Investigation of CH4 Desorption–Diffusion Properties Under the Stepwise Wetting–Corrosion Effects of Hydrochloric Acid and Cocamidopropyl Betaine
Abstract
1. Introduction
2. Experimental Section
2.1. Materials
2.2. Experimental Methods
2.2.1. Mineral Components and Surface Morphology
2.2.2. Pore Structure
2.2.3. CH4 Adsorption and Desorption
2.2.4. CH4 Diffusion Kinetic Parameters
3. Results and Discussion
3.1. The Wetting–Corrosion Effects on Mineral Composition and Content
3.2. The Wetting–Corrosion Effects on Surface Morphology and Elemental Composition
3.3. The Wetting–Corrosion Effect on the Specific Surface Area and Pore Roughness of the Coal
3.4. The Wetting–Corrosion Effect on CH4 Adsorption, Desorption, and Diffusion Characteristics of the Coal
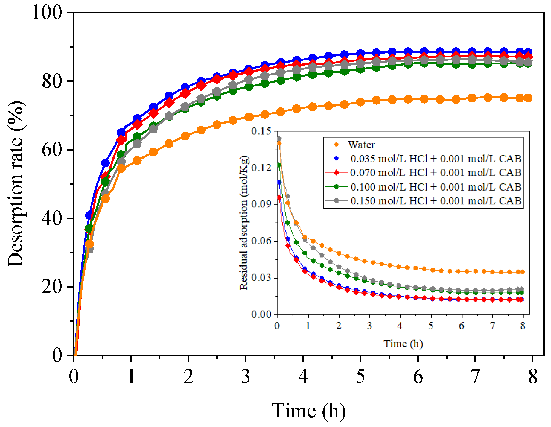
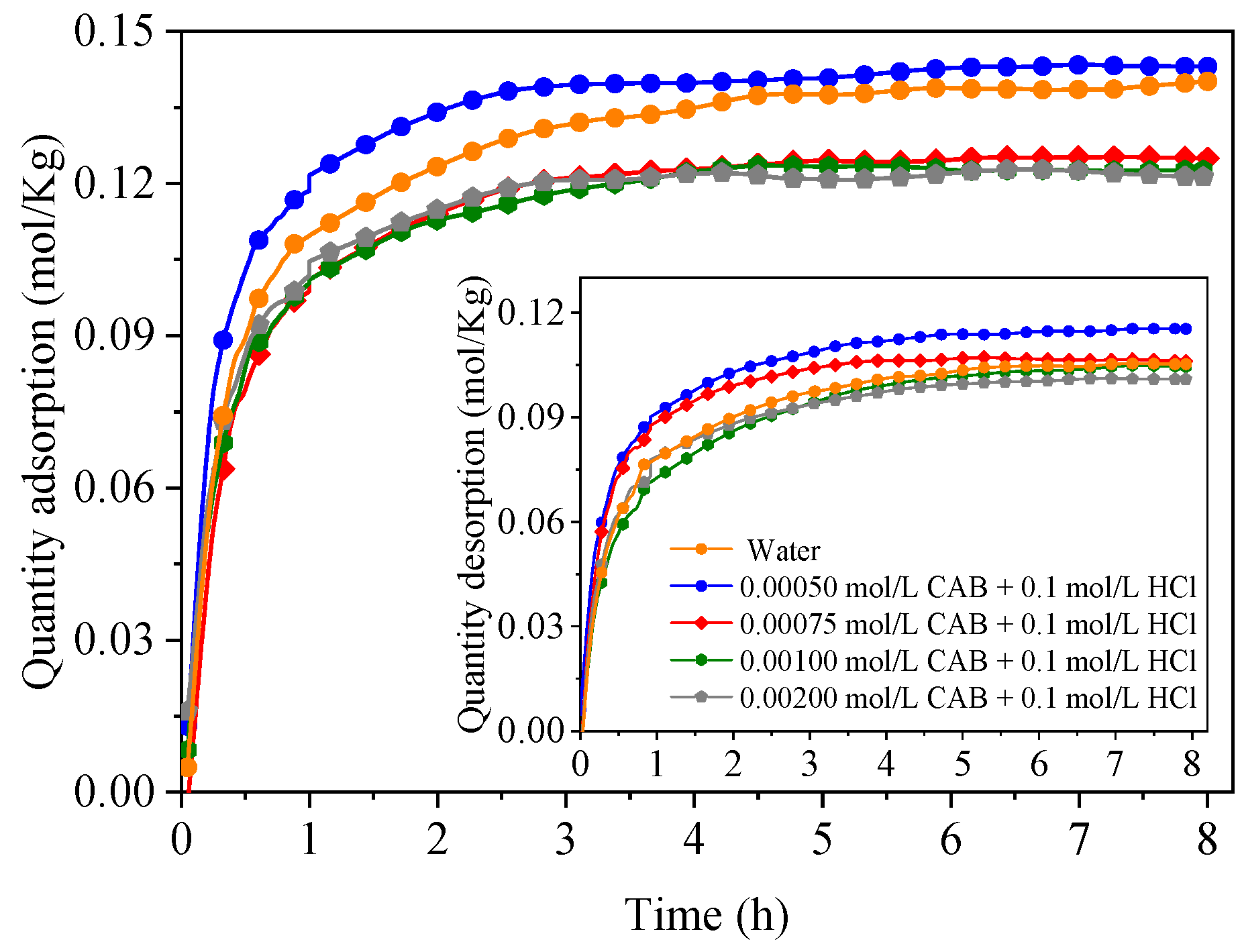
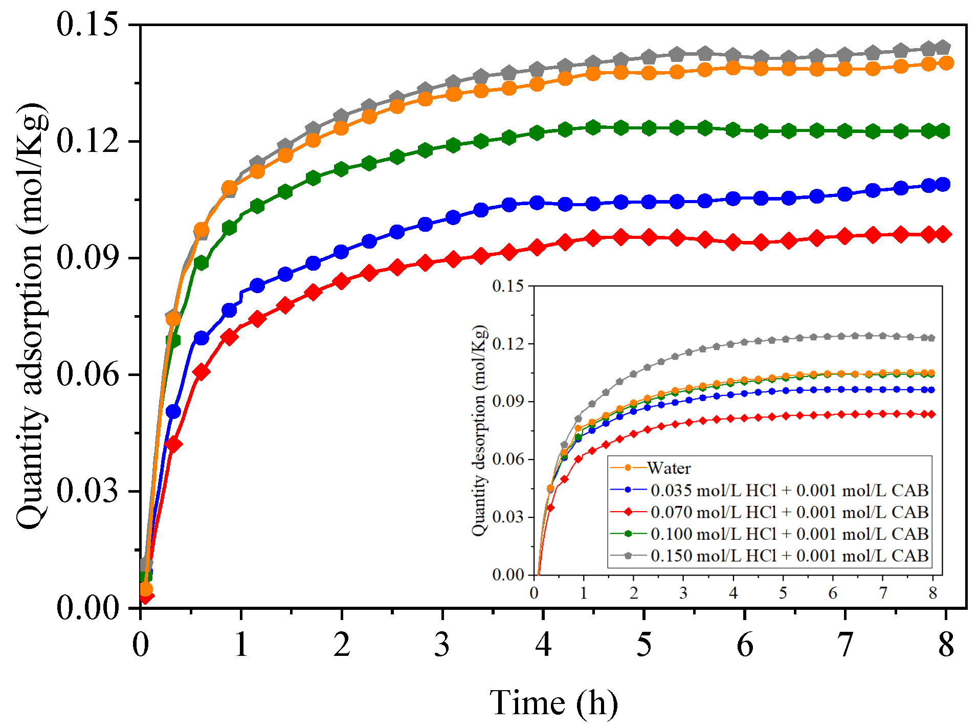
3.4.1. The Characteristics of CH4 Adsorption and Desorption
3.4.2. The Characteristic of CH4 Diffusion Kinetic
3.5. Mechanism of Promoting CH4 Adsorption and Diffusion by Composite and Stepwise Methods
4. Conclusions
Author Contributions
Funding
Data Availability Statement
Conflicts of Interest
References
- Chen, S.; Tao, S.; Tang, D. In Situ Coal Permeability and Favorable Development Methods for Coalbed Methane (CBM) Extraction in China: From Real Data. Int. J. Coal Geol. 2024, 284, 104472. [Google Scholar] [CrossRef]
- Leng, K.; Guan, B.; Liu, W.; Jiang, C.; Cong, S.; Xin, Y. Research Progress of Coalbed Methane Extraction. Energy Rep. 2024, 12, 5728–5746. [Google Scholar] [CrossRef]
- Hu, B.; Nie, B.; Ma, C.; Zhang, Y.; Bao, S.; Li, Z.; Luo, X. Enhanced Coalbed Methane Extraction by High-Strength Electric Detonation Technology: Numerical Study and Field Test. Fuel 2025, 396, 135340. [Google Scholar] [CrossRef]
- Ran, D.; Cheng, J.; Liu, Y.; Fu, Q.; Ma, Z.; Mei, J. Experimental Validation and Mechanistic Elucidation of Crack Division and Two-Phase Flow-Mediated Sealing in Coalbed Methane Extraction Boreholes. Int. J. Rock Mech. Min. Sci. 2025, 186, 106021. [Google Scholar] [CrossRef]
- Ouyang, W.; Huang, L.; Liu, J.; Zhang, H. Analysis of Hydraulic Fracture Network Morphology in Stimulated Coal Reservoirs with Pre-Existing Natural Fractures. Energy 2025, 122, 1491–1509. [Google Scholar] [CrossRef]
