Transient Stability Analysis and Emergency Generator Tripping Control Based on Spatio-Temporal Graph Deep Learning
Abstract
1. Introduction
2. Methods
2.1. Transient Stability Assessment and the Prediction of the Coherent Generator Group Based on DCGRUs and GAT
2.1.1. Transient Response Time–Space Diagram Data
2.1.2. Spatial–Temporal Feature Prediction Method Based on DCGRUs
Principle of DCGRU Algorithm
DCGRU-Based Graph Recurrent Neural Network
2.1.3. Transient Stability Assessment and Coherent Generator Group Prediction Model
2.2. Emergency Generator Tripping Control Based on Transient Stability Analysis and Single-Machine Equivalent Method
2.3. Transient Stability Analysis and Emergency Tripping Control Scheme Based on Multi-Stage Model Prediction
3. Results Analysis
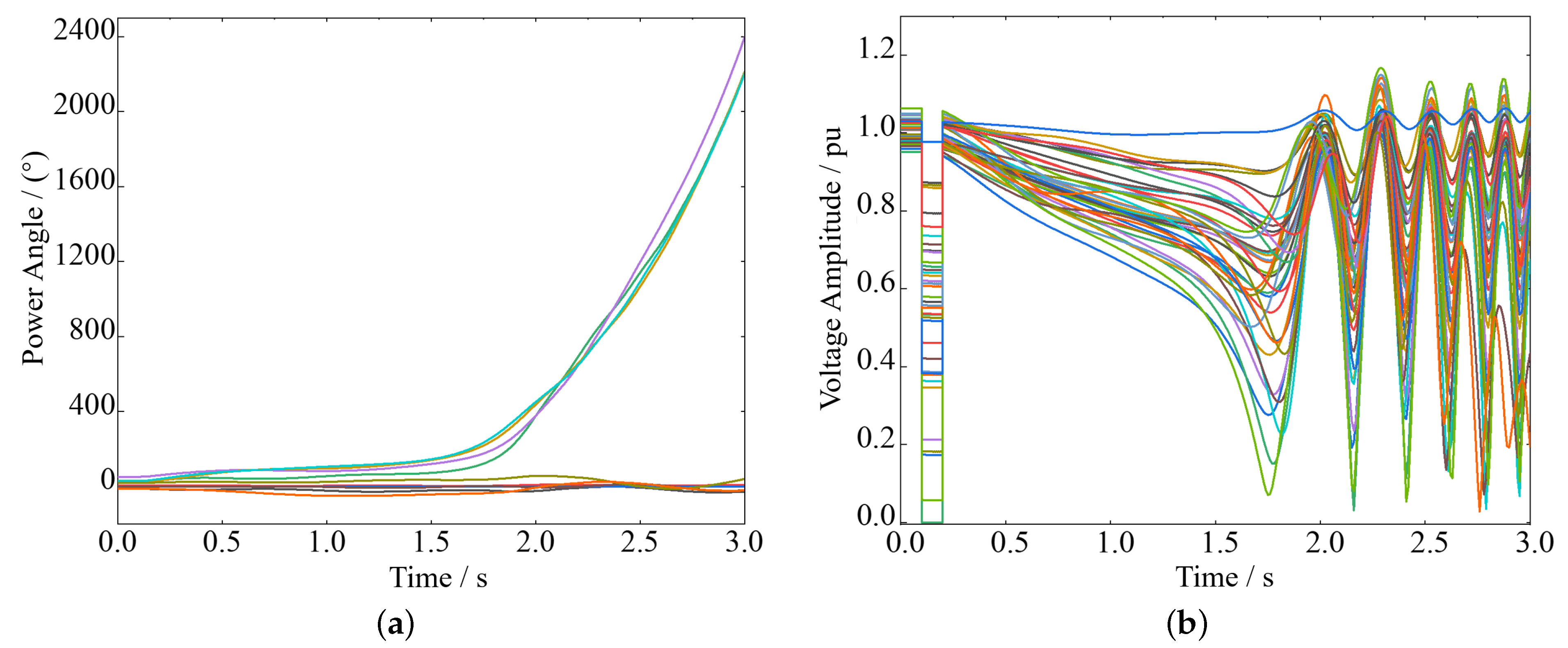
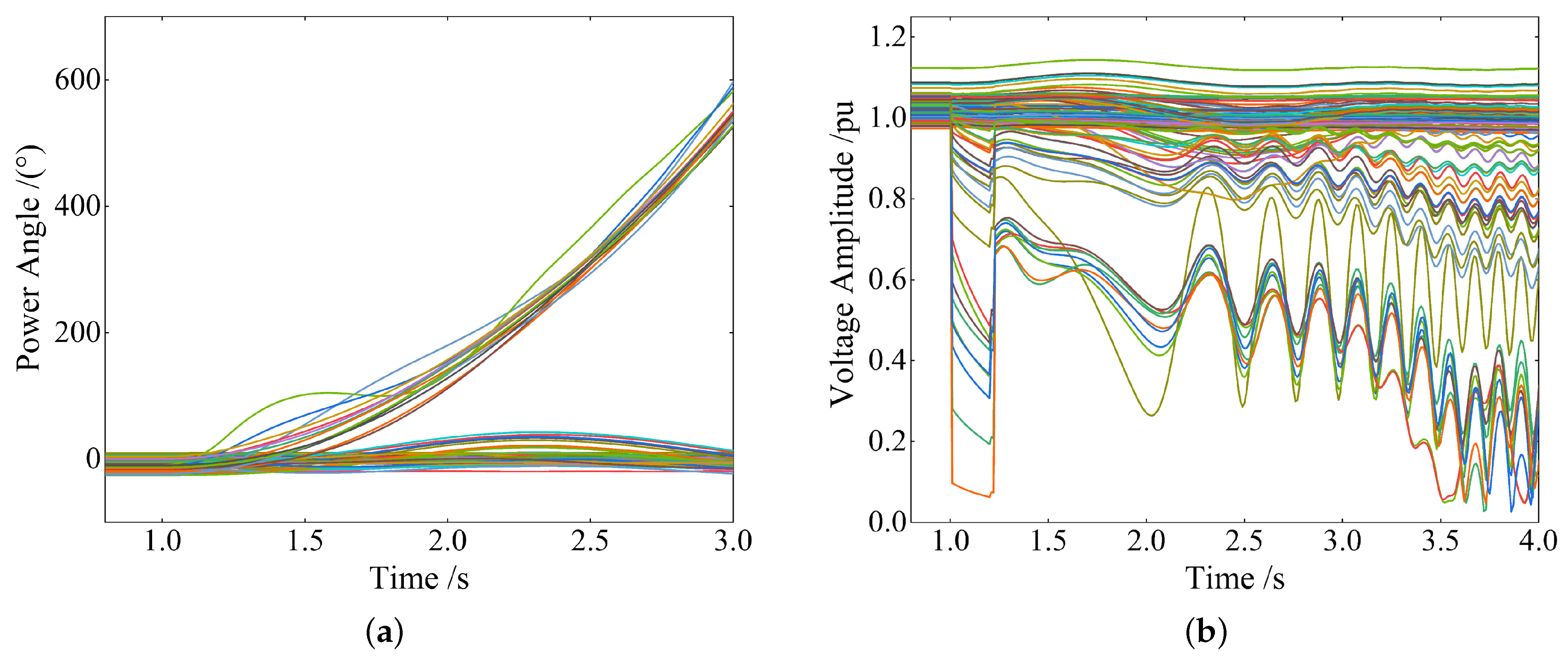
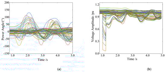
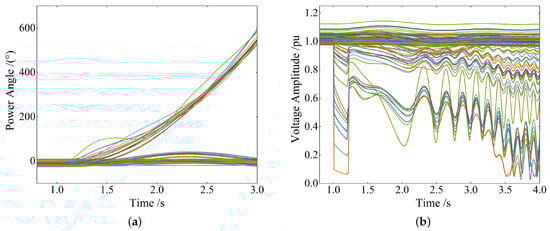
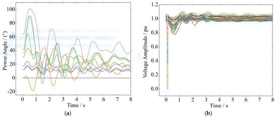
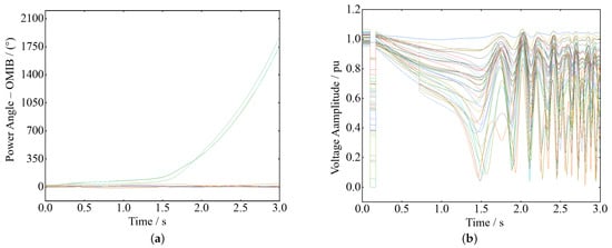
3.1. Effectiveness Analysis of Emergency Control Based on Coherent Cluster Prediction and Single-Machine Equivalent Method
3.2. Accuracy Analysis of the Model
3.2.1. Topological Generalization Analysis
3.2.2. Generalization Analysis of Instability Degree
3.3. Model Timeliness Analysis
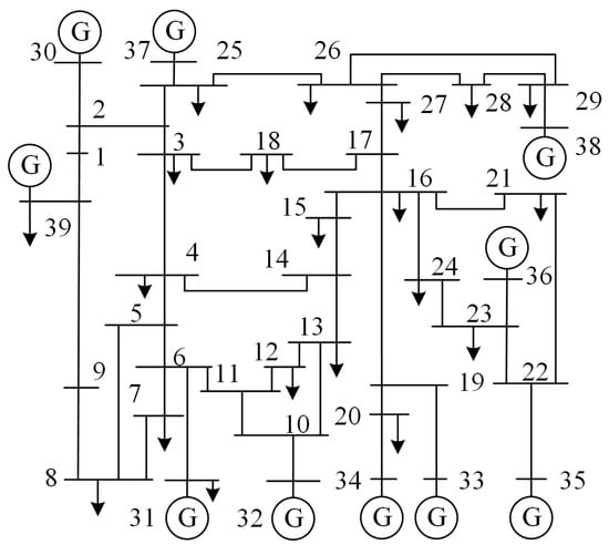
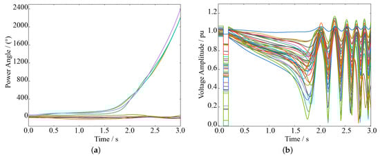
3.4. Analysis of Practical System of Northeast Power Grid
4. Summary
- (1)
- We first propose the DCGRU model to predict the spatial and temporal variation characteristics of node characteristics. The results show that the model proposed in this paper has good accuracy, topology generalization, and instability degree generalization.
- (2)
- The proposed emergency generator tripping control scheme based on the prediction results of the coherent generator group and the single-machine equivalent method can realize the calculation of the cutting proportion of the leading cluster. The results show that the emergency generator tripping control method based on the coherent generator group prediction can provide sufficient time for the calculation of emergency generator tripping control.
