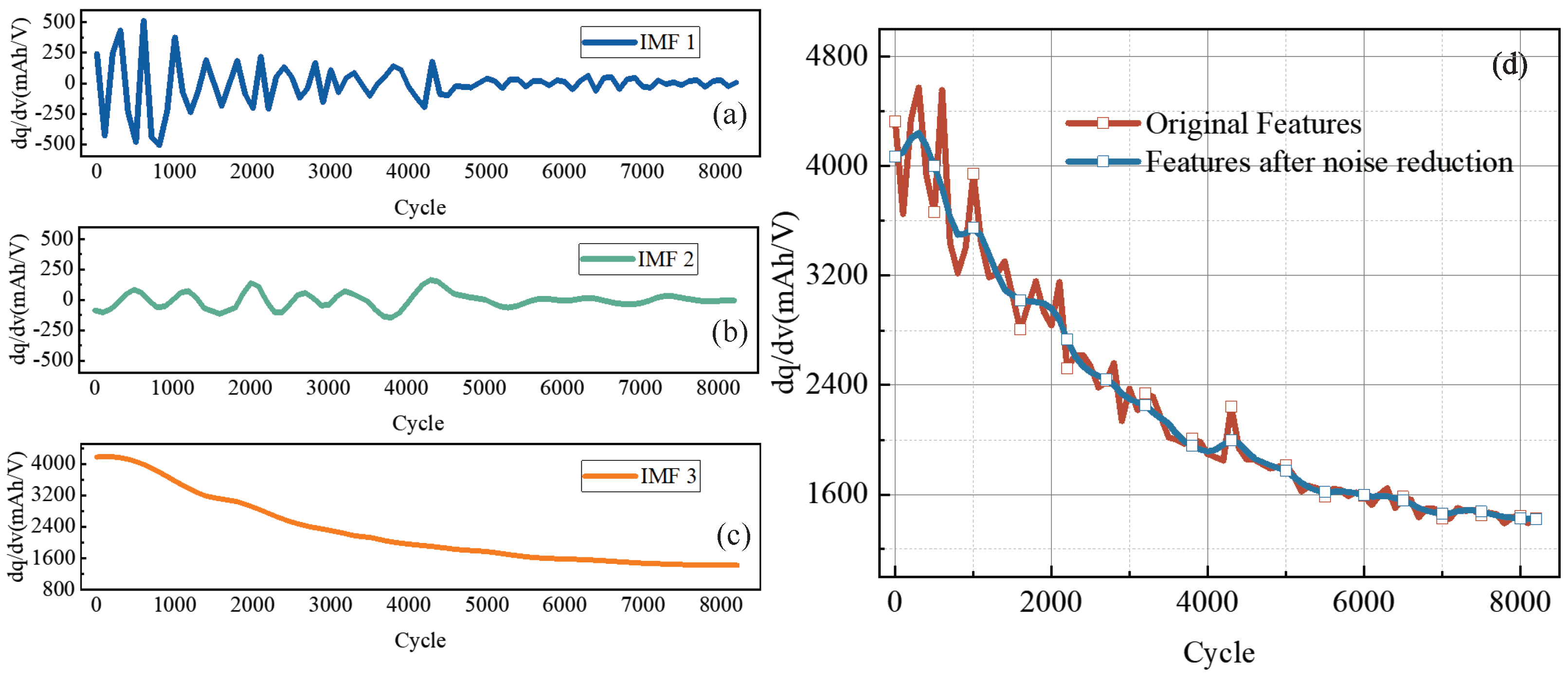
4.1. Feature Reconstruction Result
4.2. State of Health Estimation Result
4.3. Segmentation of Different Training Sets
5. Conclusions
- (1)
- This study constructed an incremental capacity curve based on charging data, smoothed it using Gaussian filtering, and extracted multiple health features based on the charging voltage and IC curve. All feature correlations are more significant than 0.9, indicating a strong correlation with health status;
- (2)
- A Transformer-GRU parallel architecture is constructed by fusing the Transformer and GRU models using a cross-attention mechanism. The root means square error of its SOH estimation is 0.0082, with 55.43% and 44.22% reduction based on the GRU and Transformer models, respectively;
- (3)
- The CEEMDAN algorithm reconstructs the features of the IC curve, improving the correlation between health characteristics and health status. The root mean square error of the state of health estimation using reconstructed features is reduced by 13.41%.
