The Role of HCl-Catalyzed Sequential Carbonization in Producing Highly Carbonaceous Porous Biochar with Minimized Heavy Metal Content from Swine Manure
Abstract
1. Introduction
2. Materials and Methods
2.1. Swine Manure
2.2. Preparation of Hydrochar and Biochar
2.3. Characteristics of Hydrochar and Biochar
3. Results and Discussion
3.1. Elemental Composition
3.2. Energy Behavior
3.3. Surface Functionalities
3.4. Textural Properties
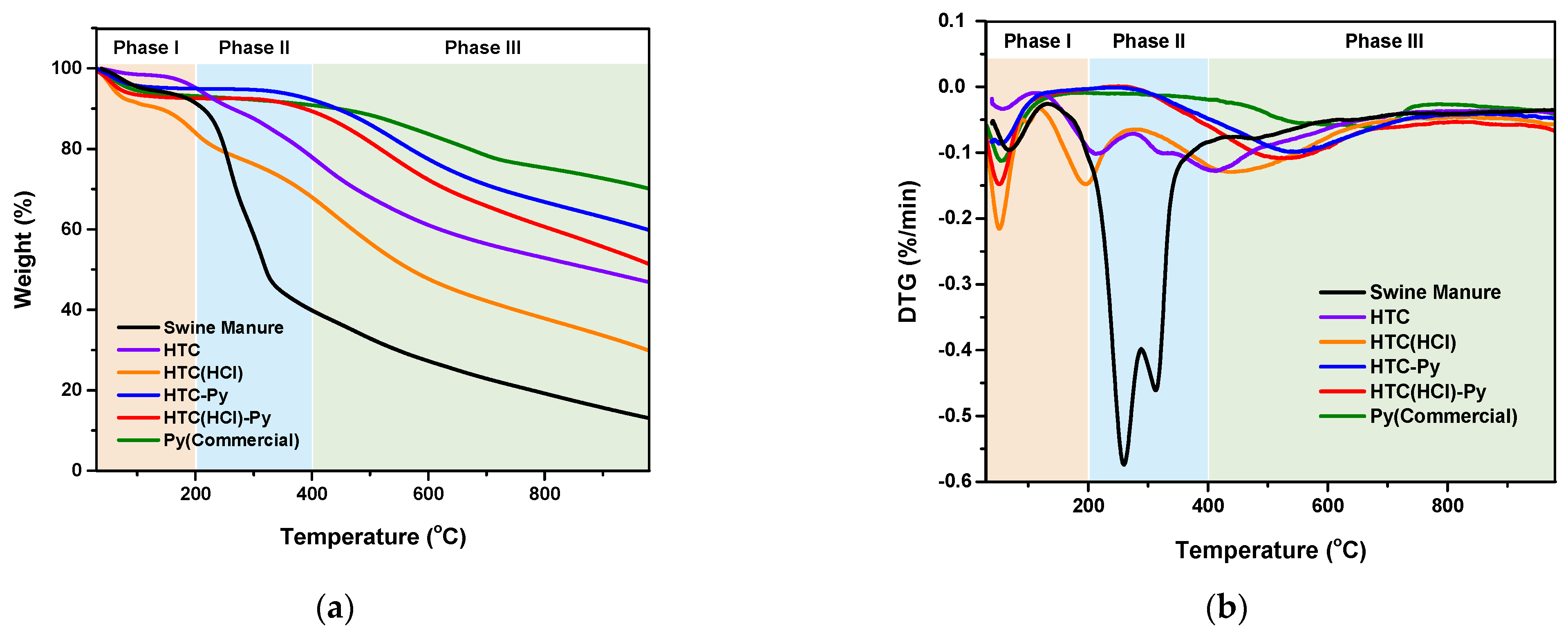
3.5. Thermal Stability
3.6. Soil Physicochemical Properties
4. Conclusions
Supplementary Materials
Author Contributions
Funding
Data Availability Statement
Conflicts of Interest
References
- Shukla, P.R.; Skeg, J.; Buendia, E.C.; Masson-Delmotte, V.; Pörtner, H.O.; Roberts, D.C.; Zhai, P.; Slade, R.; Connors, S.; Van Diemen, S.; et al. Climate Change and Land: An IPCC Special Report on Climate Change, Desertification, Land Degradation, Sustainable Land Management, Food Security, and Greenhouse Gas Fluxes in Terrestrial Ecosystems; Intergovernmental Panel on Climate Change (IPCC): Geneva, Switzerland, 2019. [Google Scholar]
- Food and Agriculture Organization of the United Nations (FAO). FAOSTAT Statistical Database; Food and Agriculture Organization of the United Nations (FAO): Rome, Italy, 2018; Available online: http://www.fao.org/faostat/en/#data/GT (accessed on 4 December 2024).
