In Search of Optimal Cell Components for Polyoxometalate-Based Redox Flow Batteries: Effect of the Membrane on Cell Performance
Abstract
1. Introduction
2. Materials and Methods
2.1. Preparation of the POM-Based Electrolyte
2.2. Water and Electrolyte Uptake
2.3. Through-Plane Ionic Conductivity
2.4. Diffusion Test
2.5. Flow Cell Study
3. Results
3.1. Ex Situ Characterization of the Membranes
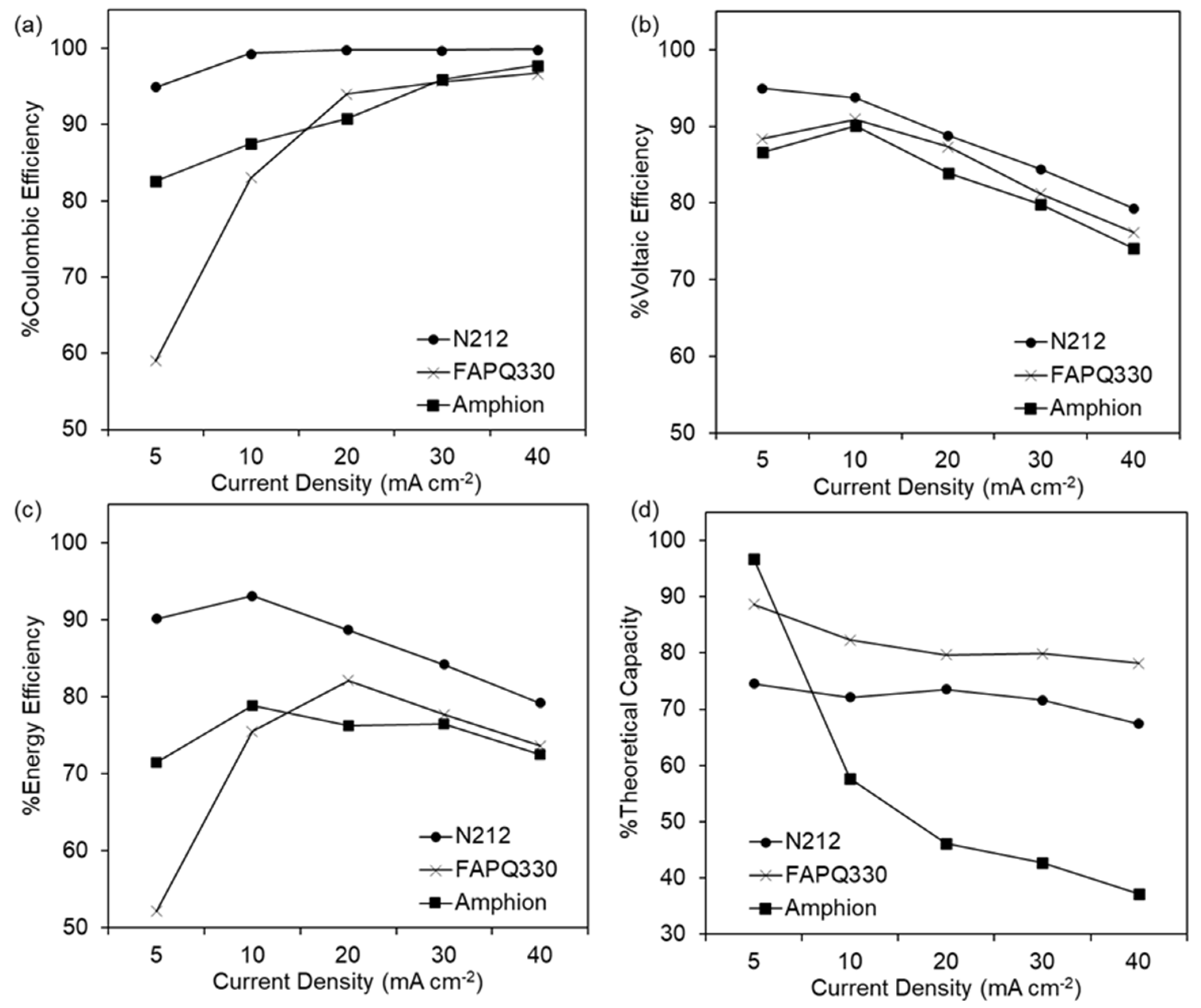
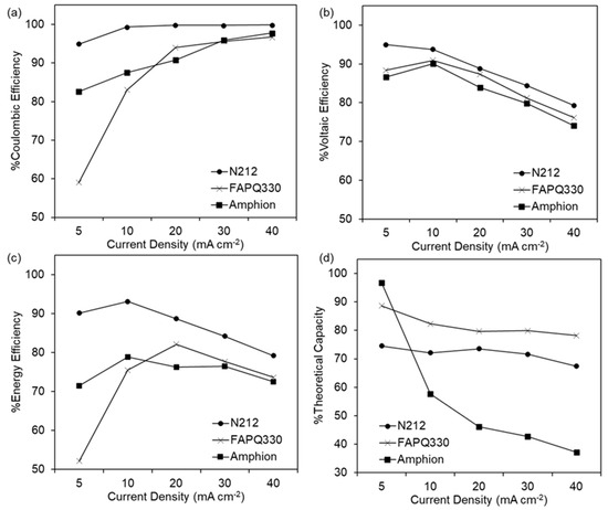
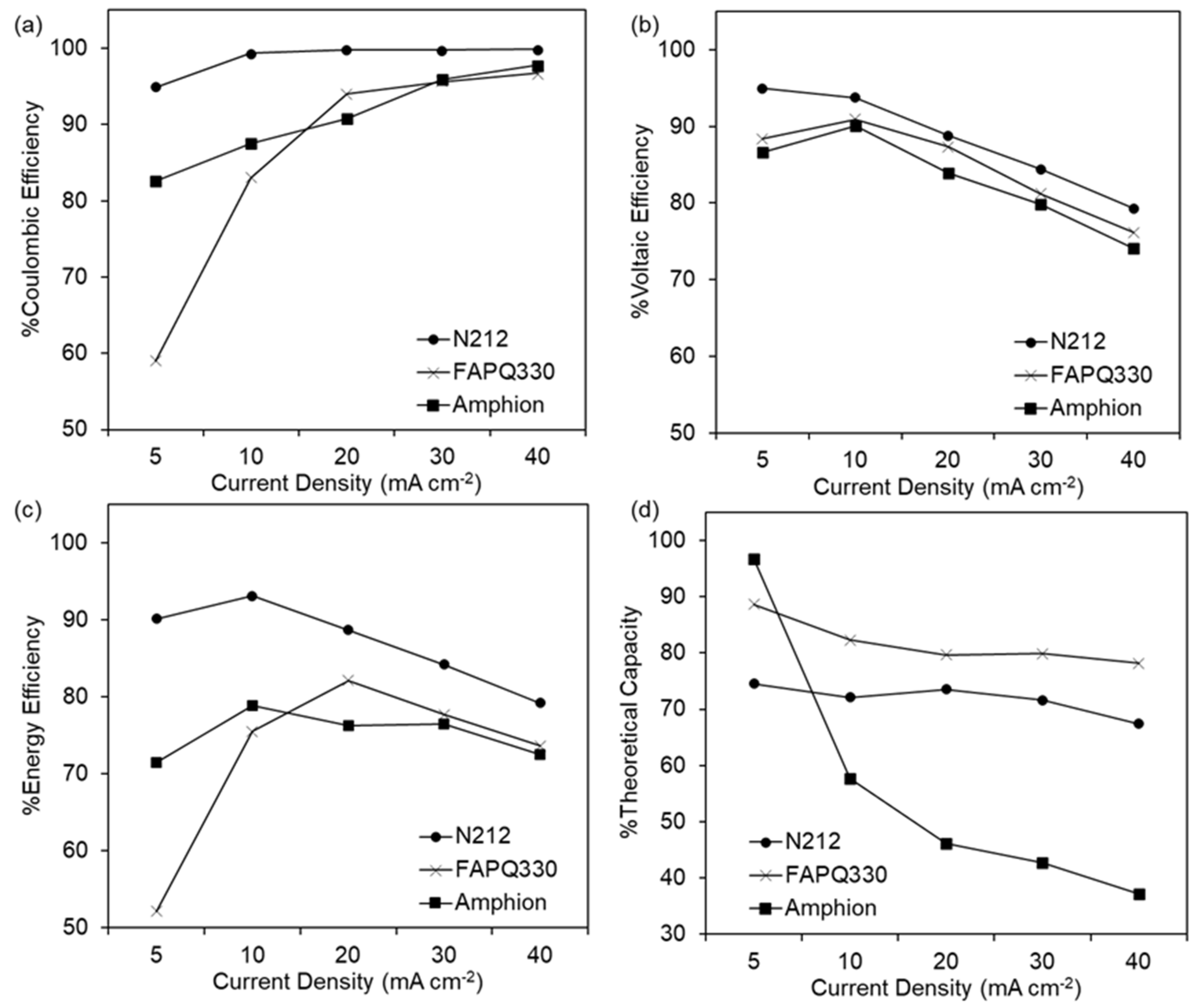
3.2. Cell Performance Evaluation of Different Membranes in CoW12-RFB
4. Discussion: Comparison of the CoW12-RFB Cell Performance with Different Membranes
5. Conclusions
Supplementary Materials