- Liang, Y.; Yang, K.; Yang, Z.; Li, Q.; Chen, Q.; Sun, W. Hydro-Mechanical-Damage Coupling Effect of Hydraulic Fracturing in Fractured Dual-Medium Coal Masses. Comput. Geotech. 2025, 178, 106909. [Google Scholar] [CrossRef]
- Wang, X.; Wang, E.; He, X.; Hu, S. Study of Dynamic Mechanical Characterization of Coal with Different Metamorphism Degrees under Hydraulic Fracturing. Fuel 2025, 385, 134204. [Google Scholar] [CrossRef]
- Hosseinzadeh, S.; Haghighi, M.; Salmachi, A.; Shokrollahi, A. Carbon Dioxide Storage within Coal Reservoirs: A Comprehensive Review. Geoenergy Sci. Eng. 2024, 241, 213198. [Google Scholar] [CrossRef]
- Busch, A.; Gensterblum, Y. CBM and CO2-ECBM Related Sorption Processes in Coal: A Review. Int. J. Coal Geol. 2011, 87, 49–71. [Google Scholar] [CrossRef]
- Huang, D.; Zhang, R.; Wang, N.; Bai, X.; Wu, J.; Dong, Z.; Chen, H.; Xu, Q. Microbial Assembly Regulated Microbial Succession of Biochar-Mediated CH4 Biofiltration to Resume Function under H2S Stress. Chem. Eng. J. 2025, 506, 160071. [Google Scholar] [CrossRef]
- Shi, Y.; Lin, B.; Liu, T. Confinement Pressure-Rising Response and Its Influence on Pore-Fracture Structure Evolution of Gas-Containing Coal under Thermal Stimulation. Measurement 2025, 253, 117573. [Google Scholar] [CrossRef]
- Li, H.; Lv, X.; Lu, J.; Liu, M.; Yang, W.; Hong, Y.; Liu, T.; Lin, B.; Wang, Z. Effect of Cyclic Thermal Stimulation on the Pore Structure and Fluid Space of Coal and Inspiration for Coalbed Methane Production. Energy 2024, 289, 129994. [Google Scholar] [CrossRef]
- Zhang, Q.; Zhu, H. Macromolecular Insights into the Influence of Bituminous Coal Matrix Deformation on CH4-N2 Competitive Adsorption and Diffusion. Colloids Surf. A Physicochem. Eng. Asp. 2024, 694, 134143. [Google Scholar] [CrossRef]
- Balucan, R.D.; Turner, L.G.; Steel, K.M. Acid-Induced Mineral Alteration and Its Influence on the Permeability and Compressibility of Coal. J. Nat. Gas Sci. Eng. 2016, 33, 973–987. [Google Scholar] [CrossRef]
- Farrokhrouz, M.; Akhondzadeh, H.; Yang, Y.; Rahman Awan, F.U.; Iglauer, S.; Lebedev, M.; Keshavarz, A. Coal Cleat Network Stimulation through a Combination of Acidizing and Liquid Nitrogen Fracturing. Gas Sci. Eng. 2024, 125, 205308. [Google Scholar] [CrossRef]
- Ni, G.; Li, S.; Rahman, S.; Xun, M.; Wang, H.; Xu, Y.; Xie, H. Effect of Nitric Acid on the Pore Structure and Fractal Characteristics of Coal Based on the Low-Temperature Nitrogen Adsorption Method. Powder Technol. 2020, 367, 506–516. [Google Scholar] [CrossRef]
