Abstract
As a critical component of nuclear power units, the direct cooling water system plays a key role in overall performance. To maintain economic efficiency, it is necessary to adjust the circulating water flow rate as conditions change. Understanding how this system responds dynamically to varying environmental factors—such as seawater temperature and tidal levels—is essential for precise control. While previous studies have explored methods such as variable frequency control, predictive maintenance, and digital twin technologies to optimize system operations, challenges remain in addressing the dynamic response of cooling systems under complex environmental and operational conditions. In this study, the AP1000 was used as the research subject and a comprehensive mathematical model of each part of the cooling water system was built, accounting for delays in processes like pipeline transport. Sensitivity analyses were then carried out to examine how linear disturbances in environmental parameters affect system performance, and how circulating water flow, condenser back pressure, and unit efficiency are interrelated. At the same time, the frequency conversion circulating water pump adaptive adjustment system is used to find the best vacuum conditions according to the change in seawater parameters. The findings offer valuable guidance for enhancing the economic operation of nuclear power plant cooling systems.
1. Introduction
The efficiency of nuclear power plants is heavily influenced by the performance of the cooling water system, which is critical in maintaining the thermal cycle’s optimal operation under varying environmental and operational conditions. The ability of the cooling system to adapt to changes such as seawater temperature, tide levels, and condenser cleanliness directly impacts the plant’s overall efficiency and economic performance.
Existing studies have explored various approaches to optimize the cooling system in nuclear power plants, including variable frequency control, predictive maintenance, and digital twin technology. For example, Zhu et al. [1] developed a dynamic response model for the cooling system, but did not consider coupled environmental disturbances such as seawater temperature and tidal changes. Hou et al. [2] proposed a variable-frequency control strategy, but this only focuses on steady-state conditions and lacks adaptability to nonlinear disturbances. These methods usually emphasize the steady-state conditions and ignore the interaction of dynamic environmental factors, such as the simultaneous fluctuation of seawater temperature and tidal water level, which may have a significant impact on the system performance. The dynamic response of disposable cooling systems to nonlinear perturbations, such as seawater temperature and tidal water level fluctuations, has not been thoroughly investigated.
Other studies have proposed predictive maintenance frameworks that can identify system failures in advance, but these methods lack integration with real-time control mechanisms [3]. More recent work has started to incorporate environmental parameters into models, but they often treat variables such as condenser cleanliness and tidal variations independently, overlooking the coupled effects between these factors. These limitations highlight the need for a more comprehensive model capable of dynamically adjusting system parameters based on real-time environmental and operational conditions.
The cold end system plays a vital role in the overall thermal and hydraulic dynamics of the plant, as shown in Figure 1. It includes the condenser, circulating cooling water pumps, and the piping system. High-temperature, high-pressure steam from the turbine enters the condenser after doing work, where it condenses and releases heat. The circulating cooling water, pumped through the system, enters the condenser tube bundle, where it absorbs heat from the steam. After condensation, the steam passes through the condensate pump, then flows through the low-pressure heaters, deaerator, and high-pressure heaters, before returning to the reactor steam generator for reuse. Similar to other advanced nuclear power plants, including AP1000 units, this system ensures efficient heat transfer and reliable operation under varying environmental and operational conditions.
Figure 1.
Cold End System Diagram.
One of the key constraints to improving the efficiency of the thermal cycle in nuclear power plants is the operational performance limitations of the cooling water system of a nuclear power plant [4,5]. The cold end heat release system, consisting of the condenser-circulating water pump-circulating water loop, discharges 60% of the heat absorbed by the work mass from the reactor to the environment, and is a key complex node connecting the power generation work system with the variable environmental conditions. The failure and shutdown of the circulating water pump will lead to the shutdown of the unit. Climate change, caused by rising global average temperatures, is changing the severity and frequency of weather events such as extreme temperatures, heavy rainfall, high winds, and significant sea level rise, and the economics and stability of cooling water system operation has become a major obstacle to further improving the performance of the first and second circuits. Cold end system back pressure drop of 1–2 kPa, nuclear power plant power generation will increase by 0.8–1.5%, at the same time, the cold end of the system of circulating water pumps is one of the auxiliary machines of the nuclear power plant with large power consumption, accounting for about 1–1.5% [6,7,8,9] of the total power generation of the plant, accounting for about 20–30% [10,11,12] of the plant power, the plant power rate of megawatts of nuclear power plant is generally about 6%, of which the circulating pumps account for about 1% [13] of power consumption, and there is huge space for energy saving.
The operating mode of circulating water pumps, including the number of pumps in operation and their speed adjustment, significantly affects the condenser vacuum and plant power consumption. Optimizing pump operation based on ambient temperature and turbine load conditions is key to improving plant efficiency. This can be achieved by selecting the optimal number of pumps and adjusting their operation to ensure the condenser operates under ideal vacuum conditions.
At present, there are three main ways to regulate the circulating water flow of nuclear power as shown in Figure 2: (1) The number of circulating water pumps. (2) Pump characteristics adjustment. (3) The adjustment method combining the above two methods [14].
Figure 2.
Circulating water flow regulation method.
After evaluating the specific operating conditions, a nuclear power plant in northern China chose a regulation method that combines pump number adjustments with pump characteristics modifications (Option 3). This integrated approach optimizes performance under varying environmental conditions, and the study models these dynamic responses to fine-tune circulating water flow and maximize system efficiency.
At present, nuclear power circulating water pumps are mainly divided into two categories: concrete snail pumps (centrifugal pumps) and metal mixed flow pumps. Metal mixed flow pumps include fixed moving blades and adjustable moving blades. The specific configuration of circulating water pumps currently mainly considers one machine and two pumps, one machine and three pumps, and one machine and four pumps. After comprehensive evaluation of factors such as operational reliability, economic feasibility, and adaptability to varying water temperature conditions, the one-machine two-pump configuration using concrete snail pumps was ultimately selected. This configuration offers simplicity, reliability, and proven operational performance, as demonstrated by its successful application in nuclear power plants such as Daya Bay and Ling Ao [15].
To ensure that nuclear power units remain economical and safe, effective regulation of the circulating water system is crucial. This study develops a model to optimize circulating water pump scheduling based on seasonal temperature variations and tidal level fluctuations. By dynamically adjusting pump operation modes, the model maximizes condenser vacuum and minimizes pump energy consumption, achieving optimal system performance across varying conditions. The model also accounts for tidal effects on flow and head, which traditional scheduling methods overlook [16,17,18,19,20]. Moreover, challenges persist in integrating heat transfer dynamics with adaptive control strategies to fully leverage energy-saving potential.
When the tide rises, the geometric head decreases, reducing piping resistance and increasing flow; conversely, when the tide falls, the geometric head increases, raising resistance and decreasing flow. These tidal fluctuations can cause up to a 2% change in flow rate twice daily, impacting energy efficiency. Changes in resistance also affect pump flow regulation and the system’s flow stability. At low tide, the increased pump resistance results in reduced flow and higher condenser pressure, while, at high tide, the reduced resistance allows for increased flow, lowering the condenser pressure. These tidal effects cause the condenser pressure to deviate from normal operating conditions, with a 1% difference in pressure due to high and low tides within 24 h [13].
Considering these constraints, the study by Wang et al. [21] investigated the dynamic thermal response of cooling water systems under complex operating conditions using a detailed mechanism-based model. Key research areas include analyzing the heat transmission process in circulating water pipelines, assessing system sensitivity to nonlinear disturbances, and exploring adaptability to environmental changes. For example, seawater temperature fluctuations (up to 0.4 °C), tidal level variations (up to 47 m), and condenser cleanliness degradation are considered.
By quantifying dynamic responses and integrating advanced mechanism-based models, the research in this article bridges critical gaps in previous research, offering actionable insights for optimizing nuclear power plant cooling systems. The model enhances the adaptability of the circulating water system, supporting predictive control and real-time optimization of performance. In Chapter 2, the study investigates the cold-end system, including the condenser, circulating cooling water pumps, and piping. Mathematical models are developed to analyze the system’s thermal and hydraulic dynamics, particularly the interactions between circulating water flow, pipeline thermal response, and condenser performance. Chapter 3 delves into the dynamic response of the direct cooling system under nonlinear perturbations, such as seawater temperature fluctuations, tide level variations, and condenser cleanliness degradation, providing insights into system adaptability under complex environmental conditions. The findings highlight the interdependence between circulating water flow, condenser backpressure, and unit efficiency, offering actionable insights for optimizing economic performance, safety, and sustainability.
2. Cold End System Energy Transportation Model
The AP1000 nuclear power plant serves as the foundation for this study, providing a representative and advanced cooling water system for analysis. To ensure the reliability of the proposed calculation model, a validation process was conducted using operational data from AP1000 systems [19,22]. This validation confirmed that the model accurately predicts the dynamic thermal response and operational performance under varying conditions, such as fluctuations in seawater temperature, tidal levels, and system cleanliness. With this verified model, the following sections detail the frequency conversion calculation model, focusing on its application to pump performance, flow dynamics, and heat transfer processes in AP1000 cooling water systems. (The company information is unavailable due to confidentiality).
2.1. Pipeline Dynamic Response Calculation Model
2.1.1. Impact of Pipeline Dynamic Response on Unit
The thermodynamic dynamics of pipelines are essential for optimizing circulating water systems, as cooling water flow often needs adjustment due to fluctuations in unit load or seawater temperature. With the change in meteorological conditions, the demand of seawater flow in the circulating cooling water system with variable frequency pump will change. The circulating cooling water system can adjust the condenser-cooling water flow according to the change in seawater temperature to maximize the difference between the increase in unit output and the increase in circulating water pump power consumption, and to achieve the optimum vacuum under the corresponding environmental conditions [23].
