Next Article in Journal
Carbon Price Point and Interval-Valued Prediction Based on a Novel Hybrid Model
Previous Article in Journal
Analysis of the Characteristics of Heat Island Intensity Based on Local Climate Zones in the Transitional Season of Shenyang
Previous Article in Special Issue
Wireless Charging Station Design for Electric Scooters: Case Study Analysis
 
 
Font Type:
Arial Georgia Verdana
Font Size:
Aa Aa Aa
Line Spacing:
Column Width:
Background:
Article

Solid State Transformer Controls for Mitigation of E3a High-Altitude Electromagnetic Pulse Insults

by
Connor A. Lehman
1,*,
Rush D. Robinett III
2,
Wayne W. Weaver
2 and
David G. Wilson
1
1
Electrical Sciences, Sandia National Labs, Albuquerque, NM 87123, USA
2
Department of Mechanical and Aerospace Engineering, Michigan Technical University, Houghton, MI 49931, USA
*
Author to whom correspondence should be addressed.
Energies 2025, 18(5), 1055; https://doi.org/10.3390/en18051055
Submission received: 29 January 2025 / Revised: 11 February 2025 / Accepted: 18 February 2025 / Published: 21 February 2025
(This article belongs to the Special Issue Review of Advanced Power Electronics Solutions II)

Abstract

This paper explores the use of a solid state transformer (SST) to mitigate the E 3 A component of a high-altitude electromagnetic pulse (HEMP) insult using external energy storage optimal control techniques. In lieu of conventional passive blocking devices or feedback-controlled energy storage devices, a novel implementation of Hamiltonian error tracking is utilized to develop a feedback control law for the variable converter ratio in an SST. The findings of the simulations performed in this paper suggest that additional energy storage is not necessary to protect an individual load from a HEMP insult. The simulations performed examine the response of a single-phase SST connected to a single voltage source on a long transmission line on the one side and a single linear resistor on the other. The control law is specifically developed for the late-time, low-frequency portion of a HEMP insult, namely the E 3 A components. The Hamiltonian error-based converter ratio control law is compared with nonlinear optimal feedforward controls to show that the HSSPFC is an external energy storage optimal controller.

1. Introduction

Modern society relies on power grids for day-to-day operation. High-altitude electromagnetic pulses (HEMPs) pose a threat to the standard operation of the power grid. HEMP insults are generated through the detonation of high altitude nuclear devices [1,2]. Large time-varying magnetic fields are produced at the Earth’s surface, which in turn generate a flow of common mode current through sensitive grid devices [3]. A HEMP event is broken into 3 main time periods. The first time period of a HEMP is the highest peak power producing component as well as the shortest time span component. This is often denoted as the E 1 event. According to the IEC Standard 1000-2-9, the E 1 portion of a HEMP is defined as occurring during the first 0.1 μs of the insult [4]. The associated potential spike is typically > 10 kV/m [4]. This portion of the signal is often mitigated via trip coils [5,6]. The second portion of the HEMP insult is the E 2 portion. This part of the insult is defined as occurring between 0.1 μs after detonation to 1 s after detonation. At its peak, the potential field of the E 2 portion of the insult is 100 V/m. This potential quickly drops off to 1 V/m.
The final and longest-lasting portion of the HEMP is the E 3 component. The E 3 also contains the lowest peak power out of all three time components of the HEMP insult. This portion of the insult is defined to begin 1 s after detonation. The potential field ranges from approximately 1 mV/m to 10 mV/m. The E 3 portion of a HEMP insult may be broken down further into two sub-time domains: the blast ( E 3 A ) and the heave ( E 3 B ) [7,8]. In [9], the best-fit characterization of the E 3 A portion is given as
E 3 A = α e t / β ( γ t δ t 2 )
where α = 9.5 , β = 1.4 , γ = 26 , and  δ = 8.9 . These values are curve fit parameters from simulation work carried out by Oak Ridge National Labs [8,9,10]. The corresponding plot of (1) is shown in Figure 1.
Additionally, the  E 3 B portion of the insult is given as
E 3 B = α t 2 e t / γ β 3 t 3 β 3 γ + t 4 γ ( β 3 + t 3 ) 2
where α = 1.3 · 10 6 , β = 200 , and  γ = 20 . These values are curve fit parameters from simulation work carried out by Oak Ridge National Labs [8,9,10]. The corresponding plot of (2) is shown in Figure 2.
The values in (1) and (2) were calculated for an HEMP event over the continental US with a latitude of 40 N. These parameters were not found experimentally, but rather through parameter fitting from simulation work. True HEMP insults will not look exactly like the data presented, as this is only a benchmark test. The voltage on a transmission line from the E 3 portion of a HEMP insult is
V E 3 = ( E 3 A + E 3 B ) l t x c o s δ ,
where E 3 A and E 3 B are defined in (1) and (2), l t x is the length of the transmission line, and  δ is the angle between the field orientation and transmission line. This paper focuses on the E 3 A insult and provides methods to mitigate the effects of this low-frequency portion of a HEMP. E 3 B effects can also be included with the control scheme laid out below, but are omitted for brevity and simplicity. The transmission line in this paper is 350 km long and runs perfectly parallel to the HEMP field orientation. This is equivalent to stating that δ = 0 in (3). As such, (3) simplifies to
V E 3 = 350 · E 3 A .
This paper explores the use of a solid-state transformer (SST) to mitigate the E3A component of a high-altitude electromagnetic pulse (HEMP) insult using energy-storage optimal control techniques. The concept of an SST dates back to the 1970s and the invention of the high-frequency AC/AC converter by GE engineer William McMurray [11]. Advances in power electronics enabled the development of grid-scale AC/AC SST technology [12]. Transformers on a conventional grid are sets of coils that utilize fixed-turns ratios to convert current and voltage. The SST, however, utilizes power electronics and can be designed to have an adjustable converter ratio, allowing for more control and flexibility within the grid.
The exact topology of an SST is highly dependent on its intended use, but a common SST topology is a composition of three stages placed in series. The first stage rectifies the signal (AC/DC). The second stage isolates the signal (DC/DC) and is responsible for the large conversion factors between the input and output. This is achieved by leveraging the converter ratio of the high-frequency transformer inside this stage to either step up or step down inputs. The final stage inverts the DC signal back to the AC for transmission or use on the grid (DC/AC). In the AC/DC phase, the reactive power absorbed or injected into the grid is compensated for. In the DC/DC phase, high-frequency switching is used to control the voltage level. The DC/AC phase then generates high-quality AC voltage [13]. A high-level depiction of the SST topology is shown in Figure 3.
One of the key advantages of using SST technology in the mitigation of HEMP insults is that, unlike conventional transformers, magnetic core saturation is of minimal concern. While many SST topologies house a dual-active bridge with a single-phase high-frequency transformer that is capable of saturating inside of the DC/DC stage, the power electronics inside the SST buffer inputs prevent magnetic core saturation. That is, internal power electronics can limit the current through the conventional, saturable transformer core to prevent magnetic core saturation. Direct AC/AC SSTs also contain a single-phase high-frequency transformer that is capable of saturating, but the power electronics still buffer the inputs by limiting the current through the device. The HEMP insult modeled in this paper is sufficiently slow enough that the power electronics are able to properly buffer the inputs to prevent core saturation. Conventional transformers, on the other hand, do not come equipped with power electronics to buffer inputs.
Conventional transformers that have their magnetic cores pushed into the saturation are subject to overheating, reductions in power quality, and additional grid harmonics [14]. In the literature, conventional transformers are often protected using blocking capacitors, either along the neutral path of the transformer or along the primary/secondary windings [15,16]. One of the major drawbacks of using capacitors for mitigation is the ringing that is caused by the impulse [17]. This is due to the resonances between the capacitor and inductance on the transmission lines and transformer windings. This effect is only worsened when E 1 and E 2 effects are considered, and these have a high enough frequency that an impulse response between the added capacitance and system inductance is produced. This issue can be bypassed entirely through the use of an SST. With appropriate control design—specifically, one avoiding integral feedback terms—the ringing effects in system control can be eliminated. The method of control presented in this paper will not produce ringing in the system.
A per-phase DC approach is considered in this paper since the study is only interested in preventing common mode currents. This paper presents a way to utilize Hamiltonian surface-shaping and power flow control (HSSPFC) to control the converter ratio of an SST to mitigate the deleterious effects of the E 3 A portion of an EMP insult. The HSSPFC approach has been utilized in other grid problems to ensure the stability of power grids, minimize energy storage, and maximize power flow in various scenarios [18,19,20]. It will be shown that a simple linear resistive load can be protected from excessive HEMP-induced current while ensuring that power delivery is uninterrupted. This application of the HSSPFC method does not look to minimize the externally added energy storage, but rather seeks to minimize errors in the desired power flow to a load. That is, the HSSPFC method is used to ensure that the HEMP insult does not overload the load that is being protected. For comparison’s sake, an optimal feedforward controller method will be used to show that the results from the HSSPFC are optimal. The optimal nonlinear feedforward controller will have a cost function, developed such that power delivered to the load remains as constant as possible, similar to the HSSPFC control law that was developed. Optimality, in this case, is measured by the SST’s ability to ensure that power remains as a constant and is as close to the desired state on the load as possible, while rejecting additional energy from the HEMP insult.
The main advantage of the HSSPFC-based approach over the optimal nonlinear control method is that the HSSPFC-based approach is significantly more robust. The HSSPFC controller is deemed more robust since it is a feedback controller, as opposed to a feedforward controller. In essence, the HSSPFC approach does not need information on how the insult will play out over time and only needs to read the current system states. This permits the HSSPFC controller to be utilized for the mitigation of insults that are not well-characterized or differ from what is expected. An instance where this feedback controller would perform better than the optimal feedforward controller is in instances of asset loss on the grid. The feedforward approach requires full knowledge of the EMP field direction and the state information of other devices on the grid. Naturally, the nonlinear optimal feedforward controller would need to be updated each time an asset is lost in order to remain optimal. That is, if any grid component failed or was taken offline for maintenance, the feedforward controller would need to be updated to account for the change in the grid states.
This paper is split into four parts following the introduction. Section 2 defines and derives important mathematical concepts regrading the SST and its control. This involves setting the bounds for bilinear controllability and deriving the Hamiltonian error tracking controller. Section 3 discusses the differences between the feedforward nonlinear optimal control scheme and the Hamiltonian error tracking controller. Section 4 presents the results for the optimal control scheme and the Hamiltonian error tracking controller. Section 5 provides a conclusion and summary to the paper.

