Investigation on Thermal Performance of a Battery Pack Cooled by Refrigerant R134a in Ribbed Cooling Channels
Abstract
1. Introduction
2. Numerical Method
2.1. Physical Model
2.2. Heat Generation Model of Battery
2.3. Governing Equations
2.4. Boundary Conditions and Mesh Independent Study
2.5. Numerical Validation
2.6. Parameter Definition
3. Results and Discussion
3.1. Effect of Rib Spacing in Cooling Channels on Heat Transfer Performance
3.2. Effect of Rib Angle in Cooling Channels on Heat Transfer Performance
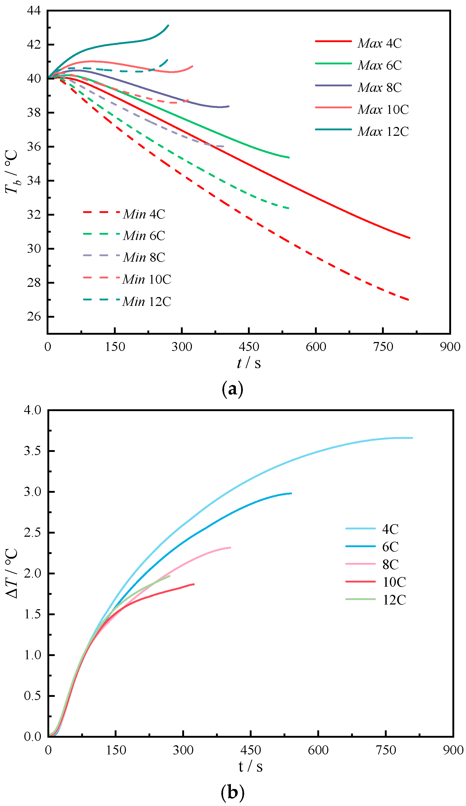
3.3. Effect of Different Discharge C-Rates on Battery Heat Transfer
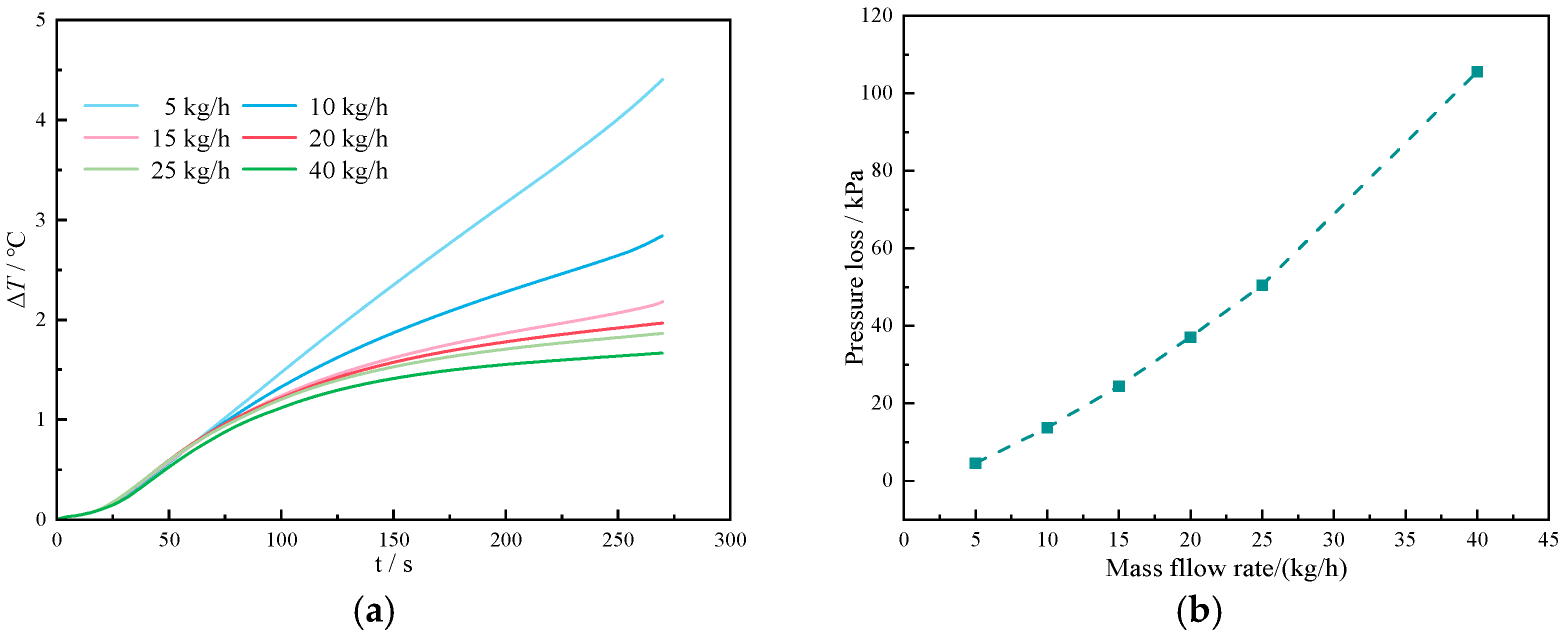
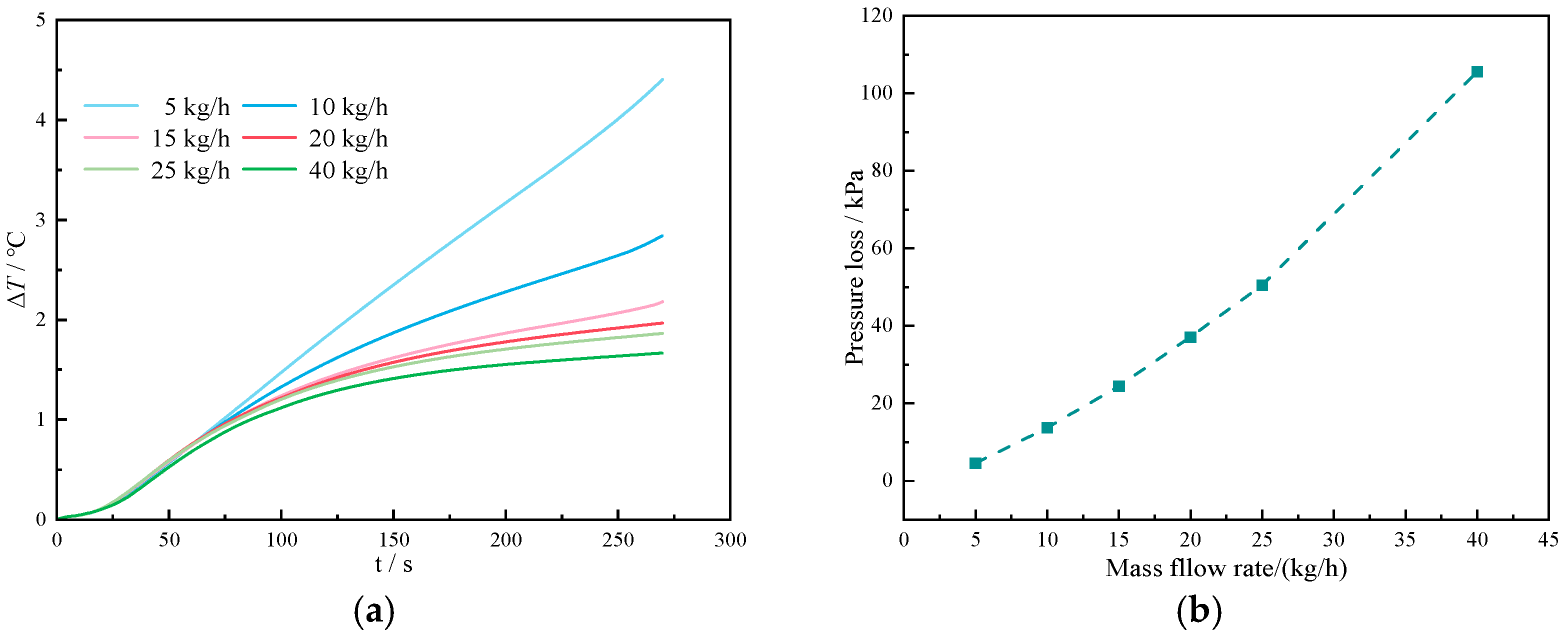
3.4. Effect of Different Refrigerant Mass Flow Rate on Battery Heat Transfer
3.5. Effect of Different Refrigerant Saturation Temperature on Battery Heat Transfer
4. Conclusions
Author Contributions
Funding
Data Availability Statement
Conflicts of Interest
Nomenclature
| Bulk temperature at x-direction (°C) | |
| Temperature of the liquid (°C) | |
| Maximum temperature of battery pack (°C) | |
| Minimum temperature of battery pack (°C) | |
| Liquid saturation temperature (°C) | |
| Temperature of the ribbed side wall (°C) | |
| Temperature difference of battery pack (°C) | |
| Reynolds number | |
| Internal resistance of battery (Ω) | |
| Time (s) | |
| Working voltage of the battery (V) | |
| Open circuit voltage of the battery (V) | |
| x-coordinate, y-coordinate, z-coordinate (m) | |
| Thermal conductivity of battery cell (W/(m·K)) |
Abbreviations
| BTMS | Battery Thermal Management System |
| EV | Electric Vehicle |
| HEV | Hybrid Electric Vehicle |
| HPPC | Hybrid Pulse Power Characterization |
| SOC | State of Charge |
| VOF | Volume-of-Fluid method |
| OCV | Open Circuit Voltage |
References
- Murali, G.; Sravya, G.; Jaya, J.; Vamsi, V.N. A review on hybrid thermal management of battery packs and it’s cooling performance by enhanced PCM. Renew. Sustain. Energy Rev. 2021, 150, 111513. [Google Scholar] [CrossRef]
- Zhang, T.; Gao, Q.; Wang, G.; Gu, Y.; Wang, Y.; Bao, W.; Zhang, D. Investigation on the promotion of temperature uniformity for the designed battery pack with liquid flow in cooling process. Appl. Therm. Eng. 2017, 116, 655–662. [Google Scholar] [CrossRef]
