DecPD: A Deconstructed Deep Learning Approach for Partial Discharge Pattern Recognition
Abstract
1. Introduction
- 1.
- For high-accuracy PDPR tasks, a refined PDPR network model based on DecPD is developed for PD samples under environmental noise. By incorporating parallel CNN-BiLSTM processing and the GRAttention module, the model effectively captures both long-term dependencies and short-transient PD features, enabling accurate discrimination among highly similar PD phenomena and significantly enhancing multi-type recognition performance.
- 2.
- An adaptive loss function tailored for PD scenarios is proposed to address the severe class imbalance between non-PD and PD fault samples. By introducing a peak factor as an adaptive modulation term, the loss function eliminates the need for manual parameter tuning while preserving the ability to focus on sparse and difficult samples, thereby improving training efficiency and classification robustness.
- 3.
- A real-world dataset generated from a PD data generation and acquisition platform is constructed to validate the proposed approach. The dataset contains seven PD categories measured under practical noise conditions, enabling comprehensive evaluation and demonstrating the effectiveness of the proposed method in realistic on-site environments.
2. Proposed DecPD with Adaptive FL for PDPR
2.1. Overall Scheme
2.2. Data Preparation
2.3. Feature Extraction
2.4. Architecture of Proposed DecPD Model
2.4.1. Dual-Channel Learning Architecture
2.4.2. GRAttention
2.4.3. DenseNet Classifier
2.5. Adaptive Focal Loss
3. Experimental Validation
3.1. PD Data Collection
3.1.1. Artificial Defect Description
- IID: Internal cracks or voids defects within cross-linked insulation.
- SCD: Surface cracks or gaps on conductors causing conductor defects.
- EMI: Embedded metallic particles within insulation causing conductive inclusions.
- CSMP: Conductor surfaces with metallic particles exhibit defects under alternating electric fields.
- OSCL: Outer cracks in semi-conductive layer causing insulation surface defects.
- ETF: Internal insulation degradation causing defects via electrical treeing.
3.1.2. PD Data Acquisition
3.2. Implementation Details
3.3. Evaluation of Method
3.3.1. Comparison of Butterworth Filter Performance
3.3.2. Effectiveness of the DecPD Model
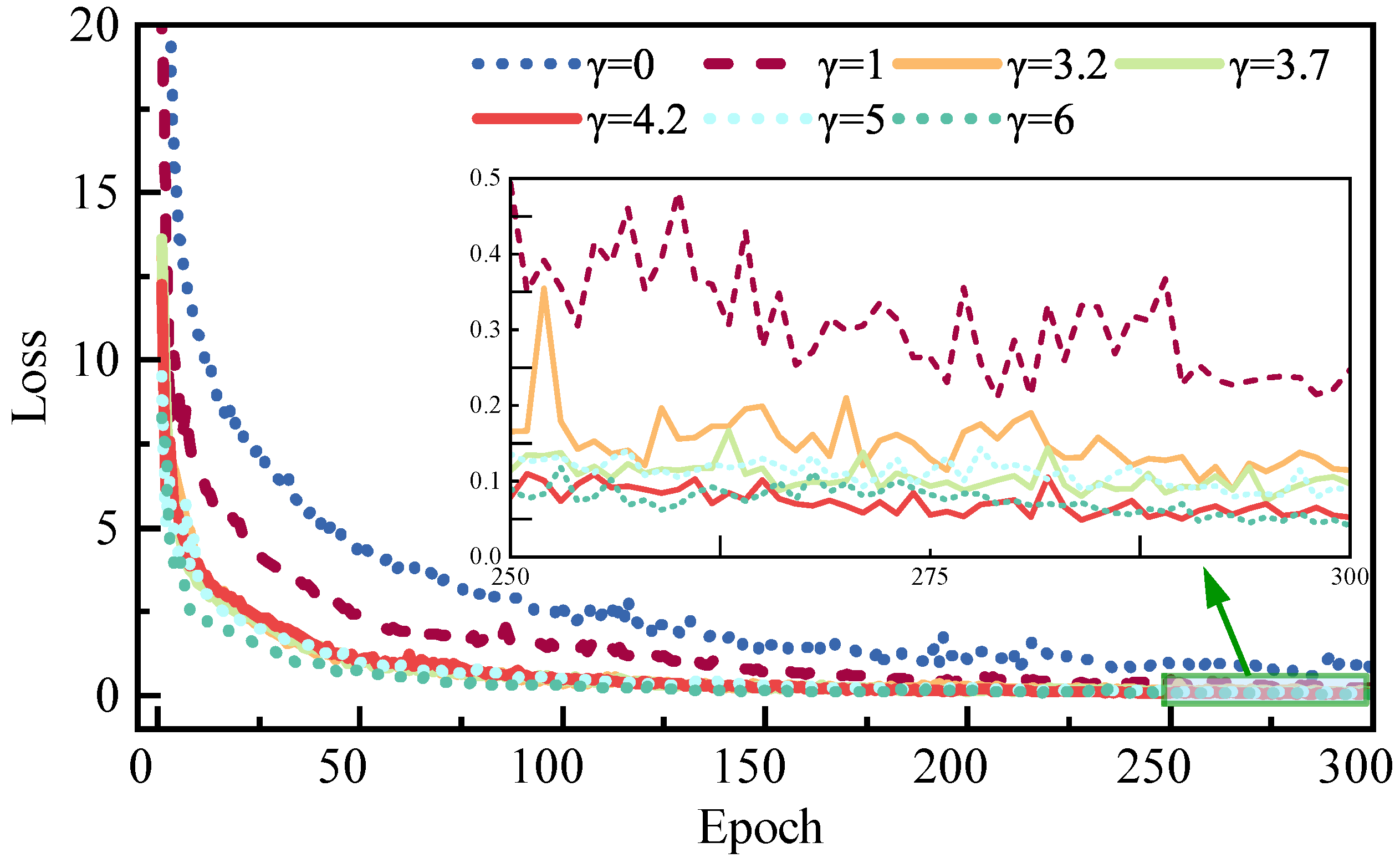
3.3.3. Effectiveness of the Adaptive FL
3.4. Comparison with Existing Approaches
4. Conclusions
Author Contributions
Funding
Data Availability Statement
Acknowledgments
Conflicts of Interest
Abbreviations
| PDPR | Partial Discharge Pattern Recognition |
| PD | Partial Discharge |
| DecPD | Deconstructed Partial Discharge |
| HV | High Voltage |
| DL | Deep Learning |
| CNN | Convolutional Neural Network |
| LSTM | Long Short-Term Memory |
| BiLSTM | Bidirectional Long Short-Term Memory |
| GRAttention | Gated Recurrent Unit Attention |