2. Solid State Transformer Model, Stability, and Controllability

The SST may be modeled at this time scale using a voltage and current converter. While the exact layout of an SST is obviously more complicated, the SST is approximated as voltage converter with minimal losses. Figure 4 presents a depiction of the SST model utilized in this study.
The terms R 1 , R 2 , L 1 , and  L 2 represent losses to resistance and winding energy storage on the primary and secondary sides of the transformer, respectively. The terms C c and R c represent internal converter energy storage and resistive converter losses. The corresponding voltage across those components is given by V c . Primary side current and voltage are given by i 1 and V 1 , respectively. Secondary side current and voltage are given by i 2 and V 2 , respectively. V E 3 is the E 3 voltage term given in (4). Lastly, a is the converter ratio of the SST. The corresponding system equations are given in (5).
L 1 i ˙ 1 = V 1 i 1 R 1 V c
L 2 i ˙ 2 = V 2 i 2 R 2 a V c
C c V ˙ c = i 1 V c R c + a i 2
M x ˙ = R x + D T V .
This can be placed into bilinear matrix form.
i ˙ 1 i ˙ 2 V ˙ c = L 1 0 0 0 L 2 0 0 0 C c 1 R 1 0 1 0 R 2 0 1 0 1 R c i 1 i 2 V c + a L 1 0 0 0 L 2 0 0 0 C c 1 0 0 0 0 0 1 0 1 0 i 1 i 2 V c + L 1 0 0 0 L 2 0 0 0 C c 1 V 1 V 2 0
For the stability analysis, the converter ratio will be treated as control effort. However,  the development of the control law will use the dissipative terms of the system. The reason for such a decision will become apparent in Section 2.1.

2.1. Hamiltonian-Based Stability Analysis

The Hamiltonian is an expression that describes the total energy of a system [21]. In recent years, the Hamiltonian and Hamiltonian rate have been used to analyze the stability margins of various systems [22,23,24]. This analysis will be carried out before designing the optimal control laws.
In order for a dynamic system to be asymptotically stable, two criteria must be met. The first criterion is that the Hamiltonian of the system must be positive definite regarding the system equilibrium point. This is a necessary but not sufficient condition for stability. The second criterion is that the first time derivative of the Hamiltonian must be negative definite regarding the system’s equilibrium point [21]. With those two conditions met, the system may be deemed asymptotically stable. It will be shown here that the SST is not only stable, but that its converter ratio does not influence the stability of the system. That is, the system remains stable for all non-negative and real choices in a. The statement “for all non-negative and real choices in a” is made for the sake of realism. A real SST converter ratio must not be complex or negative. With that said, negative and complex values of a will not influence the stability of the system.. This is a fairly intuitive result as the control effort/converter ratio, a, does not add or remove energy from the system, but rather moves around power that is already present within the system. Starting from (6), the system equations can be rearranged to follow the format laid out in Weaver et al. [25].
R = R 1 0 1 0 R 2 a 1 a 1 R c = R ¯ + R ˜ = R 1 0 0 0 R 2 0 0 0 1 R c + 0 0 1 0 0 a 1 a 0 , M = L 1 0 0 0 L 2 0 0 0 C c , B T = 0 3 × 1 , D T = 1 0 0 1 0 0 , v = V 1 V 2 , M x ˙ = [ R ¯ + R ˜ ] x + B T u + D T v
In (7), x = i 1 i 2 V c T and u = 0 (i.e., no external energy storage is present). It is assumed for now that V 1 = V 2 = 0 . Additionally, a is treated as a control effort term. The total energy of the system presented here is given by the Hamiltonian in (8).
H = 1 2 x T M x
As previously stated, (8) must be positive definite about the equilibrium point of the system in order for the system to be stable. In order for this to be true, M must be positive definite. For real electrical components, the M matrix will be positive definite for all real component parameter values. However, this is not sufficient to claim stability.
The Hamiltonian rate is determined by taking the first time derivative of (8). The Hamiltonian rate of the internal energy is then set to be equal to the dissipative power of the system. That is, all energy that flows into or out of the internal energy storage (i.e., capacitors and inductors) must either come from an external energy source or be output to dissipative elements in the circuit. This is presented as follows:
H ˙ = x T M x ˙ = x T ( R ¯ + R ˜ ) x ˙ .
The second condition for stability is that H ˙ < 0 . A notable feature of the skew-symmetric matrix is that when placed into its quadratic form, the expression comes to 0. That is, for some skew-symmetric matrix A, x T A x = 0 , x [26]. Since R ˜ is skew symmetric, the second condition for stability reduces to
H ˙ = x T R ¯ x ˙ < 0 .
From inspection, it is apparent that the second condition for stability can be met when R ¯ is negative definite about the system’s equilibrium point. Most importantly, a does not influence the stability of the system.