- Jia, Z.; Huang, Z.; Zhai, H.; Qin, P.; Zhang, Y.; Li, Y.; Wang, Q. Experimental investigation on thermal runaway propagation of 18,650 lithium-ion battery modules with two cathode materials at low pressure. Energy 2022, 251, 123925. [Google Scholar] [CrossRef]
- Wang, G.; Kong, D.; Ping, P.; He, X.; Lv, H.; Zhao, H.; Hong, W. Modeling venting behavior of lithium-ion batteries during thermal runaway propagation by coupling CFD and thermal resistance network. Appl. Energy 2023, 334, 120660. [Google Scholar] [CrossRef]
- Mohammed, A.H.; Esmaeeli, R.; Aliniagerdroudbari, H.; Alhadri, M.; Hashemi, S.R.; Nadkarni, G.; Farhad, S. Dual-purpose cooling plate for thermal management of prismatic lithium-ion batteries during normal operation and thermal runaway. Appl. Therm. Eng. 2019, 160, 114106. [Google Scholar] [CrossRef]
- Bai, P.; Xu, R.; Liu, M.; Jia, Z.; Sun, Z.; Wang, J.; Zhang, J.; Pei, J.; Zhang, Q.; Wang, J. Thermal runaway characteristics of LFP batteries by immersion cooling. ACS Appl. Energy Mater. 2023, 6, 7205–7211. [Google Scholar] [CrossRef]
- Wang, W.; Xie, S.; Pan, Q.; Dai, Y.; Wang, R.; Ge, T. Air-cooled adsorption-based device for harvesting water from island air. Renew. Sustain. Energy Rev. 2021, 141, 110802. [Google Scholar] [CrossRef]
- Albdour, S.A.; Haddad, Z.; Sharaf, O.Z.; Alazzam, A.; Abu-Nada, E. Micro/nano-encapsulated phase-change materials (ePCMs) for solar photothermal absorption and storage: Fundamentals, recent advances, and future directions. Prog. Energy Combust. Sci. 2022, 93, 101037. [Google Scholar] [CrossRef]
- Redhwan, A.; Azmi, W.; Sharif, M.; Mamat, R. Development of nanorefrigerants for various types of refrigerant based: A comprehensive review on performance. Int. Commun. Heat Mass Transf. 2016, 76, 285–293. [Google Scholar] [CrossRef]
- Zhao, G.; Wang, X.; Negnevitsky, M.; Zhang, H. A review of air-cooling battery thermal management systems for electric and hybrid electric vehicles. J. Power Sources 2021, 501, 230001. [Google Scholar] [CrossRef]
- Khalaj, A.H.; Halgamuge, S.K. A Review on efficient thermal management of air-and liquid-cooled data centers: From chip to the cooling system. Appl. Energy 2017, 205, 1165–1188. [Google Scholar] [CrossRef]