| DWT | Discrete Wavelet Transform |
| FL | Focal Loss |
| FFT | Fast Fourier Transform |
| PSD | Power Spectral Density |
| DenseNet | Dense Network |
| GRU | Gated Recurrent Unit |
| PEI | Power Electronic Interference |
| XLPE | Cross-Linked Polyethylene |
| HFCT | High-Frequency Current Transformer |
| CE | Cross Entropy |
| PITCN | Physics-Informed Temporal Convolutional Network |
| MLTN | Multitask Learning Network |
References
- Khan, Q.; Refaat, S.S.; Abu-Rub, H.; Toliyat, H.A.; Olesz, M.; Darwish, A. Characterization of Defects Inside the Cable Dielectric with Partial Discharge Modeling. IEEE Trans. Instrum. Meas. 2021, 70, 3502911. [Google Scholar] [CrossRef]
- Ren, J.; Ma, Y.; Qu, Q.; Wang, Z.; Wang, Y.; Wang, L.; Han, X.; Yang, X. Study on Partial Discharge Characteristics of Mixed Metal Particles Under Combined Power Frequency and Switching Impulse Voltage. Energies 2025, 18, 5650. [Google Scholar] [CrossRef]
- Negri, V.; Mingotti, A.; Tinarelli, R.; Peretto, L.; Ray, L.S.S.; Zhou, B.; Lukowicz, P. A Novel Health Index for MV Cable Joint Aging Prediction Based on Dynamic Graph Attention Model. IEEE Trans. Instrum. Meas. 2025, 74, 2516608. [Google Scholar] [CrossRef]
- Lu, G.; Tsang, C.W.; Yim, H.N.; Lei, C.; Bu, S.; Yung, W.K.C.; Pecht, M. Interpretable Fault Diagnosis for Overhead Lines with Covered Conductors: A Physics-Informed Deep Learning Approach. Prot. Control Mod. Power Syst. 2025, 10, 25–39. [Google Scholar] [CrossRef]
- Hu, H.; Li, X.; Wang, Z.; Jia, Z. Moisture Degradation Characteristics and Multi-Performance-Based Status Assessment Method of Distribution Cables. IEEE Trans. Power Del. 2024, 39, 3017–3027. [Google Scholar] [CrossRef]
- Wang, Y.; Yan, J.; Zhang, W.; Yang, Z.; Wang, J.; Geng, Y.; Srinivasan, D. Mutitask Learning Network for Partial Discharge Condition Assessment in Gas-Insulated Switchgear. IEEE Trans. Ind. Inform. 2024, 20, 11998–12009. [Google Scholar] [CrossRef]
- Zhu, T.; Lin, Y.; Tian, H.; Yan, Y. A Cable Partial Discharge Localization Method Based on Complete Ensemble Empirical Mode Decomposition with Adaptive Noise–Multiscale Permutation Entropy–Improved Wavelet Thresholding Denoising and Cross-Correlation Coefficient Filtering. Energies 2025, 18, 5511. [Google Scholar] [CrossRef]
- Jing, X.; Wu, Z.; Zhang, L.; Li, Z.; Mu, D. Electrical Fault Diagnosis From Text Data: A Supervised Sentence Embedding Combined With Imbalanced Classification. IEEE Trans. Ind. Electron. 2024, 71, 3064–3073. [Google Scholar] [CrossRef]
- Hu, Y.; Chang, H.; Wang, H.; Wu, Q.; Zhang, C.; Ren, M.; Dong, M. Lightweight Diagnosis of Short-Gap Arcs in Oil-Paper Insulation Based on Depthwise Separable CNN. IEEE Trans. Instrum. Meas. 2025, 74, 3510111. [Google Scholar] [CrossRef]
- Ganguly, B.; Chaudhuri, S.; Biswas, S.; Dey, D.; Munshi, S.; Chatterjee, B.; Dalai, S.; Chakravorti, S. Wavelet Kernel-Based Convolutional Neural Network for Localization of Partial Discharge Sources Within a Power Apparatus. IEEE Trans. Ind. Inform. 2021, 17, 1831–1841. [Google Scholar] [CrossRef]