2.2. The Controllability of a Solid State Transformer

Intuition around the SST would suggest that any system state may be achieved, provided that power either flows into the SST or out of the SST. The controlled current and voltage sources are coupled with i 2 and V c , respectively. If no current flows through the SST, it should follow that the states may not be controlled. The only input variable present in the SST system is the converter ratio, a. If there is no current or voltage to step up or down, no value of a will be able to produce a current through the SST. Therefore, this intuition leads to an important claim: the SST is not globally controllable. This ultimately will not matter too much since the current will always flow through the SST during operation. Additionally, the input of the system (i.e., the converter ratio a) is bounded such that 0 < a < .
Claim: The SST is not globally controllable. Full nonlinear controllability can be determined using Lie algebra to determine if there is some vector field F that is capable of mapping all input vectors g ( x ) to any arbitrary state vector f ( x ) for f ( x ) , g ( x ) R n [27]. That is, the vector field that maps g ( x ) = B u ( t ) to f ( x ) = A N L ( x ( t ) ) , where A N L is the fully nonlinear state matrix of the system, is given by the Lie bracket. From [28], the Lie bracket is defined as follows:
( a d f 1 , g ) = [ f , g ] = g x f f x g ( a d f 2 , g ) = [ f , [ f , g ] ] = ( a d f 1 , g ) x f f x ( a d f 1 , g ) ( a d f 3 , g ) = [ f , [ f , [ f , g ] ] ] = ( a d f 2 , g ) x f f x ( a d f 2 , g ) ( a d f n , g ) = [ f , ( a d f n 1 , g ) ] .
From (11), the controllability matrix C is defined as
C = [ g , ( a d f 1 , g ) , ( a d f 2 , g ) , , ( a d f n 1 , g ) ] .
From (12), controllability can be determined by whether or not C loses rank. For a C that is size n × m , controllability is achieved only when the rank of C is n.
The work of Piechottka and Frank looks at several cases of bilinear systems using the aforementioned Lie bracket method to determine controllability [29]. However, their work only considers a subset of the bilinear controllability problems. Utilizing Lie brackets, the controllability matrix of the SST model can be determined. This can be presented as
C = 0 a i 2 Cc L 1 R 1 a i 2 Cc L 1 2 R 2 a i 2 L 2 2 a i 2 Cc 2 Rc L 1 a V c L 2 a i 1 Cc V c Cc Rc L 2 R 2 a V c L 2 2 R 2 a i 1 Cc V c Cc Rc L 2 + R 2 a V c L 2 2 L 2 a i 1 Cc V c Cc Rc L 2 a i 2 Cc a i 2 Cc 2 Rc R 2 a i 2 L 2 2 R 2 a i 2 L 2 2 a i 2 Cc 2 Rc Cc Rc R 2 a i 2 L 2 2 a i 2 Cc 2 L 1 .
Performing LU decomposition on (13) yields U =
a V c L 2 a i 1 Cc V c Cc Rc L 2 R 2 a V c L 2 2 R 2 a i 1 Cc V c Cc Rc L 2 + R 2 a V c L 2 2 L 2 a i 1 Cc V c Cc Rc L 2 0 a i 2 Cc L 1 R 1 a i 2 Cc L 1 2 R 2 a i 2 L 2 2 a i 2 Cc 2 Rc L 1 0 0 R 2 a i 2 L 2 2 a i 2 Cc 2 Rc Cc Rc R 2 a i 2 L 2 2 a i 2 Cc 2 L 1 L 2 i 2 R 2 a i 1 Cc V c Cc Rc L 2 + R 2 a V c L 2 2 L 2 + a i 1 Cc V c Cc Rc L 2 Cc V c Cc L 1 R 2 a i 2 L 2 2 a i 2 Cc 2 Rc L 1 R 1 a i 2 Cc L 1 2 R 2 a i 2 L 2 2 a i 2 Cc 2 Rc + L 2 i 2 a i 1 Cc V c Cc Rc L 2 + R 2 a V c L 2 2 Cc V c a i 2
The rank of the controllability matrix is lost when the determinant of the U matrix is zero [30,31]. The first case in which this occurs is for V c = 0 and the second case is when i 2 = 0 . The final case of loss of rank appears more complicated than the first two, but simplifies well. It is known that a value of V c will produce a controllability matrix that is not of rank 3. Solving for the entry ( 3 , 3 ) = 0 of U for V c and setting to 0 produces the following expression:
U ( 3 , 3 ) = C c L 1 L 2 4 R c 2 i 1 L 1 L 2 4 R c i 1 C c L 2 4 R 1 R c 2 i 1 + C c L 1 L 2 3 R 2 R c 2 i 1 + C c 2 L 1 L 2 2 R 2 R c 2 i 1 = 0
V c = 0 when i 1 = 0 , making r a n k ( C ) < 3 . Therefore, in order for the SST to operate, i 1 , i 2 , V c 0 . This verifies the claim that the SST is not globally controllable, but rather may only be controlled for a subset of all states. That is, for the SST to be able to guide the system to a state, there must be non-zero current and voltage on the grid.

2.3. The HSSPFC Error Tracking Problem

The HSSPFC method may be employed to solve the control tracking problem. Since it has been made clear in Section 2.2 that system states must be non-zero for control, it will no longer be stated that V 1 = V 2 = 0 . Instead, V 1 = i 1 R L and V 2 = V 0 + V E 3 ( t ) , where R L is the resistive load on the primary side of the SST in Figure 4 and V E 3 is given in (4). This alters (7) as such:
R = ( R 1 + R L ) 0 1 0 R 2 a 1 a 1 R c = R ¯ + R ˜ = R 1 0 0 0 R 2 0 0 0 1 R c + 0 0 1 0 0 a 1 a 0 , M = L 1 0 0 0 L 2 0 0 0 C c , B T = 0 3 × 1 , D T = 0 1 0 , V = V 2 , M x ˙ = ( R ¯ + R ˜ ) x + D T V
Now, let there be some new set of variables x ˜ = x r x , v ˜ = V 0 V 2 , and  a ˜ = a 0 a ( t ) , where x r is the vector of system reference states, V 0 is the reference DC voltage on the secondary side of the SST, a 0 is the reference SST converter ratio, and  a ( t ) is the SST converter ratio at time t. Additionally, the dynamics of the error are given as
M x ˜ ˙ = ( R ¯ + R ˜ ) x ˜ + D T v ˜ , R ¯ = ( R 1 + R L ) 0 0 0 R 2 0 0 0 1 R c , R ˜ = 0 0 1 0 0 a ˜ 1 a ˜ 0
and the dynamics of the tracked variables are given as
M x ˙ r = ( R ¯ r + R ˜ r ) x r + D T V 0 , R ¯ r = ( R 1 + R L ) 0 0 0 R 2 0 0 0 1 R c , R ˜ r = 0 0 1 0 0 a 0 1 a 0 0
Naturally, the Hamiltonian of the system error is given by
H = 1 2 x ˜ T M x ˜ ,
which is positive definite. The time rate of (18) is given by
H ˙ = x ˜ T M x ˜ ˙ = x ˜ T ( M x ˙ r M x ˙ ) = x ˜ T ( ( R ¯ + R ˜ r ) x r + D T V 0 ( R ¯ + R ˜ ) x D T V 2 ) .
From the previous stability analysis, it is known that x ˜ T R ¯ x ˜ < 0 . As such, the remaining terms are set to zero.
x ˜ T ( R ˜ r x r R ˜ x + D T v ˜ ) = 0
Expanding (20) and solving for a ( t ) yields
a ( t ) = a 0 + i ˜ 2 v ˜ V r c i 2 V c i r 2
where i r 2 is the reference current on the secondary side and V r c is the reference core voltage. Upon inspection of (21), it is apparent that there is a singularity when the error goes to 0. In the simulation, this singularity is remedied by adding a small ϵ to the denominator of the expression. The value of ϵ is defined as
ϵ = 10 6 , V r c i 2 V c i r 2 0 10 6 , V r c i 2 V c i r 2 < 0
which leads to a new equation:
a ( t ) = a 0 + i ˜ 2 v ˜ V r c i 2 V c i r 2 + ϵ