- Gerber, P.J.; Steinfeld, H.; Henderson, B.; Mottet, A.; Opio, C.; Dijkman, J.; Falcucci, A.; Tempio, G. Tackling Climate Change Through Livestock: A Global Assessment of Emissions and Mitigation Opportunities; Food and Agriculture Organization of the United Nations (FAO): Rome, Italy, 2013; p. xxi + 115. [Google Scholar]
- Cayuela, M.L.; van Zwieten, L.; Singh, B.P.; Jeffery, S.; Roig, A.; Sánchez-Monedero, M.A. Biochar’s role in mitigating soil nitrous oxide emissions: A review and meta-analysis. Agric. Ecosyst. Environ. 2014, 191, 5–16. [Google Scholar] [CrossRef]
- Zhang, A.; Liu, Y.; Pan, G.; Hussain, Q.; Li, L.; Zheng, J.; Zhang, X. Effect of biochar amendment on yield and methane and nitrous oxide emissions from a rice paddy. Agric. Ecosyst. Environ. 2010, 139, 469–475. [Google Scholar] [CrossRef]
- Liu, X.; Qu, J.; Li, L.; Zhang, A.; Zheng, J.; Zhang, X.; Li, L.; Pan, G. Can biochar amendment be an ecological engineering technology to depress N2O emission in rice paddies? A cross site field experiment from South China. Ecol. Eng. 2012, 42, 168–173. [Google Scholar] [CrossRef]
- Libra, J.A.; Ro, K.S.; Kammann, C.; Funke, A.; Berge, N.D.; Neubauer, Y.; Titirici, M.M.; Fühner, C.; Bens, O.; Kern, J.; et al. Hydrothermal carbonization of biomass residuals: A comparative review of the chemistry, processes and applications of wet and dry pyrolysis. Biofuels 2011, 2, 89–124. [Google Scholar] [CrossRef]
- Sarrion, A.; Rubia, A.; Coronella, C.; Mohedano, A.F.; Diaz, E. Acid-mediated hydrothermal treatment of sewage sludge for nutrient recovery. Sci. Total Environ. 2022, 838, 156494. [Google Scholar] [CrossRef]
- Reiche, S.; Kowalew, N.; Schlögl, R. Influence of synthesis pH and oxidative strength of the catalyzing acid on the morphology of hydrothermal carbon. ChemPhysChem 2015, 16, 579–587. [Google Scholar] [CrossRef]
- Ipiales, R.P.; Sarrion, A.; Diaz, E.; Diaz-Portuondo, E.; Mohedano, A.F.; de la Rubia, A. Strategies to improve swine manure hydrochar: HCl-assisted hydrothermal carbonization versus hydrochar washing. Biomass Convers. Biorefin. 2023, 13, 16467–16478. [Google Scholar] [CrossRef]
- García-Bordejé, E.; Pires, E.; Fraile, J.M. Parametric study of the hydrothermal carbonization of cellulose and effect of acidic conditions. Carbon 2017, 123, 421–432. [Google Scholar] [CrossRef]
- Zhang, S.; Sheng, K.; Yan, W.; Liu, J.; Shuang, E.; Yang, M.; Zhang, X. Bamboo derived hydrochar microspheres fabricated by acid-assisted hydrothermal carbonization. Chemosphere 2021, 263, 128093. [Google Scholar] [CrossRef]
- Masoumi, S.; Borugadda, V.B.; Nanda, S.; Dalai, A.K. Hydrochar: A review on its production technologies and applications. Catalysts 2021, 11, 939. [Google Scholar] [CrossRef]
- Shi, Z.; Liu, S.; Wang, S.; Niedzwiecki, L.; Baranowski, M.; Czerep, M.; Tang, C.; Kawi, S.; Wang, C.H.; Jiang, J.; et al. Hydrothermal carbonization coupled with pyrolysis: An innovative approach to digestate management. Green Energy Resour. 2023, 1, 100034. [Google Scholar] [CrossRef]