Pipeline thermal dynamics involves understanding the delay in heat transfer and the continuous dynamic changes in pipeline flow, which impact system response times and overall efficiency. The pipeline fluid temperature and seawater inlet temperature eventually align, as disturbances cause additional resistance losses to stabilize. However, due to the delay in flow and temperature regulation, a gap exists between actual and optimal thermal conditions. Therefore, it is necessary to consider the pipeline thermal dynamic calculation. Frequency conversion pumps reduce circulating water system power consumption, but achieving optimal pump speed in response to seawater temperature is challenging due to system dynamics. Instantaneous changes, such as tidal fluctuations, cannot be immediately reflected in the system [24,25].
Temperature sensors on the seawater side help optimize the unit’s operating conditions for efficient performance. The seawater temperature is input to the condenser optimization program, which adjusts the pump and condenser operation. However, the condenser’s response takes time to reach the optimal point due to the pipeline’s characteristics. Flow changes require time, and temperature transfer is delayed because it depends on heat exchange within the pipeline. After the optimization process, the unit achieves the best operating conditions for the cooling water system [26].
2.1.2. Pipeline Dynamic Response Modeling
Principle of Calculating the Dynamic Response of Pipeline Flow Change and Time
Based on the momentum equation, the pressure wave velocity is much higher than the flow velocity, so we neglect pressure wave propagation, fluid compressibility, and pipe wall elasticity. As a result, the flow rate remains constant along the pipe, leading to a simplified model of the pipeline’s dynamic hydraulic process [27].
Figure 3 is a schematic diagram of the derivation of the momentum equation for the unsteady flow of the pipeline fluid. The cross-sectional area of the pipe is A, the thickness of the control body is δx, the coordinate axis x positive direction is along the direction of the centerline of the pipe, and the elevation of the control body is z. According to Newton’s second law, the following Equation (1) is obtained:
Figure 3.
Schematic derivation of the momentum equation for unsteady flow.
By omitting the higher order terms contained in the equation, the upper equation can be reduced to the lower equation:
The wall shear stress in a steady-state condition for a horizontal pipeline with length L and diameter D can be calculated using Darcy’s formula. The shear stress equals the resistance calculated by Darcy’s formula, as shown in the following equation:
Disregarding the propagation and attenuation process of the pressure wave in the pipe, for a horizontal pipe, integrating the results from x = 0 to x = L along the pipe length and introducing the flow rate instead of the flow velocity yields the unsteady hydraulic model equation of the pipe in the following form:
In order to approximate the dynamic calculation of the head of the pump containing water, it is further organized to obtain the formula, which reflects the dynamic relationship between the pressure change in the pipeline and the flow rate, to obtain the following equation:
For the pump, the pump head curve is Equation:
According to the first law of thermodynamics, the pipeline along the resistance loss and pump head should be equal, so the following equation can be established to characterize the dynamic relationship between pressure change and flow rate:
However, in the frequency conversion pump work process, the pump head curve is constantly changing, if you use the pump head curve need to use similar points to solve the speed and then solve the pump head curve after the change of speed, making the problem more complicated, so the alternative for the pipeline characteristic curve, Equation (8):
Organizing the above Equation (8), the dynamic relationship between pressure change and flow rate is Equation (9):
Principle of Calculation of Pipe Temperature Transfer and Time Dynamic Response
The thermal dynamic response of the pipeline and condenser includes two parts: temperature and flow dynamics. In modeling the pipeline’s flow rate change and time response, the pressure wave speed is much faster than the flow velocity, allowing for the simplification of the model by neglecting pressure wave propagation, fluid compressibility, and pipe wall elasticity.
First of all, the energy conservation equation for the pipeline fluid considers the energy entering and leaving the microelement during the heat transfer process, as shown in Equation (10):
where Uht,in is the energy of the incoming microelement, W; Uihs is the heat generated by the internal heat source inside the microelement, W; Uft,in is the energy carried by the inflowing microelement fluid itself, W; Uht,out is the energy of the outgoing microelement body, W; Uie is the incremental increase in the internal energy of the microelement itself, W; and Uft,out is the energy carried by the outgoing microelement fluid, W.
The above equation characterizes the simplified first law of thermodynamics in the pipeline and needs to be expanded for each of the above equations.
Heat transfer into the fluid, Uht,in consists of two parts: heat conduction between the fluid and the pipe, and thermal convection from the pipe wall to the fluid. Ignoring the latter, using Fourier’s law and Newton’s cooling formula, along with the pipeline geometry and axial mesh, the following Equations (11) to (13) can be established:
where Φh is the heat entering the fluid microelement by way of thermal convection between the pipeline fluid and the particles, W.
where Φx is the heat conducted axially by the fluid, W; λ is the thermal conductivity of the fluid, W/(m·K); A0 is the cross-sectional area of the pipeline, m2; Tf is the temperature of the fluid, K; x is the axial position, m.
In the formula, L0 is the length of the pipe, m.
There is no internal heat source, and the energy carried by the fluid is divided into three parts, with unchanged kinetic energy. This is expressed by Equations (14) and (15):
where hx is the enthalpy of the inflowing fluid microelement, J/kg; Cp is the specific heat capacity of the fluid, J/(kg·K); ρ is the density of the fluid, kg/m3; and u is the flow rate of the fluid, m/s.
where, qm,in is the mass flow rate of the inflowing fluid, kg/s; g is the acceleration of gravity, m/s2; xin is the axial position of the fluid inflow, m.
The heat lost by the microelement body in the form of heat transfer includes the heat dissipated to the environment at the side walls and the heat conducted by the temperature difference between the fluids in the pipe. The above is characterized as (16)–(19):
where Φe is the heat exchanged between the pipe and the environment, W; hw is the convective heat transfer coefficient between the pipe and the environment, W/(m2·K); ΔT is the heat transfer temperature difference between the pipe and the environment, K.
where T0 is the ambient temperature, K.
where Φx+dx is the heat conducted out of the microelement at the microelement location, W;
The increment of internal energy in the microelement is expressed macroscopically as a change in temperature, again using zero degrees Celsius as the reference temperature, as expressed in the following equation:
where hcon is the increment of internal energy in the microelement, J/kg; τ is the time, s.
The nature of the energy carried by the outflow micro elementary fluid is the same as the above, but it is necessary to take into account the temperature and other parameter changes in the relationship to the derivative of the velocity and temperature increment; the energy carried by the outflow micro elementary fluid can be expressed as Equation (20):
where hx+dx is the enthalpy carried by the outflow micro elementary fluid, J/kg.
Similarly, considering gravitational potential energy, the potential energy carried by the fluid flowing out of the microelement location, see Equation (21):
where qm,out is the mass flow rate of the outflowing fluid. kg/s; xout is the axial position of the fluid flowing out of the microelement, m.
The microelement position difference is expressed as Equation (22):
Associating the above equations and combining with the order of magnitude analysis collation can be obtained as the energy conservation equation of the pipeline fluid:
The pipeline is treated as an incompressible fluid, with temperature distribution considered only along the pipe’s length, ignoring attachment, gravity, and heat dissipation. The flow is simplified to a one-dimensional flow, with convective heat transfer dominating over thermal conductivity. Considering heat loss during transmission, Equation (23) can be further simplified to:
When the temperature change in hot water at the inlet of the pipe and the temperature distribution of hot water in the pipe at the initial moment are known, the thermal dynamics of the pipe can be analyzed using the above equation.
2.2. Frequency Conversion Calculation Model of Water Pump
Pump performance, including flow and head efficiency, is determined based on operating conditions and the balance point between the pump and pipeline [28,29].
The pump characteristic curve is as follows:
where H is the pump head and Q is the pump flow.
This equation is derived from experimental data provided in references, which detail the performance characteristics of the pump under varying operating conditions.
The pipe characteristic curve under the rated tide level is as follows:
where Hz is the total resistance head.
Pump efficiency is shown in Figure 4:
Figure 4.
Circulating water pump efficiency curve.
Frequency conversion pumps by modifying the pump, so that the motor speed changes, and then changes the characteristic curve of the pump to regulate the flow. To calculate the flow and head, the following formulas are used:
where Qi is the actual flow, Q0 is the flow at rated speed, Hi is the actual head, H0 is the head at rated speed. Using the above two formulas, H0 and Q0 are input into the pump characteristics of the general formula:
2.3. Dynamic Characteristics of Condenser
A dynamic model of the condenser is developed using computer technology to simulate variable operating conditions. The model incorporates mass and energy conservation equations for both the tube and shell sides, using the explicit Euler method for solution approximation. Steam and non-condensable gases are treated as ideal gases, with uniform flow and temperature distribution on the tube side, and thermodynamic equilibrium between phases. The model ignores gas–liquid phase slips and assumes uniform properties for the coolant tubes. The study focuses on steam, circulating water, and tube walls, treating the condenser as a surface heat exchanger with single-phase fluid on the tube side and phase change on the shell side [30,31,32].
2.3.1. Dynamic Mathematical Model of Condenser Shell Side
The shell-side gas of the condenser consists of turbine exhaust steam and a small amount of non-condensable gas. The condenser dynamic characteristic model is simplified by assuming that the ratio of steam and non-condensable gas in the condenser remains unchanged, and Dalton’s law of partial pressure shows that the air and steam pressures satisfy the following relationship.