2.4. The Optimal Control Problem

For the sake of comparison, optimal nonlinear control laws should be developed. The toolkit chosen for this task was the Matlab library OptimTraj [32,33]. The cost function for the trajectory optimizer is defined as
J = 0 t f ( V 2 a V 0 ) 2 d t
where V 0 is the desired voltage of the load and t f is the horizon of the cost function. The goal of this cost function was to minimize the error of the secondary side voltage from the desired voltage. The a denominator term was placed so that the solver would not allow the converter ratio to deviate significantly from the steady-state solution. In the test case presented in this paper, the steady-state voltages for V 1 and V 2 match, and thus the steady-state converter ratio, is a = 1 . It has been shown that in systems in which power flow is being controlled and optimized, demanded control efforts can become near-discontinuous [21]. If the a value approaches the value of 0 too closely, the cost function will become heavily penalized. Likewise, if the converter ratio becomes sufficiently larger than the steady-state converter ratio, the cost increases. Thus this selected cost function appropriately punishes large deviations in the converter ratio.
The optimal control problem is set up as a two-point boundary-value problem (TPBVP). Initial conditions are given, as well as desired final states, and an optimal path is found between the two: the given constraints and the desired controller effort [34,35]. In this case, the boundaries were selected by determining the steady-state solution of the system. It is the goal of the controller to match system states to the steady-state solution during the HEMP insult so that power flow to the load is not interrupted while preventing exogenous HEMP power from reaching the load. The cost function is then minimized across the desired time horizon. In this case, the insult lasted only 20 s and so the cost function was minimized over the 20 s interval. It should be noted that the control effort is not necessarily minimized, but rather, as previously stated, it was set to tend back towards the steady-state value when a disturbance is not present.
In order to assist in the determination of a control law, the optimal feedforward controller toolkit was provided with a homotopy from the HSSPFC solution to help the solver. In more general terms, a homotopy is a continuous transformation from one function to some other function. Much like the development of calculus, the development of the homotopy may be attributed to multiple mathematicians. Some of the earliest ideas for homotopy come from the thought experiments regarding integral paths and the continuous deformation of paths. Jules Henri Poincaré is often credited for the initial development of homotopy theory through his work in the distinguishing of categories of 2D surfaces [36]. However, this early work was often criticized for being non-rigourous, resulting in an further work in the field of homotopies and continuous deformation. Through the years, homotopy has been adapted to solve a slew of mathematical problem. Some examples of the use of homotopies in optimal controls can be found in Robinett et al. [37].
The use of a homotopy in optimal control theory can be thought of as an initial guess that is supplied to a solver to aid in the determination of an optimal control law [38]. The solver takes the initial control function and continuously deforms it within a space until the cost function is minimized. The newly deformed path is checked to see if it minimizes the cost function provided. The final deformation that minimized the cost function is the optimal path for the TPBVP to follow. An optimizer need not be fed a homotopy for it to converge to a solution; however, there is the possibility that the space of solutions that the optimizer works over may not house a globally minimal solution. An initial guess, or homotopy, will generally aid in the determination of an optimal path with regards to some cost functions. However, a poor homotopy or a poor initial guess may also throw off the optimizer such that it only searches a subset of the total solution space. The exact form of the homotopy equation is given by
a ( t ) = a 0 + E 3 a + V 0 V 0 .
This was an initial guess developed in an attempt to ensure that the load side of the transformer remains at a constant voltage. It differs from the solution derived by the HSSPFC error tracking approach in that the controller acts to keep load voltage constant, instead of acting to minimize errors in the power received by the load.
In this case, it was known that there is a ratio between the load side and transmission line side of the SST. That ratio is approximately
V 2 ( t ) = a ( t ) V 1 ( t ) .
The voltage drop due to internal winding resistance is negligible in this initial guess since the actual optimal trajectory will be determined through the deformation of the initial guess. Additionally, it is known that in the steady state, the convert ratio should be 1 so that the load side and transmission side voltages remain equal. This leads to the natural initial guess set out in (25). This initial guess imitates the steady-state values when the HEMP insult is absent from the system. When the HEMP occurs, the converter ratio is updated such that the load side voltage remains constant.

3. Comparison Between the HSSPFC Tracking Controller and the Nonlinear Optimal Controller

The two methods compared are the HSSPFC controller and nonlinear optimal controller. It will be shown in the results section that the two effectively achieve the same results when mitigating a HEMP insult, despite there being significant differences in their formulations. The first, and most glaring, difference is that the HSSPFC controller approach is a feedback controller, whereas the optimal nonlinear controller is feedforward and requires knowledge of the insult ahead of time and would require an additional feedback controller for variations in the actual plant.
The main benefit of the optimal feedforward approach is that it is guaranteed to be the solution for the desired cost function. That is, the optimal nonlinear controller will provide the best option for simultaneously minimizing deviations in a while ensuring that voltage is fixed at the load. The obvious drawback to this optimal control scheme is the nature of the HEMP insult must be known ahead of time. This works well enough for a single transformers in which the magnitude and direction of the insult is known, but will not hold up if the HEMP field is stronger, weaker, or pointed in a different, unpredicted direction. Additionally, the SSTs with this optimal nonlinear control law will need to act globally in order to account for coupling and power pushing between the devices. It is important to note here that the SSTs do not remove energy from the system due to the exogenous input, but only protect the loads. If energy is not flowing into the loads across the SSTs, it will remain on the transmission lines, only to be pushed off onto other devices in the grid. This cascading of power pushing is a significant problem for other devices that may not be well-equipped for HEMP mitigation.
This is where the merits of the HSSPFC approach become apparent. The HSSPFC approach is a feedback-based approach that is capable of adapting to insults that are not well-characterized or differ from what is expected. SSTs with an HSSPFC-based control law can react to unpredicted changes in power flow on a transmission line due to the power pushing. In that same vein of controller robustness, the HSSPFC-based approach will also handle GMD events more gracefully than the optimal nonlinear controller. GMDs from space weather do not follow an easy-to-characterize function, like the HEMP insults do. As such, feedfoward controls will not be capable of quelling GMD insults.

3.1. Description of the HSSPFC Controller

The HSSPFC controller works by finding the total error of the energy stored in a system and minimizing said energy error. In the case of the SST model shown in Figure 4, the only components capable of storing energy are the inductors and capacitors (as magnetic and electric fields, respectively). The error of the energy stored in the system is simply the energy stored minus the steady-state energy storage. The minimum error in energy storage is the first time derivative of the Hamiltonian error. From this, the converter ratio, a, may be determined, ensuring that the energy error is minimized. In this paper, the SST tracks error of a DC signal. The DC source is provided to show that power can still be transmitted across the SST during a HEMP insult while still ensuring a load is protected.

3.2. Description of Nonlinear Optimal Controller

The nonlinear optimal controller used in this study utilized a 50-point Chebyshev collocation method. The nonlinear program method chosen was the sequential quadratic programming optimization scheme. The barrier parameter update was set to monotone. Lastly, the Hessian approximation algorithm was set to the Broyden–Fletcher–Goldfarb–Shanno (BFGS) algorithm.

