Next Article in Journal
Tree-Related High-Impedance Fault in Distribution Systems: Modeling, Detection, and Ignition Risk Assessment (Review)
Next Article in Special Issue
Development and Performance Analysis of an Electromagnetic Pump for a Thermal Hydraulic Experimental Loop of a Lead-Cooled Fast Reactor
Previous Article in Journal
Photovoltaic-Thermal Side-Absorption Concentrated Module with Micro-Structures as Spectrum-Division Component for a Hybrid-Collecting Reflection Solar System
Previous Article in Special Issue
Dynamic Multiphysics Simulation of the Load-Following Behavior in a Typical Pressurized Water Reactor Power Plant
 
 
Font Type:
Arial Georgia Verdana
Font Size:
Aa Aa Aa
Line Spacing:
Column Width:
Background:
Article

New Nusselt Number Correlation and Turbulent Prandtl Number Model for Turbulent Convection with Liquid Metal Based on Quasi-DNS Results

1
Key Laboratory of Passive Safety Technology for Nuclear Energy, North China Electric Power University, Beijing 102206, China
2
Academy of Science and Technology for Development, Beijing 100038, China
*
Author to whom correspondence should be addressed.
Energies 2025, 18(3), 547; https://doi.org/10.3390/en18030547
Submission received: 25 November 2024 / Revised: 16 December 2024 / Accepted: 22 January 2025 / Published: 24 January 2025
(This article belongs to the Special Issue Thermal Hydraulics and Safety Research for Nuclear Reactors)

Abstract

Liquid metal is widely used as the primary coolant in many advanced nuclear energy systems. Prandtl number of liquid metal is much lower than that of the conventional coolant of water or gas. Based on the Reynolds analogy, the turbulent Prandtl number is assumed to be a constant around unity. For the turbulent convection of liquid metal, dissipations of half the temperature variance are larger than those of turbulent kinetic energies. The dissimilarity between the thermal and momentum fields increases as Pr decreases. The turbulent Prandtl number is larger than one for the liquid metal. In the current investigation, the turbulent convection of liquid metal in the channel is quasi-directly simulated with OpenFOAM-7. The turbulent statistics of the momentum and the thermal field are compared with the existing database to validate the numerical model. The power law for dimensionless temperature distribution with different Prandtl numbers is obtained by regression analysis of numerical results. A new Nusselt number correlation is derived based on the power law. The new Nusselt number correlation agrees well with the DNS results in the literature. The momentum mixing process between different layers in the cross section is compared with the thermal mixing process. The effects of the Prandtl number on the difference between the turbulence time scale and scalar time scale are analyzed. A new turbulent Prandtl number model with local parameters is obtained for turbulent convection with liquid metal. Combined with the k ω model, the temperature distributions with the new turbulent Prandtl number model agree well with the DNS results in the literature. The new turbulent Prandtl number model can be used for turbulent convection with different Prandtl and different Reynolds numbers.