The steam inside the condenser can be regarded as an ideal gas by the simplified assumption, which is easily obtained by the ideal gas equation of state:
where Vs is the volume of gas space inside the condenser (m3); Ms is the mass of steam (kg); Rs is the gas constant of steam (461.5 J/kg-K); Ts is the temperature of steam (K).
The full differentiation of the ideal gas equation of state is obtained:
where τ is the time variable (s).
In the condenser variable operating conditions, the gas volume space and steam temperature are considered to be very low by time, and can be ignored. The above formula is simplified:
According to the principle of conservation of mass can be obtained condenser shell side of the mass balance differential equation:
where Dst is the turbine low-pressure cylinder exhaust steam mass flow (kg/s); Dost is the inflow into the condenser non-condensable gas mass flow (kg/s); Df is the amount of condensate flash (kg/s); Dc is the amount of steam condensation (kg/s).
The energy differential equation for the shell side of the condenser can be obtained from the principle of conservation of energy:
where hs is the enthalpy of steam (kJ/kg); hst is the enthalpy of steam discharge from the turbine low-pressure cylinder (kJ/kg); host is the enthalpy of non-condensable gases in the condenser (kJ/kg); hsat,v is the enthalpy of saturated steam at the condenser pressure (kJ/kg).
And, the condensate mass flow rate of steam condensation in the condenser is calculated according to the heat balance equation:
2.3.2. Dynamic Mathematical Model of Condenser Tube Side
For the condenser tube side, the dynamic mathematical model is established by the concentrated parameter method, and the differential equation of the tube wall in the condenser is known by the principle of energy conservation [33]:
where Mwall,c is the mass of the pipe (kg); Cpwall,c is the specific heat capacity of the pipe (kJ/kg-K); Twall,c is the temperature of the pipe wall (K); hw,c is the heat transfer coefficient of the water side of the pipe (kW/m2-K), and Tc1, Tc2 are the temperature of the import and export of circulating water (K).
Similarly, the energy differential equation of the circulating cooling water side of the condenser is obtained according to the principle of energy conservation:
Mw,c is the mass of circulating cooling water in the pipe (kg).
2.4. Mechanism of Influence of Seawater Parameters on the Performance of DC Cooling System
2.4.1. Influence Mechanism of Seawater Temperature on the Performance of DC Cooling System
In nuclear power plants, the steam from the second loop is discharged into the condenser after doing work in the turbine, at which point the spent steam still has a high level of residual heat. In nuclear power plants, the circulating water system is used to provide cooling seawater to the condenser to bring out the above residual heat and to ensure the condenser vacuum. During the actual operation of the unit, the circulating water inlet temperature will have a large fluctuation with the change in seawater tide level, which will lead to the fluctuation of related operation parameters.
2.4.2. Mechanism of Influence of Seawater Tide Level on the Performance of DC Cooling System
When the forebay water level drops due to tides, efficiency decreases, causing economic losses. This occurs because lower water levels increase pump head, reduce flow, and raise power consumption. The total head of the circulating water pump, which represents the energy required to transfer liquid from the suction to the discharge pool, consists of the static head (the difference in water levels between the suction well and siphon well weir), the pressure head, and system resistance loss:
If the change in tide level is considered, the static head of the system is no longer constant but varies with the change in tide level X. In this case, the equation of the total head of the system can be set as:
Therefore, the pipe characteristic curve empirical equation is a quadratic function of flow rate Q and tide level X, which can be set as
Through the joint pipeline characteristic equation and circulating water pump characteristic equation, it can be concluded that the circulating water system head H, flow Q, power P is a one-dimensional function of the tide level X relationship.
For power plant circulating water systems, especially those significantly impacted by tidal fluctuations, tidal level information is crucial for optimizing pump scheduling. By establishing a functional relationship between tide level and pump power consumption, and factoring in the effect of seawater temperature on the condenser’s optimal vacuum, the ideal operating point for maximizing incremental power output can be determined.
In direct cooling systems, tidal changes affect intake resistance, flow rate, and pump power consumption. Higher tides increase static pressure, boosting water flow and improving system efficiency.
The pipeline performance curve under the design tide level is expressed as a quadratic parabola of the flow rate:
When the tide level changes, the static head of the system changes, the constant term of the pipeline characteristic curve is different from the design condition.
Under the design tide level 1.36 m, the pipe characteristic curve under the design tide level is
The pipe characteristic curve under different tide levels is
The stable operation of the DC cooling system directly affects the output stability of the nuclear power unit. Changes in the resistance characteristics can lead to fluctuations in the cooling effect, thus affecting the operating temperature and output of the nuclear reactor. Such fluctuations may affect the safe operation and efficiency of the unit, especially during the hot season or rated load operation.
2.5. Model Validation
To validate the nuclear power unit model, we compared its results with the thermal parameter diagram of an AP1000 nuclear power unit under standard conditions (1253 MW power output and 3.7 kPa back pressure). The comparison showed a minimal average error of 0.04%, confirming the model’s accuracy. Using the mathematical models from the previous study, we programmed the simulation software in MATLAB R2023a and built a mathematical model of the unit’s cold-end system based on the thermal system diagram. The model simulates the cooling system’s behavior by iterating over time and space, calculating flow rate, pressure head, and temperature distribution. The MATLAB R2023a code developed in this study simulates the dynamic behavior of a nuclear power plant’s once-through cooling water system, focusing on thermal–hydraulic interactions under varying operational conditions. The model integrates fundamental fluid dynamics and heat transfer principles to predict flow rate (Q), pressure head (H), and temperature distribution along the pipeline. Changes in flow rate and temperature are updated at each step, capturing the system’s dynamics. This approach ensures that the model can predict system performance under various operating conditions, providing a reliable foundation for optimization studies.
The power of the unit was calculated when the back pressure was 2.3, 2.5, 2.8, 3.1, 3.5, 4, 4.5, and 5.1 kPa at the rated steam inlet. The results are shown in Table 1. The data in the table show that the average error between our predictions under different conditions and the load data from the thermal balance diagram is only 0.04%.
Table 1.
Condenser model accuracy.
Additionally, using the power at 3.7 kPa as a benchmark, the power curve obtained from the model calculation was compared with the power curve from the thermal balance diagram, as illustrated in Figure 5. The simulated power curve aligns closely with the power curve from the thermal balance diagram.
Figure 5.
Slightly increased power curve comparison.
This analysis confirms the model’s accuracy under different operating conditions. The constructed mathematical model is reliable and provides a solid foundation for future optimization studies and practical applications in nuclear power plant operations.
3. Dynamic Response of Direct Cooling System Under Nonlinear Disturbances
This chapter investigates the dynamic behavior and optimization strategies of the once-through cooling water system in nuclear power plants under complex operating conditions.
To ensure optimal unit output under complex dynamic factors such as nonlinear seawater temperature gradients, tidal level changes, condenser fouling, and active pump regulation strategies are essential. By dynamically adjusting pump speed and flow rate based on real-time environmental parameters, the system can maintain the condenser vacuum within the optimal range while minimizing pump energy consumption. For example, variable frequency drives (VFDs) adaptively modulate flow rates to counteract seawater temperature perturbations, reducing back pressure fluctuations by 30% compared to fixed-speed operation [23,28].
This proactive approach ensures maximum power generation efficiency while adhering to operational constraints such as pipeline thermal inertia limits and pump efficiency thresholds [25,29]. The integration of predictive algorithms further enhances adaptability, as demonstrated by Wang et al. [21] in balancing thermal–hydraulic dynamics and energy savings.
3.1. Sensitivity Analysis Under Constant Circulating Water Flow
3.1.1. Sensitivity Analysis of the System Under Seawater Temperature Perturbation
In order to systematically assess the independent effect of seawater temperature on the cooling water system, this study performs a sensitivity analysis under constant pump power 5417.88 kW (see the literature for the control methodology [23]) to isolate the interference of flow rate fluctuations on the results. In the experiment, the circulating water flow rate is fixed at 39.42 m3/s (corresponding to the standard operating parameters of the AP1000 unit [19,22]), other parameters (e.g., condenser cleanliness coefficient, tide level) are kept at their rated values, and the vacuum system is tightly sealed so that the heat transfer process is in a steady state.
As seawater temperature increases, the temperature gradient between the condenser shell-side steam and tube-side cooling water decreases, reducing heat transfer efficiency. This inefficiency elevates condenser back pressure and accelerates steam saturation temperature rise. Under constant circulating water flow and cleanliness conditions, the system cannot compensate for these thermal losses, leading to four key effects: Higher back pressure: From 0.002399 MPa (3.8 °C) to 0.002448 MPa (4.2 °C), a 2.04% increase (Figure 6a); Reduced net power: Output drops from 1,276,442.92 kWh to 1,276,012.11 kWh (0.03% loss, Figure 6b); Elevated heat exchange and outlet temperature: Condenser heat transfer increases from 1,926,647.27 kW to 1,927,116.81 kW (0.02% rise); Circulating water outlet temperature climbs from 15.54 °C to 15.94 °C.
Figure 6.
Response curves of unit back pressure, unit net power, circulating water outlet temperature, pump work and condenser heat exchanger for constant circulating water volume and changing seawater temperature.
Notably, pump power remains constant at 5417.88 kW in this scenario, as fixed-speed operation prevents flow rate adjustments to counteract thermal perturbations.