- Kumar, A.; Jamro, I.A.; Rong, H.; Kumari, L.; Laghari, A.A.; Cui, B.; Aborisade, M.A.; Oba, B.T.; Nkinahamira, F.; Ndagijimana, P.; et al. Assessing bioenergy prospects of algal biomass and yard waste using an integrated hydrothermal carbonization and pyrolysis (HTC–PY): A detailed emission-to-ash characterization via diverse hyphenated analytical techniques and modelling strategies. Chem. Eng. J. 2024, 492, 152335. [Google Scholar] [CrossRef]
- Nguyen, T.-B.; Truong, Q.-M.; Chen, C.-W.; Doong, R.; Chen, W.-H.; Dong, C.-D. Mesoporous and adsorption behavior of algal biochar prepared via sequential hydrothermal carbonization and ZnCl2 activation. Bioresour. Technol. 2022, 346, 126351. [Google Scholar] [CrossRef] [PubMed]
- Arauzo, P.J.; Maziarka, P.A.; Schoder, K.A.; Pfersich, J.; Ronsse, F.; Kruse, A. Influence of sequential HTC pre-treatment and pyrolysis on wet food-industry wastes: Optimisation toward nitrogen-rich hierarchical carbonaceous materials intended for use in energy storage solutions. Sci. Total Environ. 2022, 816, 151648. [Google Scholar] [CrossRef]
- Román, S.; Libra, J.; Berge, N.; Sabio, E.; Ro, K.; Li, L.; Ledesma, B.; Álvarez, A.; Bae, S. Hydrothermal carbonization: Modeling, final properties design and applications: A review. Energies 2018, 11, 216. [Google Scholar] [CrossRef]
- Yameen, M.Z.; Naqvi, S.R.; Juchelková, D.; Khan, M.N.A. Harnessing the power of functionalized biochar: Progress, challenges, and future perspectives in energy, water treatment, and environmental sustainability. Biochar 2024, 6, 25. [Google Scholar] [CrossRef]
- ASTM D1762-84; Standard Test Method for Chemical Analysis of Wood Charcoal. ASTM International: West Conshohocken, PA, USA, 2021.
- Schuster, G.; Löffler, G.; Weigl, K.; Hofbauer, H. Biomass steam gasification—An extensive parametric modeling study. Bioresour. Technol. 2001, 77, 71–79. [Google Scholar] [CrossRef]
- ASTM D4972-13; Standard Test Method for pH of Soils. ASTM International: West Conshohocken, PA, USA, 2013.
- ASTM D1125-23; Standard Test Methods for Electrical Conductivity and Resistivity of Water. ASTM International: West Conshohocken, PA, USA, 2023.
- ASTM D7503-18; Standard Test Method for Measuring the Exchange Capacity of Inorganic Fine-Grained Soils (Includes Exchangeable Cations). ASTM International: West Conshohocken, PA, USA, 2018.
- ASTM D6349-21; Standard Test Method for Determination of Major and Minor Elements in Coal, Coke, and Combustion Residues from Coal Utilization Processes by Inductively Coupled Plasma–Atomic Emission Spectrometry (ICP-AES). ASTM International: West Conshohocken, PA, USA, 2021.
- Cao, X.; Ro, K.S.; Libra, J.A.; Kammann, C.I.; Lima, I.; Berge, N.; Li, L.; Li, Y.; Chen, N.; Yang, J.; et al. Effects of biomass types and carbonization conditions on the chemical characteristics of hydrochars. J. Agric. Food Chem. 2013, 61, 9401–9411. [Google Scholar] [CrossRef]
- Szögi, A.A.; Vanotti, M.B.; Hunt, P.G. Phosphorus recovery from pig manure solids prior to land application. J. Environ. Manag. 2015, 157, 1–7. [Google Scholar] [CrossRef]
- Dai, L.; Yang, B.; Li, H.; Tan, F.; Zhu, N.; Zhu, Q.; He, M.; Ran, Y.; Hu, G. A synergistic combination of nutrient reclamation from manure and resultant hydrochar upgradation by acid-supported hydrothermal carbonization. Bioresour. Technol. 2017, 243, 860–866. [Google Scholar] [CrossRef]