- Zhang, B.; Deng, Z.; Fu, X.; Yu, K.; Zeng, F. (Bill) An Experimental Study on the Effects of Acidization on Coal Permeability: Implications for the Enhancement of Coalbed Methane Production. Energy 2023, 280, 128145. [Google Scholar] [CrossRef]
- Dong, K.; Dai, W.-X.; Zhong, D.-L.; Yan, J.; Xie, F.-M.; Sun, H.-S.; Wang, M. Experimental Study on Coal Structure Variation and CH4 Adsorption Properties under the Effect of Cocamidopropyl Betaine. Energy Fuels 2022, 36, 14055–14065. [Google Scholar] [CrossRef]
- Zheng, Y.; Zhai, C.; Sun, Y.; Cong, Y.; Tang, W.; Yu, X.; Xu, J.; Chen, A.; Xu, H.; Wu, X. Effect of Reservoir Temperatures on the Stabilization and Flowback of CO2 Foam Fracturing Fluid Containing Nano-SiO2 Particles: An Experimental Study. Geoenergy Sci. Eng. 2023, 228, 212048. [Google Scholar] [CrossRef]
- Xie, H.; Ni, G.; Li, S.; Sun, Q.; Dong, K.; Xie, J.; Wang, G.; Liu, Y. The Influence of Surfactant on Pore Fractal Characteristics of Composite Acidized Coal. Fuel 2019, 253, 741–753. [Google Scholar] [CrossRef]
- Zhang, Y.; Zheng, Y.; Jiang, B.; Yu, G.; Ren, B.; Yu, C.; Wang, S. Experimental Study on the Influence of Acid Fracturing Fluid on Coal Wettability. Fuel 2023, 343, 127965. [Google Scholar] [CrossRef]
- Dong, K.; Zhong, D.-L.; Lu, Y.-Y.; Yan, J.; Dai, W.-X. Facilitating Desorption and Diffusion of Coalbed Methane by Wetting-Corrosion: Perspectives from the Change of Pore Structure. Gas Sci. Eng. 2023, 119, 205138. [Google Scholar] [CrossRef]
- Xie, H.; Li, X.; Xue, F.; Sui, H.; Zhao, J.; Cai, J.; Feng, C. Influences of Evolution of Pore Structures in Tectonic Coal under Acidization on Methane Desorption. ACS Omega 2023, 8, 34059–34076. [Google Scholar] [CrossRef] [PubMed]
- Liu, Z.; Jiao, L.; Yang, H.; Zhu, M.; Zhang, M.; Dong, B. Study on the Microstructural Characteristics of Coal and the Mechanism of Wettability of Surfactant Solutions at Different pH Levels. Fuel 2023, 353, 129268. [Google Scholar] [CrossRef]
- Xie, H.; Li, X. Microstructure and Nanomechanical Characterization of Tectonic Coal Based on SEM, AFM, XRD and DSI. Surf. Interfaces 2024, 46, 104158. [Google Scholar] [CrossRef]
