Electric Vehicle Charging Demand Prediction Model Based on Spatiotemporal Attention Mechanism
Abstract
1. Introduction
2. Materials and Method
2.1. Spatial Cross-Correlation Analysis
2.2. Fast Dynamic Time Warping (FastDTW) Algorithm
2.3. Time Series Feature Analysis
2.4. Charging Load Prediction Framework
2.5. Spatiotemporal Attention Mechanism
2.6. Graph Convolutional Networks
3. Results
3.1. Data Process
3.2. Model Parameter Settings and Evaluation Metrics
3.2.1. Hyperparameter Settings
3.2.2. Evaluation Metrics
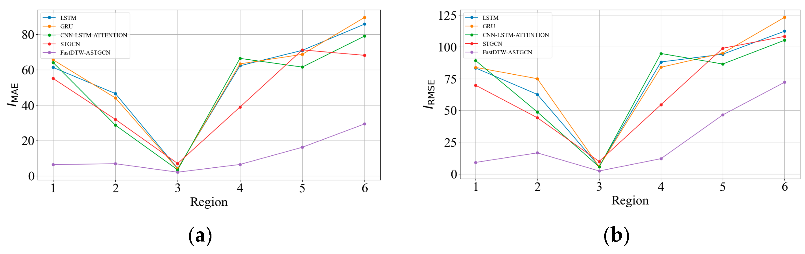
3.3. Results Analysis
4. Discussion
4.1. DTW Performance Evaluation
4.2. ASTGCN Performance Evaluation
5. Conclusions
- (1)
- The proposed model achieves coupling across spatial, feature, and temporal dimensions, facilitating information exchange among multiple regions. This provides theoretical support and feasibility verification for the multidimensional feature interaction and extraction techniques for spatial load.
- (2)
- The case study results indicate that the proposed model improves prediction accuracy at different time steps and demonstrates stronger stability under various adjacency matrix parameter settings. Compared to existing methods, it can more accurately predict the development trend of charging loads in different regions.
- (3)
- The visualization of the model’s attention weights confirms the existence of spatial dependencies among user-level regions, enhancing the interpretability of the proposed model and facilitating further exploration of significant charging loads in the spatial domain.
Author Contributions
Funding
Data Availability Statement
Conflicts of Interest
Appendix A
References
- Chen, L.; Zhang, Y.; Figueiredo, A. Overview of charging and discharging load forecasting for electric vehicles. Autom. Electr. Power Syst. 2019, 43, 177–191. [Google Scholar]
- Fang, Y.; Hu, J.; Ma, W. Optimal dispatch strategy for electric vehicle aggregators based on Stackelberg game theory considering user intention. Trans. China Electrotech. Soc. 2024, 39, 5091–5103. [Google Scholar] [CrossRef]
- Wang, H.; Yuan, J.; Chen, Z.; Ma, Y.; Dong, H.; Yuan, S.; Yang, J. Review and prospect of key techniques for vehicle-station-network integrated operation in smart city. Trans. China Electrotech. Soc. 2022, 37, 112–132. [Google Scholar]
- Han, F.; Wang, X.; Qiao, J.; Shi, M.; Pu, T. Review on artificial intelligence based load forecasting research for the new-type power system. Proc. CSEE 2023, 43, 8569–8591. [Google Scholar]
- Zhang, M.; Sun, Q.; Yang, X. Electric vehicle charging load prediction considering multi-source information real-time interaction and user regret psychology. Power Syst. Technol. 2022, 46, 632–641. [Google Scholar]
- Lin, W.X.; Wu, D.; Boulet, B. Spatial-temporal residential short-term load forecasting via graph neural networks. IEEE Trans. Smart Grid 2021, 12, 5373–5384. [Google Scholar] [CrossRef]
- Li, D.; Sun, G.; Miao, S.; Zhang, K.; Tan, Y.; Zhang, Y.; He, S. A short-term power load forecasting method based on multidimensional temporal information fusion. Proc. CSEE 2023, 43 (Suppl. S1), 94–106. [Google Scholar]
- Long, X.; Yang, J.; Wu, F.; Zhan, X.; Lin, Y.; Xu, J. Prediction of electric vehicle charging load considering interaction between road network and power grid and user’s psychology. Autom. Electr. Power Syst. 2020, 44, 86–93. [Google Scholar]
- Yang, B.; Wang, L.; Liao, C. Research on power-charging demand of large-scale electric vehicles and its impacting factors. Trans. China Electrotech. Soc. 2013, 28, 22–27. [Google Scholar]
- Zhang, J.; Yan, J.; Liu, Y.Q.; Zhang, H.; Lv, G. Daily electric vehicle charging load profiles considering demographics of vehicle users. Appl. Energy 2020, 274, 115063. [Google Scholar] [CrossRef]