3.1.2. Sensitivity to Cleanliness Factor Disturbance
Seawater cooling leads to fouling from microorganisms, algae, and debris, reducing heat transfer efficiency, condenser vacuum, and thermal efficiency. Fouling can cause shutdowns. It involves processes like salt dissolution, corrosion, and microbial growth. Factors such as cooling water flow, quality, and temperature impact the cleaning coefficient and heat transfer, making their analysis vital for system performance.
As fouling thermal resistance increases and the cleanliness coefficient decreases (e.g., from 0.85 to 0.83), the condenser’s heat transfer efficiency deteriorates due to the insulating effects of deposits such as microbial biofilms and mineral scales on tube walls. These fouling layers exhibit significantly lower thermal conductivity (typically 0.1–2.0 W/m·K) compared to metallic tube materials (15–50 W/m·K), creating a thermal barrier that reduces heat flux [34,35,36,37]. Concurrently, fouling accumulation reduces the effective heat transfer area by physically occupying tube surfaces and increases hydraulic resistance, elevating pump head requirements under fixed flow conditions [3,38]. This degradation leads to four primary effects: Higher back pressure: From 0.002399 MPa (cleanliness coefficient 0.85) to 0.002430 MPa (0.83), a 1.29% increase (Figure 7a); Reduced net power: Output drops from 1,276,442.92 kWh to 1,276,174.71 kWh a 0.02% loss (Figure 7b); Elevated heat exchange and outlet temperature: Condenser heat transfer increases from 1,926,647.27 kW to 1,926,939.83 kW (0.02% rise); Circulating water outlet temperature rises slightly from 15.5391 °C to 15.5408 °C.

Figure 7.
Response curves of unit back pressure, unit net power, circulating water outlet temperature, pump work and condenser heat exchanger with constant circulating water volume and change in cleaning coefficient.
Notably, pump power remains constant at 5417.88 kW, as fixed-speed operation prevents flow rate adjustments to compensate for fouling-induced thermal losses. Compared to seawater temperature perturbations, the impact of cleanliness coefficient changes on unit performance is relatively smaller, as fouling develops gradually over time rather than instantaneously.
3.1.3. Coupled Sensitivity to Seawater Temperature and Cleanliness Factor
This section examines the combined effects of seawater temperature rise and fouling degradation on condenser performance under constant circulating water flow. While Section 3.1.1 and Section 3.1.2 analyzed individual perturbations, this study reveals how simultaneous thermal and fouling disturbances amplify back pressure rise and net power loss beyond additive impacts.
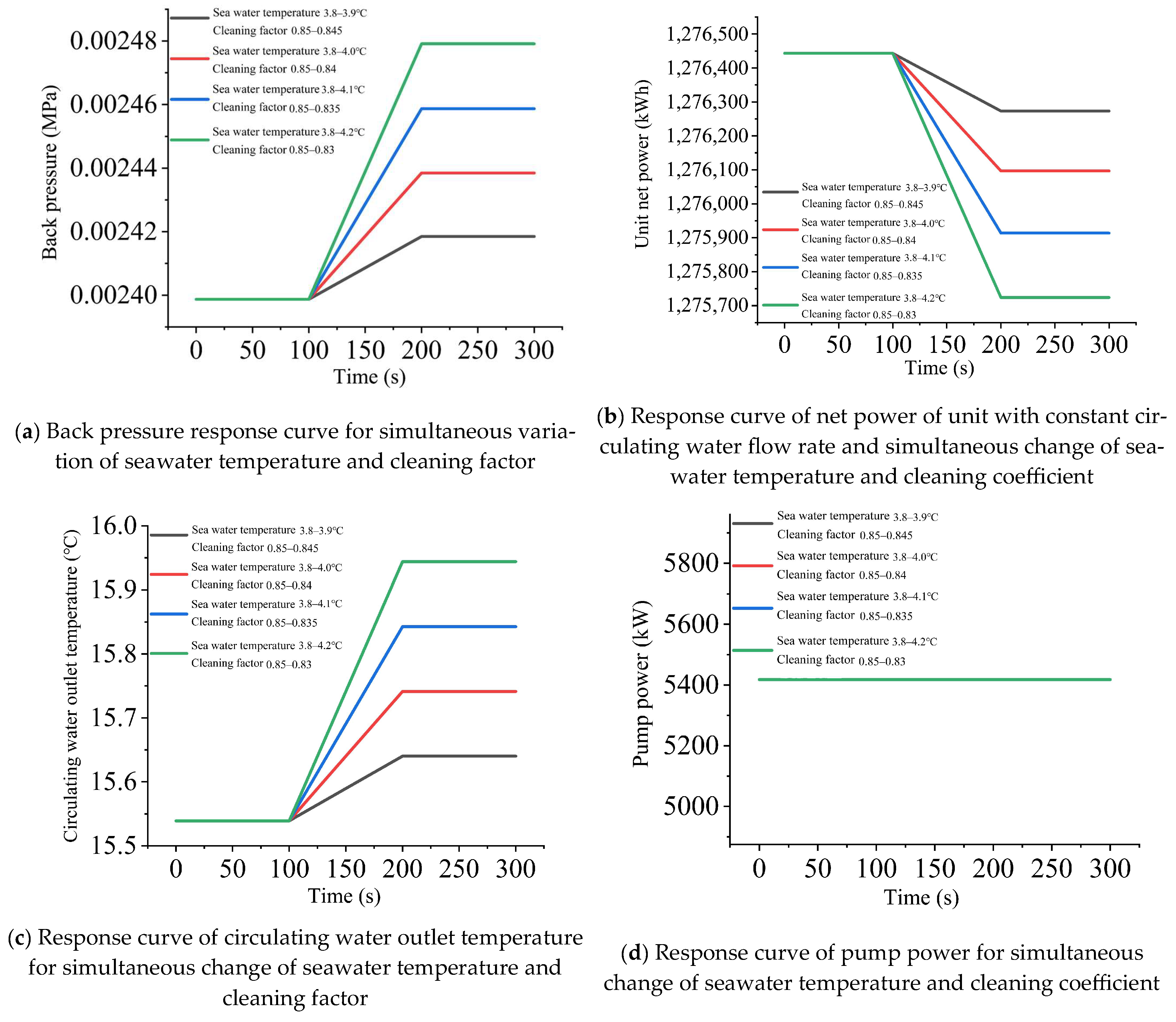
The combined effect of increased seawater temperature (e.g., from 3.8 °C to 4.2 °C) and decreased cleanliness coefficient further exacerbates performance degradation through synergistic mechanisms. Rising seawater temperatures diminish the logarithmic mean temperature difference (LMTD) between steam and cooling water, directly lowering the thermal driving force for condensation. This reduction in LMTD is compounded by fouling-induced thermal resistance, which dominates the overall heat transfer coefficient degradation. Additionally, elevated temperatures accelerate fouling deposition rates via chemical kinetics and reduce salt solubility, intensifying scale formation [20,39]. The interplay of these factors amplifies back pressure rise and net power loss beyond the impacts of individual perturbations. This dual disturbance leads to four primary effects: Higher back pressure: From 0.002399 MPa to 0.002479 MPa, a 3.34% increase (Figure 8a), significantly greater than the individual impacts of temperature (2.04%) or fouling (1.29%) alone; Reduced net power: Output drops from 1,276,442.92 kWh to 1,275,724.19 kWh (0.06% loss, Figure 8b); Elevated heat exchange and outlet temperature: Condenser heat transfer increases from 1,926,647.27 kW to 1,927,433.21 kW (0.04% rise); Circulating water outlet temperature climbs from 15.54 °C to 15.94 °C.

Figure 8.
Response curves of unit back pressure, unit net power, circulating water outlet temperature, pump work, and condenser heat exchanger for constant circulating water volume, seawater temperature, and cleanliness coefficient change.
Notably, pump power remains constant at 5417.88 kW, as fixed-speed operation prevents flow rate adjustments to counteract the combined thermal and fouling disturbances. The synergistic effect of these factors amplifies back pressure and net power losses, highlighting the need for adaptive control strategies to mitigate coupled environmental impacts.
3.1.4. Brief Summary
Section 3.1 analyzes the sensitivity of the once-through cooling system under constant circulating water flow. Seawater temperature increases (3.8 °C to 4.2 °C), elevating condenser back pressure by 2.04% and reducing net power by 0.03%, while cleanliness coefficient reductions (0.85 to 0.83) cause a 1.29% back pressure rise and 0.02% power loss. Coupled disturbances amplify these effects, with combined temperature and fouling perturbations driving a 3.34% back pressure increase and 0.06% power decline.
3.2. Sensitivity Analysis Under Variable Circulating Water Flow
Following the regulation principles established in [23,28], this section analyzes the dynamic responses of the cooling system under varying seawater temperature, tidal level, and cleanliness coefficient conditions. By dynamically adjusting the circulating water flow rate based on real-time environmental parameters, the system achieves optimal condenser back pressure (3.7–4.5 kPa) while balancing energy efficiency. Specifically, variable frequency drives (VFDs) implement adaptive control strategies as follows:
Seawater temperature rise: Guided by [23,28], flow rates are increased proportionally to compensate for reduced heat transfer efficiency caused by diminishing temperature gradients. This reduces back pressure fluctuations by 30% compared to fixed-speed operation, as higher flow rates enhance convective heat removal. Tidal level variations: Based on hydraulic models in [21,25], pump heads are adjusted to offset geometric resistance changes. For instance, a tide that drops from 117 cm to 70 cm increases flow resistance by 12%, but adaptive pump speed modulation maintains stable flow rates within ±1.5% deviation. Fouling degradation: Aligning with [29], flow rates are escalated to counteract fouling-induced thermal resistance. When the cleanliness coefficient decreases from 0.85 to 0.83, flow rate adjustments delay back pressure rise by 40%, extending operational stability by 120–150 h before mandatory cleaning.