- Wu, C.; Sun, Y.; Tang, H.; Zhang, S.; Yuan, W.; Zhu, L.; Tang, Y. A review on the liquid cooling thermal management system of lithium-ion batteries. Appl. Energy 2024, 375, 124173. [Google Scholar] [CrossRef]
- Shang, Z.; Qi, H.; Liu, X.; Ouyang, C.; Wang, Y. Structural optimization of lithium-ion battery for improving thermal performance based on a liquid cooling system. Int. J. Heat Mass Transf. 2019, 130, 33–41. [Google Scholar] [CrossRef]
- Yates, M.; Akrami, M.; Javadi, A.A. Analysing the performance of liquid cooling designs in cylindrical lithium-ion batteries. J. Energy Storage 2021, 33, 100913. [Google Scholar] [CrossRef]
- Wang, R.; Liang, Z.; Souri, M.; Esfahani, M.N.; Jabbari, M. Numerical analysis of lithium-ion battery thermal management system using phase change material assisted by liquid cooling method. Int. J. Heat Mass Transf. 2022, 183, 122095. [Google Scholar] [CrossRef]
- Kong, R.; Zhang, H.; Tang, M.; Zou, H.; Tian, C.; Ding, T. Enhancing data center cooling efficiency and ability: A comprehensive review of direct liquid cooling technologies. Energy 2024, 308, 132846. [Google Scholar] [CrossRef]
- Hnayno, M.; Chehade, A.; Klaba, H.; Bauduin, H.; Polidori, G.; Maalouf, C. Performance analysis of new liquid cooling topology and its impact on data centres. Appl. Therm. Eng. 2022, 213, 118733. [Google Scholar] [CrossRef]
- Bargal, M.H.; Abdelkareem, M.A.; Tao, Q.; Li, J.; Shi, J.; Wang, Y. Liquid cooling techniques in proton exchange membrane fuel cell stacks: A detailed survey. Alex. Eng. J. 2020, 59, 635–655. [Google Scholar] [CrossRef]
- Jiang, T.; You, S.; Wu, Z.; Zhang, H.; Wang, Y.; Wei, S. Performance analysis of the refrigerant-cooling radiant terminal: A numerical simulation. Appl. Therm. Eng. 2021, 197, 117395. [Google Scholar] [CrossRef]
- Shen, M.; Gao, Q. System simulation on refrigerant-based battery thermal management technology for electric vehicles. Energy Convers. Manag. 2020, 203, 112176. [Google Scholar] [CrossRef]
- Guo, J.; Jiang, F. A novel electric vehicle thermal management system based on cooling and heating of batteries by refrigerant. Energy Convers. Manag. 2021, 237, 114145. [Google Scholar] [CrossRef]
- Park, S.; Jang, D.S.; Lee, D.; Hong, S.H.; Kim, Y. Simulation on cooling performance characteristics of a refrigerant-cooled active thermal management system for lithium ion batteries. Int. J. Heat Mass Transf. 2019, 135, 131–141. [Google Scholar] [CrossRef]