- He, J.; Li, H.; Yang, W.; Lu, J.; Lu, Y.; Liu, T.; Shi, S. Experimental Study on Erosion Mechanism and Pore Structure Evolution of Bituminous and Anthracite Coal under Matrix Acidification and Its Significance to Coalbed Methane Recovery. Energy 2023, 283, 128485. [Google Scholar] [CrossRef]
- Jiang, B.; Zhang, Y.; Zheng, Y.; Yu, C.-F.; Wang, S.; Lin, H.; Lu, K.; Ren, B.; Nie, W.; Yu, H.; et al. Effect of Acid-Thermal Coupling on the Chemical Structure and Wettability of Coal: An Experimental Study. Energy 2024, 294, 130943. [Google Scholar] [CrossRef]
- Dou, H.; Xie, J.; Xie, J.; Sun, G.; Li, Z.; Wang, Z.; Miao, Y. Study on the Mechanism of the Influence of HNO3 and HF Acid Treatment on the CO2 Adsorption and Desorption Characteristics of Coal. Fuel 2022, 309, 122187. [Google Scholar] [CrossRef]
- Guo, Z.; Cao, Y.; Dong, S.; Zhang, Z. Experimental Studies on the Enhancement of Permeability of Anthracite by Acidizing: A Case Study in the Daning Block, Southern Qinshui Basin. ACS Omega 2021, 6, 31112–31121. [Google Scholar] [CrossRef]
- Nguyen, N.N.; Nguyen, A.V.; Dang, L.X. The Inhibition of Methane Hydrate Formation by Water Alignment underneath Surface Adsorption of Surfactants. Fuel 2017, 197, 488–496. [Google Scholar] [CrossRef]
- Wen, Y.; Ni, G.; Zhang, X.; Zheng, Y.; Wang, G.; Wang, Z. Qiming Fine Characterization of Pore Structure of Acidified Anthracite Based on Liquid Intrusion Method and Micro-CT. Energy 2023, 263, 125639. [Google Scholar] [CrossRef]
- Dai, C.; Fang, J.; Ding, Q.; Wang, T.; Zhao, M.; Wu, Y. Study on Adsorption Characteristic of Novel Nonionic Fluorocarbon Surfactant (4-Hydroxyethyl Ether) (Pentadecafluoro-Alkyl) Amide at Coal-Water Interface. Colloid Polym. Sci. 2018, 296, 21–30. [Google Scholar] [CrossRef]
- Zeighami, A.; Kargozarfard, Z.; Khiabani, N.P.; Ayatollahi, S. Salt-Acid-Surfactant Synergistic Effects on Interfacial Characteristics of Water/Oil Systems: A Molecular Dynamics Simulation Study. J. Mol. Liq. 2024, 396, 123996. [Google Scholar] [CrossRef]
- Li, H.; Liu, W.; Lu, J.; Lu, Y.; Shi, S.; Wang, Z.; Ye, Q.; Jia, Z. Effect of Microwave-Assisted Acidification on the Microstructure of Coal: XRD, 1H-NMR, and SEM Studies. Int. J. Min. Sci. Technol. 2023, 33, 919–926. [Google Scholar] [CrossRef]
- Xin, H.; Tian, W.; Zhou, B.; Qi, X.; Li, J.; Wu, J.; Wang, D. Pore Structure Evolution and Oxidation Characteristic Change of Coal Treated with Liquid Carbon Dioxide and Liquid Nitrogen. Energy 2023, 268, 126674. [Google Scholar] [CrossRef]