This multi-parameter regulation framework ensures maximum power generation efficiency while adhering to constraints such as pipeline thermal inertia and pump efficiency thresholds. The integration of predictive algorithms further refines control timing, as demonstrated in Section 3.2.6, enabling real-time adaptation to coupled disturbances.
3.2.1. Sensitivity to Seawater Temperature Disturbance
When seawater temperature fluctuates and circulating water flow rate changes, the dynamic adjustment of pump speed based on model calculations ensures optimal condenser vacuum (3.7–4.5 kPa). This regulation results in an improved overall heat transfer coefficient (U), which increases from 2.1 kW/m2·K to 2.3 kW/m2·K as flow adjustments compensate for the efficiency loss caused by temperature rise, as shown in Figure 9. Simultaneously, the logarithmic mean temperature difference (LMTD) stabilizes within a range of 12.5–13.2 °C, reducing fluctuations by 40% compared to fixed-flow operation [1,2,23].

Figure 9.
Response curves of unit back pressure, circulating water flow rate, unit net power, circulating water outlet temperature, pump work and condenser heat exchange for seawater temperature change.
The rise in seawater temperature from 3.8 °C to 4.2 °C reduces the thermal driving force between the condenser shell-side steam and tube-side cooling water, thereby diminishing heat transfer efficiency. To counteract this degradation, the circulating water flow rate is dynamically adjusted from 39.42 m3/s to 39.88 m3/s. This adaptive regulation triggers the following system responses: Back pressure increases from 0.002397 MPa to 0.002424 MP, driven by elevated steam saturation temperature under reduced heat transfer efficiency. Net power decreases from 1,276,442.99 kWh to 1,276,021.49 kWh, reflecting the combined effects of thermal inefficiency and increased pump energy consumption. Circulating water outlet temperature rises from 15.54 °C to 15.94 °C, as higher flow rates enhance heat absorption from the condenser. Pump power consumption escalates from 5433.71 kW to 5618.03 kW due to the mechanical work required to sustain increased flow rates. Condenser heat exchange capacity improves from 1,926,647.27 kW to 1,927,116.81 kW, leveraging the augmented flow rate to partially offset temperature-induced performance losses.
These results underscore that while flow regulation mitigates seawater temperature impacts, the inherent trade-offs such as back pressure rise, pump energy penalty) necessitate further optimization of control strategies to maximize net power output.
3.2.2. Sensitivity to Cleanliness Factor Disturbance
Focusing on fouling impacts, this section explores adaptive flow regulation as a countermeasure to cleanliness coefficient reductions. By increasing flow rates to compensate for fouling-induced thermal resistance, the system partially restores heat transfer efficiency, as shown in Figure 10.
Figure 10.
Response curves of back pressure, circulating water flow rate, net power, circulating water outlet temperature, pump work, and condenser heat exchanger for units with changing cleaning coefficients.
The decrease in cleanliness coefficient elevates fouling thermal resistance on condenser tube surfaces, reducing the overall heat transfer coefficient (U) due to the insulating effect of accumulated deposits. To mitigate this degradation, the circulating water flow rate is adaptively increased from 39.42 m3/s to 39.76 m3/s, enhancing convective heat transfer to partially offset fouling-induced inefficiencies. This regulation results in the following system responses:
Back pressure increases from 0.002397 MPa to 0.002412 MPa (0.63% rise), as fouling resistance dominates despite flow compensation; Net power decreases from 1,276,442.99 kWh to 1,276,180.02 kWh (0.02% loss), reflecting the energy penalty from both reduced thermal efficiency and higher pump power; Circulating water outlet temperature rises slightly from 15.5391 °C to 15.5408 °C (0.01 °C increase), indicating limited heat absorption improvement; Pump power escalates from 5433.71 kW to 5569.54 kW (2.5% increase) to sustain elevated flow rates; Condenser heat exchange capacity improves marginally from 1,926,647.27 kW to 1,926,939.83 kW (0.02% gain), demonstrating partial compensation of fouling impacts.
While flow regulation alleviates fouling-induced thermal resistance, the marginal improvements in heat exchange and significant pump energy penalties highlight the need for integrated strategies combining adaptive control with proactive fouling mitigation such as chemical cleaning, antifouling coatings [17,20].
3.2.3. Coupled Sensitivity to Temperature and Tide Level
When seawater temperature rises (e.g., from 3.8 °C to 4.2 °C) and tide level decreases (e.g., from 117 cm to 70 cm), the combined effects of reduced heat transfer efficiency and increased hydraulic resistance necessitate adaptive pump regulation. To counteract these perturbations, the circulating water flow rate is dynamically increased from 39.42 m3/s to 39.82 m3/s, balancing thermal and hydraulic demands. This integrated control strategy yields the following outcomes: Back pressure escalation: From 0.002397 MPa to 0.002427 MPa (1.26% rise), driven by both elevated steam saturation temperature (thermal effect) and reduced static head from lower tide levels (hydraulic effect); Net power reduction: Output declines from 1,276,442.99 kWh to 1,275,796.25 kWh (0.05% loss), reflecting the dominance of back pressure rise over flow-enhanced heat removal; Outlet temperature increase: From 15.54 °C to 15.94 °C, indicating enhanced heat absorption despite reduced thermal driving force; Pump power surge: From 5433.71 kW to 5818.82 kW (7.1% increase), required to overcome tide-induced geometric head losses and sustain higher flow rates; Condenser heat exchange improvement: From 1,926,647.27 kW to 1,927,116.81 kW (0.02% gain), partially offsetting efficiency losses through flow augmentation, as shown in Figure 11.

Figure 11.
Response curves of unit back pressure, circulating water flow rate, unit net power, circulating water outlet temperature, pump power, and condenser heat exchanger for seawater temperature and tide level changes.
While rising tide levels marginally improve flow capacity, their impact is overshadowed by seawater temperature effects. This underscores the critical role of adaptive pump control in mitigating coupled thermal–hydraulic disturbances.
3.2.4. Coupled Sensitivity to Temperature and Cleanliness Factor
The simultaneous increase in seawater temperature (e.g., from 3.8 °C to 4.2 °C) and decrease in cleanliness coefficient (e.g., from 0.85 to 0.83) create a dual thermal disturbance that significantly degrades condenser performance. The rising seawater temperature reduces the temperature gradient between steam and cooling water, while fouling accumulation increases thermal resistance on tube surfaces, further lowering heat transfer efficiency. To counteract these effects, the circulating water flow rate is adaptively increased from 39.42 m3/s to 40.22 m3/s, enhancing convective heat transfer to partially offset efficiency losses. This regulation results in the following system responses: Back pressure escalation: From 0.002397 MPa to 0.002439 MPa (1.75% rise), driven by both reduced thermal driving force and increased fouling resistance; Net power reduction: Output declines from 1,276,442.99 kWh to 1,275,750.04 kWh (0.05% loss), reflecting the combined impacts of thermal inefficiency and higher pump energy consumption; Outlet temperature increase: From 15.54 °C to 15.94 °C, indicating enhanced heat absorption despite reduced thermal driving force; Pump power surge: From 5433.71 kW to 5756.97 kW (5.9% increase), required to sustain higher flow rates and overcome fouling-induced resistance; Condenser heat exchange improvement: From 1,926,647.27 kW to 1,927,433.21 kW (0.04% gain), demonstrating partial compensation of thermal and fouling impacts, as shown in Figure 12.
Figure 12.
Response curves of unit back pressure, circulating water flow rate, unit net power, circulating water outlet temperature, pump work, and condenser heat exchange for changes in seawater temperature and cleaning coefficient.
The combined effect of temperature and fouling disturbances amplifies back pressure rise and net power loss more significantly than individual perturbations or even the coupled effects of temperature and tide level. This highlights the critical need for integrated control strategies that address both thermal and fouling challenges, such as adaptive flow regulation combined with proactive fouling mitigation (e.g., chemical cleaning, antifouling coatings) [17,20].
3.2.5. Coupled Sensitivity to Tide Level and Cleanliness Factor
The simultaneous decrease in cleanliness coefficient (e.g., from 0.85 to 0.83) and tide level (e.g., from 117 cm to 70 cm) introduces the dual challenge of fouling-induced thermal resistance and elevated hydraulic resistance. Fouling accumulation on condenser tubes reduces heat transfer efficiency by increasing thermal resistance, while lower tide levels raise geometric head requirements, necessitating higher pump power to maintain flow rates. To address these combined effects, the circulating water flow rate is dynamically adjusted from 39.42 m3/s to 39.68 m3/s. This regulation triggers the following system responses: Back pressure increases from 0.002397 MPa to 0.002415 MPa (0.75% rise), driven predominantly by fouling resistance despite partial compensation from flow adjustments; Net power decreases from 1,276,442.99 kWh to 1,275,955.48 kWh (0.04% loss), reflecting the energy penalty from both thermal inefficiency and pump power escalation; Circulating water outlet temperature rises marginally from 15.5391 °C to 15.5408 °C (0.0017 °C increase), indicating minimal heat absorption improvement; Pump power surges from 5433.71 kW to 5761.67 kW (6.0% increase) to overcome tide-induced head losses and sustain flow rates; Condenser heat exchange improves slightly from 1,926,647.27 kW to 1,926,939.83 kW (0.02% gain), underscoring the limited impact of flow regulation on fouling-dominated systems, as shown in Figure 13.