1. Introduction

Generation IV advanced nuclear energy systems, like sodium-cooled fast reactors (SFR) and lead-cooled fast reactors (LFR) use liquid metal as primary coolant. Compared with conventional coolants, such as water or gas, liquid metal has a lower molecular Prandtl number (order of magnitude of 10−2), higher molecular thermal diffusion coefficient, and higher thermal conductivity. For turbulent convection with liquid metal, the contribution of thermal conduction is greater than that of turbulent diffusion. As the Prandtl number decreases, the thickness of the thermal conduction dominated region increases and the logarithmic region shrinks in the whole cross section. In experimental investigations, the accuracy of the measured heat transfer coefficients is easily affected by external factors [1,2,3,4], like purity, entrained gas, and wetting conditions. The bulk temperature is usually obtained by interpolation method on the basis of the inlet and outlet temperatures. The wall temperature are usually obtained on the basis of heat source and heat loss. These indirect methods of data reduction for heat transfer coefficients will introduce new uncertainties. For numerical investigations, computational fluid dynamics can present detailed information on the momentum and thermal fields. Reynolds averaged method is usually used for efficiency and economy. Temperature is treated as a passive scalar. The turbulent Prandtl number is usually assumed to be a constant around unity based on the Reynolds analogy. However, it is found that the turbulent Prandtl number should depend on the Prandtl number and the Reynolds number for low Prandtl number fluids. Otherwise, an accurate thermal field cannot be obtained by RANS [5,6]. In order to investigate heat transfer characteristics, turbulent convection of liquid metal is usually directly simulated in the literature.
Kim and Moin [7] performed direct numerical simulations (DNS) of turbulent convection with different Prandtl numbers (Pr = 0.1, 0.71, and 2). In the core region, the correlation coefficients of the streamwise turbulent heat flux were similar for Pr = 0.1, 0.71, and 2.0. Near the wall region, the coefficients were around 0.95 for Pr = 0.71 and 2.0, and the coefficients were in the range of 0.5~0.8 for Pr = 0.1. In the Pr range of 0.1~2, the distribution of the thermal field was highly correlated with the momentum field. Kim and Moin [7] suggested that modeling method for the Reynolds stresses was similar to the method for scalar fluxes near the wall region. Chaouat [8] performed direct numerical simulations of turbulent convection using the finite volume method. Turbulent convections with isoflux boundary conditions and isothermal boundary conditions were both simulated. With the isothermal boundary condition, the turbulent scalar fluctuations at the wall were zero. With the isoflux boundary condition, turbulent scalar fluctuations were non-zero and remained constant near the wall region. The friction Reynolds number was 395, and the Prandtl numbers were 0.01, 0.1, 1, and 10. The correlation coefficient of the streamwise turbulent heat flux was the highest for Pr = 1.0. When Pr = 0.01, the correlation coefficient was lower than 0.4, near the wall region. When Pr = 0.01, the distributions of the thermal field and momentum field were different in the entire cross section. Kasagi and Ohtsubo [9] directly simulated the turbulent convection with the spectral method. The friction Reynolds number was 150, and the Prandtl number was 0.025. The results show that even in the core region of the channel, the temperature distribution was affected by thermal conduction, and no logarithmic region was present. When Pr = 0.025, molecular dissipation became the new main sink mechanism for the turbulent heat flux. Bricteux et al. [10] investigated the turbulent heat transfer characteristics with Pr = 0.01 by DNS for R e τ = 180 and by LES for R e τ = 590. There were no logarithmic regions for temperature distribution at both Reynolds numbers. The linear region extended to y + = 60. Abe et al. [11] performed direct numerical simulations of turbulent channel flow. The friction Reynolds numbers were 180, 395, 640, and 1020, and the Prandtl numbers were 0.025 and 0.71. There was still no logarithmic region for temperature distribution when R e τ = 1020.
Table 1 shows several Nusselt number correlations for liquid metal in the literature. Pe is the Peclet number ( P e = R e P r ). These correlations are obtained by regression analysis of experimental data. Jaeger et al. [12] used a parameter of aspect ratio to consider the spanwise effects on heat transfer characteristics. Aspect ratio is the ratio of the spanwise to the normal length of the cross section. When the aspect ratio is equal to or greater than 10, the spanwise effects can be neglected. Figure 1 shows the Nusselt number calculated by different correlations with the Prandtl number ranging from 0.001 to 0.1. The Reynolds number (Re) is 14124. In the Pr range of 0.001~0.1, there are large differences between different Nusselt number correlations.
The turbulent Prandtl number (Equation (1)) has also been widely investigated in the literature.
P r t = ν t α t
The turbulent viscosity ( ν t ) and turbulent thermal diffusion coefficient ( α t ) are calculated by,
ν t = u v ¯ u / y ¯ α t = v θ ¯ θ / y ¯
where u v is the Reynolds stress. v θ is the turbulent heat flux. The overbar indicates the time-averaged operation.
Due to the similarity between the momentum field and thermal field, the turbulent Prandtl number is assumed as a constant around unity. Kozuka et al. [17] performed direct numerical simulations of turbulent convection with Prandtl numbers from 0.71 to 10 and with friction Reynolds numbers of 180 and 395. In the Pr range of 0.71~2, the near wall value of the turbulent Prandtl number remained nearly constant and was independent of the Reynolds number. In the Pr range of 2~10, the turbulent Prandtl number gradually increased with increasing Prandtl number near the wall region. The turbulent Prandtl number in the core region shows few variations with Pr from 0.71 to 10. However, DNS results have shown that the turbulent Prandtl number for liquid metal is much larger than one, in contrast to near-unity values for conventional fluids. Kawamura et al. [18] investigated the Prandtl number and Reynolds number effects by DNS. The friction Reynolds numbers were 180 and 395, and the Prandtl numbers were 0.025, 0.2, and 0.71. The turbulent Prandtl number near the wall was barely affected by the Reynolds number and the Prandtl number when P r 0.2 . The turbulent Prandtl number with Pr = 0.025 was much higher than that with Pr = 0.2 and Pr = 0.71. Redjem-Saad et al. [19] directly simulated turbulent convection in tubes to investigate the Prandtl number effects. The friction Reynolds number was 186, and the Prandtl numbers ranged from 0.026 to 1. The results show that the root mean square of the temperature fluctuations and turbulent heat flux decrease with decreasing Prandtl number. When Pr < 0.2, P r t was larger than one in most parts of the cross section. When Pr = 0.1, P r t was around 1.4. When Pr = 0.026, P r t was around 2.7. Kays [20] analyzed the experimental data and turbulent Prandtl number models in the literature. In the logarithmic region, the turbulent Prandtl number depends on the turbulent Peclet number ( P e t ).
P e t = ν t ν Pr
When the turbulent Peclet number was smaller than 100, the turbulent Prandtl number increased with decreasing P e t . Fu et al. [21] performed direct numerical simulations of turbulent convection with Prandtl numbers from 0.01 to 1.0, and with a friction Reynolds number of 395. The relationship between turbulent heat flux and half temperature variance was analyzed by order magnitude analysis. A turbulent Prandtl number model was obtained by regression analysis of the numerical results. This model can be applied to the ranges of 0.01 P r 1 and 180 R e τ 395 .
Table 2 shows several turbulent Prandtl number models in the literature. The Taler model [22] has the same form as the Aoki model [23]. By regression analysis of the experimental data, Taler [22] modified the coefficients of the Aoki model [23]. According to most models in Table 2, the turbulent Prandtl number is constant when the Reynolds number and Prandtl number are fixed. Some researchers have used local parameters to calculate the turbulent Prandtl number. The Kays model [20] uses the ratio of turbulent viscosity to molecular viscosity. The Hollingsworth model [24] uses a dimensionless wall distance of y+. The turbulent Prandtl number calculated by the Kays model [20] and Hollingsworth model [24] are not constant in the cross section. Xie et al. [25] used Kays model [20] to investigate heat transfer characteristics of liquid metal cross flow over tube bundles. The Kays model for channel flow and backward facing step flow was also validated in [25]. As noted in [20], the Kays model was obtained based on experimental data with unreasonable assumptions.
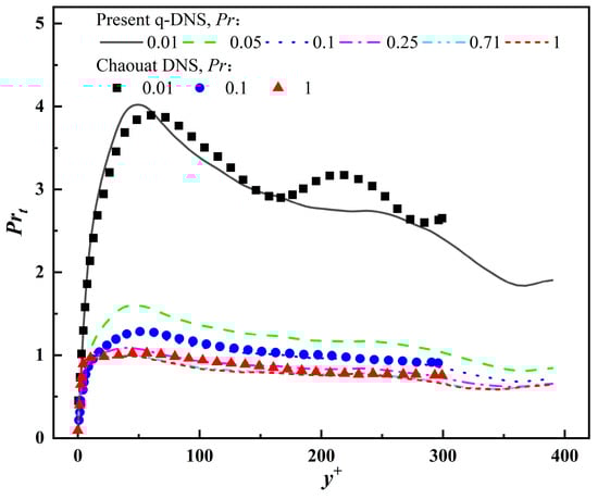
Figure 2 shows the turbulent Prandtl number calculated using different models. DNS results of Chaouat [8] with Pr = 0.01 are also shown in Figure 2. (a). When Re = 14,124 and Pr = 0.01, the turbulent Prandtl number calculated by most models deviates a lot from DNS results. The turbulent Prandtl number calculated by the Cheng and Tak model [27] is larger than the DNS results for the whole cross section. The turbulent Prandtl numbers calculated by the Reynolds model [26] and the Aoki model [23] are relatively close to the DNS results. However, they cannot accurately describe the distribution of the turbulent Prandtl number in the cross section. The turbulent Prandtl number calculated by the Kays model [20] and Hollingsworth model [24] decreases rapidly with increasing distance from the wall and remains constant at around 0.85. The turbulent Prandtl number calculated by the model of Myong et al. [6] and by the model of Fu et al. [21] are smaller than the DNS result in most regions of the cross section.
Set Pr = 0.01, and the Peclet number varies from 100 to 5000. The turbulent Prandtl numbers calculated using most of the models in Table 2 are shown in Figure 2b. The turbulent Prandtl number calculated by the models of Cheng and Tak [27], of Reynolds [26], and of Aoki [23] and Taler [22] decrease with the increasing of Pe. The P r t calculated by the Cheng and Tak model [27] is higher than those calculated by the other models. The P r t values calculated by the Aoki model [23] and the Taler model [22] are similar. The models of Myong et al. [6] and Fu et al. [21] only depend on Pr. Set Pr = 0.01, P r t calculated by model of Myong et al. [6] is a constant, which is smaller than those calculated by the Cheng and Tak model [27] and by Reynolds model [26].
In the current investigation, turbulent convection of liquid metal in channel is quasi-directly simulated with OpenFOAM-7. The friction Reynolds number is 395 and the Prandtl numbers are 0.01, 0.05, 0.1, 0.25, 0.71, and 1.0. The numerical model is validated by DNS results in the literature. An exponential function is used to fit the dimensionless temperature distribution in the cross section. Power laws for temperature distribution with an application range of 0.01< Pr < 1 are obtained. Combined with the power law for the velocity distribution, a new Nusselt number correlation is derived. The relationship between the momentum and thermal fields is created by an analysis of order magnitude. The momentum mixing process between different layers in the cross section is compared with the thermal mixing process. A new turbulent Prandtl number model is obtained based on the numerical results.

2. Numerical Method

DNS for turbulent flows is usually performed using high-order numerical methods, such as pseudo-spectral methods [7,28] and finite difference methods [29,30]. In the current investigation, turbulent convection of liquid metal is simulated with the finite volume method. The finite volume method has second-order accuracy and is used in most commercial and in-house codes. The finite volume method can be used for complex geometries, which can be represented by unstructured meshes with arbitrary polyhedral cells. When turbulent flow is directly simulated using the finite volume method, some researchers name it quasi-DNS (q-DNS) instead of DNS [31]. OpenFOAM is an open source code for computational fluid dynamics, which is based on the finite volume method. Komen et al. [31,32] performed quasi-direct numerical simulation of turbulent flow in channels and tubes with OpenFOAM to check quasi-DNS capabilities of OpenFOAM. Numerical results with OpenFOAM are compared with the recognized reference DNS database. When mesh resolutions are fine enough, numerical results with OpenFOAM agree well with reference DNS results. Komen shows that the first- and second-order statistics, like velocity, Reynolds shear stress, and budgets of turbulent kinetic energies, agree well with reference DNS results [33,34,35]. In the current investigation, turbulent convection of liquid metal is simulated using OpenFOAM.