Author Contributions
Funding
Data Availability Statement
Conflicts of Interest
Abbreviations
| RFB | Redox Flow Battery |
| POM | Polyoxometalate |
| POM-RFB | Polyoxometalate-based Redox Flow Battery |
| ESS | Energy Storage System |
| VRFB | Vanadium Redox Flow Battery |
| CoW12 | [CoW12O40]6− |
| H/LiAc | Acetic acid/Lithium Acetate buffer |
| IEM | Ion Exchange Membrane |
| CEM | Cation Exchange Membrane |
| AEM | Anion Exchange Membrane |
| AIEM | Amphoteric Ion Exchange Membrane |
| N212 | NafionTM NR212 |
| FAPQ330 | Fumasep® FAPQ-330 |
| Amphion | AmphionTM gAM50 |
| mPBI | Meta-polybenzimidazole |
| ASR | Area Specific Resistance |
| PEIS | Potentiostatic Electrochemical Impedance Spectroscopy |
| CE | Coulombic Efficiency |
| VE | Voltaic Efficiency |
| EE | Energy Efficiency |
| ZnSiW11 | [α-Zn(H2O)SiW11O39]6− |
| SoC | State of Charge |
| OCV | Open Circuit Potential |
References
- Zhang, H.; Li, X.; Zhang, J. Redox Flow Batteries: Fundamentals and Applications; CRC Press: Boca Raton, FL, USA, 2018. [Google Scholar]
- Cunha, Á.; Martins, J.; Rodrigues, N.; Brito, F.P. Vanadium Redox Flow Batteries: A Technology Review. Int. J. Energy Res. 2014, 30, 889–918. [Google Scholar] [CrossRef]
- Vanitec Transforming Possibilities, Vanadium Redox Flow Battery Companies. Available online: https://www.vanitec.org/vanadium-redox-flow-battery-vrfb-companies (accessed on 30 October 2024).