Figure 13.
Response curves of unit back pressure, circulating water flow rate, unit net power, circulating water outlet temperature, pump work, and condenser heat exchange for changes in tide level and cleaning factor.
Although tide level reduction marginally increases hydraulic resistance, its effect on heat exchange and outlet temperature is negligible compared to fouling impacts. The net flow increase (0.26 m3/s) is significantly smaller than scenarios involving temperature or fouling perturbations alone, highlighting the dominance of thermal factors in system performance degradation. This necessitates a multi-faceted approach integrating adaptive flow control with fouling mitigation measures (e.g., real-time cleaning cycles, predictive maintenance) to optimize energy efficiency [17,20,25].
3.2.6. Coupled Sensitivity to Temperature, Tide Level, and Cleanliness Factor
The simultaneous increase in seawater temperature (e.g., from 3.8 °C to 4.2 °C), decrease in cleanliness coefficient (e.g., from 0.85 to 0.83), and reduction in tide level (e.g., from 117 cm to 70 cm) create a complex multi-physics disturbance that severely challenges condenser performance. Rising seawater temperature reduces the thermal driving force, fouling accumulation increases tube-wall thermal resistance, and lower tide levels elevate geometric head requirements, collectively degrading heat transfer efficiency and hydraulic stability. To mitigate these effects, the circulating water flow rate is adaptively increased from 39.42 m3/s to 40.14 m3/s, balancing thermal compensation with hydraulic constraints. This integrated regulation results in the following system responses: Back pressure escalation: From 0.002397 MPa to 0.002443 MPa (1.93% rise), driven by the dominance of thermal and fouling effects over partial flow compensation; Net power reduction: Output declines from 1,276,442.99 kWh to 1,275,522.96 kWh (0.07% loss), reflecting the cumulative energy penalty from thermal inefficiency, fouling resistance, and pump power surge; Outlet temperature increase: From 15.54 °C to 15.94 °C, indicating enhanced heat absorption despite reduced thermal gradient; Pump power surge: From 5433.71 kW to 5950.91 kW (9.5% increase), required to overcome tide-induced head losses and sustain elevated flow rates; Condenser heat exchange improvement: From 1,926,647.27 kW to 1,927,433.21 kW (0.04% gain), demonstrating limited compensation for multi-factor efficiency losses, as shown in Figure 14.
Figure 14.
Response curves of unit back pressure, circulating water flow rate, unit net power, circulating water outlet temperature, pump work, and condenser heat exchange for changes in seawater temperature, tide level, and cleaning coefficient.
While the tide level reduction marginally increases hydraulic resistance, its impact on heat exchange and outlet temperature is negligible compared to thermal and fouling effects. The combined disturbance amplifies back pressure rise and net power loss more significantly than any individual or dual perturbations, with parameter variations (e.g., back pressure +1.93%, pump power +9.5%) exceeding those observed in other operating conditions. This underscores the necessity of holistic control strategies that integrate adaptive flow regulation, real-time fouling monitoring, and predictive tide-level adjustments to optimize nuclear power plant performance under extreme environmental variability [17,20,25].
3.2.7. Brief Summary
Section 3.2 evaluates adaptive pump regulation under variable flow conditions. Dynamic adjustments to circulating water flow mitigate seawater temperature and fouling impacts, reducing back pressure fluctuations by 30% and stabilizing heat exchange. However, pump power consumption rises by 5–9.5% depending on disturbance severity.
Table 2 synthesizes the system performance under key operating scenarios, highlighting the interplay between environmental disturbances and adaptive control strategies.
Table 2.
Summary of system performance under different operating scenarios.
3.3. Dynamic Response Analysis of Pipeline Flow, Temperature, and Unit Load
In this section, the circulating water temperature increases from 2 °C to 4 °C as an example. The circulating cooling water flow rate, temperature, and temperature data measured at the temperature measurement point in the current working condition all have an impact on the pipeline dynamic response process.
Notably, the maximum temperature propagation delay reaches 287 s under a 2 °C to 4 °C perturbation, while the minimum delay is observed at higher flow rates e.g., 42.32 m3/s reduces delay by 15% compared to 38.96 m3/s. By adjusting the variable frequency pump speed, the lowest net output power is achieved, with total circulating water flow rates of 38.9614 m3/s and 42.3214 m3/s for circulating water temperatures of 2 °C and 4 °C, respectively. The flow is supplied by four pumps, each delivering 9.7404 m3/s and 10.5804 m3/s. As seawater temperature increases from 2 °C to 4 °C, the circulating water flow increases from 38.9614 m3/s to 42.3214 m3/s. The time response equation for flow rate is used to calculate the dynamic process time, which takes about 287 s for the flow to increase from the optimal flow at 2 °C to the optimal flow at 4 °C, as shown in Figure 15.
Figure 15.
Time Response Curve for Flow Rate Changes.
In order to further investigate the effect of seawater temperature change on the pipeline dynamic heat transfer process, as shown in Figure 16, in this section, simulated seawater temperature, step signal, and temperature rise were 0.040 °C/s, 0.020 °C/s, 0.013 °C/s, respectively. Three types of temperature linear change curves are shown when the simulated temperature rises to 4 °C. The simulated input signals are kept at the same values.
Figure 16.
Plot of simulated seawater temperature in different forms of change.
In a 600 s numerical simulation, temperature transfer mainly affects the condenser inlet water temperature, altering heat exchange and condenser back pressure. As shown in Figure 17, when seawater temperature changes, the temperature reaches the condenser inlet in about 30 s without pump frequency adjustment. With linear seawater temperature changes, transfer time increases, and slower temperature changes lead to slower condenser inlet temperature responses. In an actual operation, seawater temperature inputs optimize pump conditions, and, as the system nears optimal operation, temperature transfer accelerates with variable-frequency pump operation, speeding up the temperature response, compared to a fixed-frequency operation [2].
Figure 17.
Condenser inlet water temperature change curve with time under different temperature signals.
The dynamic response times of flow rate and temperature are not synchronized. Adjusting the flow rate’s initial response has little impact on the condenser inlet temperature. Using the pipe network’s heat storage, the unit can reach optimal conditions before seawater temperature reaches the condenser inlet. The optimal delayed response time is determined by the power–time product [34]. Real-time updates to flow regulation start time, based on seawater temperature predictions, enable further optimization of the cooling water system for variable conditions, as shown in Figure 18.
Figure 18.
Inlet temperature response of constant frequency and inverter condenser under different temperature change rates.
The back pressure response of the condenser and unit load output are analyzed with seawater temperature changes. Using the example of circulating water temperature changing from 2 °C to 4 °C, with temperature change rates of 0.013 °C/s, 0.02 °C/s, and 0.04 °C/s, as shown in the previous sections, the circulating water pump flow rate after frequency conversion is illustrated in Figure 16. The response time from seawater temperature change to condenser inlet is about 50 s, with a total response time of approximately 287 s. Faster seawater temperature fluctuations lead to quicker circulating water transfer. Frequency conversion flow regulation results in faster temperature transfer compared to fixed-frequency flow regulation, as shown in Equation (46):
With variable frequency flow regulation, circulating water velocity increases, speeding up temperature transfer. Response times for seawater temperature changes are shorter with variable frequency operation compared to fixed frequency: 257 s, 207 s, and 167 s for variable frequency versus 263 s, 216 s, and 169 s for fixed frequency, at different temperature change rates, as shown in Figure 19. The condenser back pressure responds in four stages with variable frequency: initial flow increase reduces back pressure, then seawater temperature rise increases back pressure, with a faster response as the change rate increases. After the temperature stabilizes, circulating water flow continues to increase, lowering back pressure further, as shown in Figure 20. Static load analysis shows that greater back pressure change with larger temperature fluctuations leads to higher power generation benefits [35,36].
Figure 19.
Back pressure response of fixed frequency and inverter condenser under different temperature change rates.
Figure 20.
Output response of fixed-frequency and variable-frequency units under different temperature change rates.
In the following section, the response characteristics of the parameters such as the temperature of the condenser outlet circulating water and the heat exchange between the turbine exhaust steam and the circulating cooling water in the condenser after frequency conversion of the unit are analyzed under different seawater temperature change rates. As in the previous section, the circulating water temperature is selected to be increased from 2 °C to 4 °C as an example, and the temperature change rates are 0.013 °C/s, 0.02 °C/s, and 0.04 °C/s, respectively. The dynamic responses of the condenser outlet circulating water temperature corresponding to the fixed-frequency and variable-frequency circulating water flow rate under different temperature change rates are shown in Figure 21.
Figure 21.
Constant frequency and variable frequency condenser outlet temperatures at different temperature change rates.
When the circulating water flow rate is kept in constant frequency operation, 0–40 s, the circulating water withdrawal temperature perturbation for the transfer to the condenser inlet, the circulating water outlet temperature remains unchanged. Between 40 and 350 s, the outlet temperature gradually increases, following the trend of the inlet temperature. However, due to heat exchange delays in the condenser, the outlet temperature rises more slowly than the inlet temperature, particularly between 40 and 100 s. Once the condenser inlet temperature stabilizes after 340 s, the heat exchange disturbance reaches a steady state, and the outlet temperature no longer changes.