2.1. Geometric Model and Mesh

Figure 3 shows a schematic of the computational domain. δ is the half width of the channel. The length in the streamwise direction (x) is 6.4δ. The length in the normal direction (y) is 2δ. The length in the spanwise direction (z) is 3.2δ. The computational domain satisfies the domain requirements for DNS and has been used in many DNS investigations in the literature [8,33].
For direct simulation, the mesh resolution should satisfy the Kolmogorov length scale and the Batchelor length scale [36] requirement. The Kolmogorov length scale is defined as,
η κ = ν 3 ε 1 / 4
where ν is the molecular viscosity. ε is the absolute value of the turbulent kinetic energy dissipation rate.
The Kolmogorov length scale is normalized by Equation (5),
η κ + = η κ u τ ν u τ = τ w ρ
where u τ is the friction velocity. τ w is the wall shear stress.
The Batchelor length scale [36] is defined as,
η θ = ν α 2 ε 1 / 4 = η κ P r 1 / 2 P r > 1 α 3 ε 1 / 4 = η κ P r 3 / 4 P r 1
The Batchelor length scale is normalized by Equation (7).
η θ + = η θ u τ ν
The Batchelor length scale decreases as the Prandtl number increases. Chaouat [8] presented the relationship between the Kolmogorov length scale and the Batchelor length scale with different Prandtl numbers.
η θ 31.6 η κ P r = 0.01 η θ 5.62 η κ P r = 0.1 η θ η κ P r = 1 η θ 0.316 η κ P r = 10
When P r 1 , the Batchelor length scale is greater than the Kolmogorov length scale. For a fluid with P r 1 , the mesh that satisfies the Kolmogorov length scale requirement also satisfies the Batchelor length scale requirement.
Azevedo et al. [37] performed direct numerical simulations of turbulent convection with the finite volume method. They analyzed the mesh resolution effects on turbulence statistics with four different meshes. For the low-order turbulence statistics, like velocity and Reynolds stress, a mesh scale of the same order of magnitude as the Kolmogorov scale is sufficient to obtain accurate results. For high-order turbulence statistics, even the refined mesh in the literature was not capable of properly obtaining the velocity spectrum at the smallest scales. The mesh in the current investigation is the same as the mesh of Chaouat [8] for a low Prandtl number fluid. A uniform mesh is used in the streamwise and spanwise directions. A non-uniform mesh is used along the wall normal direction. Detailed information on the flow domain and the mesh is shown in Table 3. The mesh sizes are normalized by Equation (9).
Δ x + = Δ x u τ ν , Δ y + = Δ y u τ ν , Δ z + = Δ z u τ ν
In the current investigation, the maximum ratio of the dimensionless mesh size in the streamwise direction ( Δ x + ) to the dimensionless Kolmogorov length scale ( η κ + ) is 3.26. The maximum ratio of dimensionless mesh size in the spanwise direction ( Δ z + ) to dimensionless Kolmogorov length scale ( η κ + ) is also 3.26. In the streamwise and spanwise directions, the mesh size and the Kolmogorov length scale have the same order of magnitude. The ratio of the dimensionless mesh size in the normal direction ( Δ y + ) to the Kolmogorov length scale ( η κ + ) is 0.52 for the first layer mesh in the normal direction near the wall. Δ y + / η κ + increases with increasing y + , as Δ y + increases faster than η κ + in the normal direction. The maximum Δ y + / η κ + is 1.53 at the center of the cross section. When P r 1 , the Kolmogorov length scale is greater than the Batchelor length scale. The mesh size in the normal direction satisfies both the Kolmogorov length scale and the Batchelor length scale.

2.2. Numerical Schemes

The incompressible governing equations are,
M a s s u i x i = 0 M o m e n t u m u i t + u j u i x j = 1 ρ p x i + ν 2 u i x j x j + S m E n e r g y T t + u j T x j = α 2 T x j x j + S s
where u i is the instantaneous velocity. ν is the molecular viscosity. α is the thermal diffusion coefficient. The fluid properties are constant. A periodic boundary condition is used for the momentum equation in the streamwise direction. S m is the momentum source term. Periodic boundary conditions are also used for energy equations. S s is the energy source term. Temperature is treated as a passive scalar. Energy equations with different Prandtl numbers (0.01, 0.05, 0.1, 0.25, 0.71, and 1) are simultaneously solved.
Second-order accurate schemes are used for spatial and temporal discretization. Komen et al. [31,32] and Zhang et al. [38] have validated the feasibility of direct numerical simulations with second-order accurate discretization schemes. Detailed information on the discretization scheme is shown in Table 4. The transient term is discretized by the second-order Backward scheme. It can be written as,
ϕ t P = 3 ϕ P 4 ϕ P o + ϕ P o o 2 Δ t
where ϕ denotes velocity or temperature. The subscript P denotes the current cell. The superscript “o” denotes the previous time step and “oo” denotes the previous time step. Δ t is the time step.
The convective, Laplacian, and gradient terms in both the momentum and energy equations are discretized by the second-order Gauss linear scheme. All meshes are orthogonal, and there is no need for non-orthogonal correction during the solving process. Gauss linear scheme in OpenFOAM is,
ϕ f = 1 f x ϕ P + f x ϕ E
where subscript E denotes the neighbor cell and f denotes the relative face. f x is the interpolation coefficient. f x can be written as,
f x = r P r P + r E
where r P and r E are the vectors from cells P and E to face center f, respectively.
Regarding the time step size, Komen et al. [31] proved that accurate results can be obtained when the maximum Courant number is smaller than 0.5. In the current investigation, the maximum Courant number is smaller than 0.25 during the solving process. The Courant number satisfies the requirements of DNS.
The coupling between velocity and pressure is resolved by the Pressure-Implicit with Splitting of Operators (PISO) algorithm in OpenFOAM.

2.3. Boundary Condition and Averaging Procedure

A zero gradient pressure is set for the lower and upper walls. Non-slip is set for velocity, and a fixed gradient (isoflux) is set for the temperature at the lower and upper walls. Periodic boundary conditions are used in the streamwise and spanwise directions. A constant source term is added to the streamwise momentum equation to achieve the targeted velocity. A constant source term is added to the energy equation to achieve the targeted bulk temperature.
Villiers [39] added sinusoidal perturbations near the wall region, which can reduce the turbulence development time. Villiers [40] embedded this method in OpenFOAM and named it perturbU. The momentum field becomes a fully developed turbulent flow after 20 Flow Through Times (FTTs). Then, the energy equations are activated. The temperature fields with different Prandtl numbers need 10 FFTs to reach a statistically steady state. Statistics with 70 FTTs are used for the average operation. Flow Through Time is calculated by,
F T T = L x u b
where L x is the length in the streamwise direction of the computational domain. u b is the volume averaged velocity of the computational domain.

2.4. Data Reduction

The dimensionless wall distance is written as,
y + = y u τ ν
The instantaneous velocity is decomposed by the Reynolds averaged method,
u i = U i + u i
where U i is the statistically averaged velocity. u is the fluctuating velocity.
As for the instantaneous temperature, it is,
θ = Θ + θ θ = T w T
where Θ is the statistically averaged temperature. θ is the fluctuating temperature. U i and Θ are averaged in time and space in the streamwise and spanwise directions.
The velocity is normalized by Equation (18).
u + = u u τ
The temperature is normalized by Equation (19),
θ + = T w T T τ T τ = q w ρ c p u τ
where T τ is the friction temperature. q w is the heat flux at the wall.
The Nusselt number is,
N u = 2 h δ λ
where h is the convective heat transfer coefficient and λ is the thermal conductivity.
The heat transfer coefficient is calculated by Equation (21).
h = q w T w T b
The heat flux of q w at the wall is,
q w = λ T y w
The temperature difference ( T w T b ) is the averaged value, which is Θ b .
Θ b = 0 δ U Θ d y u b δ
Based on Equation (20), the Nusselt number (Equation (24)) can be obtained using Equations (21)–(23).
N u = 2 u b δ 2 T y w i n = δ U i Θ i Δ y i
The subscript i denotes the layer in the normal direction of the computational domain. Δ y i is the mesh size. The temperature gradient at the wall is the boundary condition of the fixed gradient.