- Wang, Z.; Tan, J.; He, Y.; Yuan, Y.; Liu, L.; Zhu, Y.; Cen, K. Catalytic Effect of Metal Chloride Additives on the Volatile Gas Release Characteristics for High-Temperature Lignite Pyrolysis. Energy Fuels 2019, 33, 9437–9445. [Google Scholar] [CrossRef]
- Bing, X.; Jiang, X.; Tian, M.; Wang, J.; Qiao, W.; Ling, L. Metal chloride-assisted synthesis of hierarchical porous carbons for high-rate-performance supercapacitor. RSC Adv. 2017, 7, 26650–26657. [Google Scholar] [CrossRef]
- Xu, Z.; He, M.; Xu, X.; Cao, X.; Tsang, D.C. Impacts of different activation processes on the carbon stability of biochar for oxidation resistance. Bioresour. Technol. 2021, 338, 125555. [Google Scholar] [CrossRef] [PubMed]
- Song, E.; Kim, H.; Kim, K.W.; Yoon, Y.M. Characteristic Evaluation of Different Carbonization Processes for Hydrochar, Torrefied Char, and Biochar Produced from Cattle Manure. Energies 2023, 16, 3265. [Google Scholar] [CrossRef]
- Pimenta-Ocampo, M.; Gascó, G.; Méndez, A.; Otten, W.; Sakrabani, R. Pyrolysis or hydrothermal carbonisation for anaerobic-digested sewage sludge? A comparison of pyrochar and hydrochar structure and stability. Biomass Convers. Biorefin. 2024, 14, 29303–29316. [Google Scholar] [CrossRef]
- Sharma, R.K.; Singh, T.P.; Mandal, S.; Azad, D.; Kumar, S. Chemical treatments for biochar modification: Opportunities, limitations and advantages. In Engineered Biochar: Fundamentals, Preparation, Characterization and Applications; Xiang, W., Zhang, X., Zhou, Y., Luo, Z., Eds.; Springer: Singapore, 2022; pp. 65–84. [Google Scholar]
- Jais, F.M.; Ibrahim, S.; Chee, C.Y.; Ismail, Z. High removal of crystal violet dye and tetracycline by hydrochloric acid-assisted hydrothermal carbonization of sugarcane bagasse. Sustain. Chem. Pharm. 2021, 24, 100541. [Google Scholar] [CrossRef]
- Cantrell, K.B.; Hunt, P.G.; Uchimiya, M.; Novak, J.M.; Ro, K.S. Impact of pyrolysis temperature and manure source on physicochemical characteristics of biochar. Bioresour. Technol. 2012, 107, 419–428. [Google Scholar] [CrossRef]
- Hong, T.; Wang, S. Experimental study of the effect of acid-washing pretreatment on biomass pyrolysis. J. Fuel Chem. Technol. 2009, 37, 668–672. [Google Scholar]
- Román, S.; Nabais, J.V.; Ledesma, B.; González, J.F.; Laginhas, C.; Titirici, M.M. Production of low-cost adsorbents with tunable surface chemistry by conjunction of hydrothermal carbonization and activation processes. Microporous Mesoporous Mater. 2013, 165, 127–133. [Google Scholar] [CrossRef]
- Navas-Cárdenas, C.; Caetano, M.; Endara, D.; Jiménez, R.; Lozada, A.B.; Manangón, L.E.; Navarrete, A.; Reinoso, C.; Sommer-Márquez, A.E.; Villasana, Y. The role of oxygenated functional groups on cadmium removal using pyrochar and hydrochar derived from Guadua angustifolia residues. Water 2023, 15, 525. [Google Scholar] [CrossRef]
- Weber, K.; Quicker, P. Properties of biochar. Fuel 2018, 217, 240–261. [Google Scholar] [CrossRef]
- Kambo, H.S.; Dutta, A. A comparative review of biochar and hydrochar in terms of production, physicochemical properties, and applications. Renew. Sust. Energy Rev. 2015, 45, 359–378. [Google Scholar] [CrossRef]