Author Contributions
Funding
Data Availability Statement
Conflicts of Interest
Abbreviations, Symbols and Units
| DCGRU | Diffusion Convolutional Gate Recurrent Units |
| UHV | Ultra-High Voltage |
| RF | Random forest |
| EEAC | Energy-based equilibrium analysis and control |
| AR | Auto-regression |
| CNN | Convolutional neural network |
| Bi-LSTM | Bidirectional long short-term memory |
| OMIB | One-machine infinite bus |
| CSI | Critical success index |
| LHS | Latin hypercube sampling |
| V | Voltage (V) |
| P | Active power (MW) |
| Q | Reactive power (MVar) |
| Power angle (degrees) | |
| Angular velocity (rad/s) | |
| M | Moment of inertia (kg·m2) |
| Mechanical power (MW) | |
| Electrical power (MW) | |
| t | Time (s) |
References
- Panda, D.K.; Das, S. Smart grid architecture model for control, optimization and data analytics of future power networks with more renewable energy. J. Clean. Prod. 2021, 301, 126877. [Google Scholar] [CrossRef]
- Wu, Q.H.; Lin, Y.; Hong, C.; Su, Y.; Wen, T.; Liu, Y. Transient stability analysis of large-scale power systems: A survey. CSEE J. Power Energy Syst. 2023, 9, 1284–1300. [Google Scholar]
- Zhu, M.L. Construction of Quantization Strategy Based on Random Forest and XGBoost. In Proceedings of the 2020 Conference on Artificial Intelligence and Healthcare, Taiyuan, China, 23–25 October 2020; pp. 5–9. [Google Scholar]
- Wang, T.; Liu, J.L.; Zhu, J.X. Power system transient stability assessment and emergency control strategy based on random forest. Power Syst. Technol. 2020, 44, 4694–4701. [Google Scholar]
- Chen, C.S.; Ma, S.Y.; Zheng, C. An advanced evaluation method of emergency control effect based on transient deviation energy. Proc. CSEE 2018, 38, 5118–5125. [Google Scholar]
- Zheng, C.; Sun, H.D.; Li, H.L. Response-based branch transient transmission capacity index and emergency control. Proc. CSEE 2021, 41, 581–592. [Google Scholar]
- Mazhari, S.M.; Safari, N.; Chung, C.Y.; Kamwa, I. A quantile regression-based approach for online probabilistic prediction of unstable groups of coherent generators in power systems. IEEE Trans. Power Syst. 2018, 34, 2240–2250. [Google Scholar] [CrossRef]
- Liu, F.; Yin, Y.; Li, B. A novel probabilistic framework with interpretability for generator coherency identification. Int. J. Electr. Power Energy Syst. 2022, 143, 108474. [Google Scholar] [CrossRef]
- Sun, L.; Bai, J.; Zhou, Z.; Zhao, C. Transient Stability Assessment of Power System Based on Bi-directional Long-short-term Memory Network. Autom. Electr. Power Syst. 2020, 44, 64–72. [Google Scholar] [CrossRef]
- Tian, F.; Zhou, X.X.; Shi, D.Y. Power system transient stability assessment based on convolutional neural network synthesis model and steady-state characteristic quantities. Proc. CSEE 2019, 39, 4025–4032. [Google Scholar] [CrossRef]
- Saffari, M.; Khodayar, M. Spatiotemporal deep learning for power system applications: A survey. IEEE Access 2024, 12, 93623–93657. [Google Scholar] [CrossRef]
- Sun, L.; Peng, J.; Bai, J.; Chen, X.; Tian, Y. Multi-task Transient Stability Assessment of Power System Incorporating Graph Embedding Algorithm. Autom. Electr. Power Syst. 2022, 46, 83–91. [Google Scholar] [CrossRef]
- Wang, Z.C.; Zhou, Y.Z.; Guo, Q.L. Transient stability assessment of message passing graph neural network considering power system topology changes. Proc. CSEE 2021, 41, 2341–2350. [Google Scholar] [CrossRef]