- Lu, J.X.; Zhang, Q.P.; Yang, Z.H.; Tu, M. A hybrid model based on convolutional neural network and long short-term memory for short-term load forecasting. In Proceedings of the 2019 IEEE Power & Energy Society General Meeting (PESGM), Atlanta, GA, USA, 4–8 August 2019; pp. 1–5. [Google Scholar]
- Wang, Y.; Gu, Y.; Ding, Z.; Li, S.; Wan, Y.; Hu, X. Charging demand forecasting of electric vehicles based on empirical mode decomposition-fuzzy entropy and ensemble learning. Autom. Electr. Power Syst. 2020, 44, 114–121. [Google Scholar]
- Xie, X.; Zhou, J.; Zhang, Y.; Wang, J.; Su, J. WBiLSTM based ultra-short-term generation power prediction method of renewable energy. Autom. Electr. Power Syst. 2021, 45, 175–184. [Google Scholar]
- Sun, W.; Zhu, S.; Yang, J.; Zhu, M.; Li, Q. Topology identification of microgrid based on graph convolutional network. Autom. Electr. Power Syst. 2022, 46, 71–81. [Google Scholar]
- Zhu, N.; Wang, Y.; Yuan, K.; Yan, J.; Li, Y.; Zhang, K. GGNet: A novel graph structure for power forecasting in renewable power plants considering temporal lead-lag correlations. Appl. Energy 2024, 364, 123194. [Google Scholar] [CrossRef]
- Hu, B.; Zhang, P.; Huang, E.; Liu, J.; Xu, J.; Xing, Z. Graph WaveNet based charging load forecasting of electric vehicles. Autom. Electr. Power Syst. 2022, 46, 207–213. [Google Scholar]
- Luo, R.; Zhang, Y.; Zhou, Y.; Chen, H.; Yang, L.; Yang, J.; Su, R. Deep learning approach for long-term prediction of electric vehicle (EV) charging station availability. In Proceedings of the 2021 IEEE International Intelligent Transportation Systems Conference (ITSC), Indianapolis, IN, USA, 19–22 September 2021; pp. 3334–3339. [Google Scholar]
- Zhuang, Y.R.; Cheng, L.; Qi, N.; Wang, X.Y.; Chen, Y. Real-time hosting capacity assessment for electric vehicles: A sequential forecast-then-optimize method. Appl. Energy 2025, 380, 125034. [Google Scholar] [CrossRef]
- Mekkaoui, D.E.; Midoun, M.A.; Smaili, A.; Feng, B.W.; Talhaoui, M.Z.; Shen, Y.M. Probabilistic Dual-Adaptive Spatio-Temporal Graph Convolutional Networks for forecasting energy consumption dynamics of electric vehicle charging stations. Comput. Electr. Eng. 2025, 122, 109976. [Google Scholar] [CrossRef]
- Xiao, B.; Li, P. Method for acquiring optimum spatial resolution of electric load. Proc. CSEE 2010, 30, 50–56. [Google Scholar]
- Wuhan Metropolitan Main Function Zone Planning. Available online: https://zrzyhgh.wuhan.gov.cn/zwdt/gzdt/202110/t20211028_1821816.shtml (accessed on 16 December 2024).
- Xiao, Y.; Zhao, Y.; Tu, Z.; Qian, B.; Chang, R. Verification method for the topology of low-voltage distribution network based on improved Pearson correlation coefficient. Power Syst. Prot. Control. 2019, 47, 37–43. [Google Scholar]
- Yu, Q.; Huo, X.; He, J.; Li, L.; Zhang, J.; Feng, Y. Prediction of Power Outage Trends in China’s Power Grid Based on Spearman’s Correlation Coefficient and System Inertia. Proc. CSEE 2023, 43, 5372–5380. [Google Scholar]
- Wang, D.; Shi, S.; Lu, J. Application of VMD-HD-KT Denoising Method in Pipeline Leakage Signal Denoising. J. Jilin Univ. (Inf. Sci. Ed.) 2023, 41, 202–206. [Google Scholar]
- Feng, C.; Shao, L.; Wang, J.; Zhang, Y.; Wen, F. Short-term Load Forecasting of Distribution Transformer Supply Zones Based on Federated Model-Agnostic Meta Learning. IEEE Trans. Power Syst. 2025, 40, 31–45. [Google Scholar] [CrossRef]
- Shuman, D.I.; Narang, S.K.; Frossard, P.; Ortega, A.; Vandergheynst, P. The emerging field of signal processing on graphs: Extending high-dimensional data analysis to networks and other irregular domains. IEEE Signal Process. Mag. 2013, 30, 83–98. [Google Scholar] [CrossRef]









| Vehicle ID | Time | Charging Status | Longitude | Latitude | Voltage | Current | 