In contrast, when the circulating water flow rate is increased (variable frequency operation), the outlet temperature initially decreases because the flow rate increase compensates for the inlet temperature increase. However, once the seawater temperature starts to rise, the outlet temperature increases, with a shorter duration of the initial decrease as the inlet temperature rises faster. The faster the inlet temperature changes, the quicker the outlet temperature increases. Over time, the outlet temperature starts to stabilize and decrease as the flow rate response lags behind the inlet temperature change, while the influence of flow rate changes becomes stronger as the rate of temperature increase slows [37,38].
The dynamic response of the condenser outlet circulating water temperature under different temperature change rates, for both fixed-frequency and variable-frequency circulating water flow rates, is shown in Figure 22.
Figure 22.
Constant frequency and variable frequency condenser heat exchange at different temperature change rates.
When circulating water flow operates at a fixed frequency, the inlet temperature perturbation takes 40 s to propagate to the condenser, delaying the heat transfer response. Initially, heat exchange remains unchanged but then decreases rapidly as the temperature disturbance arrives, with faster temperature changes (e.g., 0.04 °C/s) accelerating both the decline and subsequent recovery. Under variable flow regulation, heat exchange initially rises due to increased flow but later fluctuates due to delayed temperature and flow interactions. Ultimately, regulated flow reduces post-stabilization heat exchange by 0.8% compared to fixed flow, as lower back pressure slightly decreases steam condensation rates [38].
Section 3.3 investigates the dynamic response of pipeline flow and temperature under varying seawater temperature rates. Key findings reveal a 287 s delay in temperature propagation to the condenser inlet, with faster temperature changes (e.g., 0.04 °C/s vs. 0.013 °C/s) accelerating heat transfer decline and stabilization. Notably, the maximum heat exchange reduction reaches 1.2% at peak perturbation, emphasizing the critical role of thermal inertia in control timing.
3.4. Dynamic Response of Cold-End System Under Exhaust Flow Variation
When the condenser circulating water inlet temperature and flow rate remain constant, a decrease in turbine exhaust steam flow reduces condenser pressure. As the steam flow and load decreases, the steam saturation temperature drops, and steam accumulation on the shell side further lowers vapor phase pressure. According to the heat balance equation, the reduced turbine exhaust steam flow decreases the thermal energy carried by the steam–water mixture, lowering heat exchange on the shell side. As the enthalpy and average temperature of the steam–water mixture decreases, the tube side heat exchange also decreases, leading to a continuous decrease in cooling water outlet temperature [37,39].
The response of the cooling water system to coupled disturbances of turbine exhaust steam flow and circulating water temperature is analyzed. The exhaust steam flow decreases linearly from 0 to 600 s, as shown in Figure 23, while the circulating water temperature rises from 2 °C to 4 °C at 100 s with rates of 0.013 °C/s, 0.02 °C/s, and 0.04 °C/s, as shown in Figure 24, with circulating water flow maintained at a fixed frequency.
Figure 23.
Perturbation of turbine exhaust volume change.
Figure 24.
Circulating water temperature perturbation at different temperature change rates.
Figure 25 shows the dynamic response of the condenser inlet circulating water temperature under different temperature change rates. The seawater temperature change is transmitted to the condenser inlet in about 140 s. When the seawater temperature fluctuates faster, the transfer of circulating water in the pipeline is quicker. In contrast, when the seawater temperature changes linearly, the transfer time is longer, and the temperature change at the condenser inlet is slower with a smaller change rate.
Figure 25.
Condenser Inlet Temperature Response for Different Temperature Change Rates.
Figure 26 shows that, as the turbine exhaust flow decreases, condenser back pressure drops. After 140 s, the increase in circulating water temperature raises the condenser temperature, causing back pressure to rise. Once the temperature stabilizes, back pressure decreases as the exhaust flow continues to drop.
Figure 26.
Response of condenser back pressure under different temperature change rates.
Figure 27 shows that from 100 to 140 s, the condenser outlet temperature decreases due to the reduced turbine exhaust flow, lowering heat exchange. Later, the outlet temperature increases as the circulating water inlet temperature rises, overriding the decreased exhaust flow. Once the inlet temperature stabilizes, the outlet temperature decreases as exhaust flow continues to drop.
Figure 27.
Condenser outlet temperature response for different temperature change rates.
Figure 28 shows the dynamic response of condenser heat exchange under different temperature change rates. The condenser heat exchange is proportional to the product of turbine exhaust flow rate and the latent heat of vaporization corresponding to the condenser back pressure. During the decrease in exhaust flow, the overall condenser heat exchange shows a downward trend. As the circulating water temperature rises, changes in back pressure affect the latent heat of vaporization. When back pressure decreases, latent heat increases, and, when back pressure increases, latent heat decreases. Thus, between 140 and 400 s, the condenser heat exchange fluctuates as shown in the Figure 28.
Figure 28.
Condenser heat exchange at different temperature change rate.
Elevated seawater temperatures reduce the temperature gradient in the condenser, decreasing condensing efficiency and leading to an increase in back pressure. In order to maintain heat transfer performance, the circulating water flow rate must be increased, which, in turn, increases the power consumption of the pump. These phenomena stem from the basic principles of thermodynamics and fluid dynamics—temperature gradients drive heat transfer, and increased flow rates require more energy to overcome system resistance. The results show that, under variable environmental conditions, the flow rate and pump speed need to be dynamically adjusted by adaptive control strategies to balance the backpressure, energy consumption, and power generation efficiency in order to optimize the overall performance of the nuclear power plant.
Section 3.4 examines cold-end system dynamics under exhaust flow variations. Reduced turbine steam flow lowers condenser pressure but amplifies sensitivity to seawater temperature perturbations. For instance, a 10% exhaust flow drop combined with a 4.2 °C seawater temperature rise increases back pressure by 2.1%, demonstrating the need for multi-variable control to stabilize power output during load transitions.
4. Conclusions
This paper investigates the dynamic response and flow–heat transfer characteristics of the cooling water system under complex operating conditions, emphasizing the effects of environmental and operational factors such as seawater temperature, tide level, and scaling. To achieve this, a comprehensive dynamic model was developed to analyze the system’s behavior under various environmental conditions and operational disturbances. The findings lay a solid foundation for designing predictive control strategies, improving energy efficiency, and optimizing cooling water system configurations and adaptive control technologies, which are key to boosting both performance and flexibility in high-efficiency nuclear power units. The main findings are as follows:
- (1)
- Seawater Temperature: Higher seawater temperature raises condenser back pressure, reducing net power and thermal efficiency. For example, according to 3.1.1, when seawater temperature increases from 3.8 °C to 4.2 °C, the back pressure rises from 0.002399 MPa to 0.002448 MPa, which is a 2.04% increase, while the net power output drops from 1,276,442.92 kWh to 1,276,012.11 kWh, which is a 0.03% decrease. The heat exchange in the condenser increases from 1,926,647.27 kW to 1,927,116.81 kW, which is a 0.02% increase. Real-time adjustment of the circulating water flow is therefore vital to mitigate these adverse impacts and maintain reliable system performance.
- (2)
- Scaling Effects: Deposits in the cooling water lower the condenser’s heat transfer efficiency. According to 3.1.2, a decrease in the cleanliness factor from 0.85 to 0.83 worsens back pressure, increasing it from 0.002399 MPa to 0.002430 MPa, which is a 1.29% increase, and reduces net power output from 1,276,442.92 kWh to 1,276,174.71 kWh, which is a 0.02% decrease. The outlet temperature of circulating water rises slightly, and the heat exchange capacity increases marginally, from 1,926,647.27 kW to 1,926,939.83 kW, which is a 0.02% increase. Effective maintenance and cleaning strategies help minimize these challenges and bolster system reliability.
- (3)
- Coupled Disturbances: The study examines how changes in seawater temperature, tide level, exhaust steam flow, and cleanliness collectively affect the cooling water system. For instance, according to 3.2.4, when seawater temperature increases by 0.4 °C, and the cleanliness factor decreases by 0.02 simultaneously, the back pressure rises to 0.002439 MPa, which is a 1.67% increase, and the net power reduces to 1,275,750.04 kWh, which is a 0.05% decrease. Additionally, low tide levels (e.g., a drop from 117 cm to 70 cm) increase pump head and decrease overall efficiency, while elevated temperature and humidity can intensify these consequences.
- (4)
- Dynamic Response Modeling: By modeling how circulating water flow and heat transfer processes respond to changing conditions, the research uncovers a delay in cooling water temperature along the pipeline. For instance, with a seawater temperature rise from 2 °C to 4 °C, the pipeline’s dynamic response time is approximately 287 s. Adjusting the circulating water flow rate based on environmental parameters, such as with variable-frequency pumps, can significantly reduce system fluctuations and enhance operational stability.
In conclusion, the findings of this study provide actionable recommendations for optimizing the once-through cooling water system in nuclear power plants. Implementing adaptive control strategies, such as variable-frequency pump regulation and real-time fouling mitigation, can significantly enhance system efficiency and stability under complex environmental conditions. These practical measures not only improve energy savings but also ensure reliable operation, offering a robust framework for future cooling system designs and operational enhancements in nuclear power plants.
Author Contributions
Conceptualization, J.Z. and J.W.; methodology, Q.H.; validation, X.D. and J.W.; formal analysis, Q.H.; investigation, Y.Z.; writing—original draft, Q.H.; writing—review & editing, R.Z. and X.D. All authors have read and agreed to the published version of the manuscript.
Funding
This research received no external funding.
Data Availability Statement
Dataset available on request from the authors. The raw data supporting the conclusions of this article will be made available by the authors on request.