- Sukkar, T.; Skyllas-Kazacos, M. Water Transfer Behaviour across Cation Exchange Membranes in the Vanadium Redox Battery. J. Membr. Sci. 2003, 222, 235–247. [Google Scholar] [CrossRef]
- Shoaib, M.; Vallayil, P.; Jaiswal, N.; Iyapazham Vaigunda Suba, P.; Sankararaman, S.; Ramanujam, K.; Thangadurai, V. Advances in Redox Flow Batteries—A Comprehensive Review on Inorganic and Organic Electrolytes and Engineering Perspectives. Adv. Energy Mater. 2024, 14, 2400721–2400760. [Google Scholar] [CrossRef]
- Rajarathnam, G.P. The Zinc/Bromine Flow Battery: Fundamentals and Novel Materials for Technology Advancement. Ph.D. Thesis, University of Sydney, Sydney, Australia, 2016. [Google Scholar]
- Darling, R.M.; Gallagher, K.G.; Kowalski, J.A.; Ha, S.; Brushett, F.R. Pathways to Low-Cost Electrochemical Energy Storage: A Comparison of Aqueous and Nonaqueous Flow Batteries. Energy Environ. Sci. 2014, 7, 3459–3477. [Google Scholar] [CrossRef]
- Fischer, P.; Mazúr, P.; Krakowiak, J. Family Tree for Aqueous Organic Redox Couples for Redox Flow Battery Electrolytes: A Conceptual Review. Molecules 2022, 27, 560–599. [Google Scholar] [CrossRef]
- Ahn, S.; Yun, A.; Ko, D.; Singh, V.; Joo, J.M.; Byon, H.R. Organic Redox Flow Batteries in Non-Aqueous Electrolyte Solutions. Chem. Soc. Rev. 2025, 54, 742–789. [Google Scholar] [CrossRef]
- Leung, P.; Shah, A.A.; Sanz, L.; Flox, C.; Morante, J.R.; Xu, Q.; Mohamed, M.R.; Ponce de León, C.; Walsh, F.C. Recent Developments in Organic Redox Flow Batteries: A Critical Review. J. Power Sources 2017, 360, 243–283. [Google Scholar] [CrossRef]
- Horn, M.R.; Singh, A.; Alomari, S.; Goberna-Ferrón, S.; Benages-Vilau, R.; Chodankar, N.; Motta, N.; Ostrikov, K.; MacLeod, J.; Sonar, P.; et al. Polyoxometalates (POMs): From Electroactive Clusters to Energy Materials. Energy Environ. Sci. 2021, 14, 1652–1700. [Google Scholar] [CrossRef]
- Keita, B.; Nadjo, L. Electrochemistry of Isopoly and Heteropoly Oxometalates. In Encyclopedia of Electrochemistry; John Wiley & Sons: London, UK, 2007; ISBN 978-3-527-61042-6. [Google Scholar]
- Liu, Y.; Lu, S.; Wang, H.; Yang, C.; Su, X.; Xiang, Y. An Aqueous Redox Flow Battery with a Tungsten-Cobalt Heteropolyacid as the Electrolyte for Both the Anode and Cathode. Adv. Energy Mater. 2017, 7, 1601224–1601230. [Google Scholar] [CrossRef]
- Peake, C.L.; Kibler, A.J.; Newton, G.N.; Walsh, D.A. Organic–Inorganic Hybrid Polyoxotungstates As Configurable Charge Carriers for High Energy Redox Flow Batteries. ACS Appl. Energy Mater. 2021, 4, 8765–8773. [Google Scholar] [CrossRef]
- Ai, F.; Wang, Z.; Lai, N.-C.; Zou, Q.; Liang, Z.; Lu, Y.-C. Heteropoly Acid Negolytes for High-Power-Density Aqueous Redox Flow Batteries at Low Temperatures. Nat. Energy 2022, 7, 417–426. [Google Scholar] [CrossRef]
- Barros, Á.; Eletxigerra, U.; Aranzabe, E.; Artetxe, B.; Gutiérrez-Zorrilla, J.M. Towards Cobalt-Containing Polyoxometalate-Based Electrolytes for Redox Flow Batteries Operating under Mild Conditions. Electrochim. Acta 2023, 445, 142058–142069. [Google Scholar] [CrossRef]