Author Contributions
Funding
Data Availability Statement
Conflicts of Interest
References
- Wang, Z.; Zeng, S.; Guo, J.; Qin, T. State of Health Estimation of Lithium-Ion Batteries Based on the Constant Voltage Charging Curve. Energy 2019, 167, 661–669. [Google Scholar] [CrossRef]
- Cai, L.; Lin, J. A Charging-Feature-Based Estimation Model for State of Health of Lithium-Ion Batteries. Expert Syst. Appl. 2024, 238, 122034. [Google Scholar] [CrossRef]
- Yang, Y.; Xu, Y.; Nie, Y.; Li, J.; Liu, S.; Zhao, L.; Yu, Q.; Zhang, C. Deep Transfer Learning Enables Battery State of Charge and State of Health Estimation. Energy 2024, 294, 130779. [Google Scholar] [CrossRef]
- Driscoll, L.; De La Torre, S.; Gomez-Ruiz, J.A. Feature-Based Lithium-Ion Battery State of Health Estimation with Artificial Neural Networks. J. Energy Storage 2022, 50, 104584. [Google Scholar] [CrossRef]
- Tang, A.; Xu, Y.; Hu, Y.; Tian, J.; Nie, Y.; Yan, F.; Tan, Y.; Yu, Q. Battery State of Health Estimation under Dynamic Operations with Physics-Driven Deep Learning. Appl. Energy 2024, 370, 123632. [Google Scholar] [CrossRef]
- Zhang, T.; Wang, Y.; Ma, R.; Zhao, Y.; Shi, M.; Qu, W. Prediction of Lithium Battery Health State Based on Temperature Rate of Change and Incremental Capacity Change. Energies 2023, 16, 7581. [Google Scholar] [CrossRef]
- Dong, M.; Li, X.; Yang, Z.; Chang, Y.; Liu, W.; Luo, Y.; Lei, W.; Ren, M.; Zhang, C. State of Health (SOH) Assessment for LIBs Based on Characteristic Electrochemical Impedance. J. Power Sources 2024, 603, 234386. [Google Scholar] [CrossRef]
- Petkovski, E.; Marri, I.; Cristaldi, L.; Faifer, M. State of Health Estimation Procedure for Lithium-Ion Batteries Using Partial Discharge Data and Support Vector Regression. Energies 2023, 17, 206. [Google Scholar] [CrossRef]
- Weddle, P.J.; Kim, S.; Chen, B.R.; Yi, Z.; Gasper, P.; Colclasure, A.M.; Smith, K.; Gering, K.L.; Tanim, T.R.; Dufek, E.J. Battery State-of-Health Diagnostics during Fast Cycling Using Physics-Informed Deep-Learning. J. Power Sources 2023, 585, 233582. [Google Scholar] [CrossRef]
- Chen, L.; Bao, X.; Lopes, A.M.; Xu, C.; Wu, X.; Kong, H.; Ge, S.; Huang, J. State of Health Estimation of Lithium-Ion Batteries Based on Equivalent Circuit Model and Data-Driven Method. J. Energy Storage 2023, 73, 109195. [Google Scholar] [CrossRef]
- Pradhan, S.K.; Chakraborty, B. Battery Management Strategies: An Essential Review for Battery State of Health Monitoring Techniques. J. Energy Storage 2022, 51, 104427. [Google Scholar] [CrossRef]
- Stroebl, F.; Petersohn, R.; Schricker, B.; Schaeufl, F.; Bohlen, O.; Palm, H. A Multi-Stage Lithium-Ion Battery Aging Dataset Using Various Experimental Design Methodologies. Sci. Data 2024, 11, 1020. [Google Scholar] [CrossRef] [PubMed]
- Liu, F.; Shao, C.; Su, W.; Liu, Y. Online Joint Estimator of Key States for Battery Based on a New Equivalent Circuit Model. J. Energy Storage 2022, 52, 104780. [Google Scholar] [CrossRef]
- Zhu, G.; Kong, C.; Wang, J.V.; Kang, J.; Wang, Q.; Qian, C. A Fractional-Order Electrochemical Lithium-Ion Batteries Model Considering Electrolyte Polarization and Aging Mechanism for State of Health Estimation. J. Energy Storage 2023, 72, 108649. [Google Scholar] [CrossRef]