3.2.1. Chebyshev Collocation

A collocation method is a numerical way of solving differential equations. For all collocation methods, a finite-dimensional space of possible solutions is selected alongside a finite number of points in the domain (i.e., the collocation points). A solution is selected if it satisfies the given equation at the selected collocation points. The Chebyshev collocation method is an orthogonal collocation method. The trajectory is represented as a single polynomial equation [39]. More specifically, the state and control variables are described using the Chebyshev series and the system dynamics, boundary values, and perfomance index are all estimated. Optimality is achieved through applying the method of extremum constraints. A core assumption of this collocation method within the optimal trajectory solver is that the solution is guaranteed to be smooth to the same degree as the underlying polynomial. This method was selected over the trapezoidal method since the trapezoidal method failed to converge with a reasonable number of collocation points.

3.2.2. The Sequential Quadratic Programming Method

The sequential quadratic programming (SQP) method is an iterative approach used to solve constrained nonlinear optimization problems [37]. SQP methods are considered quasi-Newton methods. A quasi-Newton method is an iterative approach to solving for zeros of local extrema of a function. What makes an approach quasi-Newton instead of Newton is the use of approximate derivatives. A Newton method will use the exact derivatives of a function to estimate the zero-crossing of extrema whereas a quasi-Newton method will approximate the derivatives of a function. One of the major drawbacks of the SQP is that the method requires the use of multiple derivatives, which often need to be worked out ahead of an iteration, making computation quite costly for problems with many constraints and/or variables. The advantage of the SQP method over other methods is that it is capable of handling any degree of non-linearity, including non-linearity in the constraints [40]. The SQP works to estimate the Hessian matrix using a quasi-Newton method. From [40], the SQP method starts by choosing a starting point x 0 and an approximation to the Hessian, given as H 0 . Next, a quadratic programming (QP) subproblem is solved to attain the search direction. With the search direction s k + 1 solved for the next step x k + 1 is determined. Lastly, the Hessian approximation is updated. These last three steps are repeated until some criterion is achieved. This could be a simple maximum number of iterations for a tolerance condition. More succinctly, the SQP method is shown as a pseudo-code in Algorithm 1.
Algorithm 1 The BFGS Hessian Approximation Procedure
1:
Initialize x 0 = initial guess , H 0 = initial guess
2:
repeat
3:
   Solve Q P i subproblem to determine the search direction s i
4:
   Find α to determine x i + 1 , GIVEN s i
5:
   Approximate H i + 1 using BFGS routine
6:
   i += 1
7:
until convergence OR i = i m a x

3.2.3. The Hessian Approximation Method

In the SQP method, the Hessian of the system must be approximated. There are a few ways to approximate the Hessian. The method selected for this optimization was the BFGS algorithm. From [37]:
A more successful scheme categorized under the heading of Broyden methods was devised to approximate [the Hessian] H ( x j ) iteratively by updating the a current approximate value, B j , with the latest decision variables, cost gradients, and search directions, which together are assumed to carry curvature information.
The gradient difference q j is defined as
q j = B j + 1 p j = H ( x j + 1 ) ( x j + 1 + x j ) .
The expression in (27) can be restated as
q j = B j + 1 p j = ( B j + C j ) p j ,
where C j is an additive matrix used to update the value of B j , the last iterative. Since it is assumed that updates to the Hessian approximation are only performed in a single direction (i.e., p j ), it can safely be assumed that the gradient difference in (27) is small within the neighborhood of the minimum. Therefore, the correction matrix, C j , is defined as a combination of the current gradient difference and search direction.
C j = q q T q T p B p p T B p T B p
The updated current approximate value of the Hessian, B j + 1 is then given as
B j + 1 = B j + C j .
The new search direction is then generated from
B j + 1 p j + 1 = f ( x j + 1 ) .
More succinctly, the algorithm is given in Algorithm 2.
Algorithm 2 The BFGS Hessian Approximation Procedure
1:
Initialize x 0 = initial guess , B 0 I
2:
repeat
3:
    x j + 1 = x j + α p j
4:
   Evaluate f ( x j + 1 ) , f ( x j + 1 ) , and  q j
5:
    C j = C ( q j , p j , B j )
6:
    B j + 1 = B j + C j
7:
    B j + 1 p j + 1 = f ( x j + 1 )
8:
   j += 1
9:
until convergence OR j = j m a x

4. Results

For this simulation, only the E 3 A portion of a HEMP is considered. The DC voltage source on the secondary side of the transformer is set to 69 kV. The nominal converter ratio, a 0 , is set to 1. This can be set to any real non-negative value, but is set to 1 for simplicity in the demonstration. Additionally, only the E 3 A effects are investigated in this study. The base case in which a ( t ) = a 0 is shown for comparison in Figure 5a.
The initial conditions of the system are set by finding the steady-state solution of the system when the converter ratio a = 1 and no insult is applied to the system. The steady-state values are also used as the reference values that the system must track. The initial conditions and reference values are shown in Table 1.
The states of the SST after being exposed to the HEMP insult are shown in Figure 5b. The corresponding converter ratio to achieve constant voltage is given in Figure 6.
From Figure 5b and Figure 6, it is clear that the HSSPFC method for determining converter ratio over time is a viable method for mitigating the deleterious effects of a HEMP insult while providing the necessary power to a load. The converter scales up the voltage sources on the secondary side of the SST to match the increase in voltage due to the HEMP insult. This in turn blocks the increased current passing through the device.
As a comparison to determine the effectiveness of the HSSPFC controller, the optimal feedforward controller for mitigating the HEMP insult is shown in Figure 7.
The collocation method used is the Chebyshev method with 50 collocation points. The trapezoidal collocation method failed to produce converging results. The nonlinear programming algorithm chosen for this simulation is the sequential quadratic programming optimization scheme. The barrier parameter update was selected to be monotone. The BFGS algorithm was selected as the Hessian approximation algorithm.
Much like the results from the HSSPFC approach, the converter ratio is increased to match the incoming voltage from the HEMP insult. As a result, the load sees a constant voltage, despite the increased power flow and energy being added to the system by the insult. It is clear from these results that the HSSPFC method works as an optimal control law that minimizes the stored internal energy of a system.
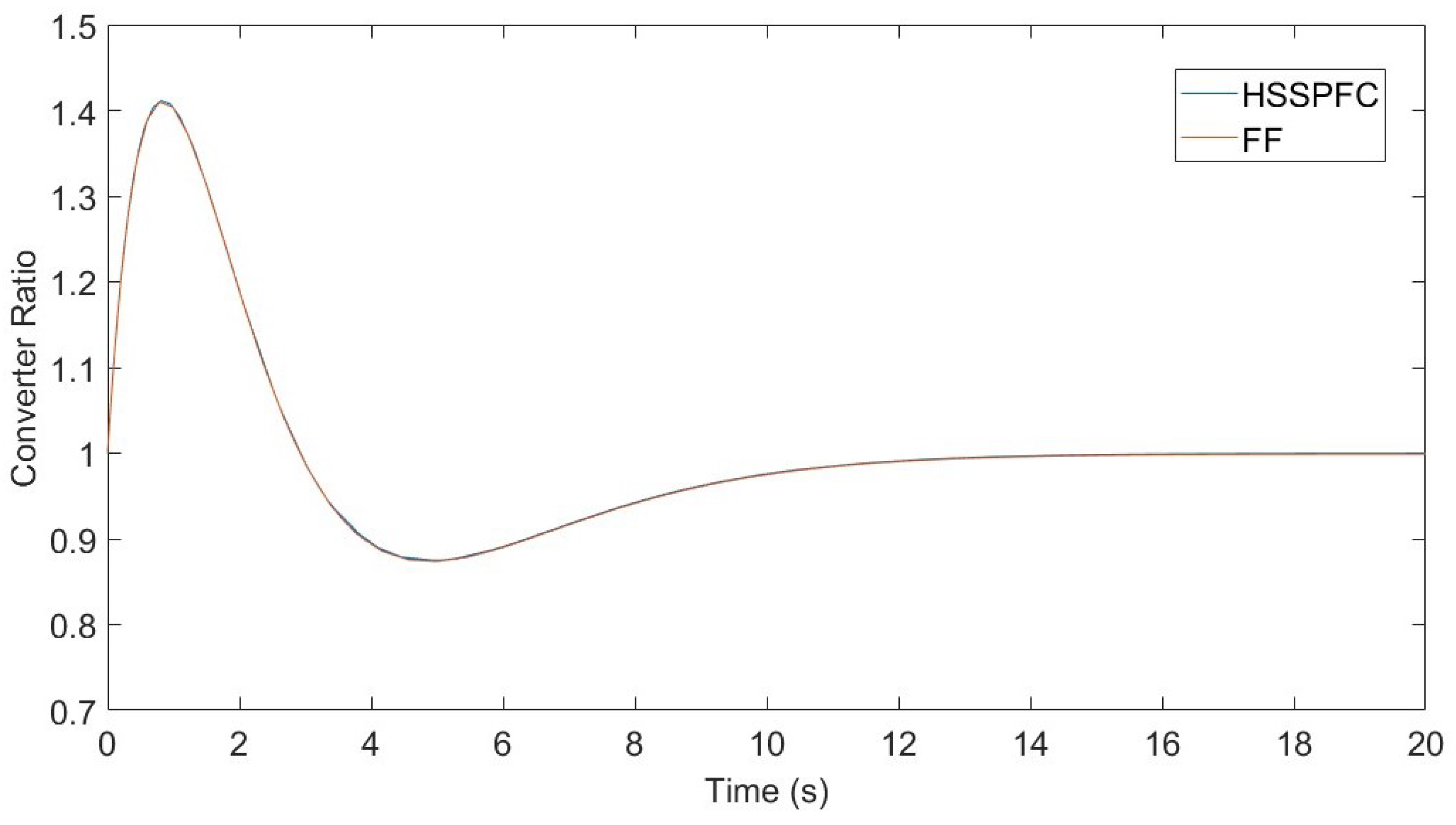
To further drive the point that the HSSPFC approach and nonlinear optimal feedforward controller yield the same results, the states of the two systems are shown in Figure 8 and Figure 9. From Figure 8 and Figure 9, it is clear that the HSSPFC approach matches the nonlinear optimal feedforward controller. Therefore, the HSSPFC error tracking method is a more than sufficient means for the protection of a load device during a HEMP insult.
While the two approaches yield similar results, the HSSPFC approach is deemed more robust for HEMP insult mitigation. The optimal feedforward controller approach requires knowledge of the exact nature of the HEMP insult. This includes, but is not limited to, the payload size, field orientation, and altitude of detonation. If one of these factors is different from the predicted values, the optimal feedforward controller method will not work. Instead of an optimal feedforward controller that is dependent on the initial conditions, the HSSPFC approach presents a feedback law. In order to determine the required control authority at a particular time, all that is needed in the HSSPFC approach is the current states of the system, the desired states of the system, and the error voltage. The HSSPFC error tracking control approach will react to the current state of the system and work to minimize error at all times.