- Barros, Á.; Aranzabe, E.; Artetxe, B.; Duburg, J.C.; Gubler, L.; Gutiérrez-Zorrilla, J.M.; Eletxigerra, U. Polyoxometalate-Based Symmetric Redox Flow Batteries: Performance in Mild Aqueous Media. ACS Appl. Energy Mater. 2024, 7, 3729–3739. [Google Scholar] [CrossRef]
- Chen, Z.-F.; Yang, Y.-L.; Zhang, C.; Liu, S.-Q.; Yan, J. Manufacture of Non-Aqueous Redox Flow Batteries Using Sulfate-Templated Dawson-Type Polyoxometalate with Improved Performances. J. Energy Storage 2021, 35, 102281–102287. [Google Scholar] [CrossRef]
- Chen, J.-J.; Symes, M.D.; Cronin, L. Highly Reduced and Protonated Aqueous Solutions of [P2W18O62]6− for on-Demand Hydrogen Generation and Energy Storage. Nature Chem. 2018, 10, 1042–1047. [Google Scholar] [CrossRef]
- Friedl, J.; Holland-Cunz, M.V.; Cording, F.; Pfanschilling, F.L.; Wills, C.; McFarlane, W.; Schricker, B.; Fleck, R.; Wolfschmidt, H.; Stimming, U. Asymmetric Polyoxometalate Electrolytes for Advanced Redox Flow Batteries. Energy Environ. Sci. 2018, 11, 3010–3018. [Google Scholar] [CrossRef]
- Liu, Y.; Wen, G.-H.; Liang, J.; Bao, S.-S.; Wei, J.; Wang, H.; Zhang, P.; Zhu, M.; Jia, Q.; Ma, J.; et al. Aqueous Colloid Flow Batteries Based on Redox-Reversible Polyoxometalate Clusters and Size-Exclusive Membranes. ACS Energy Lett. 2023, 8, 387–397. [Google Scholar] [CrossRef]
- Huang, Z.; Liu, Y.; Xie, X.; Huang, Q.; Huang, C. Experimental Study on Efficiency Improvement Methods of Vanadium Redox Flow Battery for Large-Scale Energy Storage. Electrochim. Acta 2023, 466, 143025. [Google Scholar] [CrossRef]
- Castañeda, L.F.; Walsh, F.C.; Nava, J.L.; Ponce de León, C. Graphite Felt as a Versatile Electrode Material: Properties, Reaction Environment, Performance and Applications. Electrochim. Acta 2017, 258, 1115–1139. [Google Scholar] [CrossRef]
- Jiang, B.; Wu, L.; Yu, L.; Qiu, X.; Xi, J. A Comparative Study of Nafion Series Membranes for Vanadium Redox Flow Batteries. J. Membr. Sci. 2016, 510, 18–26. [Google Scholar] [CrossRef]
- Pratt, H.D.; Hudak, N.S.; Fang, X.; Anderson, T.M. A Polyoxometalate Flow Battery. J. Power Sources 2013, 236, 259–264. [Google Scholar] [CrossRef]
- Shen, X.; Kellamis, C.; Tam, V.; Sinclair, N.; Wainright, J.; Savinell, R. An All-Soluble Fe/Mn-Based Alkaline Redox Flow Battery System. ACS Appl. Mater. Interfaces 2024, 16, 18686–18692. [Google Scholar] [CrossRef] [PubMed]
- Ambrose, B.; Naresh, R.; Kathiresan, M.; Ulaganathan, M.; Ragupathy, P. Highly Stable Asymmetric Viologen as an Anolyte for Aqueous Organic and Halide-Based Redox Flow Batteries. Energy Technol. 2023, 11, 2201046–2201053. [Google Scholar] [CrossRef]
- Chen, J.-J.J.; Barteau, M.A. Molybdenum Polyoxometalates as Active Species for Energy Storage in Non-Aqueous Media. J. Energy Storage 2017, 13, 255–261. [Google Scholar] [CrossRef]
- Crivellaro, G.; Sun, C.; Pagot, G.; Negro, E.; Vezzù, K.; Lorandi, F.; Di Noto, V. Membranes for Flow Batteries. In Flow Batteries; John Wiley & Sons: London, UK, 2023; pp. 121–154. ISBN 978-3-527-83276-7. [Google Scholar]
- Noack, J.; Roznyatovskaya, N.; Herr, T.; Fischer, P. The Chemistry of Redox-Flow Batteries. Angew. Chem. Int. Ed. 2015, 54, 9776–9809. [Google Scholar] [CrossRef]
- Tempelman, C.H.L.; Jacobs, J.F.; Balzer, R.M.; Degirmenci, V. Membranes for All Vanadium Redox Flow Batteries. J. Energy Storage 2020, 32, 101754–101767. [Google Scholar] [CrossRef]