- Ren, P.; Wang, S.; Chen, X.; Huang, J.; He, M. Fusion Estimation Strategy Based on Dual Adaptive Kalman Filtering Algorithm for the State of Charge and State of Health of Hybrid Electric Vehicle Li-ion Batteries. Int. J. Energy Res. 2022, 46, 7374–7388. [Google Scholar] [CrossRef]
- Xia, B.; Qin, Z.; Fu, H. Rapid Estimation of Battery State of Health Using Partial Electrochemical Impedance Spectra and Interpretable Machine Learning. J. Power Sources 2024, 603, 234413. [Google Scholar] [CrossRef]
- Zhang, W.; He, H.; Li, T.; Yuan, J.; Xie, Y.; Long, Z. Lithium-Ion Battery State of Health Prognostication Employing Multi-Model Fusion Approach Based on Image Coding of Charging Voltage and Temperature Data. Energy 2024, 296, 131095. [Google Scholar] [CrossRef]
- He, J.; Liu, X.; Huang, W.; Zhang, B.; Zhang, Z.; Shao, Z.; Mao, Z. Health State Assessment of Lithium-Ion Batteries Based on Multi-Health Feature Fusion and Improved Informer Modeling. Energies 2024, 17, 2154. [Google Scholar] [CrossRef]
- Hu, W.; Zhang, C.; Liu, S.; Jin, L.; Xu, Z. Multi-Objective Optimization Estimation of State of Health for Lithium-Ion Battery Based on Constant Current Charging Profile. J. Energy Storage 2024, 83, 110785. [Google Scholar] [CrossRef]
- Xu, Z.; Chen, Z.; Yang, L.; Zhang, S. State of Health Estimation for Lithium-Ion Batteries Based on Incremental Capacity Analysis and Transformer Modeling. Appl. Soft Comput. 2024, 165, 112072. [Google Scholar] [CrossRef]
- Zhang, X.; Gao, X.; Duan, L.; Gong, Q.; Wang, Y.; Ao, X. A Novel Method for State of Health Estimation of Lithium-Ion Batteries Based on Fractional-Order Differential Voltage-Capacity Curve. Appl. Energy 2025, 377, 124404. [Google Scholar] [CrossRef]
- Zhu, T.; Wang, S.; Fan, Y.; Hai, N.; Huang, Q.; Fernandez, C. An Improved Dung Beetle Optimizer- Hybrid Kernel Least Square Support Vector Regression Algorithm for State of Health Estimation of Lithium-Ion Batteries Based on Variational Model Decomposition. Energy 2024, 306, 132464. [Google Scholar] [CrossRef]
- Chae, S.G.; Bae, S.J.; Oh, K.Y. State-of-Health Estimation and Remaining Useful Life Prediction of Lithium-Ion Batteries Using DnCNN-CNN. J. Energy Storage 2025, 106, 114826. [Google Scholar] [CrossRef]
- Zhou, J.; Wang, S.; Cao, W.; Xie, Y.; Fernandez, C. State of Health Prediction of Lithium-Ion Batteries Based on SSA Optimized Hybrid Neural Network Model. Electrochim. Acta 2024, 487, 144146. [Google Scholar] [CrossRef]
- Guo, F.; Huang, G.; Zhang, W.; Liu, G.; Li, T.; Ouyang, N.; Zhu, S. State of Health Estimation Method for Lithium Batteries Based on Electrochemical Impedance Spectroscopy and Pseudo-Image Feature Extraction. Measurement 2023, 220, 113412. [Google Scholar] [CrossRef]
- Birkl, C.R. Diagnosis and Prognosis of Degradation in Lithium-Ion Batteries. Ph.D. Thesis, Department of Engineering Science, University of Oxford, Oxford, UK, 2017. [Google Scholar]
- He, W.; Williard, N.; Osterman, M.; Pecht, M. Prognostics of Lithium-Ion Batteries Based on Dempster–Shafer Theory and the Bayesian Monte Carlo Method. J. Power Sources 2011, 196, 10314–10321. [Google Scholar] [CrossRef]
- Xing, Y.; Ma, E.W.; Tsui, K.L.; Pecht, M. An Ensemble Model for Predicting the Remaining Useful Performance of Lithium-Ion Batteries. Microelectron. Reliab. 2013, 53, 811–820. [Google Scholar] [CrossRef]