- Yoo, S.-Y.; Kim, S.-S.; Nadeem, A.; Trang, H.T.T.; Choe, K.; Lee, J.-Y. The effects of an acid catalyst on the physicochemical properties of hydrochar in the hydrothermal carbonization (HTC) of livestock manure. J. Korea Soc. Waste Manag. 2024, 41, 175–186. [Google Scholar]
- Ilić, M.; Haegel, F.-H.; Lolić, A.; Nedić, Z.; Tosti, T.; Ignjatović, I.S.; Linden, A.; Jablonowski, N.D.; Hartmann, H. Surface functional groups and degree of carbonization of selected chars from different processes and feedstock. PLoS ONE 2022, 17, e0277365. [Google Scholar] [CrossRef] [PubMed]
- Crombie, K.; Mašek, O. Pyrolysis biochar systems, balance between bioenergy and carbon sequestration. Glob. Change Biol. Bioenergy 2015, 7, 349–361. [Google Scholar] [CrossRef]
- Faradilla, R.H.; Lucia, L.; Hakovirta, M. Remarkable physical and thermal properties of hydrothermal carbonized nanoscale cellulose observed from citric acid catalysis and acetone rinsing. Nanomaterials 2020, 10, 1049. [Google Scholar] [CrossRef]
- MacDermid-Watts, K.; Pradhan, R.; Dutta, A. Catalytic hydrothermal carbonization treatment of biomass for enhanced activated carbon: A review. Waste Biomass Valorization 2021, 12, 2171–2186. [Google Scholar] [CrossRef]
- Yuan, H.; Lu, T.; Wang, Y.; Huang, H.; Chen, Y. Influence of pyrolysis temperature and holding time on properties of biochar derived from medicinal herb (radix isatidis) residue and its effect on soil CO2 emission. J. Anal. Appl. Pyrolysis 2014, 110, 277–284. [Google Scholar] [CrossRef]
- Hasan, R.O.; Ercan, B.; Acikkapi, A.N.; Ucar, S.; Karagoz, S. Effects of metal chlorides on the hydrothermal carbonization of grape seeds. Energy Fuels 2021, 35, 8834–8843. [Google Scholar] [CrossRef]
- Jawad, A.H.; Abd Malek, N.N.; Khadiran, T.; ALOthman, Z.A.; Yaseen, Z.M. Mesoporous high-surface-area activated carbon from biomass waste via microwave-assisted-H3PO4 activation for methylene blue dye adsorption: An optimized process. Diam. Relat. Mater. 2022, 128, 109288. [Google Scholar] [CrossRef]
- Sing, K.S.; Williams, R.T. Physisorption hysteresis loops and the characterization of nanoporous materials. Adsorp. Sci. Technol. 2004, 22, 773–782. [Google Scholar] [CrossRef]
- Bläker, C.; Muthmann, J.; Pasel, C.; Bathen, D. Characterization of activated carbon adsorbents–state of the art and novel approaches. ChemBioEng Rev. 2019, 6, 119–138. [Google Scholar] [CrossRef]
- Fu, P.; Hu, S.; Xiang, J.; Sun, L.; Su, S.; Wang, J. Evaluation of the porous structure development of chars from pyrolysis of rice straw: Effects of pyrolysis temperature and heating rate. J. Anal. Appl. Pyrolysis 2012, 98, 177–183. [Google Scholar] [CrossRef]
- Lang, Q.; Liu, Z.; Li, Y.; Xu, J.; Li, J.; Liu, B.; Sun, Q. Combustion characteristics, kinetic and thermodynamic analyses of hydrochars derived from hydrothermal carbonization of cattle manure. J. Environ. Chem. Eng. 2022, 10, 106938. [Google Scholar] [CrossRef]
- Yang, H.; Yan, R.; Chen, H.; Lee, D.H.; Zheng, C. Characteristics of hemicellulose, cellulose, and lignin pyrolysis. Fuel 2007, 86, 1781–1788. [Google Scholar] [CrossRef]
- Kawamoto, H. Lignin pyrolysis reactions. J. Wood Sci. 2017, 63, 117–132. [Google Scholar] [CrossRef]