- Sun, C.; Negro, E.; Nale, A.; Pagot, G.; Vezzù, K.; Zawodzinski, T.A.; Meda, L.; Gambaro, C.; Di Noto, V. An Efficient Barrier toward Vanadium Crossover in Redox Flow Batteries: The Bilayer [Nafion/(WO3)x] Hybrid Inorganic-Organic Membrane. Electrochim. Acta 2021, 378, 138133. [Google Scholar] [CrossRef]
- Teng, X.; Sun, C.; Dai, J.; Liu, H.; Su, J.; Li, F. Solution Casting Nafion/Polytetrafluoroethylene Membrane for Vanadium Redox Flow Battery Application. Electrochim. Acta 2013, 88, 725–734. [Google Scholar] [CrossRef]
- Zeng, L.; Zhao, T.S.; Wei, L.; Jiang, H.R.; Wu, M.C. Anion Exchange Membranes for Aqueous Acid-Based Redox Flow Batteries: Current Status and Challenges. Appl. Energy 2019, 233–234, 622–643. [Google Scholar] [CrossRef]
- Oldenburg, F.J.; Schmidt, T.J.; Gubler, L. Tackling Capacity Fading in Vanadium Flow Batteries with Amphoteric Membranes. J. Power Sources 2017, 368, 68–72. [Google Scholar] [CrossRef]
- Shin, S.-H.; Yun, S.-H.; Moon, S.-H. A Review of Current Developments in Non-Aqueous Redox Flow Batteries: Characterization of Their Membranes for Design Perspective. RSC Adv. 2013, 3, 9095–9116. [Google Scholar] [CrossRef]
- Verma, S.; Varma, R.S.; Nadagouda, M.N. Remediation and Mineralization Processes for Per- and Polyfluoroalkyl Substances (PFAS) in Water: A Review. Sci. Total Environ. 2021, 794, 148987. [Google Scholar] [CrossRef] [PubMed]
- Xia, C.; Lim, X.; Yang, H.; Goodson, B.M.; Liu, J. Degradation of Per- and Polyfluoroalkyl Substances (PFAS) in Wastewater Effluents by Photocatalysis for Water Reuse. J. Water Process Eng. 2022, 46, 102556–102562. [Google Scholar] [CrossRef]
- Jung, M.; Lee, W.; Noh, C.; Konovalova, A.; Yi, G.S.; Kim, S.; Kwon, Y.; Henkensmeier, D. Blending Polybenzimidazole with an Anion Exchange Polymer Increases the Efficiency of Vanadium Redox Flow Batteries. J. Membr. Sci. 2019, 580, 110–116. [Google Scholar] [CrossRef]
- Sun, C.; Negro, E.; Vezzù, K.; Pagot, G.; Cavinato, G.; Nale, A.; Herve Bang, Y.; Di Noto, V. Hybrid Inorganic-Organic Proton-Conducting Membranes Based on SPEEK Doped with WO3 Nanoparticles for Application in Vanadium Redox Flow Batteries. Electrochim. Acta 2019, 309, 311–325. [Google Scholar] [CrossRef]
- Choi, S.-W.; Kim, T.-H.; Jo, S.-W.; Lee, J.Y.; Cha, S.-H.; Hong, Y.T. Hydrocarbon Membranes with High Selectivity and Enhanced Stability for Vanadium Redox Flow Battery Applications: Comparative Study with Sulfonated Poly(Ether Sulfone)s and Sulfonated Poly(Thioether Ether Sulfone)s. Electrochim. Acta 2018, 259, 427–439. [Google Scholar] [CrossRef]
- Ye, R.; Henkensmeier, D.; Yoon, S.J.; Huang, Z.; Kim, D.K.; Chang, Z.; Kim, S.; Chen, R. Redox Flow Batteries for Energy Storage: A Technology Review. J. Electrochem. Energy Convers. Storage 2017, 15, 010801–010822. [Google Scholar] [CrossRef]
- Minke, C.; Turek, T. Economics of Vanadium Redox Flow Battery Membranes. J. Power Sources 2015, 286, 247–257. [Google Scholar] [CrossRef]
- Shi, Y.; Eze, C.; Xiong, B.; He, W.; Zhang, H.; Lim, T.M.; Ukil, A.; Zhao, J. Recent Development of Membrane for Vanadium Redox Flow Battery Applications: A Review. Appl. Energy 2019, 238, 202–224. [Google Scholar] [CrossRef]