- Gong, D.; Gao, Y.; Kou, Y.; Wang, Y. State of Health Estimation for Lithium-Ion Battery Based on Energy Features. Energy 2022, 257, 124812. [Google Scholar] [CrossRef]
- Wang, G.; Cui, N.; Li, C.; Cui, Z.; Yuan, H. A State-of-Health Estimation Method Based on Incremental Capacity Analysis for Li-ion Battery Considering Charging/Discharging Rate. J. Energy Storage 2023, 73, 109010. [Google Scholar] [CrossRef]
- Chen, H.; Yue, W.; Bin, G.; Jiang, Q.; Shao, W.; She, C. Filter Methods Comparation for Incremental Capacity Analysis in Lithium-Ion Batteries Health Prediction. J. Energy Storage 2024, 101, 113878. [Google Scholar] [CrossRef]
- Wang, X.; Hu, B.; Su, X.; Xu, L.; Zhu, D. State of Health Estimation for Lithium-Ion Batteries Using Random Forest and Gated Recurrent Unit. J. Energy Storage 2024, 76, 109796. [Google Scholar] [CrossRef]
- Torres, M.E.; Colominas, M.A.; Schlotthauer, G.; Flandrin, P. A Complete Ensemble Empirical Mode Decomposition with Adaptive Noise. In Proceedings of the 2011 IEEE International Conference on Acoustics, Speech and Signal Processing (ICASSP), Prague, Czech Republic, 22–27 May 2011; pp. 4144–4147. [Google Scholar]
- Li, Z.; Zhang, X.; Gao, W. State of Health Estimation of Lithium-Ion Battery during Fast Charging Process Based on BiLSTM-Transformer. Energy 2024, 311, 133418. [Google Scholar] [CrossRef]
- Zhang, Y.; Li, Z.; Kong, L.; Xu, H.; Shen, H.; Chen, M. Multi-Step State of Health Prediction of Lithium-Ion Batteries Based on Multi-Feature Extraction and Improved Transformer. J. Energy Storage 2025, 105, 114538. [Google Scholar] [CrossRef]
- Wang, X.; Dai, K.; Hu, M.; Ni, N. Lithium-Ion Battery Health State and Remaining Useful Life Prediction Based on Hybrid Model MFE-GRU-TCA. J. Energy Storage 2024, 95, 112442. [Google Scholar] [CrossRef]
- Xue, J.; Ma, W.; Feng, X.; Guo, P.; Guo, Y.; Hu, X.; Chen, B. Stacking Integrated Learning Model via ELM and GRU with Mixture Correntropy Loss for Robust State of Health Estimation of Lithium-Ion Batteries. Energy 2023, 284, 129279. [Google Scholar] [CrossRef]











| Dataset | Cathode | Anode | Rated Capacity |
|---|---|---|---|
| Oxford | Lithium nickel cobalt oxide | Graphite | 740 mAh |
| CALCE | LiCoO2 | Graphite | 1100 mAh |
| NASA | LiNiCo0.15Al0.05O2 | Graphite | 2000 mAh |
| Features | Correlation Results | |||||
|---|---|---|---|---|---|---|
| Cell_1 | Cell_7 | CS2_35 | CS2_36 | B0005 | B0006 | |
| CCCT | 0.9988 | 0.9998 | 0.9851 | 0.9923 | 0.9981 | 0.9952 |
| ICP | 0.9521 | 0.9477 | 0.9688 | 0.9723 | 0.9948 | 0.9931 |
| ICAV | 0.9687 | 0.9599 | 0.9518 | 0.9741 | 0.9972 | 0.9942 |
| Features | Pearson Coefficient After Denoising | |||||
|---|---|---|---|---|---|---|
| Cell_1 | Cell_7 | CS2_35 | CS2_36 | B0005 | B0006 | |
| CCCT | 0.9988 | 0.9998 | 0.9851 | 0.9923 | 0.9981 | 0.9952 |
| ICP | 0.9768 | 0.9615 | 0.9813 | 0.9942 | 0.9940 | 0.9925 |
| ICAV | 0.9918 | 0.9824 | 0.9740 | 0.9852 | 0.9976 | 0.9939 |
| Battery | Model | Error Index | |||
|---|---|---|---|---|---|
| RMSE | MAE | MAPE | R2 | ||
| Cell_1 | GRU | 0.0130 | 0.0117 | 1.49% | 0.8149 |
| Transformer | 0.0106 | 0.0096 | 1.22% | 0.8773 | |
| Transformer-GRU | 0.0066 | 0.0051 | 0.63% | 0.9517 | |