- Brebu, M.; Vasile, C. Thermal degradation of lignin—A review. Cellul. Chem. Technol. 2010, 44, 353. [Google Scholar]
- Ornaghi, H.L.; Ornaghi, F.G.; Neves, R.M.; Monticeli, F.; Bianchi, O. Mechanisms involved in thermal degradation of lignocellulosic fibers: A survey based on chemical composition. Cellulose 2020, 27, 4949–4961. [Google Scholar] [CrossRef]
- Lang, Q.; Zhang, B.; Liu, Z.; Chen, Z.; Xia, Y.; Li, D.; Ma, J.; Gai, C. Co-hydrothermal carbonization of corn stalk and swine manure: Combustion behavior of hydrochar by thermogravimetric analysis. Bioresour. Technol. 2019, 271, 75–83. [Google Scholar] [CrossRef]
- González-Arias, J.; Sánchez, M.E.; Cara-Jiménez, J.; Baena-Moreno, F.M.; Zhang, Z. Hydrothermal carbonization of biomass and waste: A review. Environ. Chem. Lett. 2022, 20, 211–221. [Google Scholar] [CrossRef]
- Nanda, S.; Dalai, A.K.; Berruti, F.; Kozinski, J.A. Biochar as an exceptional bioresource for energy, agronomy, carbon sequestration, activated carbon and specialty materials. Waste Biomass Valorization 2016, 7, 201–235. [Google Scholar] [CrossRef]
- Li, X.H.; Meng, Y.Z.; Zhu, Q.; Tjong, S.C. Thermal decomposition characteristics of poly (propylene carbonate) using TG/IR and Py-GC/MS techniques. Polym. Degrad. Stab. 2003, 81, 157–165. [Google Scholar] [CrossRef]
- Sharma, R.; Jasrotia, K.; Singh, N.; Ghosh, P.; Srivastava, S.; Sharma, N.R.; Singh, J.; Kanwar, R.; Kumar, A. A comprehensive review on hydrothermal carbonization of biomass and its applications. Chem. Afr. 2020, 3, 1–19. [Google Scholar] [CrossRef]
- Yuan, J.H.; Xu, R.K.; Zhang, H. The forms of alkalis in the biochar produced from crop residues at different temperatures. Bioresour. Technol. 2011, 102, 3488–3497. [Google Scholar] [CrossRef]
- Gascó, G.; Paz-Ferreiro, J.; Álvarez, M.L.; Saa, A.; Méndez, A. Biochars and hydrochars prepared by pyrolysis and hydrothermal carbonisation of pig manure. Waste Manag. 2018, 79, 395–403. [Google Scholar] [CrossRef]
- Glaser, B.; Lehmann, J.; Zech, W. Ameliorating physical and chemical properties of highly weathered soils in the tropics with charcoal—A review. Biol. Fertil. Soils 2002, 35, 219–230. [Google Scholar] [CrossRef]
- Asai, H.; Samson, B.K.; Stephan, H.M.; Songyikhangsuthor, K.; Homma, K.; Kiyono, Y.; Inoue, Y.; Shiraiwa, T.; Horie, T. Biochar amendment techniques for upland rice production in Northern Laos. Field Crops Res. 2009, 111, 81–84. [Google Scholar] [CrossRef]
- Liu, K.; Xue, Y.; Zhai, Y.; Zhou, L.; Kang, J. Hydrochloric Acid Catalyzed Hydrothermal Treatment to Recover Phosphorus from Municipal Sludge. Catalysts 2024, 14, 65. [Google Scholar] [CrossRef]
- Wang, H.; Yang, Z.; Li, X.; Liu, Y. Distribution and transformation behaviors of heavy metals and phosphorus during hydrothermal carbonization of sewage sludge. Environ. Sci. Pollut. Res. 2020, 27, 17109–17122. [Google Scholar] [CrossRef]
- Aktar, S.; Hossain, M.A.; Shah, K.; Mendez, A.; de Figueiredo, C.C.; Gasco, G.; Paz-Ferreiro, J. Immobilization of Heavy Metals in Biochar Derived from Biosolids: Effect of Temperature and Carrier Gas. Soil Syst. 2024, 8, 117. [Google Scholar] [CrossRef]