- Zhao, Y.; Yuan, Z.; Lu, W.; Li, X.; Zhang, H. The Porous Membrane with Tunable Performance for Vanadium Flow Battery: The Effect of Charge. J. Power Sources 2017, 342, 327–334. [Google Scholar] [CrossRef]
- Cao, J.; Yuan, Z.; Li, X.; Xu, W.; Zhang, H. Hydrophilic Poly(Vinylidene Fluoride) Porous Membrane with Well Connected Ion Transport Networks for Vanadium Flow Battery. J. Power Sources 2015, 298, 228–235. [Google Scholar] [CrossRef]
- Cao, J.; Zhang, H.; Xu, W.; Li, X. Poly(Vinylidene Fluoride) Porous Membranes Precipitated in Water/Ethanol Dual-Coagulation Bath: The Relationship between Morphology and Performance in Vanadium Flow Battery. J. Power Sources 2014, 249, 84–91. [Google Scholar] [CrossRef]
- Duburg, J.C.; Avaro, J.; Krupnik, L.; Silva, B.F.B.; Neels, A.; Schmidt, T.J.; Gubler, L. Design Principles for High-Performance Meta-Polybenzimidazole Membranes for Vanadium Redox Flow Batteries. Energy Environ. Mater. 2025, 8, e12793–e128904. [Google Scholar] [CrossRef]
- Gubler, D.L.; Oldenburg, F.J. Amphoteric Electrolyte Membrane and a Redox Flow Battery Comprising an Electrolyte Membrane. Patent EP3576201A1, 4 December 2019. Available online: https://patents.google.com/patent/EP3576201A1/en (accessed on 13 December 2024).
- Barros, Á.; Artetxe, B.; Eletxigerra, U.; Aranzabe, E.; Gutiérrez-Zorrilla, J.M. Systematic Approach to the Synthesis of Cobalt-Containing Polyoxometalates for Their Application as Energy Storage Materials. Materials 2023, 16, 5054–5069. [Google Scholar] [CrossRef] [PubMed]
- Corcuera, S.; Skyllas-Kazacos, M. State-of-Charge Monitoring and Electrolyte Rebalancing Methods for the Vanadium Redox Flow Battery. Eur. Chem. Bull. 2012, 12, 511–519. [Google Scholar]
- Kreuer, K.D. On the Development of Proton Conducting Polymer Membranes for Hydrogen and Methanol Fuel Cells. J. Membr. Sci. 2001, 185, 29–39. [Google Scholar] [CrossRef]
- Milshtein, J.D.; Darling, R.M.; Drake, J.; Perry, M.L.; Brushett, F.R. The Critical Role of Supporting Electrolyte Selection on Flow Battery Cost. J. Electrochem. Soc. 2017, 164, A3883–A3895. [Google Scholar] [CrossRef]
- Skyllas-Kazacos, M.; Kazacos, M. State of Charge Monitoring Methods for Vanadium Redox Flow Battery Control. J. Power Sources 2011, 196, 8822–8827. [Google Scholar] [CrossRef]
- Darling, R.; Gallagher, K.; Xie, W.; Su, L.; Brushett, F. Transport Property Requirements for Flow Battery Separators. J. Electrochem. Soc. 2015, 163, A5029–A5040. [Google Scholar] [CrossRef]
- Hwang, S.-T. Fundamentals of Membrane Transport. Korean J. Chem. Eng. 2011, 28, 1–15. [Google Scholar] [CrossRef]
- Resnick, P.R. A Short History of Nafion. Matériaux Nouv. Technol. 2006, 301–302, 144–147. [Google Scholar]
- Malinenko, A.; Jonchère, A.; Girard, L.; Parrès-Maynadié, S.; Diat, O.; Bauduin, P. Are Keggin’s POMs Charged Nanocolloids or Multicharged Anions? Langmuir 2018, 34, 2026–2038. [Google Scholar] [CrossRef] [PubMed]
- Herve, G.; Teze, A. Study of Alpha- and Beta-Enneatungstosilicates and -Germanates. Inorg. Chem. 1977, 16, 2115–2117. [Google Scholar] [CrossRef]