5. Conclusions

Large-scale HEMP attacks to the grid present a unique set of problems to the power grid that have yet to be properly addressed. The field of HEMP mitigation is widespread and many solutions exist to protect the power grid. Presented in this paper is one such solution. SSTs are used with HSSPFC techniques to mitigate a long-time HEMP insult while regulating the voltage at a load. First, the Hamiltonian of the system is developed, stability is analyzed, and controllability is examined. Next, the power flow of the tracked error is determined. The rate of change in the Hamiltonian is made a negative definite by eliminating the nonlinear tracking error terms, which produces a nonlinear time-varying converter ratio feedback controller.
An unprotected test case (i.e., baseline for comparison) shows that a HEMP insult on the secondary side of the SST is able to produce core voltages approximately 40 % above the desired reference core voltage. With the implementation of an HSSPFC error-tracking controller, the SST is able to regulate the voltage effectively at the load. The load resistor receives constant power throughout the insult. Furthermore, the results from the optimal feedforward controller solution match the results from the HSSPFC approach.
In fact, the results from the HSSPFC-based controller are exactly the same as the results produced by the optimal nonlinear controller. This implies that the HSSPFC-based controller is an optimal controller itself and that both the HSSPFC approach and optimal nonlinear controllers minimize the internal energy storage error of the SST. However, the HSSPFC-based controller has the advantage of being a feedback controller, whereas the optimal nonlinear controller is a feedforward controller. This means that unknown insults may be applied to the SST, unlike when using the nonlinear optimal controller. The HSSPFC is a robust and optimal nonlinear controller. Therefore, the HSSPFC controller will be effective in scenarios where the exact nature of an EMP insult may not be known. This could result from inadequate intelligence regarding a HEMP event or an unpredictably oriented magnetic field caused by space weather. HSSPFC feedback controls also allow for SSTs to adapt to the loss of controllers on other devices within a power grid. If other controllers go offline, the nonlinear optimal feedforward controller will fail since it relies on the assumption that the initial configuration of controllers remains. The HSSPFC controller, in contrast, only relies on the current states being read, since it is a feedback controller.
Follow-up work should be conducted for larger-scale grids. Controllers must be designed to cooperate with one another before their implementation in an actual power grid system. Control of an individual device on the network is a first step to viability evaluations, but the added complexity and coupling in a large-scale network will pose unique challenges to the development of optimal control laws. Additionally, different methods of removing energy from the transmission lines should be explored. While loads may remain protected during a HEMP insult, as shown in this paper, transmission lines end up taking the brunt of the attack and methods to protect the transmission lines must also be discussed. The SST is not a dissipative device that is used to remove energy from the system, but acts only to protect a desired load in the scenario. The SST alone is more than capable of protecting sensitive loads, but without the removal of excess energy from the grid, this simply moves power to unprotected devices and transmission lines within a power grid.
Overall, it has been shown that it is possible to protect loads using an SST with optimal control laws. The excess energy from an exogenous insult is rejected while maintaining the requisite level of power to the load. With further hardware development, SSTs could become a vital component in the mitigation of EMP-type insults to the power grid.

Author Contributions

Conceptualization, R.D.R.III, W.W.W., and D.G.W.; methodology, C.A.L. and R.D.R.III; software, C.A.L.; validation, C.A.L. and W.W.W.; formal analysis, C.A.L. and R.D.R.III; investigation, C.A.L.; resources, D.G.W.; data curation, C.A.L.; writing—original draft preparation, C.A.L.; writing—review and editing, R.D.R.III, W.W.W. and D.G.W.; visualization, C.A.L.; supervision, D.G.W.; project administration, D.G.W.; funding acquisition, D.G.W. All authors have read and agreed to the published version of the manuscript.

Funding

This paper was supported by the Laboratory Directed Research and Development program at Sandia National Laboratories, a multi-mission laboratory managed and operated by National Technology and Engineering Solutions of Sandia LLC, a wholly owned subsidiary of Honeywell International Inc. for the U.S. Department of Energy’s National Nuclear Security Administration under contract DE-NA0003525. The views expressed in the article do not necessarily represent the views of the U.S. Department of Energy or the United States Government.

Institutional Review Board Statement

Not applicable.

Data Availability Statement

The data presented in this study are available on request from the corresponding author.