- Pambudi, N.A.; Sarifudin, A.; Firdaus, R.A.; Ulfa, D.K.; Gandidi, I.M.; Romadhon, R. The immersion cooling technology: Current and future development in energy saving. Alex. Eng. J. 2022, 61, 9509–9527. [Google Scholar] [CrossRef]
- Roe, C.; Feng, X.; White, G.; Li, R.; Wang, H.; Rui, X.; Li, C.; Zhang, F.; Null, V.; Parkes, M. Immersion cooling for lithium-ion batteries–A review. J. Power Sources 2022, 525, 231094. [Google Scholar] [CrossRef]
- Bernardi, D.; Pawlikowski, E.; Newman, J. A general energy balance for battery systems. J. Electrochem. Soc. 1985, 132, 5. [Google Scholar] [CrossRef]
- Yu, L.; Li, Y. A flexible-possibilistic stochastic programming method for planning municipal-scale energy system through introducing renewable energies and electric vehicles. J. Clean. Prod. 2019, 207, 772–787. [Google Scholar] [CrossRef]
- Lai, C.; Shan, S.; Feng, S.; Chen, Y.; Zeng, J.; Song, J.; Fu, L. Numerical investigations on heat transfer enhancement and energy flow distribution for interlayer battery thermal management system using Tesla-valve mini-channel cooling. Energy Convers. Manag. 2023, 280, 116812. [Google Scholar] [CrossRef]
- Zhang, J.; Tang, Y.; Song, C.; Zhang, J.; Wang, H. PEM fuel cell open circuit voltage (OCV) in the temperature range of 23 C to 120 C. J. Power Sources 2006, 163, 532–537. [Google Scholar] [CrossRef]
- Frankforter, K.J.; Tejedor-Tejedor, M.I.; Anderson, M.A.; Jahns, T.M. Investigation of hybrid battery/ultracapacitor electrode customization for energy storage applications with different energy and power requirements using HPPC cycling. IEEE Trans. Ind. Appl. 2019, 56, 1714–1728. [Google Scholar] [CrossRef]
- Hong, S.H.; Jang, D.S.; Park, S.; Yun, S.; Kim, Y. Thermal performance of direct two-phase refrigerant cooling for lithium-ion batteries in electric vehicles. Appl. Therm. Eng. 2020, 173, 115213. [Google Scholar] [CrossRef]
- Fadhl, B.; Wrobel, L.C.; Jouhara, H. CFD modelling of a two-phase closed thermosyphon charged with R134a and R404a. Appl. Therm. Eng. 2015, 78, 482–490. [Google Scholar] [CrossRef]
- ASHRAE. 2013 ASHRAE Handbook: Fundamentals, SI ed.; American Society of Heating, Refrigerating and Air-Conditioning Engineers: Atlanta, GA, USA, 2013. [Google Scholar]