- Reinoso, S.; Vitoria, P.; Gutiérrez-Zorrilla, J.M.; Lezama, L.; San Felices, L.; Beitia, J.I. Inorganic−Metalorganic Hybrids Based on Copper(II)-Monosubstituted Keggin Polyanions and Dinuclear Copper(II)−Oxalate Complexes. Synthesis, X-Ray Structural Characterization, and Magnetic Properties. Inorg. Chem. 2005, 44, 9731–9742. [Google Scholar] [CrossRef]
- Girardi, M.; Blanchard, S.; Griveau, S.; Simon, P.; Fontecave, M.; Bedioui, F.; Proust, A. Electro-Assisted Reduction of CO2 to CO and Formaldehyde by (TOA)6[α-SiW 11O 39Co] Polyoxometalate. Eur. J. Inorg. Chem. 2015, 2015, 3642–3648. [Google Scholar] [CrossRef]






| Electrolyte | FAPQ330 (mS cm−1) | N212 (mS cm−1) | Amphion (mS cm−1) |
|---|---|---|---|
| SE | 3.1 ± 0.1 | 8.3 ± 0.1 | 1.4 ± 0.2 |
| CoW12 | 3.2 ± 0.1 | 3.1 ± 0.1 | 1.2 ± 0.2 |
| Membrane | N212 | FAPQ330 | Amphion |
|---|---|---|---|
| Conductivity (mS cm−1) | 3.05 | 3.22 | 1.22 |
| Swelling (%) | 4.7 | 16.1 | 7.4 |
| Electrolyte uptake (%) | 0.9 | 33.2 | 14.3 |
| ASR at OCV prior to cycling (Ω cm2) | 1.10 | 1.25 | 2.05 |
| CE (%) | 99.8 | 95.1 | 95.7 |
| VE (%) | 88.7 | 82.8 | 80.0 |
| EE (%) | 88.5 | 87.1 | 76.5 |
| % Th. Energy Dens. | 65 | 57 | 13 |
| Capacity retention (%) | 98.8 | 86.9 | 44.0 |
| Cell potential (V) | 1.42 | 1.32 | 1.26 |
Disclaimer/Publisher’s Note: The statements, opinions and data contained in all publications are solely those of the individual author(s) and contributor(s) and not of MDPI and/or the editor(s). MDPI and/or the editor(s) disclaim responsibility for any injury to people or property resulting from any ideas, methods, instructions or products referred to in the content. |
© 2025 by the authors. Licensee MDPI, Basel, Switzerland. This article is an open access article distributed under the terms and conditions of the Creative Commons Attribution (CC BY) license (https://creativecommons.org/licenses/by/4.0/).
Share and Cite
Barros, Á.; Duburg, J.C.; Gubler, L.; Aranzabe, E.; Artetxe, B.; Gutiérrez-Zorrilla, J.M.; Eletxigerra, U. In Search of Optimal Cell Components for Polyoxometalate-Based Redox Flow Batteries: Effect of the Membrane on Cell Performance. Energies 2025, 18, 1235. https://doi.org/10.3390/en18051235
Barros Á, Duburg JC, Gubler L, Aranzabe E, Artetxe B, Gutiérrez-Zorrilla JM, Eletxigerra U. In Search of Optimal Cell Components for Polyoxometalate-Based Redox Flow Batteries: Effect of the Membrane on Cell Performance. Energies. 2025; 18(5):1235. https://doi.org/10.3390/en18051235
Chicago/Turabian StyleBarros, Ángela, Jacobus C. Duburg, Lorenz Gubler, Estibaliz Aranzabe, Beñat Artetxe, Juan Manuel Gutiérrez-Zorrilla, and Unai Eletxigerra. 2025. "In Search of Optimal Cell Components for Polyoxometalate-Based Redox Flow Batteries: Effect of the Membrane on Cell Performance" Energies 18, no. 5: 1235. https://doi.org/10.3390/en18051235
APA StyleBarros, Á., Duburg, J. C., Gubler, L., Aranzabe, E., Artetxe, B., Gutiérrez-Zorrilla, J. M., & Eletxigerra, U. (2025). In Search of Optimal Cell Components for Polyoxometalate-Based Redox Flow Batteries: Effect of the Membrane on Cell Performance. Energies, 18(5), 1235. https://doi.org/10.3390/en18051235