Acknowledgments

This article has been authored by an employee of National Technology Engineering Solutions of Sandia, LLC under Contract No. DE-NA0003525 with the U.S. Department of Energy (DOE). The employee owns all right, title and interest in and to the article and is solely responsible for its contents. The United States Government retains and the publisher, by accepting the article for publication, acknowledges that the United States Government retains a nonexclusive, paid-up, irrevocable, world-wide license to publish or reproduce the published form of this article or allow others to do so, for United States Government purposes. The DOE will provide public access to these results of federally sponsored research in accordance with the DOE Public Access Plan https://www.energy.gov/doe-public-access-plan (accessed on 17 February 2025).

Conflicts of Interest

The authors declare no conflicts of interest.

Abbreviations

The following abbreviations are used in this manuscript:
HEMPHigh-altitude electromagnetic pulse
SSTSolid state transformer
HSSPFCHamiltonian surface shaping power flow and control
TPBVPTwo-point boundary value problem
BFGSBroyden–Fletcher–Goldfarb–Shanno

References

  1. Wilson, C. High Altitude Electromagnetic Pulse (HEMP) and High Power Microwave (HPM) Devices: Threat Assessments; CRS Report No. RL32544; Defense Technical Information Center: Fort Belvoir, VA, USA, 2008.
  2. FEMA. Planning Guidance for Response to a Nuclear Detonation, 3rd ed.; FEMA Report; FEMA: Washington, DC, USA, 2022. [Google Scholar]
  3. Love, J.J.; Lucas, G.M.; Murphy, B.S.; Bedrosian, P.A.; Rigler, E.J.; Kelbert, A. Down to Earth With Nuclear Electromagnetic Pulse: Realistic Surface Impedance Affects Mapping of the E3 Geoelectric Hazard. Earth Space Sci. 2021, 8, e2021EA001792. [Google Scholar] [CrossRef]
  4. IEC Standard 1000-2-9; Electromagnetic Compatibility (EMC). Basic EMC Publications; IEC: Geneva, Switzerland, 1996. Available online: https://standards.iteh.ai/catalog/standards/clc/aed56955-caa7-4312-91a3-3e5cfcdbb9ad/en-61000-2-9-1996?srsltid=AfmBOoqxFyIfsObBCJ3k6ilyEWW09FxwbW-1lJUMylCKEzuveVCJv0ts (accessed on 17 February 2025).
  5. Sanabria, D.E.; Bowman, T.; Guttromson, R.; Halligan, M.; Le, K.; Lehr, J. Early-Time (E1) High-Altitude Electromagnetic Pulse Effects on Trip Coils; Technical Report SAND2020-12133; Sandia National Labs: Livermore, CA, USA, 2020. [Google Scholar]
  6. Savage, E.; Gilbert, J.; Radasky, W. The Early-Time (E1) High-Altitude Electromagnetic Pulse (HEMP) and Its Impact on the U.S. Power Grid; Technical Report Meta-R-320; Metatech: New Taipei City, Taiwan, 2010. [Google Scholar]
  7. Brouillette, D. Physical Characteristics of HEMP Waveform Benchmarks for Use in Assessing Susceptibilities of the Power Grid, Electrical Infrastructures, and Other Critical Infrastructure to HEMP Insults., Final HEMP MEMO, US Department of Energy. 2021. Available online: https://www.energy.gov/sites/prod/files/2021/01/f82/FINAL%20HEMP%20MEMO_1.12.21_508.pdf (accessed on 17 February 2025).
  8. Reccommended E3 HEMP Heave Electric Field Waveform for the Critical Infrastructures; Technical Report; Commission to Assess the Threat to the United States from Electromagnetic Pulse (EMP) Attack: Washington, DC, USA, 2017.
  9. Tesche, F.M.; Barnes, P.R.; Meliopoulos, A.P. Magnetohydrodynamic Electromagnetic Pulse (MHD-EMP) Interaction with Power Transmission and Distribution Systems; Defense Technical Information Center: Fort Belvoir, VA, USA, 1992. [CrossRef]
  10. Dyal, P. Particle and field measurements of the Starfish diamagnetic cavity. J. Geophys. Res. Space Phys. 2006, 111. [Google Scholar] [CrossRef]
  11. Mcmurray, W. Power Converter Circuits Having a High Frequency Link. U.S. Patent 3,517,300, 23 June 1970. [Google Scholar]
  12. Mollik, M.S.; Hannan, M.A.; Reza, M.S.; Abd Rahman, M.S.; Lipu, M.S.H.; Ker, P.J.; Mansor, M.; Muttaqi, K.M. The Advancement of Solid-State Transformer Technology and Its Operation and Control with Power Grids: A Review. Electronics 2022, 11, 2648. [Google Scholar] [CrossRef]
  13. Manisha; Gaur, P. Chapter 5—Scope of architecture improvement for standalone microgrids. In Control of Standalone Microgrid; Tomar, A., Gaur, P., Kandari, R., Gupta, N., Eds.; Academic Press: Cambridge, MA, USA, 2021; pp. 113–135. [Google Scholar] [CrossRef]
  14. Perera, S.; Elphick, S. Chapter 7 - Implications of equipment behaviour on power quality. In Applied Power Quality; Perera, S., Elphick, S., Eds.; Elsevier: Amsterdam, The Netherlands, 2023; pp. 185–258. [Google Scholar] [CrossRef]
  15. Kappenman, J. Low-Frequency Protection Concepts for the Electric Power Grid: Geomagnetically Induced Current (GIC) and E3 HEMP Mitigation; Technical Report Meta-R-322; Metatech: New Taipei City, Taiwan, 2010. [Google Scholar]
  16. Hutchins, T. Modeling, Simulation, and Mitigation of the Late Time (E3) High-Altitude Electromagnetic Pulse on Power Systems. PhD Thesis, University of Illinois at Urbana-Champaign, Champaign, IL, USA, 2016. [Google Scholar]
  17. Donnelly, T.J.; Wilson, D.G.; Robinett, R.D.; Weaver, W.W. Top-Down Control Design Strategy for Electric Power Grid EMP (E3) Protection. In Proceedings of the 2023 IEEE Texas Power and Energy Conference (TPEC), College Station, TX, USA, 13–14 February 2023; pp. 1–6. [Google Scholar] [CrossRef]
  18. Lehman, C.A.; Robinett, R.D.; Weaver, W.W.; Wilson, D.G. Hamiltonian-Based Power Flow and Stability Analysis on a Passively Controlled Multi-Frequency Power System. In Proceedings of the 2024 International Symposium on Power Electronics, Electrical Drives, Automation and Motion (SPEEDAM), Napoli, Italy, 19–21 June 2024; pp. 242–247. [Google Scholar] [CrossRef]
  19. Trinklein, E.H. Optimal Power Flow Control of Networked DC Microgrids. Ph.D. Thesis, Michigan Technical University, Houghton, MI, USA, 2019. [Google Scholar]
  20. Wilson, D.G.; Robinett, R.D. Transient stability and performance based on nonlinear power flow control design of renewable energy systems. In Proceedings of the 2011 IEEE International Conference on Control Applications (CCA), Denver, CO, USA, 28–30 September 2011; pp. 881–886. [Google Scholar] [CrossRef]
  21. Robinett, R.D., III; Wilson, D.G. Nonlinear Power Flow Control Design; Springer: Berlin/Heidelberg, Germany, 2011. [Google Scholar]
  22. Barrasa, V.L. On the stability of Hamiltonian dynamical systems. Monografías Matemáticas García de Galdeano 2014, 39, 155–166. [Google Scholar]
  23. Lehman, C.A.; Donnelly, T.J.; Robinett III, R.D.; Weaver, W.W.; Wilson, D.G. Decoupled, Decentralized, LQR-Based Controls for E3 HEMP/GMD Mitigation on the Power Grid. In Proceedings of the Annual Conference of the IEEE Industrial Electronics Society, Chicago, IL, USA, 3–6 November 2024. [Google Scholar]
  24. Ahmad, S.; Yue, B.; Shah, S.F.; Ahmad, S. Hamiltonian Structure and Stability Analysis for a Partially Filled Container. J. Mech. 2012, 29, 79–83. [Google Scholar] [CrossRef]
  25. Weaver, W.W.; Robinett III, R.D.; Wilson, D.G. Hamiltonian Surface Shaping Power Flow Modeling and Control Design of DC Microgrids. In Proceedings of the IEEE International Conference on DC Microgrids, Columbia, SC, USA, 5–8 August 2024. [Google Scholar]
  26. Slotine, J.J.E.; Li, W. Applied Nonlinear Control; Prentice-Hall, Inc.: Hoboken, NJ, USA, 1991. [Google Scholar]
  27. Haynes, G.W.; Hermes, H. Nonlinear Controllability via Lie Theory. SIAM J. Control 1970, 8, 450–460. [Google Scholar] [CrossRef]
  28. Whalen, A.J.; Brennan, S.N.; Sauer, T.D.; Schiff, S.J. Observability and Controllability of Nonlinear Networks: The Role of Symmetry. Phys. Rev. X 2015, 5, 011005. [Google Scholar] [CrossRef]
  29. Piechottka, U.; Frank, P. Controllability of bilinear systems. Automatica 1992, 28, 1043–1045. [Google Scholar] [CrossRef]
  30. Nicholson, W.K. Linear Algebra with Applications; Libre Texts: Davis, CA, USA, 2024; pp. 135–141. [Google Scholar]
  31. Strang, G. Introduction to Linear Algebra, 4th ed.; Wellesley-Cambridge Press: Wellesley, MA, USA, 2009; pp. 95–100. [Google Scholar]
  32. Kelly, M. An Introduction to Trajectory Optimization: How to do your own Direct Collocation. SIAM Rev. 2017, 59, 849–904. [Google Scholar] [CrossRef]
  33. Kelly, M.P. OptimTraj: Trajectory Optimization for Matlab, GitHub Repository; Zenodo: Geneva, Switzerland, 2022. [Google Scholar] [CrossRef]
  34. Guibout, V.M.; Scheeres, D.J. 3—Solving Two-Point Boundary Value Problems Using Generating Functions: Theory and Applications to Astrodynamics. In Modern Astrodynamics; Gurfil, P., Ed.; Butterworth-Heinemann: Oxford, UK, 2006; Elsevier Astrodynamics Series; Volume 1, pp. 53–105. [Google Scholar] [CrossRef]
  35. Hämäläinen, R.P.; Halme, A. A solution of nonlinear TPBVP’s occuring in optimal control. Automatica 1976, 12, 403–415. [Google Scholar] [CrossRef]
  36. O’Connor, J.J.; Robertson, E.F. Jules Henri Poincaré. 2003. Available online: https://mathshistory.st-andrews.ac.uk/Biographies/Poincare/ (accessed on 21 December 2024).
  37. Robinett, R.D., III; Wilson, D.G.; Eisler, G.R.; Hurtado, J.E. Applied Dynamic Programming for Optimization of Dynamical Systems; SIAM: Philadelphia, PA, USA, 2005. [Google Scholar]
  38. Pan, B.; Lu, P.; Pan, X.; Ma, Y. Double-Homotopy Method for Solving Optimal Control Problems. J. Guid. Control. Dyn. 2016, 39, 1706–1720. [Google Scholar] [CrossRef]
  39. Vlassenbroeck, J.; Van Dooren, R. A Chebyshev technique for solving nonlinear optimal control problems. IEEE Trans. Autom. Control 1988, 33, 333–340. [Google Scholar] [CrossRef]
  40. Yang, X.S. Chapter 23—Optimization. In Engineering Mathematics with Examples and Applications; Yang, X.S., Ed.; Academic Press: Cambridge, MA, USA, 2017; pp. 267–283. [Google Scholar] [CrossRef]
Figure 1. Magnitude of the E 3 A portion of a HEMP insult [8].
Figure 1. Magnitude of the E 3 A portion of a HEMP insult [8].
Energies 18 01055 g001
Figure 2. Magnitude of the E 3 B portion of a HEMP insult [8].
Figure 2. Magnitude of the E 3 B portion of a HEMP insult [8].
Energies 18 01055 g002
Figure 3. High-level depiction of the SST and how it converts power.
Figure 3. High-level depiction of the SST and how it converts power.
Energies 18 01055 g003
Figure 4. Schematic of the SST used.
Figure 4. Schematic of the SST used.
Energies 18 01055 g004
Figure 5. Comparison of the states of the SST with and without a mitigation control law enabled.
Figure 5. Comparison of the states of the SST with and without a mitigation control law enabled.
Energies 18 01055 g005
Figure 6. Converter ratio, derived from the HSSPFC, required to maintain a constant voltage output on the load.
Figure 6. Converter ratio, derived from the HSSPFC, required to maintain a constant voltage output on the load.
Energies 18 01055 g006
Figure 7. System states when using the optimal feedforward controller.
Figure 7. System states when using the optimal feedforward controller.
Energies 18 01055 g007
Figure 8. System states of the SST from the HSSPFC and FF approaches.
Figure 8. System states of the SST from the HSSPFC and FF approaches.
Energies 18 01055 g008
Figure 9. Converter ratios from the HSSPFC and FF approaches.
Figure 9. Converter ratios from the HSSPFC and FF approaches.
Energies 18 01055 g009
Table 1. Set of initial conditions and parameters used in the SST-HEMP mitigation simulation.
Table 1. Set of initial conditions and parameters used in the SST-HEMP mitigation simulation.
Parameter i 1 i 2 V c a 0 R 1 , R 2 L 1 , L 2 C c R c , R L
Value−6.9 A13.8 A69 kV1100 μΩ100 μH1 mF10 kΩ
Disclaimer/Publisher’s Note: The statements, opinions and data contained in all publications are solely those of the individual author(s) and contributor(s) and not of MDPI and/or the editor(s). MDPI and/or the editor(s) disclaim responsibility for any injury to people or property resulting from any ideas, methods, instructions or products referred to in the content.