- Ge, B.-B.; Li, X.-Y.; Zhong, D.-L.; Lu, Y.-Y. Investigation of Natural Gas Storage and Transportation by Gas Hydrate Formation in the Presence of Bio-Surfactant Sulfonated Lignin. Energy 2022, 244, 122665. [Google Scholar] [CrossRef]
- Lu, Y.-Y.; Ge, B.-B.; Zhong, D.-L. Investigation of Using Graphite Nanofluids to Promote Methane Hydrate Formation: Application to Solidified Natural Gas Storage. Energy 2020, 199, 117424. [Google Scholar] [CrossRef]
- Ni, G.; Lin, B.; Zhai, C.; Li, Q.; Peng, S.; Li, X. Kinetic Characteristics of Coal Gas Desorption Based on the Pulsating Injection. Int. J. Min. Sci. Technol. 2014, 24, 631–636. [Google Scholar] [CrossRef]
- Nie, B.; Guo, Y.; WU, S.; Zhang, L. Theoretical Model of Gas Diffusion Through Coal Particles and Its Analytical Solution. J. China Univ. Min. Technol. 2001, 30, 19–22. [Google Scholar]
- Dong, K.; Zhong, D.; Li, Q.; Li, C.; Zhang, W. A Wetting-Corrosion Combined Method for CH4 Desorption-Diffusion Improvement Using Hydrochloric Acid and Cocamidopropyl Betaine. Energy Fuels 2025, 39, 13344–13353. [Google Scholar] [CrossRef]
- Wu, J.; Ansari, U. From CO2 Sequestration to Hydrogen Storage: Further Utilization of Depleted Gas Reservoirs. Reserv. Sci. 2025, 1, 19–35. [Google Scholar] [CrossRef]
- Wang, H.; Wang, L.; Zheng, S.; Sun, Y.; Shen, S.; Zhang, X. Research on Coal Matrix Pore Structure Evolution and Adsorption Behavior Characteristics under Different Thermal Stimulation. Energy 2024, 287, 129677. [Google Scholar] [CrossRef]
- Zheng, Y.; Zhai, C.; Chen, A.; Yu, X.; Xu, J.; Sun, Y.; Cong, Y.; Tang, W.; Zhu, X.; Li, Y. Microstructure Evolution of Bituminite and Anthracite Modified by Different Fracturing Fluids. Energy 2023, 263, 125732. [Google Scholar] [CrossRef]
- Matusik, J.; Dziewiątka, K.; Deng, Y. Smectite Functionalization for Targeted Zearalenone Immobilization: Investigating the Key Role of Surface Chemistry and Adsorption Mechanisms. Appl. Clay Sci. 2026, 279, 108023. [Google Scholar] [CrossRef]
- Kelleppan, V.T.; King, J.P.; Butler, C.S.G.; Williams, A.P.; Tuck, K.L.; Tabor, R.F. Heads or Tails? The Synthesis, Self-Assembly, Properties and Uses of Betaine and Betaine-like Surfactants. Adv. Colloid Interface Sci. 2021, 297, 102528. [Google Scholar] [CrossRef]