3. Results and Discussion

3.1. Model Validation

Figure 4 shows the average velocity and temperature for different Prandtl numbers. The DNS results of Kawamura et al. [18] and Chaouat [8] are also shown in Figure 4. The q-DNS results in the current investigation agree well with the DNS results of Kawamura et al. [18] and Chaouat [8]. When Pr = 1, the velocity distribution and temperature distribution are similar. The straight line in Figure 4 represents the logarithmic law (Equation (25)) [41] for the velocity distribution. When Pr = 1, there is a logarithmic region for temperature distribution in the cross section. Viscosity ( ν ) is the same for different Prandtl numbers in the current investigation. The thermal diffusion coefficient ( α = ν / P r ) increases with decreasing Prandtl number. Figure 4 shows that the thickness of the thermal conduction dominated region increases with decreasing Prandtl number. When Pr = 0.01, there is no obvious logarithmic region for the temperature distribution in the cross section.
Θ + = 2.44 ln y + + 5.2
Equation (26) is the dimensionless transporting equation for the turbulent kinetic energy ( k + = 1 2 u i + u i + ) [8] normalized by u τ 4 / ν .
k + ¯ t + + U j + k + ¯ x j + = u i + u j + ¯ U i + x j + P r o d u c t i o n + x j + 1 ρ + p + u i + ¯ δ i j + k + ¯ x j + k + u j + ¯ D i f f u s i o n u i + x j + u i + x j + ¯ D i s s i p a t i o n
The production term represents the energy from the mean flow field to the fluctuation field. When production is positive, the turbulent kinetic energy increases. Diffusion terms represent the diffusion process, including pressure gradient diffusion, turbulent diffusion, and molecular diffusion. Dissipation is negative in the equation to reduce the turbulent kinetic energy. Figure 5 shows the production, molecular diffusion, turbulent diffusion, pressure gradient diffusion, and dissipation terms in the transport equation for the turbulent kinetic energy. Figure 5 shows that the results agree well with the DNS results of Chaouat [8]. At the wall, the production term, turbulent diffusion term, and pressure gradient diffusion term are zero. The molecular diffusion term is balanced by the dissipation term. At the center of the cross section, the production term balances with the dissipation term. The pressure gradient diffusion term is almost zero in the whole cross section.
Equation (27) is the dimensionless transporting equation for the half temperature variance ( k θ + = 1 2 θ + 2 ) [8] normalized by u τ 2 T τ 2 / ν .
k θ + 2 ¯ t + + U j k θ + 2 ¯ x j + = θ + u j + ¯ Θ + x j + P r o d u c t i o n + x j + 1 P r k θ + 2 ¯ x j + k θ + 2 u j + ¯ D i f f u s i o n 1 P r θ + x j + θ + x j + ¯ D i s s i p a t i o n
Figure 6 shows the production, molecular diffusion, turbulent diffusion, and dissipation terms in the transport equation for the half temperature variance. The results agree well with the DNS results of Chaouat [8]. At the wall, the production term and turbulent diffusion term are zero. The molecular diffusion term is balanced by the dissipation term. At the center of the cross section, the production term balances with the dissipation term.
Figure 7 shows the turbulent Prandtl number distribution in the cross section. The turbulent Prandtl number at the wall is zero. Near the wall region, the turbulent Prandtl number rapidly increases to the maximum value with increasing wall distance. Then, the turbulent Prandtl number gradually decreases with increasing wall distance. The turbulent Prandtl number increases with decreasing Prandtl number. When Pr > 0.1, the turbulent Prandtl number is close to 1 in most of the cross section. When Pr = 1, the maximum value of the turbulent Prandtl number is 0.98, near the wall region. The turbulent Prandtl number at the center of the cross section is 0.65. When Pr = 0.01, the maximum value of the turbulent Prandtl number is 4.02 near the wall region. The turbulent Prandtl number at the center of the cross section is 1.91. The turbulent Prandtl number variations with Pr = 0.01 is larger than those with Pr = 1 in the cross section.

3.2. Nusselt Number Correlation

An exponential correlation is used to fit the temperature distributions with different Prandtl numbers.
Θ + = a y + b
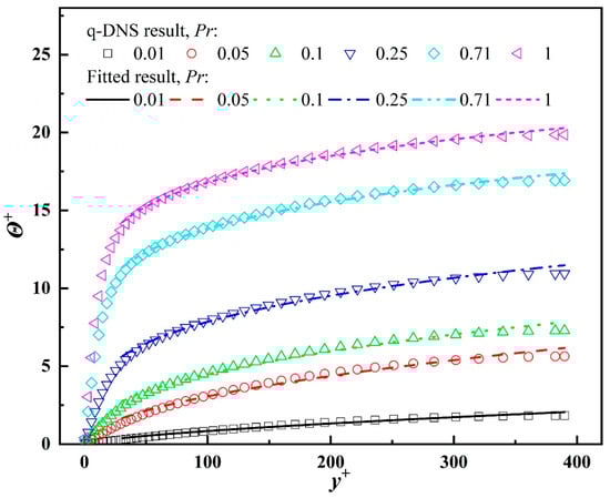
The temperature in the region of y+ > 30 is used for regression analysis. The fitted results are shown in Table 5. The coefficient a in Equation (28) increases with increasing Prandtl number. The coefficient b decreases with increasing Prandtl number.
Figure 8 shows the fitted results for the temperature distributions. The Prandtl number varies from 0.01 to 1. The fitted correlations agree well with the numerical results with 0.01 < Pr < 1.
Figure 9 shows the Nusselt number calculated using the numerical result and power law for the temperature distribution. The Nusselt number calculated by the power law for the temperature distribution agrees well with the numerical result. The maximum difference between the Nusselt number calculated by the numerical result and the power law for the temperature distribution is 0.68%.
Equation (29) is used to fit the coefficients a and b . The results are shown in Table 6.
a = c 1 P r c 2 b = c 3 / ln P r + c 4
Then, correlation for temperature distribution is,
Θ + = 9 . 47 P r 1.15 y + 0 . 09 / ln P r + 1 . 15 R e τ = 395 ,   0.01 P r 1
Barenblatt [42] proposed that exponent of the power law for velocity distribution depends on Reynolds number,
U + = c y + d
where d is,
d = 3 2 ln R e
Barenblatt [43] suggested a linear relationship between c and ln R e . By regression analysis of experimental data, c is [43],
c = 1 3 ln R e + 5 2
The power law for the velocity distribution agrees well with the experimental data for different Reynolds numbers [44,45]. Equation (34) is used to calculate the velocity in the channel.
U + = 1 3 ln R e + 5 2 y + 3 2 ln R e
The volume averaged velocity is,
u b = 1 δ 0 δ U d y
According to Equations (31) and (35), u b can be calculated by,
u b = c u τ 1 + d u τ δ ν d
Darcy friction factor (f) is written as,
f = 8 τ w ρ u b 2
Substitute Equation (36) into Equation (37), it is,
f = 32 ψ 2 d + 1 ψ = d d + 1 3 + 5 d exp ( 3 2 ) d = 3 2 ln R e
According to Equations (23), (28), (31) and (36), the averaged temperature difference Θ b is,
Θ b = a 1 + d b + d + 1 q w ρ c p u τ u τ δ ν b
Then, the Nusselt number correlation is obtained.
N u = m P r R e n f 8 n 2 m = 2 1 n 0.11 P r 1.15 + 0.02 ln R e P r 1.15 3 + 2 ln R e ln P r + 1.15 n = 1 0.09 ln P r + 1.15
The derived correlation is compared with the DNS results of Abe [46,47,48], Kawamura et al. [18,33] and Pirozzoli [49]. Figure 10 shows that the differences between the derived Nusselt number correlation and DNS results are lower than 20%. Most of these values are lower than 10%. The derived Nusselt number correlation shows good prediction of DNS results in the Prandtl number range of 0.01 to 1 and Reynolds number range of 5665 to 41,441. When the Reynolds numbers are 87,067 and 191,333, the derived Nusselt number correlation also shows good prediction of DNS results in the Prandtl number range of 0.2 to 1.