Share and Cite

MDPI and ACS Style

Lehman, C.A.; Robinett, R.D., III; Weaver, W.W.; Wilson, D.G. Solid State Transformer Controls for Mitigation of E3a High-Altitude Electromagnetic Pulse Insults. Energies 2025, 18, 1055. https://doi.org/10.3390/en18051055

AMA Style

Lehman CA, Robinett RD III, Weaver WW, Wilson DG. Solid State Transformer Controls for Mitigation of E3a High-Altitude Electromagnetic Pulse Insults. Energies. 2025; 18(5):1055. https://doi.org/10.3390/en18051055

Chicago/Turabian Style

Lehman, Connor A., Rush D. Robinett, III, Wayne W. Weaver, and David G. Wilson. 2025. "Solid State Transformer Controls for Mitigation of E3a High-Altitude Electromagnetic Pulse Insults" Energies 18, no. 5: 1055. https://doi.org/10.3390/en18051055

APA Style

Lehman, C. A., Robinett, R. D., III, Weaver, W. W., & Wilson, D. G. (2025). Solid State Transformer Controls for Mitigation of E3a High-Altitude Electromagnetic Pulse Insults. Energies, 18(5), 1055. https://doi.org/10.3390/en18051055

Note that from the first issue of 2016, this journal uses article numbers instead of page numbers. See further details here.

Article Metrics

Back to TopTop