| Proposed | 0.0042 | 0.0039 | 0.42% | 0.9806 | |
| Cell_7 | GRU | 0.0112 | 0.0100 | 1.20% | 0.8455 |
| Transformer | 0.0124 | 0.0114 | 1.38% | 0.8088 | |
| Transformer-GRU | 0.0048 | 0.0044 | 0.53% | 0.9711 | |
| Proposed | 0.0032 | 0.0029 | 0.35% | 0.9871 | |
| CS_35 | GRU | 0.0219 | 0.0149 | 1.89% | 0.7595 |
| Transformer | 0.0159 | 0.0105 | 1.34% | 0.8727 | |
| Transformer-GRU | 0.0076 | 0.0055 | 0.68% | 0.9707 | |
| Proposed | 0.0068 | 0.0053 | 0.65% | 0.9762 | |
| CS_36 | GRU | 0.0281 | 0.0206 | 2.73% | 0.8192 |
| Transformer | 0.0183 | 0.0131 | 1.73% | 0.9230 | |
| Transformer-GRU | 0.0127 | 0.0097 | 1.25% | 0.9627 | |
| Proposed | 0.0107 | 0.0084 | 1.07% | 0.9736 | |
| B0005 | GRU | 0.0175 | 0.0139 | 1.90% | 0.8970 |
| Transformer | 0.0143 | 0.0114 | 1.60% | 0.9314 | |
| Transformer-GRU | 0.0080 | 0.0064 | 0.85% | 0.9783 | |
| Proposed | 0.0077 | 0.0047 | 0.73% | 0.9780 | |
| B0006 | GRU | 0.0186 | 0.0149 | 2.30% | 0.8781 |
| Transformer | 0.0164 | 0.0144 | 2.17% | 0.9046 | |
| Transformer-GRU | 0.0097 | 0.0074 | 1.11% | 0.9666 | |
| Proposed | 0.0099 | 0.0082 | 1.24% | 0.9651 | |
| Time | GRU | Transformer | Transformer-GRU | Proposed |
|---|---|---|---|---|
| Training time (s) | 6.5635 | 9.5454 | 15.2436 | 15.9055 |
| Prediction time (s) | 0.0011 | 0.0016 | 0.0026 | 0.0025 |
| Battery | Training Set | Error Index | |||
|---|---|---|---|---|---|
| RMSE | MAE | MAPE | R2 | ||
| Cell_7 | 50% | 0.0026 | 0.0019 | 0.23% | 0.9880 |
| 40% | 0.0032 | 0.0029 | 0.35% | 0.9871 | |
| 30% | 0.0075 | 0.0065 | 0.75% | 0.9528 | |
| CS_35 | 50% | 0.0073 | 0.0058 | 0.69% | 0.9714 |
| 40% | 0.0068 | 0.0053 | 0.65% | 0.9762 | |
| 30% | 0.0071 | 0.0053 | 0.64% | 0.9787 | |
Disclaimer/Publisher’s Note: The statements, opinions and data contained in all publications are solely those of the individual author(s) and contributor(s) and not of MDPI and/or the editor(s). MDPI and/or the editor(s) disclaim responsibility for any injury to people or property resulting from any ideas, methods, instructions or products referred to in the content. |
© 2025 by the authors. Licensee MDPI, Basel, Switzerland. This article is an open access article distributed under the terms and conditions of the Creative Commons Attribution (CC BY) license (https://creativecommons.org/licenses/by/4.0/).
Share and Cite
Chen, B.; Zhang, Y.; Wu, J.; Yuan, H.; Guo, F. Lithium-Ion Battery State of Health Estimation Based on Feature Reconstruction and Transformer-GRU Parallel Architecture. Energies 2025, 18, 1236. https://doi.org/10.3390/en18051236
Chen B, Zhang Y, Wu J, Yuan H, Guo F. Lithium-Ion Battery State of Health Estimation Based on Feature Reconstruction and Transformer-GRU Parallel Architecture. Energies. 2025; 18(5):1236. https://doi.org/10.3390/en18051236
Chicago/Turabian StyleChen, Bing, Yongjun Zhang, Jinsong Wu, Hongyuan Yuan, and Fang Guo. 2025. "Lithium-Ion Battery State of Health Estimation Based on Feature Reconstruction and Transformer-GRU Parallel Architecture" Energies 18, no. 5: 1236. https://doi.org/10.3390/en18051236
APA StyleChen, B., Zhang, Y., Wu, J., Yuan, H., & Guo, F. (2025). Lithium-Ion Battery State of Health Estimation Based on Feature Reconstruction and Transformer-GRU Parallel Architecture. Energies, 18(5), 1236. https://doi.org/10.3390/en18051236