3.3. Turbulent Prandtl Number Model

Combined with the momentum mixing process, Kays [50] described the thermal mixing process between different layers in cross section in Figure 11 A mass element of the fluid ( δ m ) moves with a distance of l between different layers in the y direction due to eddy diffusion. Assume that the diffusion process at any point in the flow takes place continuously. The diffusion velocity is proportional to the fluctuating velocity in the y direction, C v 2 ¯ . Assume that the element diffuses across an area of A, which is parallel to the streamwise direction. The velocity difference between the layers of y a and y b is δ U . The temperature difference between the layers of y a and y b is δ Θ . The x-momentum diffusion rate between y a and y b is A C v 2 ¯ ρ c δ U . The energy diffusion rate between y a and y b is A C v 2 ¯ ρ c δ Θ .
The shear stress caused by eddy diffusion equals to momentum change rate,
τ t = C v 2 ¯ ρ δ U
Similarly, the turbulent heat flux caused by eddy diffusion is,
q t = C v 2 ¯ ρ c δ Θ
If l is small, it is,
δ U l d U d y , δ Θ l t d Θ d y
Substitute Equation (43) into Equations (41) and (42), the diffusion rate are,
τ t ρ = C v 2 ¯ l d U d y , q t ρ c = C v 2 ¯ l t d Θ d y
According to Equation (44), ν t and a t are,
ν t = C v 2 ¯ l , α t = C v 2 ¯ l t
Kays [50] assumed that the turbulent length scale for momentum ( l ) equals to thermal length scale for energy ( l t ). Then, the constant turbulent Prandtl number can be obtained.
In the current investigation, it is assumed that l does not equals to l t for turbulent convection of liquid metal. The lengths of l and l t both depend on the eddy diffusion velocity and diffusion time. The eddy diffusion velocity of v 2 ¯ is related to k 0.5 . The diffusion time for velocity is related to the turbulence time scale τ u = k / ε . The diffusion time for energy is related to the scalar time scale τ θ = k θ / ε θ .
The momentum length ( l ) and thermal length ( l t ) are,
l ~ k 0.5 τ u , l t ~ k 0.5 τ θ
According to Equation (45), the turbulent viscosity and turbulent thermal diffusion coefficient are,
ν t = v 2 ¯ l k k ε , α t = v 2 ¯ l t k k θ ε θ
According to Equation (47), the turbulent Prandtl number model is,
P r t ν t / k k θ ε θ
By regression analysis of the numerical results, we can obtain the relationship between k ε and k θ ε θ (Equation (49)).
k θ ε θ = A k ε + B ν u 2
The local velocity u and molecular viscosity ν are incorporated in Equation (49) for dimensional homogeneity.
The coefficients A and B are constants. Considering the Prandtl number effect, the relationship between the coefficients and the Prandtl number is obtained.
A = 0.54 exp P r / 0.25 + 0.61 B = 1375.76 exp P r / 0.07 + 349.39
In most turbulent models of RANS [44,51], ν t is calculated by Equation (51),
ν t = 0.09 k 2 ε
Substitute Equations (51) and (49) into Equation (48). The turbulent Prandtl number model is obtained.
P r t ν t / A 0.09 ν t + B k ν u 2
Finally, a quadratic function is used for Equation (52). The turbulent Prandtl number varies greatly at low Prandtl numbers. The range of the Prandtl number is divided into two regions by Pr = 0.1. The final turbulent Prandtl number model is obtained.
P r t = C + D x + E x 2 x = ν t / A 0.09 ν t + B k ν u 2 180 R e τ 1020 0.01 P r 1
The coefficients of C, D, and E are calculated by a function of the Prandtl number, which is obtained by regression analysis of the numerical results. In the Prandtl number range of 0.01~0.1, the coefficients are,
C = 3 . 96 exp P r / 0 . 014 + 0 . 71 D = 8 . 09 79 . 85 P r + 720 . 69 P r 2 E = 0 . 64 exp P r / 0 . 036 8 . 90
In the Prandtl number range of 0.1~1.0, the coefficients are,
C = 0.31 + 0.1 P r + 0.94 × 0.000036 P r D = 17 . 46 exp P r / 0 . 31 + 19 . 99 E = 129 . 45 exp P r / 0 . 49 124 . 68
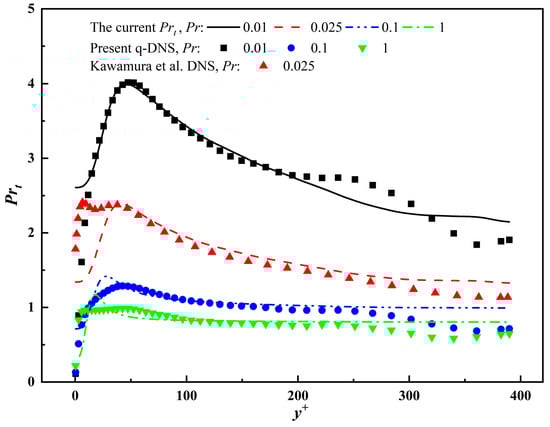
Figure 12 shows the turbulent Prandtl number calculated using Equation (53) and the DNS results of Chaouat [8] and Kawamura et al. [18]. The turbulent Prandtl number calculated by the new model agrees well with the DNS result.
The turbulent convection of liquid metal with different Prandtl numbers is simulated by RANS and the new turbulent Prandtl number model. The momentum field was calculated by the k ω model. Figure 13 shows the dimensionless temperature distribution simulated by the new turbulent Prandtl number model and by P r t = 0.85, with R e τ equal to 180, 395, 640, and 1020. The turbulent Prandtl number calculated by the new turbulent Prandtl number model and P r t = 0.85 are also shown in Figure 13. When Pr = 0.71 and 1.0 (Figure 13b,d–f), the turbulent Prandtl number calculated by the new model is around 0.85 in most of the cross section. The temperature calculated by the new turbulent Prandtl number model is similar to the temperature calculated by P r t = 0.85, which both agree well with the DNS results.
In the low Prandtl number range of Pr = 0.01~0.1, the temperature distributions calculated by P r t = 0.85 are lower than the DNS results. The temperature distributions calculated by the new turbulent Prandtl number model agree well with the DNS results. The turbulent Prandtl number calculated by the new model is larger than 0.85 in most areas of the cross section. When R e τ = 180 and Pr = 0.025, the difference in the temperature distribution between the results of new turbulent Prandtl number model and the DNS results is 0.9% at the center of the cross section. The difference between the results of P r t = 0.85 and the DNS results is 13.7% at the center of the cross section. When R e τ = 180 and Pr = 0.1, the differences are 1.6% and 13.6%. When R e τ = 395 and Pr = 0.01, the differences are 2.0% and 12.7% at the center of the cross section. When R e τ = 395 and Pr = 0.025, the differences are 2.4% and 19.8% at the center of the cross section. When R e τ = 395 and Pr = 0.1, the differences are 1.1% and 12.4% at the center of the cross section. When R e τ = 640 and Pr = 0.025, the differences are 2.7% and 20.0% at the center of the cross section. When R e τ = 1020 and Pr = 0.025, the differences are 0.5% and 22.4% at the center of the cross section. The new turbulent Prandtl number model shows good prediction of DNS results in the ranges of 180 R e τ 1020 and 0.01 P r 1 .
Figure 14 shows the Nusselt number calculated by the current P r t model, P r t = 0.85 and DNS results of Kawamura et al. [18,33]. The Nusselt number calculated by the current P r t model agrees well with the DNS results in the literature. The differences between the results of the current P r t model and DNS results are lower than 6%, and the maximum difference is 5.73%. The differences between the results of the P r t = 0.85 and DNS results are larger than 6%, and the maximum difference is 27.94%.