Conflicts of Interest
Authors Qian Huang, Yifan Zhi, Rongyong Zhang were employed by the company China Nuclear Power Engineering Co., Ltd. The remaining authors declare that the research was conducted in the absence of any commercial or financial relationships that could be construed as a potential conflict of interest.
References
- Zhu, H.; Jia, B.; Guan, Y.; Peng, S.; Cao, W. Analysis of seawater heat exchanger fouling in nuclear power plants. Guangzhou Chem. 2023, 51, 117–119. [Google Scholar]
- Hou, W. Analysis of the causes and treatment of condenser fouling in 600MW units. Energy Conserv. Environ. Prot. 2023, 29, 88–90. [Google Scholar]
- Sadeghianjahromi, A.; Wang, C.-C. Heat transfer enhancement in fin-and-tube heat exchangers—A review on different mechanisms. Renew. Sustain. Energy Rev. 2021, 137, 110470. [Google Scholar] [CrossRef]
- Hu, H. Optimization analysis of turbine cold end system in thermal power plants. Energy Sav. 2019, 38, 46–47. [Google Scholar]
- Gao, T.; Lu, F.; Men, F.; Song, J.; Li, X. Analysis of Energy Saving Potential of Cold End Optimiza-tion for 600MW Units. Turbine Technol. 2021, 63, 369–372. [Google Scholar]
- Zhong, Y.; Wang, J.; Yao, G.; Li, Y.; Sun, Y. Application analysis of closed-loop real-time control optimization of thermal power unit cold end system. Ind. Control Comput. 2018, 31, 18–19. [Google Scholar]
- Wang, W. Research on Modeling and Energy Saving Optimization of Thermal Power Unit Cold End System. Ph.D. Thesis, North China Electric Power University, Beijing, China, 2011. [Google Scholar]
- Li, S.; He, D.; Chen, G.; Haijun, L. Performance Analysis and Optimization Study of Cold End System of Thermal Power Plant. Therm. Sci. Technol. 2010, 9, 36–42. [Google Scholar]
- Wu, T.; Ge, Z.; Yang, L.; Du, X. Transient behavior of the cold end system in an indirect dry cooling thermal power plant under varying operating conditions. Energy 2019, 181, 1202–1212. [Google Scholar] [CrossRef]
- Kang, L. Study of Plant Power Design Options for Nuclear Power Plants. Master’s Thesis, North China Electric Power University, Beijing, China, 2015. [Google Scholar]
- Ji, S. Study on the Wiring Method of Plant Power System of Small Nuclear Power Plant. Master’s Thesis, North China Electric Power University, Beijing, China, 2016. [Google Scholar]
- Nan, W.; Sun, Y.; Zhang, H.; Li, L. Energy Saving Analysis of Circulating Cooling Water System in Inland Nuclear Power Plants. Water Supply Drain. 2012, 48, 297–301. [Google Scholar]
- Wang, Y. Selection of Energy-Saving Design and Operation Optimization of Circulating Water Pumps for Megawatt Nuclear Power Units. Master’s Thesis, Nanjing University of Science and Technology, Nanjing, China, 2019. [Google Scholar]
- Qu, K.; Huiyong, M.; Chengxian, C. Discussion of nuclear power circulating water pump configuration. Water Supply Drain. 2017, 53, 29–31. [Google Scholar]
- Chen, K.; Fan, R. Analysis of circulating water pump selection for Ling’ao nuclear power plant phase II project. Guangdong Electr. 2008, 21, 25–28. [Google Scholar]
- Lu, Y. Research on Ultra-Precision Temperature Control Technology of Circulating Cooling Water Based on Dynamic Heat Capacity Filtering. Ph.D. Thesis, Harbin Institute of Technology, Harbin, China, 2021. [Google Scholar]
- Liu, X.; Liu, W.; Chen, G.; Yan, H.; Yang, H.; Du, M. Experimental analysis of seawater circulating water scale inhibitor screening in a nuclear power plant. Therm. Power Gener. 2020, 49, 115–119. [Google Scholar]
- Guo, Y. Research on Modeling and Optimization Design Method of Circulating Cooling Water System. Ph.D. Thesis, Northeastern University, Shenyang, China, 2019. [Google Scholar]
- Ye, X.; Nie, X.; Wang, J.; Zhang, R.; Lin, Y. Analysis of circulating water pump selection and configuration in an AP1000 nuclear power plant. Electr. Mech. Eng. Technol. 2017, 46, 146–148. [Google Scholar]
- Wang, Z.; Wang, X.; Liu, X. Analysis of the overall optimization effect of circulating water system. Nitrogen Fertil. Syngas 2024, 52, 13–18. [Google Scholar]
- Wang, J.; Wang, C.; Shi, F.; Liu, M.; Zhong, D. Cold End Modeling and Transient Optimization of Circulating Water System Operation for 660 MW Unit. Therm. Power Gener. 2019, 48, 97–104. [Google Scholar]
- Pan, F. Design optimization study of cold end system of AP1000 coastal nuclear power unit. Master’s degree, 2018. [Google Scholar]
- Zhang, S.; Fan, S.; Yu, T.; Su, W.; Gao, X.; Wan, J. A Rapid Method for Estimating the Energy Saving Potential of Frequency Conversion Retrofits for Turbine Circulating Pumps. Turbine Technol. 2021, 63, 467–470. [Google Scholar]
- Yao, S. Multi-Scale Operation Analysis of Integrated Electric-Thermal Energy System. Ph.D. Thesis, Southeast University, Nanjing, China, 2022. [Google Scholar]
- Chen, J. Research on Analytical Model and Application of Structure and Regulation Flexibility of Heat Supply System. Ph.D. Thesis, Zhejiang University, Zhejiang, China, 2022. [Google Scholar]
- Shangshang, W. Research on Advanced Scheduling Methods for Integrated Energy Systems of Cooling, Heating and Electricity. Ph.D. Thesis, Southeast University, Nanjing, China, 2021. [Google Scholar]
- Ni, D.; Zhang, N.; Gao, B.; Li, Z.; Yang, M. Dynamic measurements on unsteady pressure pulsations and flow distributions in a nuclear reactor coolant pump. Energy 2020, 198, 117305. [Google Scholar] [CrossRef]
- Yuan, Z. Optimized Design and Operation Scheduling of Variable Frequency Pumps for Pressurized Water Distribution System. Master’s Thesis, Yangzhou University, Yangzhou, China, 2022. [Google Scholar]
- Gu, Y. Energy Saving Strategies for Pumps in 1000MW Thermal Power Generating Units. Master’s Thesis, China University of Mining and Technology, Beijing, China, 2021. [Google Scholar]
- Liu, J.; Zeng, D.; Tian, L.; Gao, M.; Wang, W.; Niu, Y.; Fang, F. New Energy Power Consumption and Flexible Operation Control Strategy of Coal-fired Power Plants. China J. Electr. Eng. 2015, 35, 5385–5394. [Google Scholar]
- Gong, L. Flexibility-Oriented Modeling of Thermal Power Units and Its Predictive Control Research. Ph.D. Thesis, North China Electric Power University, Beijing, China, 2022. [Google Scholar]
- Zhao, Y.; Xu, P.; Ju, W.; Chen, F.; Liu, M.; Wang, Z.; Junjie, Y. A Review of Theoretical and Technological Studies on Flexible and Efficient Cooperative Operation of Coal-Fired Generating Units with Transient Processes. Chin. J. Electr. Eng. 2023, 43, 2080–2100. [Google Scholar]
- Xu, J. Research on Energy Efficiency State Evaluation and Diagnosis System of Coal Power Units. Ph.D. Thesis, North China Electric Power University, Beijing, China, 2018. [Google Scholar]
- Zhang, L.; Li, W.; Xu, W. Numerical Analysis of Condenser Performance Based on Simulation of Cooling Water Flow Rate Distribution. Turbine Technol. 2022, 64, 19–23. [Google Scholar]
- Yanqiu, D.; Yi, S.; Xueting, L.; Yan, G.; Qiang, W. Optimization and Application of Frequency Control of Circulating Water Pumps in Power Plants. J. Shandong Univ. Archit. 2021, 36, 90–96. [Google Scholar]
- Wang, X.; Yan, B.; Liu, H.; Yu, T. Neural network-based modeling of condenser variable operating conditions. Comput. Simul. 2022, 39, 99–103. [Google Scholar]
- Cheng, C. Composite Membrane Method Coal Combustion Flue Gas Moisture Removal System Application Research. Ph.D. Thesis, North China Electric Power University, Beijing, China, 2021. [Google Scholar]
- Yan, J. Research on Dynamic Characteristics and Performance Optimization of Power Station Air-Cooling System. Ph.D. Thesis, North China Electric Power University, Beijing, China, 2020. [Google Scholar]
- Zhang, K. Heat Transfer Study of Condensation of Non-Condensable Gases in Non-Energetic Containment Cooling Systems. Ph.D. Thesis, Shandong University, Jinan, China, 2022. [Google Scholar]
Disclaimer/Publisher’s Note: The statements, opinions and data contained in all publications are solely those of the individual author(s) and contributor(s) and not of MDPI and/or the editor(s). MDPI and/or the editor(s) disclaim responsibility for any injury to people or property resulting from any ideas, methods, instructions or products referred to in the content. |
© 2025 by the authors. Licensee MDPI, Basel, Switzerland. This article is an open access article distributed under the terms and conditions of the Creative Commons Attribution (CC BY) license (https://creativecommons.org/licenses/by/4.0/).
