- Lu, X.; Ma, X.; Qin, Z.; Ke, C.; Chen, L.; Chen, X. Co-Hydrothermal Carbonization of Sewage Sludge with Wood Chip: Fuel Properties and Heavy Metal Transformation Behavior of Hydrochars. Energy Fuels 2021, 35, 15790–15801. [Google Scholar] [CrossRef]





| Sample | FC (wt.%) | VM (wt.%) | Ash (wt.%) | FR | FCD | FCR (wt.%) | Yield (wt.%) |
|---|---|---|---|---|---|---|---|
| Swine Manure | 16.6 (0.5) | 74.1 (0.7) | 9.3 (0.3) | 0.2 (0.1) | - | - | - |
| HTC | 31.3 (1.2) | 54.7 (1.5) | 14.1 (1.0) | 0.6 (0.1) | 1.8 (0.1) | 90.6 (3.2) | 48.0 (2.1) |
| HTC(HCl) | 39.0 (1.3) | 53.4 (1.4) | 7.6 (0.8) | 0.7 (0.1) | 2.4 (0.1) | 100.4 (3.8) | 42.6 (1.8) |
| HTC-Py | 58.2 (1.5) | 18.1 (0.9) | 23.7 (1.5) | 3.2 (0.2) | 3.5 (0.2) | 100.5 (4.1) | 28.6 (1.5) |
| HTC(HCl)-Py | 70.0 (1.6) | 15.4 (0.8) | 14.6 (1.2) | 4.5 (0.2) | 4.2 (0.2) | 108.2 (4.5) | 25.6 (1.3) |
| Py(Commercial) | 56.1 (1.4) | 20.2 (1.0) | 23.7 (1.1) | 2.8 (0.2) | 3.4 (0.2) | 124.7 (5.2) | 36.8 (1.6) |
| Sample | C (wt.%) | H (wt.%) | N (wt.%) | O (wt.%) | S (wt.%) | H/C | O/C | CD | CR (wt.%) |
|---|---|---|---|---|---|---|---|---|---|
| Swine Manure | 42.6 (0.3) | 6.1 (0.1) | 1.7 (0.1) | 39.8 (0.5) | 0.6 (0.1) | 1.70 (0.02) | 0.70 (0.02) | - | - |
| HTC | 59.0 (0.4) | 5.3 (0.1) | 3.4 (0.2) | 17.6 (0.5) | 0.7 (0.1) | 1.07 (0.01) | 0.22 (0.01) | 1.4 (0.1) | 66.5 (3.2) |
| HTC(HCl) | 66.5 (0.4) | 5.2 (0.1) | 1.7 (0.1) | 18.1 (0.5) | 0.5 (0.1) | 0.92 (0.01) | 0.20 (0.01) | 1.6 (0.1) | 66.5 (3.0) |
| HTC-Py | 63.4 (0.4) | 2.9 (0.2) | 3.2 (0.2) | 6.4 (0.4) | 0.4 (0.1) | 0.54 (0.01) | 0.08 (0.01) | 1.5 (0.1) | 42.6 (2.5) |
| HTC(HCl)-Py | 75.7 (0.5) | 2.7 (0.1) | 2.8 (0.2) | 3.8 (0.4) | 0.4 (0.1) | 0.43 (0.01) | 0.04 (0.01) | 1.8 (0.1) | 45.5 (2.7) |
| Py(Commercial) | 62.5 (0.4) | 3.0 (0.1) | 2.7 (0.2) | 7.5 (0.4) | 0.6 (0.1) | 0.58 (0.01) | 0.09 (0.01) | 1.5 (0.1) | 54.1 (3.0) |
| Sample | HHV-Calculated (MJ/kg) | HHV-Measured (MJ/kg) | ED | EY (wt.%) |
|---|---|---|---|---|
| Swine Manure | 16.87 (0.28) | 17.53 (0.13) | - | - |
| HTC | 23.97 (0.45) | 24.16 (0.42) | 1.38 (0.04) | 66.15 (3.46) |
| HTC(HCl) | 26.51 (0.50) | 25.98 (0.78) | 1.48 (0.05) | 63.13 (3.23) |
| HTC-Py | 23.94 (0.41) | 23.48 (0.79) | 1.34 (0.03) | 38.31 (2.08) |
| HTC(HCl)-Py | 28.48 (0.52) | 27.44 (0.72) | 1.57 (0.06) | 40.07 (2.31) |
| Py(Commercial) | 23.70 (0.39) | 23.46 (0.10) | 1.34 (0.04) | 49.25 (2.67) |
| Sample | BET Surface Area (m2/g) | External Surface Area (m2/g) | Micropore Area (m2/g) | Total Pore Volume (cm3/g) | Average Pore Diameter (nm) |
|---|---|---|---|---|---|
| Swine Manure | 0.920 | 0.920 | 0.000 | 0.007 | 30.682 |
| HTC | 1.326 | 1.326 | 0.000 | 0.012 | 21.906 |
| HTC(HCl) | 10.083 | 10.083 | 0.000 | 0.086 | 22.575 |
| HTC-Py | 9.007 | 9.007 | 0.000 | 0.014 | 3.822 |
| HTC(HCl)-Py | 279.662 | 157.474 | 120.188 | 0.168 | 3.825 |
| Py(Commercial) | 16.063 | 16.063 | 0.000 | 0.028 | 3.823 |
| Sample | pH (1:10) | EC (mS/cm) | CEC (cmol/kg) | Exchangeable Cation (meq/100 g) | |||
|---|---|---|---|---|---|---|---|
| Ca2+ | Mg2+ | K+ | Na+ | ||||
| Swine Manure | 5.81 (0.05) | 0.41 (0.02) | 8.94 (0.05) | 1.75 (0.02) | 1.47 (0.02) | 1.35 (0.01) | 4.37 (0.03) |
| HTC | 5.61 (0.04) | 0.22 (0.01) | 5.31 (0.06) | 0.84 (0.01) | 1.25 (0.02) | 1.72 (0.01) | 1.00 (0.02) |