4. Conclusions

In the current investigation, turbulent convection of liquid metal is quasi-directly simulated with OpenFOAM-7. Turbulent statistics of the momentum and the thermal field are compared with the DNS results in the literature to validate the numerical model. Main conclusions are as follows,
(1)
For turbulent convection of liquid metal, the temperature distribution in the cross section has a reduced logarithmic region and an increased linear region.
(2)
An exponent function for the temperature distribution with Prandtl numbers ranging from 0.01 to 1 is obtained by regression analysis of the numerical results. A Nusselt number correlation is derived based on the exponent function. The new Nusselt number correlation agrees well with the DNS results in the literature in the ranges of 5665 R e 41441 and 0.01 P r 1 .
(3)
A new turbulent Prandtl number model is obtained. The turbulent Prandtl number model with the k ω model shows good predictions in the ranges of 180 R e τ 1020 and 0.01 P r 1 .

Author Contributions

Conceptualization, S.P.; Methodology, Y.T. and S.P.; Software, H.F. and Y.T.; Validation, H.F.; Formal analysis, J.C. and S.P.; Investigation, H.F., J.C., Y.T. and S.P.; Data curation, J.C.; Writing—original draft, H.F.; Writing—review & editing, J.C., S.P., F.L., X.L. and H.Z.; Supervision, S.P., F.L., X.L. and H.Z.; Funding acquisition, S.P. All authors have read and agreed to the published version of the manuscript.

Funding

This work was supported by the National Key R&D Program of China (No. 2022YFB1902503), and the National Natural Science Foundation of China (No. 12105102).

Data Availability Statement

The original contributions presented in this study are included in the article. Further inquiries can be directed to the corresponding author.

Conflicts of Interest

The authors declare no conflict of interest.

Nomenclature

Notation
f Darcy friction factor (dimensionless)
h Heat transfer coefficient (W m−2 K−1)
k Turbulent kinetic energy (m2 s−2)
k θ Half temperature variance (K2)
N u Nusselt number (dimensionless)
p Pressure (Pa)
P r Prandtl number (dimensionless)
P r t Turbulent Prandtl number (dimensionless)
P e Peclet number (dimensionless)
P e t Turbulent Peclet number (dimensionless)
q w Wall heat flux (J m−2 s−1)
R e Reynolds number (dimensionless)
R e τ Friction Reynolds number (dimensionless)
t Time (s)
T Instantaneous temperature (K)
T w Wall temperature (K)
T τ Friction temperature (K)
u i ,   u ,   v ,   w Velocity component (m s−1)
U ,   V ,   W Statistically averaged velocity (m s−1)
u τ Friction velocity (m s−1)
u b Volume averaged velocity (m s−1)
Greek symbols
α Molecular thermal diffusion coefficient (m2 s−1)
α t Turbulent thermal diffusion coefficient (m2 s−1)
δ Channel half width (m)
ε Turbulent kinetic energy dissipation rate (m2 s−3)
ε θ Half temperature variance dissipation rate (m2 s−3)
η κ Kolmogorov length scale (m)
η θ Batchelor length scale (m)
θ Instantaneous temperature = T w T (K)
Θ Statistically averaged temperature (K)
λ Thermal conductivity (W m−1 K−1)
ν Molecular viscosity (m2 s−1)
ν t Turbulent viscosity (m2 s−1)
ρ Density (kg m−3)
τ w Wall shear stress (N m−2)
τ u Turbulence time scale (s)
τ θ Scalar time scale (s)