- Abdel Ghafar, H.H.; Radwan, E.K.; El-Wakeel, S.T. Removal of Hazardous Contaminants from Water by Natural and Zwitterionic Surfactant-Modified Clay. ACS Omega 2020, 5, 6834–6845. [Google Scholar] [CrossRef]














| Proximate Analysis (%) | Ultimate Analysis (%) | |||||||
|---|---|---|---|---|---|---|---|---|
| Aad | Mad | Vdaf | FCad | S | N | H | O | C |
| 5.12 | 6.54 | 30.06 | 58.28 | 0.348 | 0.75 | 4.49 | 18.52 | 75.34 |
| Samples | Solution | Samples | Solution |
|---|---|---|---|
| 1# | 0.0005 mol/L CAB + 0.1 mol/L HCl | 5# | 0.035 mol/L HCl + 0.001 mol/L CAB |
| 2# | 0.00075 mol/L CAB + 0.1 mol/L HCl | 6# | 0.07 mol/L HCl + 0.001 mol/L CAB |
| 3# | 0.001 mol/L CAB + 0.1 mol/L HCl | 7# | 0.1 mol/L HCl + 0.001 mol/L CAB |
| 4# | 0.002 mol/L CAB + 0.1 mol/L HCl | 8# | 0.15 mol/L HCl + 0.001 mol/L CAB |
| Magnification | Na | Mg | Al | Si | S | K | Ca | Fe |
|---|---|---|---|---|---|---|---|---|
| 1250 | 4.91 | N/A | 32.43 | 33.11 | 1.75 | 10.07 | 5.62 | 12.11 |
| 10,000 | N/A | 4.91 | 17.62 | 59.31 | 3.72 | N/A | 5.91 | 8.53 |
| Na | Al | Si | S | Ca | Fe | |
|---|---|---|---|---|---|---|
| CAB | 8.43 | 21.55 | 51.85 | 6.08 | 12.09 | N/A |
| HCl | N/A | 48.96 | 48.70 | N/A | N/A | 5.33 |
| Composite | N/A | 45.43 | 47.99 | N/A | N/A | 6.57 |
| Stepwise | N/A | 21.14 | 61.23 | 9.662 | N/A | N/A |
| Samples | Pore Volume (×10−3 cm3/g) | Δ (%) | Samples Area (m2/g) | Δ (%) |
|---|---|---|---|---|
| 1# | 11.08 | 9.03% | 5.11 | 5.21% |
| 2# | 11.65 | 14.61% | 4.56 | −6.03% |
| 3# | 11.73 | 15.38% | 4.59 | −5.34% |
| 4# | 11.86 | 16.67% | 4.41 | −9.13% |
| 5# | 10.43 | 2.61% | 4.35 | −10.36% |
| 6# | 10.95 | 7.72% | 4.93 | 1.58% |
| 7# | 11.73 | 15.38% | 4.59 | −5.34% |
| 8# | 12.31 | 21.08% | 5.36 | 10.96% |
| Samples | D1 | D2 | Samples | D1 | D2 |
|---|---|---|---|---|---|
| 1# | 2.739 | 2.543 | 5# | 2.717 | 2.535 |
| 2# | 2.733 | 2.551 | 6# | 2.725 | 2.552 |
| 3# | 2.732 | 2.556 | 7# | 2.741 | 2.556 |
| 4# | 2.724 | 2.562 | 8# | 2.752 | 2.551 |
| Samples | Adsorption Amount (mol/kg) | Δ (%) | Desorption Amount (mol/kg) | Δ (%) |
|---|---|---|---|---|
| 1# | 0.1431 | 1.18% | 0.1154 | 9.71% |
| 2# | 0.1249 | −11.61% | 0.1061 | 0.84% |
| 3# | 0.1226 | −13.25% | 0.1045 | −0.66% |
| 4# | 0.1213 | −14.23% | 0.1009 | −4.01% |
| 5# | 0.1089 | −22.96% | 0.0963 | −8.47% |
| 6# | 0.0961 | −32.03% | 0.0837 | −20.44% |
| 7# | 0.1226 | −13.25% | 0.1045 | −0.66% |