- Wang, Y.; Yan, J.; Yang, Z.; Xu, Z.; Qi, Z.; Wang, J.; Geng, Y. Simultaneous Partial Discharge Diagnosis and Localization in Gas-Insulated Switchgear via a Dual-Task Learning Network. IEEE Trans. Power Del. 2023, 38, 4358–4370. [Google Scholar] [CrossRef]
- Zheng, S.; Liu, J.; Zeng, J. MDTCNet: A Novel Multiscale Denoising Transformer Convolutional Network for Fault Diagnosis of Partial Discharge. IEEE Trans. Dielectr. Electr. Insul. 2025, 32, 2938–2947. [Google Scholar] [CrossRef]
- Kumar, C.; Ganguly, B.; Dey, D.; Chatterjee, S. Multi-Scale CNN-LSTM Network for Denoising Acoustic Partial Discharge Signal in an Electrical Apparatus. Arab. J. Sci. Eng. 2025, 1–19. [Google Scholar] [CrossRef]
- Fu, Z.; Wang, Y.; Zhou, L.; Li, K.; Rao, H. Partial Discharge Recognition of Transformers Based on Data Augmentation and CNN-BiLSTM-Attention Mechanism. Electronics 2025, 14, 193. [Google Scholar] [CrossRef]
- Priananda, C.W.; Illias, H.A.; Raymond, W.J.K.; Negara, I.M.Y. Hybrid Deep Learning Models for Enhanced Classification of Phase-Resolved Partial Discharge Patterns from High-Voltage Rotating Machine Insulation. IEEE Trans. Dielectr. Electr. Insul. 2025, 32, 3059–3067. [Google Scholar] [CrossRef]
- Liu, H.; Zhang, Z.; Song, R.; Shu, Z.; Wang, J.; Tian, H.; Song, Y.; Chen, W. Pattern Recognition Method for Detecting Partial Discharge in Oil-Paper Insulation Equipment Using Optical F-P Sensor Array Based on KAN-CNN Algorithm. J. Light. Technol. 2025, 43, 6004–6012. [Google Scholar] [CrossRef]
- Liu, J.; Wang, S.; Zhang, H.; Zhang, M.; Sun, W. Diagnosis and Location of Cable Defects Based on Digital Reconstruction of Impedance Spectrum Under Pseudotrapezoidal PFM Excitation. IEEE Trans. Ind. Electron. 2023, 70, 11754–11763. [Google Scholar] [CrossRef]
- Yu, S.; Wang, J.; Gou, B.; Xie, C. A Novel Bilateral Branching Network With Cost-Sensitive Res2Net for Diagnosis GIS Insulation Defects on Imbalanced Data. IEEE Trans. Instrum. Meas. 2024, 73, 3537811. [Google Scholar] [CrossRef]
- Wang, Y.; Yan, J.; Yang, Z.; Jing, Q.; Wang, J.; Geng, Y. GAN and CNN for imbalanced partial discharge pattern recognition in GIS. High Voltage 2022, 7, 452–460. [Google Scholar] [CrossRef]
- Ji, J.; Shu, Z.; Li, H.; Lai, K.X.; Lu, M.; Jiang, G.; Wang, W.; Zheng, Y.; Jiang, X. Edge-Computing-Based Knowledge Distillation and Multitask Learning for Partial Discharge Recognition. IEEE Trans. Instrum. Meas. 2024, 73, 3537811. [Google Scholar] [CrossRef]
- Lin, T.Y.; Goyal, P.; Girshick, R.; He, K.; Dollár, P. Focal loss for dense object detection. In Proceedings of the IEEE International Conference on Computer Vision, Venice, Italy, 22–29 October 2017; pp. 2980–2988. [Google Scholar]
- Misák, S.; Fulnecek, J.; Vantuch, T.; Buriánek, T.; Jezowicz, T. A complex classification approach of partial discharges from covered conductors in real environment. IEEE Trans. Dielectr. Electr. Insul. 2017, 24, 1097–1104. [Google Scholar] [CrossRef]