References

  1. Pacio, J.; Marocco, L.; Wetzel, T. Review of data and correlations for turbulent forced convective heat transfer of liquid metals in pipes. Heat Mass Transf. 2015, 51, 153–164. [Google Scholar] [CrossRef]
  2. Mochizuki, H. Consideration on Nusselt numbers of liquid metals flowing in tubes. Nucl. Eng. Des. 2019, 351, 1–19. [Google Scholar] [CrossRef]
  3. Kirillov, P.L. Heat Transfer in Turbulent Flow. Part 2. Velocity and Temperature Distributions. At. Energy 2017, 122, 230–242. [Google Scholar] [CrossRef]
  4. Kirillov, P.L. Heat Exchange in Turbulent Flow. Part 1. Turbulent Prandtl Number. At. Energy 2017, 122, 156–171. [Google Scholar] [CrossRef]
  5. Huang, X.; Pang, B.; Chai, X.; Yin, Y. Proposal of a turbulent Prandtl number model for Reynolds-averaged Navier–Stokes approach on the modeling of turbulent heat transfer of low-Prandtl number liquid metal. Front. Energy Res. 2022, 10, 928693. [Google Scholar] [CrossRef]
  6. Myong, H.K.; Kasagi, N.; Hirata, M. Numerical Prediction of Turbulent Pipe Flow Heat Transfer for Various Prandtl Number Fluids with the Improved k-epsilon Turbulence Model. JSME Int. J. 1989, 32, 613–622. [Google Scholar]
  7. Kim, J.; Moin, P. Transport of Passive Scalars in a Turbulent Channel Flow. In Turbulent Shear Flows 6; André, J.-C., Cousteix, J., Durst, F., Launder, B.E., Schmidt, F.W., Whitelaw, J.H., Eds.; Springer: Berlin/Heidelberg, Germany, 1989; pp. 85–96. [Google Scholar]
  8. Chaouat, B. Contribution of direct numerical simulations to the budget and modelling of the transport equations for passive scalar turbulent fields with wall scalar fluctuations. J. Fluid Mech. 2023, 963, A21. [Google Scholar] [CrossRef]
  9. Kasagi, N.; Ohtsubo, Y. Direct Numerical Simulation of Low Prandtl Number Thermal Field in a Turbulent Channel Flow. In Turbulent Shear Flows 8; Durst, F., Friedrich, R., Launder, B.E., Schmidt, F.W., Schumann, U., Whitelaw, J.H., Eds.; Springer: Berlin/Heidelberg, Germany, 1993; pp. 97–119. [Google Scholar]
  10. Bricteux, L.; Duponcheel, M.; Winckelmans, G.; Tiselj, I.; Bartosiewicz, Y. Direct and large eddy simulation of turbulent heat transfer at very low Prandtl number: Application to lead–bismuth flows. Nucl. Eng. Des. 2012, 246, 91–97. [Google Scholar] [CrossRef]
  11. Abe, H.; Kawamura, H.; Matsuo, Y. Surface heat-flux fluctuations in a turbulent channel flow up to Reτ=1020 with Pr=0.025 and 0.71. Int. J. Heat Fluid Flow 2004, 25, 404–419. [Google Scholar] [CrossRef]
  12. Jaeger, W.; Hering, W.; Lux, M.; Portes, F. ICONE23-1101 Liquid Metal Thermal Hydraulics in Rectangular Ducts: Review, Proposal and Validation of Empirical Models. In Proceedings of the International Conference on Nuclear Engineering (ICONE), Makuhari, Chiba, Japan, 17–21 May 2015; Volume 2015.23. [Google Scholar]
  13. Stromquist, W.K. Effect of Wetting on Heat Transfer Characteristics of Liquid Metals (Thesis). Technical Report; University of Tennessee: Knoxville, TN, USA, 1953. [Google Scholar]
  14. Skupinski, E.; Tortel, J.; Vautrey, L. Determination des coefficients de convection d’un alliage sodium-potassium dans un tube circulaire. Int. J. Heat Mass Transf. 1965, 8, 937–951. [Google Scholar] [CrossRef]
  15. Subbotin, V.I.; Papovyants, A.K.; Kirillov, P.L.; Ivanovskii, N.N. A study of heat transfer to molten sodium in tubes. Sov. At. Energy 1963, 13, 991–994. [Google Scholar] [CrossRef]
  16. Kirillov, P.L.; Ushakov, P.A. Heat transfer to liquid metals: Specific features, methods of investigation, and main relationships. Therm. Eng. 2001, 48, 50–59. [Google Scholar]
  17. Kozuka, M.; Seki, Y.; Kawamura, H. DNS of turbulent heat transfer in a channel flow with a high spatial resolution. Int. J. Heat Fluid Flow 2009, 30, 514–524. [Google Scholar] [CrossRef]
  18. Kawamura, H.; Abe, H.; Matsuo, Y. DNS of turbulent heat transfer in channel flow with respect to Reynolds and Prandtl number effects. Int. J. Heat Fluid Flow 1999, 20, 196–207. [Google Scholar] [CrossRef]
  19. Redjem-Saad, L.; Ould-Rouiss, M.; Lauriat, G. Direct numerical simulation of turbulent heat transfer in pipe flows: Effect of Prandtl number. Int. J. Heat Fluid Flow 2007, 28, 847–861. [Google Scholar] [CrossRef]
  20. Kays, W.M. Turbulent Prandtl Number—Where Are We? J. Heat Transf. 1994, 116, 284–295. [Google Scholar] [CrossRef]
  21. Fu, H.; Zhao, H.; Li, X.; Wu, X.; Lyu, X.; Liu, F.; Yu, Y.; Xu, W. New Turbulent Prandtl Number Model for Liquid Metal Based on DNS Results. In Proceedings of the 2024 31st International Conference on Nuclear Engineering, Prague, Czech Republic, 4–8 August 2024; Volume 7. [Google Scholar]
  22. Taler, D. Semi-empirical heat transfer correlations for turbulent tube flow of liquid metals. Int. J. Numer. Methods Heat Fluid Flow 2018, 28, 151–172. [Google Scholar] [CrossRef]
  23. Aoki, S. A consideration on the heat transfer in liquid metal. Bull. Tokyo Inst. Tech. Ser. B 1963, 54. [Google Scholar]
  24. Hollingsworth, D.K., Jr. Measurement and Prediction of the Turbulent Thermal Boundary Layer in Water on Flat and Concave Surfaces. Ph.D. Thesis, Stanford University, Stanford, CA, USA, 1989. [Google Scholar]
  25. Xie, X.; Zhao, H.; Li, X.; Wu, X.; Niu, F. Numerical investigation on heat transfer characteristics of liquid metal cross flow over tube bundles. Ann. Nucl. Energy 2023, 180, 109465. [Google Scholar] [CrossRef]
  26. Reynolds, A.J. The prediction of turbulent Prandtl and Schmidt numbers. Int. J. Heat Mass Transf. 1975, 18, 1055–1069. [Google Scholar] [CrossRef]
  27. Cheng, X.; Tak, N.-I. Investigation on turbulent heat transfer to lead–bismuth eutectic flows in circular tubes for nuclear applications. Nucl. Eng. Des. 2006, 236, 385–393. [Google Scholar] [CrossRef]
  28. Tiselj, I.; Cizelj, L. DNS of turbulent channel flow with conjugate heat transfer at Prandtl number 0.01. Nucl. Eng. Des. 2012, 253, 153–160. [Google Scholar] [CrossRef]
  29. Sun, Z.-S.; Ren, Y.-X.; Zhang, S.-Y.; Yang, Y.-C. High-resolution finite difference schemes using curvilinear coordinate grids for DNS of compressible turbulent flow over wavy walls. Comput. Fluids 2011, 45, 84–91. [Google Scholar] [CrossRef]
  30. He, P. A high order finite difference solver for massively parallel simulations of stably stratified turbulent channel flows. Comput. Fluids 2016, 127, 161–173. [Google Scholar] [CrossRef]
  31. Komen, E.; Shams, A.; Camilo, L.; Koren, B. Quasi-DNS capabilities of OpenFOAM for different mesh types. Comput. Fluids 2014, 96, 87–104. [Google Scholar] [CrossRef]
  32. Komen, E.M.J.; Camilo, L.H.; Shams, A.; Geurts, B.J.; Koren, B. A quantification method for numerical dissipation in quasi-DNS and under-resolved DNS, and effects of numerical dissipation in quasi-DNS and under-resolved DNS of turbulent channel flows. J. Comput. Phys. 2017, 345, 565–595. [Google Scholar] [CrossRef]
  33. Kawamura, H.; Ohsaka, K.; Abe, H.; Yamamoto, K. DNS of turbulent heat transfer in channel flow with low to medium-high Prandtl number fluid. Int. J. Heat Fluid Flow 1998, 19, 482–491. [Google Scholar] [CrossRef]
  34. del ÁLamo, J.C.; JimÉNez, J.; Zandonade, P.; Moser, R.D. Self-similar vortex clusters in the turbulent logarithmic region. J. Fluid Mech. 2006, 561, 329–358. [Google Scholar] [CrossRef]
  35. del Álamo, J.C.; Jiménez, J. Spectra of the very large anisotropic scales in turbulent channels. Phys. Fluids 2003, 15, L41–L44. [Google Scholar] [CrossRef]
  36. Batchelor, G.K. Small-scale variation of convected quantities like temperature in turbulent fluid. Part 1. General discussion and the case of small conductivity. J. Fluid Mech. 1971, 5, 113–133. [Google Scholar] [CrossRef]
  37. de Azevedo, V.W.F.; Denner, F.; Evrard, F.; Paladino, E.E. Performance evaluation of standard second-order finite volume method for DNS solution of turbulent channel flow. J. Braz. Soc. Mech. Sci. Eng. 2021, 43, 513. [Google Scholar] [CrossRef]
  38. Zhang, K.; Shen, Y.; Duwig, C. Identification of heat transfer intensification mechanism by reversible N2O4 decomposition using direct numerical simulation. Int. J. Heat Mass Transf. 2022, 182, 121946. [Google Scholar] [CrossRef]
  39. De Villiers, E. The Potential of Large Eddy Simulation for the Modeling of Wall Bounded Flows. Ph.D Thesis, Imperial College, London, UK, 2006. [Google Scholar]
  40. Contrib/perturbU. Available online: https://openfoamwiki.net/index.php/Contrib/perturbU (accessed on 1 September 2023).
  41. Kármán, T.V. Mechanical Similarity and Turbulence, Proceedings of the Göttingen Academy of Sciences; Mathematical-Physical Section; Göttingen Academy of Sciences and Humanities: Göttingen, Germany, 1930; pp. 58–76. [Google Scholar]
  42. Barenblatt, G.I. Scaling laws for fully developed turbulent shear flows. Part 1. Basic hypotheses and analysis. J. Fluid Mech. 1993, 248, 513–520. [Google Scholar] [CrossRef]
  43. Barenblatt, G.I.; Prostokishin, V.M. Scaling laws for fully developed turbulent shear flows. Part 2. Processing of experimental data. J. Fluid Mech. 1993, 248, 521–529. [Google Scholar] [CrossRef]
  44. Wilcox, D.C. Turbulence Modeling for CFD. DCW Industries: La Canada, CA, USA, 1998. [Google Scholar]
  45. Schlichting, H.; Gersten, K. Boundary-Layer Theory; Springer: Berlin/Heidelberg, Germany, 2017. [Google Scholar]
  46. Abe, H.; Kawamura, H.; Matsuo, Y. Direct Numerical Simulation of a Fully Developed Turbulent Channel Flow With Respect to the Reynolds Number Dependence. J. Fluids Eng. 2001, 123, 382–393. [Google Scholar] [CrossRef]
  47. Abe, H.; Antonia, R.A.; Kawamura, H. Correlation between small-scale velocity and scalar fluctuations in a turbulent channel flow. J. Fluid Mech. 2009, 627, 1–32. [Google Scholar] [CrossRef]
  48. Abe, H.; Antonia, R.A. Mean temperature calculations in a turbulent channel flow for air and mercury. Int. J. Heat Mass Transf. 2019, 132, 1152–1165. [Google Scholar] [CrossRef]
  49. Pirozzoli, S.; Bernardini, M.; Orlandi, P. Passive scalars in turbulent channel flow at high Reynolds number. J. Fluid Mech. 2016, 788, 614–639. [Google Scholar] [CrossRef]
  50. Kays, W.M.; Crawford, M.E.; Weigand, B. Convective Heat and Mass Transfer; McGraw-Hill: New York, NY, USA, 1980. [Google Scholar]
  51. Jones, W.P.; Launder, B.E. The prediction of laminarization with a two-equation model of turbulence. Int. J. Heat Mass Transf. 1972, 15, 301–314. [Google Scholar] [CrossRef]
Figure 1. Nusselt number calculated by different correlations [12,13,14,15,16].
Figure 1. Nusselt number calculated by different correlations [12,13,14,15,16].
Energies 18 00547 g001
Figure 2. Turbulent Prandtl number calculated by different models [6,8,20,21,22,23,24,26,27].
Figure 2. Turbulent Prandtl number calculated by different models [6,8,20,21,22,23,24,26,27].
Energies 18 00547 g002
Figure 3. Computational domain.
Figure 3. Computational domain.
Energies 18 00547 g003
Figure 4. Statistically averaged temperature and velocity distributions [8,18].
Figure 4. Statistically averaged temperature and velocity distributions [8,18].
Energies 18 00547 g004
Figure 5. Budgets of the transporting equation for turbulent kinetic energy [8].
Figure 5. Budgets of the transporting equation for turbulent kinetic energy [8].
Energies 18 00547 g005
Figure 6. Budgets of the transporting equation for the half temperature variance [8].
Figure 6. Budgets of the transporting equation for the half temperature variance [8].
Energies 18 00547 g006
Figure 7. Turbulent Prandtl number distributions [8].
Figure 7. Turbulent Prandtl number distributions [8].
Energies 18 00547 g007
Figure 8. Temperature distributions with different Prandtl numbers.
Figure 8. Temperature distributions with different Prandtl numbers.
Energies 18 00547 g008
Figure 9. The Nusselt number calculated by the numerical result and power law for the temperature distribution.
Figure 9. The Nusselt number calculated by the numerical result and power law for the temperature distribution.
Energies 18 00547 g009
Figure 10. Validation of the new Nusselt number correlation.
Figure 10. Validation of the new Nusselt number correlation.
Energies 18 00547 g010
Figure 11. Turbulent momentum and energy exchange process.
Figure 11. Turbulent momentum and energy exchange process.
Energies 18 00547 g011
Figure 12. Turbulent Prandtl number model validation [18].
Figure 12. Turbulent Prandtl number model validation [18].
Energies 18 00547 g012
Figure 13. Validations of the new turbulent Prandtl number model.
Figure 13. Validations of the new turbulent Prandtl number model.
Energies 18 00547 g013
Figure 14. Comparison of the Nusselt number between the current P r t model, P r t = 0.85 and DNS results in the literature.
Figure 14. Comparison of the Nusselt number between the current P r t model, P r t = 0.85 and DNS results in the literature.
Energies 18 00547 g014
Table 1. Nusselt number corrections in the literature.
Table 1. Nusselt number corrections in the literature.
AuthorCorrelationCross Section
Stromquist [13] (1953) N u = 3.6 + 0.018 P e 0.8 1.16 × 10 4 R e 8.87 × 10 5 Circular tubes
Skupinski et al. [14] (1965) N u = 4.82 + 0.0185 P e 0.827 3.6 × 10 3 R e 9.05 × 10 5 , 58 P e 1.31 × 10 4 Circular tubes
Subbotin et al. [15] (1967) N u = 5 + 0.025 P e 0.8 40 P e 1150 Circular tubes
Kirillov and Ushakov [16] (2001) N u = 4.5 + 0.0018 P e 0.8 10 3 R e 5 × 10 6 Circular tubes
Jaeger et al. [12] (2015) N u = 5.2686 + 0.00104 P e 1.171 A s p e c t   r a t i o 10 , P e 3000 Channel
Table 2. Turbulent Prandtl number models in the literature.
Table 2. Turbulent Prandtl number models in the literature.
AuthorEquation
Aoki [23] (1963) P r t 1 = 0.014 R e 0.45 P r 0.2 1 exp 1 0.014 R e 0.45 P r 0.2
Reynolds [26] (1975) P r t = 1 + 100 P e 0.5 1 1 + 120 R e 0.5 0.15
Myong et al. [6] (1989) P r t = 0.75 + 1.63 ln 1 + P r / 0.0015
Hollingsworth [24] (1989) P r t = 1.855 tan h 0.2 y + 7.5
Kays [20] (1994) P r t = 1 0.5882 + 0.228 ν t ν 0.0441 ν t ν 2 1 exp 5.165 ν t / ν
Cheng and Tak [27] (2006) P r t = 4.12 P e 1000 0.01 P e 0.018 P e 0.8 7.0 A 1.25 1000 < P e 6000 A = 5.4 9 × 10 4 P e 1000 < P e 2000 3.6 2000 < P e 6000
Taler [22] (2018) P r t 1 = 0.01592 R e 0.45 P r 0.2 1 exp 1 0.01592 R e 0.45 P r 0.2
Fu et al. [21] (2024) P r t = 0.82 + 6.04 × 10 4 P r 1.67
Table 3. Detailed information on the mesh.
Table 3. Detailed information on the mesh.
Friction Renolds Number395
Mesh (x, y, z)512 × 256 × 256
Domain size (x, y, z)6.4δ × 2δ × 3.2δ
Mesh   size   ( Δ x + , Δ y + , Δ z + )4.9, (0.8→7.2), 4.9
cell-to-cell expansion ratio1.02
Table 4. Detailed information on the schemes.
Table 4. Detailed information on the schemes.
Discrete TermNumerical Scheme
TransientBackward
GradientGauss linear
ConvectiveGauss linear
LaplacianGauss linear uncorrected
Table 5. The fitted results for temperature distribution.
Table 5. The fitted results for temperature distribution.
Prandtl NumberabCorrelation
0.010.040.66 Θ + = 0 . 04 y + 0.66
0.050.290.51 Θ + = 0 . 29 y + 0.51
0.10.680.41 Θ + = 0 . 68 y + 0.41
0.252.170.28 Θ + = 2 . 17 y + 0.28
0.716.390.17 Θ + = 6 . 39 y + 0.17
18.830.14 Θ + = 8 . 83 y + 0.14
Table 6. Fitted coefficient.
Table 6. Fitted coefficient.
CoefficientEquation
a 9 . 47 P r 1.15
b 0 . 09 / ln P r + 1 . 15
Disclaimer/Publisher’s Note: The statements, opinions and data contained in all publications are solely those of the individual author(s) and contributor(s) and not of MDPI and/or the editor(s). MDPI and/or the editor(s) disclaim responsibility for any injury to people or property resulting from any ideas, methods, instructions or products referred to in the content.