|---|---|---|---|---|---|---|
| 1468xxxxe8 | 1.61 × 1012 | 1 | 114.xxxx | 30.xxxx | 397.x | 60.x | 
| 1468xxxxe8 | 1.61 × 1012 | 1 | 114.xxxx | 30.xxxx | 398.x | 62.x | 
| 1468xxxxe8 | 1.61 × 1012 | 1 | 114.xxxx | 30.xxxx | 398.x | 74.x | 
| … | … | … | … | … | … | … | 
| Input Type | Specific Name | Symbol | Unit | Meaning | 
|---|---|---|---|---|
| Time Information | Year | Y | N/A | Time label | 
| Month | M | |||
| Day | D | |||
| Hour | H | |||
| Weekday | W | N/A | Whether it is a weekday | |
| Traffic Flow | Traffic Flow | S | veh/h | Number of electric vehicles | 
| Load Information | Historical Load | P | KWh | Electric vehicle charging load | 
| Adjacency Matrix | STGCN | ASTGCN | ||||
|---|---|---|---|---|---|---|
| IRMSE | IMAE | IMAPE/% | IRMSE | IMAE | IMAPE/% | |
| A1 | 60.21 | 42.76 | 0.78 | 35.84 | 16.44 | 0.46 | 
| A2 | 64.22 | 45.39 | 0.83 | 38.67 | 17.70 | 0.49 | 
| A3 | 58.56 | 39.42 | 0.74 | 34.73 | 14.85 | 0.43 | 
| A4 | 56.47 | 37.81 | 0.71 | 32.44 | 13.51 | 0.37 | 
| A* | 55.39 | 36.46 | 0.69 | 28.81 | 11.22 | 0.34 | 
| Prediction Time Step Tp/h | LSTM | GRU | CNN-LSTM | STGCN | ASTGCN | ||||||||||
|---|---|---|---|---|---|---|---|---|---|---|---|---|---|---|---|
| MAE | RMSE | Te/s | MAE | RMSE | Te/s | MAE | RMSE | Te/s | MAE | RMSE | Te/s | MAE | RMSE | Te/s | |
| 1 | 55.18 | 74.38 | 18 | 55.89 | 77.75 | 17 | 50.53 | 71.62 | 32 | 45.39 | 64.22 | 46 | 11.22 | 28.81 | 64 | 
| 24 | 54.62 | 72.13 | 18 | 54.91 | 76.29 | 17 | 49.62 | 69.87 | 32 | 44.67 | 66.31 | 46 | 11.43 | 29.75 | 64 | 
| 72 | 58.73 | 78.93 | 18 | 57.27 | 78.33 | 17 | 52.39 | 73.66 | 32 | 46.22 | 67.59 | 46 | 11.79 | 36.46 | 64 | 
| 168 | 61.84 | 80.63 | 18 | 66.35 | 79.84 | 17 | 55.72 | 75.92 | 32 | 48.96 | 69.35 | 46 | 13.68 | 39.59 | 64 | 
| Evaluation Metrics | Group | 1 h | 24 h | 72 h | 
|---|---|---|---|---|
| MAE | 1 | 8.68 | 11.62 | 12 | 
| 2 | 8.26 | 11.43 | 11.79 | |
| 3 | 8.57 | 11.56 | 11.86 | |
| RMSE | 1 | 26.85 | 30.02 | 39.74 | 
| 2 | 25.96 | 29.75 | 39.46 | |
| 3 | 26.27 | 29.88 | 39.67 | 
| Model Variant | MAE (kWh) | RMSE (kWh) | MAPE (%) | 
|---|---|---|---|
| Full ASTGCN | 11.22 | 28.81 | 0.34 | 
| ASTGCN w/o FastDTW | 17.34 | 39.23 | 0.47 | 
| ASTGCN w/o S-T Attention | 21.48 | 45.17 | 0.62 | 
| Disclaimer/Publisher’s Note: The statements, opinions and data contained in all publications are solely those of the individual author(s) and contributor(s) and not of MDPI and/or the editor(s). MDPI and/or the editor(s) disclaim responsibility for any injury to people or property resulting from any ideas, methods, instructions or products referred to in the content. | 
© 2025 by the authors. Licensee MDPI, Basel, Switzerland. This article is an open access article distributed under the terms and conditions of the Creative Commons Attribution (CC BY) license (https://creativecommons.org/licenses/by/4.0/).
Share and Cite
Chen, Y.; Tang, Z.; Cui, Y.; Rao, W.; Li, Y. Electric Vehicle Charging Demand Prediction Model Based on Spatiotemporal Attention Mechanism. Energies 2025, 18, 687. https://doi.org/10.3390/en18030687
Chen Y, Tang Z, Cui Y, Rao W, Li Y. Electric Vehicle Charging Demand Prediction Model Based on Spatiotemporal Attention Mechanism. Energies. 2025; 18(3):687. https://doi.org/10.3390/en18030687
Chicago/Turabian StyleChen, Yang, Zeyang Tang, Yibo Cui, Wei Rao, and Yiwen Li. 2025. "Electric Vehicle Charging Demand Prediction Model Based on Spatiotemporal Attention Mechanism" Energies 18, no. 3: 687. https://doi.org/10.3390/en18030687
APA StyleChen, Y., Tang, Z., Cui, Y., Rao, W., & Li, Y. (2025). Electric Vehicle Charging Demand Prediction Model Based on Spatiotemporal Attention Mechanism. Energies, 18(3), 687. https://doi.org/10.3390/en18030687
 
        

 
       