- Zhuan, R.; Wang, W. Flow pattern of boiling in micro-channel by numerical simulation. Int. J. Heat Mass Transf. 2012, 55, 1741–1753. [Google Scholar] [CrossRef]
- Chen, J.C. Correlation for Boiling Heat Transfer to Saturated Fluids in Convective Flow. Ind. Eng. Chem. Process Des. Dev. 1966, 5, 322–329. [Google Scholar] [CrossRef]
- Xu, Y.; Fang, X.; Li, G.; Li, D.; Yuan, Y. An experimental study of flow boiling heat transfer of R134a and evaluation of existing correlations. Int. J. Heat Mass Transf. 2016, 92, 1143–1157. [Google Scholar] [CrossRef]
- Pioro, I. Experimental evaluation of constants for the Rohsenow pool boiling correlation. Int. J. Heat Mass Transf. 1999, 42, 2003–2013. [Google Scholar] [CrossRef]
- Zeng, J.; Feng, S.; Lai, C.; Song, J.; Fu, L.; Chen, H.; Deng, S.; Gao, T. Prediction on thermal performance of refrigerant-based battery thermal management system for a HEV battery pack. Int. J. Heat Mass Transf. 2023, 201, 123657. [Google Scholar] [CrossRef]
- Jiang, W.; Zhao, J.; Rao, Z. Heat transfer performance enhancement of liquid cold plate based on mini V-shaped rib for battery thermal management. Appl. Therm. Eng. 2021, 189, 116729. [Google Scholar] [CrossRef]
- Wang, J.; Lv, D.; Sha, H.; Lai, C.; Zeng, J.; Gao, T.; Yang, H.; Wu, H.; Jiang, Y. Numerical Investigation on the Thermal Performance of a Battery Pack by Adding Ribs in Cooling Channels. Energies 2024, 17, 4451. [Google Scholar] [CrossRef]























| Parameter | Specification |
|---|---|
| Nominal capacity (Ah) | 5.9 |
| Nominal voltage (V) | 3.64 |
| Maximum charge voltage (V) | 4.1 |
| Minimum discharge voltage (V) | 2.7 |
| Dimensions (length × height × width, mm) | 123 × 71 × 12.2 |
| Weight (kg) | 0.219 |
| Property | Vapor Phase Expression (°C) | Liquid Phase Expression (°C) |
|---|---|---|
| Density (kg·m−3) | = −3.0 × 10−7T3 + 9.0T2 − 0.019T + 4.7 | = −2.7 × 10−4T3 − 1.0 × 10−5T2 − 3.2T + 1292 |
| Specific heat capacity (J·(kg·°C)−1) | = 3.0 × 10−8T6 − 4.0 × 10−6T5 + 1.7 × 10−4T4 + 0.0029T3 − 0.076T2 + 4.1T + 908 | = 2.0 × 10−8T6 − 2.0 × 10−6T5 + 7.0 × 10−5T4 + 0.0018T3 − 0.044T2 + 2.5T + 1348 |
| Thermal conductivity (W·(m·°C)−1) | = 2.0 × 10−8T3 − 9.0 × 10−7T2 + 7.0 × 10−5T + 0.012 | = −4.0 × 10−9T3 + 4.0 × 10−7T2 − 4.0 × 10−4T + 0.092 |