| 8# | 0.1441 | 1.89% | 0.1232 | 17.09% |
| Samples | λ | A | R2 | Biot Number Bi | Mass Transfer Coefficient α (×10−7 m/min) | Diffusion Coefficient D (×10−10 m2/min) |
|---|---|---|---|---|---|---|
| 0# | 0.0228 | 0.8426 | 0.8890 | 5.41 | 3.61 | 0.80 |
| 1# | 0.0303 | 0.9226 | 0.8839 | 2.84 | 3.39 | 1.43 |
| 2# | 0.0289 | 0.9302 | 0.8858 | 2.63 | 3.12 | 1.42 |
| 3# | 0.0232 | 0.9621 | 0.8604 | 1.75 | 2.16 | 1.48 |
| 4# | 0.0208 | 0.9728 | 0.8704 | 1.43 | 1.83 | 1.53 |
| 5# | 0.0209 | 0.9129 | 0.8794 | 3.11 | 2.43 | 0.94 |
| 6# | 0.0188 | 0.9363 | 0.8828 | 2.47 | 1.97 | 0.96 |
| 7# | 0.0232 | 0.9621 | 0.8952 | 1.75 | 2.16 | 1.48 |
| 8# | 0.0261 | 0.9615 | 0.9073 | 1.77 | 2.44 | 1.65 |
Disclaimer/Publisher’s Note: The statements, opinions and data contained in all publications are solely those of the individual author(s) and contributor(s) and not of MDPI and/or the editor(s). MDPI and/or the editor(s) disclaim responsibility for any injury to people or property resulting from any ideas, methods, instructions or products referred to in the content. |
© 2025 by the authors. Licensee MDPI, Basel, Switzerland. This article is an open access article distributed under the terms and conditions of the Creative Commons Attribution (CC BY) license (https://creativecommons.org/licenses/by/4.0/).
Share and Cite
Dong, K.; Zhang, W.; Zhong, D.; Yan, J. Investigation of CH4 Desorption–Diffusion Properties Under the Stepwise Wetting–Corrosion Effects of Hydrochloric Acid and Cocamidopropyl Betaine. Energies 2025, 18, 6336. https://doi.org/10.3390/en18236336
Dong K, Zhang W, Zhong D, Yan J. Investigation of CH4 Desorption–Diffusion Properties Under the Stepwise Wetting–Corrosion Effects of Hydrochloric Acid and Cocamidopropyl Betaine. Energies. 2025; 18(23):6336. https://doi.org/10.3390/en18236336
Chicago/Turabian StyleDong, Kai, Wei Zhang, Dongliang Zhong, and Jin Yan. 2025. "Investigation of CH4 Desorption–Diffusion Properties Under the Stepwise Wetting–Corrosion Effects of Hydrochloric Acid and Cocamidopropyl Betaine" Energies 18, no. 23: 6336. https://doi.org/10.3390/en18236336
APA StyleDong, K., Zhang, W., Zhong, D., & Yan, J. (2025). Investigation of CH4 Desorption–Diffusion Properties Under the Stepwise Wetting–Corrosion Effects of Hydrochloric Acid and Cocamidopropyl Betaine. Energies, 18(23), 6336. https://doi.org/10.3390/en18236336