| HTC(HCl) | 3.27 (0.06) | 0.24 (0.01) | 4.59 (0.04) | 1.94 (0.01) | 0.81 (0.01) | 0.70 (0.01) | 0.63 (0.01) |
| HTC-Py | 9.67 (0.02) | 0.22 (0.01) | 12.44 (0.13) | 2.33 (0.03) | 1.11 (0.02) | 6.17 (0.04) | 2.33 (0.02) |
| HTC(HCl)-Py | 6.34 (0.04) | 0.21 (0.02) | 35.77 (0.10) | 10.83 (0.06) | 7.61 (0.02) | 11.50 (0.07) | 4.98 (0.03) |
| Py(Commercial) | 9.76 (0.08) | 0.23 (0.01) | 35.42 (0.15) | 4.55 (0.04) | 7.91 (0.03) | 16.98 (0.08) | 5.83 (0.04) |
| Sample | Cd (mg/kg) | As (mg/kg) | Zn (mg/kg) | Cu (mg/kg) | Pb (mg/kg) | Ni (mg/kg) | Cr (mg/kg) |
|---|---|---|---|---|---|---|---|
| Global Standard 1 | 1.5 | 13 | 400 | 100 | 120 | 50 | 90 |
| Swine Manure | 0.07 (0.01) | 5.98 (0.54) | 928.68 (12.10) | 101.70 (4.33) | 4.72 (1.21) | 3.42 (2.23) | 9.41 (1.43) |
| HTC | 0.13 (0.02) | 8.08 (0.42) | 743.64 (9.73) | 272.64 (5.67) | 14.92 (1.32) | 18.13 (1.87) | 14.11 (1.24) |
| HTC(HCl) | 0.77 (0.01) | 5.10 (0.65) | 251.22 (10.82) | 186.52 (3.94) | 1.21 (0.85) | 13.48 (2.54) | 0.54 (0.90) |
| HTC-Py | 0.68 (0.01) | 23.52 (0.31) | 1324.15 (14.36) | 264.17 (6.32) | 33.75 (1.45) | 74.04 (2.88) | 14.12 (1.16) |
| HTC(HCl)-Py | 0.16 (0.02) | 10.22 (0.48) | 343.17 (11.55) | 206.15 (4.76) | 4.19 (1.10) | 7.82 (2.12) | 11.33 (1.38) |
| Py(Commercial) | 0.94 (0.01) | 24.55 (0.39) | 1601.30 (13.1) | 1557.11 (5.29) | 24.55 (1.38) | 68.84 (1.71) | 12.25 (1.03) |
Disclaimer/Publisher’s Note: The statements, opinions and data contained in all publications are solely those of the individual author(s) and contributor(s) and not of MDPI and/or the editor(s). MDPI and/or the editor(s) disclaim responsibility for any injury to people or property resulting from any ideas, methods, instructions or products referred to in the content. |
© 2025 by the authors. Licensee MDPI, Basel, Switzerland. This article is an open access article distributed under the terms and conditions of the Creative Commons Attribution (CC BY) license (https://creativecommons.org/licenses/by/4.0/).
Share and Cite
Yoo, S.-Y.; Kim, S.-S.; Ho, T.T.-T.; Nadeem, A.; Choe, K.; Lee, J.-Y. The Role of HCl-Catalyzed Sequential Carbonization in Producing Highly Carbonaceous Porous Biochar with Minimized Heavy Metal Content from Swine Manure. Energies 2025, 18, 948. https://doi.org/10.3390/en18040948
Yoo S-Y, Kim S-S, Ho TT-T, Nadeem A, Choe K, Lee J-Y. The Role of HCl-Catalyzed Sequential Carbonization in Producing Highly Carbonaceous Porous Biochar with Minimized Heavy Metal Content from Swine Manure. Energies. 2025; 18(4):948. https://doi.org/10.3390/en18040948
Chicago/Turabian StyleYoo, Seong-Yeun, Seong-Su Kim, Thi. Thu-Trang Ho, Ahmad Nadeem, Kangil Choe, and Jai-Young Lee. 2025. "The Role of HCl-Catalyzed Sequential Carbonization in Producing Highly Carbonaceous Porous Biochar with Minimized Heavy Metal Content from Swine Manure" Energies 18, no. 4: 948. https://doi.org/10.3390/en18040948
APA StyleYoo, S.-Y., Kim, S.-S., Ho, T. T.-T., Nadeem, A., Choe, K., & Lee, J.-Y. (2025). The Role of HCl-Catalyzed Sequential Carbonization in Producing Highly Carbonaceous Porous Biochar with Minimized Heavy Metal Content from Swine Manure. Energies, 18(4), 948. https://doi.org/10.3390/en18040948