Share and Cite

MDPI and ACS Style

Fu, H.; Chen, J.; Tong, Y.; Peng, S.; Liu, F.; Lyu, X.; Zhao, H. New Nusselt Number Correlation and Turbulent Prandtl Number Model for Turbulent Convection with Liquid Metal Based on Quasi-DNS Results. Energies 2025, 18, 547. https://doi.org/10.3390/en18030547

AMA Style

Fu H, Chen J, Tong Y, Peng S, Liu F, Lyu X, Zhao H. New Nusselt Number Correlation and Turbulent Prandtl Number Model for Turbulent Convection with Liquid Metal Based on Quasi-DNS Results. Energies. 2025; 18(3):547. https://doi.org/10.3390/en18030547

Chicago/Turabian Style

Fu, Hao, Juan Chen, Yanjun Tong, Sifan Peng, Fang Liu, Xuefeng Lyu, and Houjian Zhao. 2025. "New Nusselt Number Correlation and Turbulent Prandtl Number Model for Turbulent Convection with Liquid Metal Based on Quasi-DNS Results" Energies 18, no. 3: 547. https://doi.org/10.3390/en18030547

APA Style

Fu, H., Chen, J., Tong, Y., Peng, S., Liu, F., Lyu, X., & Zhao, H. (2025). New Nusselt Number Correlation and Turbulent Prandtl Number Model for Turbulent Convection with Liquid Metal Based on Quasi-DNS Results. Energies, 18(3), 547. https://doi.org/10.3390/en18030547

Note that from the first issue of 2016, this journal uses article numbers instead of page numbers. See further details here.

Article Metrics

Back to TopTop