- Liu, M.; Yang, B.; Meng, L.; Zhang, Y.; Gao, S.; Zan, P.; Xia, X. STA-Net: Spatial–temporal alignment network for hybrid EEG-fNIRS decoding. Inf. Fusion 2025, 119, 103023. [Google Scholar] [CrossRef]
- Klein, L.; Seidl, D.; Fulneček, J.; Prokop, L.; Mišák, S.; Dvorskỳ, J. Antenna contactless partial discharges detection in covered conductors using ensemble stacking neural networks. Expert Syst. Appl. 2023, 213, 118910. [Google Scholar] [CrossRef]
- Chen, K.; Vantuch, T.; Zhang, Y.; Hu, J.; He, J. Fault detection for covered conductors with high-frequency voltage signals: From local patterns to global features. IEEE Trans. Smart Grid 2020, 12, 1602–1614. [Google Scholar] [CrossRef]
- Karimi, M.; Majidi, M.; MirSaeedi, H.; Arefi, M.M.; Oskuoee, M. A Novel Application of Deep Belief Networks in Learning Partial Discharge Patterns for Classifying Corona, Surface, and Internal Discharges. IEEE Trans. Ind. Electron. 2020, 67, 3277–3287. [Google Scholar] [CrossRef]
- Li, Q.; Xu, Y.; Cho, S.; Suo, C.; Yip, T.T.L. Health Assessment of Underground Power Cables: A Data-Driven Approach Based on One-Sample Maximum Mean Discrepancy. IEEE Trans. Power Deliv. 2025, 40, 2443–2446. [Google Scholar] [CrossRef]
- Fei, Z.; Li, Y.; Yang, S. Partial Discharge Pattern Recognition Based on an Ensembled Simple Convolutional Neural Network and a Quadratic Support Vector Machine. Energies 2024, 17, 2443. [Google Scholar] [CrossRef]
- Han, G.; Zhao, X.; Sun, X.; Zhao, S.; Duan, H.; Liu, X.; Li, Q. Analysis on the Growth Mechanism of Electrical Treeing in Transmission Cables. IEEE Trans. Dielectr. Electr. Insul. 2025, 74, 3506511. [Google Scholar] [CrossRef]
- Sharma, A.; Devarajan, H.; Govindarajan, S.; Shanker, T.B.; Ardila Rey, J.A.; Nandi, S. High-Confidence Classification of Partial Discharge Acoustic Signals Using Bayesian Networks for Uncertainty Quantification. IEEE Trans. Instrum. Meas. 2025, 74, 3506511. [Google Scholar] [CrossRef]
- Zhang, Z.; Chen, W.; Wu, K.; Liu, H.; Chen, X.; Jiang, T.; Ma, Z.; Feng, W. Novel Approach for Partial Discharge Localization Based on Fiber-Optic FP Sensing Array and Modified TDOA in a 110 kV Transformer. IEEE Trans. Instrum. Meas. 2024, 73, 9517711. [Google Scholar]
- Wu, Q.; Dong, C.; Guo, F.; Wang, L.; Wu, X.; Wen, C. Privacy-Preserving Federated Learning for Power Transformer Fault Diagnosis With Unbalanced Data. IEEE Trans. Ind. Inform. 2024, 20, 5383–5394. [Google Scholar] [CrossRef]
- Guo, F.; Li, S.; Yang, H.; Dong, C.; Chen, Y.; Li, G. An Efficient Sequential Decentralized Federated Progressive Channel Pruning Strategy for Smart Grid Electricity Theft Detection. IEEE Trans. Ind. Inform. 2025, 21, 2393–2402. [Google Scholar] [CrossRef]
- Ye, J.; Lv, J.; Xu, G.; Liu, T. Leaky Cable Perimeter Intrusion Detection Based on Deep Reinforcement Learning. IEEE Internet Things J. 2024, 11, 22616–22627. [Google Scholar] [CrossRef]