| Viscosity (kg·(m·s)−1) | = 7.0 × 10−12T3 − 2.0 × 10−10T2 + 4.0 × 10−8T + 1.0 × 10−5 | = −1.0 × 10−10T3 + 3.0 × 10−8T2 − 4.0 × 10−6T + 3.0 × 10−4 |
| Component | Density kg/m3 | Specific Heat Capacity J/(kg·K) | Thermal Conductivity W/(m·K) |
|---|---|---|---|
| Battery cell | 2150 | 940 | λx = 20, λy = 3, λz = 16 |
| Thermal pad | 940 | 1900 | 0.42 |
| Cooling plate | 2650 | 870 | 165 |
| Heater plate | 1700 | 620 | 0.18 |
| Foam layer | 1450 | 1150 | 0.35 |
| Structure | Maximum Temperature/°C | Cross-Section Temperature Difference/°C | Pressure Drop/kPa |
|---|---|---|---|
| Smooth channel | 45.5 | 1.89 | 31.1 |
| Ribbed channel | 44.7 | 1.85 | 72.9 |
Disclaimer/Publisher’s Note: The statements, opinions and data contained in all publications are solely those of the individual author(s) and contributor(s) and not of MDPI and/or the editor(s). MDPI and/or the editor(s) disclaim responsibility for any injury to people or property resulting from any ideas, methods, instructions or products referred to in the content. |
© 2025 by the authors. Licensee MDPI, Basel, Switzerland. This article is an open access article distributed under the terms and conditions of the Creative Commons Attribution (CC BY) license (https://creativecommons.org/licenses/by/4.0/).
Share and Cite
Gao, T.; Wang, J.; Sha, H.; Yang, H.; Lai, C.; Fu, X.; Zhai, G.; Zeng, J. Investigation on Thermal Performance of a Battery Pack Cooled by Refrigerant R134a in Ribbed Cooling Channels. Energies 2025, 18, 1011. https://doi.org/10.3390/en18041011
Gao T, Wang J, Sha H, Yang H, Lai C, Fu X, Zhai G, Zeng J. Investigation on Thermal Performance of a Battery Pack Cooled by Refrigerant R134a in Ribbed Cooling Channels. Energies. 2025; 18(4):1011. https://doi.org/10.3390/en18041011
Chicago/Turabian StyleGao, Tieyu, Jiadian Wang, Haonan Sha, Hao Yang, Chenguang Lai, Xiaojin Fu, Guangtao Zhai, and Junxiong Zeng. 2025. "Investigation on Thermal Performance of a Battery Pack Cooled by Refrigerant R134a in Ribbed Cooling Channels" Energies 18, no. 4: 1011. https://doi.org/10.3390/en18041011
APA StyleGao, T., Wang, J., Sha, H., Yang, H., Lai, C., Fu, X., Zhai, G., & Zeng, J. (2025). Investigation on Thermal Performance of a Battery Pack Cooled by Refrigerant R134a in Ribbed Cooling Channels. Energies, 18(4), 1011. https://doi.org/10.3390/en18041011