- Li, Y.; Yu, R.; Shahabi, C.; Liu, Y. Diffusion Convolutional Recurrent Neural Network: Data-Driven Traffic Forecasting. In Proceedings of the International Conference on Learning Representations, Vancouver, BC, Canada, 30 April–3 May 2018. [Google Scholar]
- Chung, J.; Gulcehre, C.; Cho, K.; Bengio, Y. Empirical Evaluation of Gated Recurrent Neural Networks on Sequence Modeling. arXiv 2014, arXiv:1412.3555. [Google Scholar]
- Bengio, S.; Vinyals, O.; Jaitly, N.; Shazeer, N. Scheduled Sampling for Sequence Prediction with Recurrent Neural Networks. In Proceedings of the Advances in Neural Information Processing Systems, Montreal, QC, Canada, 7–12 December 2015; Volume 28. [Google Scholar]
- Bergstra, J.; Bardenet, R.; Bengio, Y.; Kégl, B. Algorithms for Hyper-Parameter Optimization. In Proceedings of the Advances in Neural Information Processing Systems, Granada, Spain, 12–14 December 2011; Volume 24. [Google Scholar]
- Gu, Y.; Deng, L. STAGCN: Spatial–Temporal Attention Graph Convolution Network for Traffic Forecasting. Mathematics 2022, 10, 1599. [Google Scholar] [CrossRef]
- Ma, X.; Tao, Z.; Wang, Y.; Yu, H.; Wang, Y. Long short-term memory neural network for traffic speed prediction using remote microwave sensor data. Transp. Res. Part Emerg. Technol. 2015, 54, 187–197. [Google Scholar] [CrossRef]
- Zheng, C.; Fan, X.; Wang, C.; Qi, J. GMAN: A Graph Multi-Attention Network for Traffic Prediction. In Proceedings of the AAAI Conference on Artificial Intelligence, New York, NY, USA, 7–8 February 2020; Volume 34, pp. 1234–1241. [Google Scholar]

















| Model | The Proportion of Unknown-Topology Samples (%) | ||||
|---|---|---|---|---|---|
| 100 | 80 | 60 | 40 | 20 | |
| DCGRU | 0.009 | 0.009 | 0.013 | 0.014 | 0.015 |
| GMAN | 0.016 | 0.026 | 0.039 | 0.049 | 0.062 |
| FC-LSTM | 0.021 | 0.035 | 0.055 | 0.065 | 0.089 |
| STGCN | 0.010 | 0.012 | 0.015 | 0.017 | 0.019 |
Disclaimer/Publisher’s Note: The statements, opinions and data contained in all publications are solely those of the individual author(s) and contributor(s) and not of MDPI and/or the editor(s). MDPI and/or the editor(s) disclaim responsibility for any injury to people or property resulting from any ideas, methods, instructions or products referred to in the content. |
© 2025 by the authors. Licensee MDPI, Basel, Switzerland. This article is an open access article distributed under the terms and conditions of the Creative Commons Attribution (CC BY) license (https://creativecommons.org/licenses/by/4.0/).
Share and Cite
Wang, S.; Zeng, J.; Zhang, J.; Liang, Z.; Zhu, Y.; Li, S. Transient Stability Analysis and Emergency Generator Tripping Control Based on Spatio-Temporal Graph Deep Learning. Energies 2025, 18, 993. https://doi.org/10.3390/en18040993
Wang S, Zeng J, Zhang J, Liang Z, Zhu Y, Li S. Transient Stability Analysis and Emergency Generator Tripping Control Based on Spatio-Temporal Graph Deep Learning. Energies. 2025; 18(4):993. https://doi.org/10.3390/en18040993
Chicago/Turabian StyleWang, Shuaibo, Jie Zeng, Jie Zhang, Zhuohang Liang, Yihua Zhu, and Shufang Li. 2025. "Transient Stability Analysis and Emergency Generator Tripping Control Based on Spatio-Temporal Graph Deep Learning" Energies 18, no. 4: 993. https://doi.org/10.3390/en18040993
APA StyleWang, S., Zeng, J., Zhang, J., Liang, Z., Zhu, Y., & Li, S. (2025). Transient Stability Analysis and Emergency Generator Tripping Control Based on Spatio-Temporal Graph Deep Learning. Energies, 18(4), 993. https://doi.org/10.3390/en18040993