- Chen, H.; Jiang, D.; Sahli, H. Transformer Encoder With Multi-Modal Multi-Head Attention for Continuous Affect Recognition. IEEE Trans. Multimed. 2021, 23, 4171–4183. [Google Scholar] [CrossRef]
- Li, G.; Zhang, M.; Li, J.; Lv, F.; Tong, G. Efficient densely connected convolutional neural networks. Pattern Recognit. 2021, 109, 107610. [Google Scholar] [CrossRef]
- Huang, Z.; Sang, Y.; Sun, Y.; Lv, J. A neural network learning algorithm for highly imbalanced data classification. Inf. Sci. 2022, 612, 496–513. [Google Scholar] [CrossRef]
- Liu, K.; Jiao, S.; Nie, G.; Ma, H.; Gao, B.; Sun, C.; Xin, D.; Saha, T.K.; Wu, G. On image transformation for partial discharge source identification in vehicle cable terminals of high-speed trains. High Volt. 2024, 9, 1090–1100. [Google Scholar] [CrossRef]
- Li, A.; Wei, G.; Zhang, J.; Zhang, C. Partial Discharge Detection via Self-Supervised Graph Contrastive Clustering. IEEE Trans. Ind. Inform. 2025, 21, 4016–4026. [Google Scholar] [CrossRef]
- IEC 60270; High-Voltage Test Techniques—Partial Discharge Measurements. IEC: Geneva, Switzerland, 2000.
- Zhu, M.; Shi, F.; Yan, Y.; Li, H. A Method for Constructing Short-Time AC Voltage Generator to Evaluate Cable Conditions. IEEE Trans. Ind. Electron. 2025, 72, 2078–2088. [Google Scholar] [CrossRef]
- Hu, X.; Siew, W.H.; Judd, M.D.; Reid, A.J.; Sheng, B. Modeling of high-frequency current transformer based partial discharge detection in high-voltage cables. IEEE Trans. Power Del. 2019, 34, 1549–1556. [Google Scholar] [CrossRef]
- Bhukya, A.; Koley, C. Bi-Long Short-Term Memory Networks for Radio Frequency Based Arrival Time Detection of Partial Discharge Signals. IEEE Trans. Power Del. 2022, 37, 2024–2031. [Google Scholar] [CrossRef]










| Primary Categories | Refined Types | Number of Samples |
|---|---|---|
| Internal discharge | IID | 458 |
| ETF | 444 | |
| EMI | 440 | |
| Surface discharge | CSMP | 449 |
| OSCL | 431 | |
| Corona discharge | SCD | 446 |
| Non-PD | / | 3000 |
| Metrics | Group 1 | Group 2 | Group 3 | Group 4 |
|---|---|---|---|---|
| Accuracy (%) | 96.65 | 85.49 | 93.75 | 89.29 |
| Recall (%) | 94.48 | 77.51 | 90.40 | 83.91 |
| Precision (%) | 95.28 | 78.77 | 91.13 | 83.32 |
| F1 Score (%) | 94.82 | 77.41 | 90.65 | 83.56 |
| Time (s) | 4.50 | 4.10 | 2.70 | 4.60 |
| Loss Function | Value | Value | Accuracy (%) | Time (s) |
|---|---|---|---|---|
| Cross Entropy | / | 0 | 95.74 | 9.8 |
| Focal Loss | / | 1 | 95.54 | 8.6 |
| / | 5 | 92.55 | 4.2 | |
| / | 6 | 88.61 | 4.1 | |
| Adaptive FL | 3.2 | 0 | 96.05 | 4.9 |
| 0.5 | 3.7 | 96.65 | 4.5 | |
| 1 | 4.2 | 93.38 | 4.4 |
Disclaimer/Publisher’s Note: The statements, opinions and data contained in all publications are solely those of the individual author(s) and contributor(s) and not of MDPI and/or the editor(s). MDPI and/or the editor(s) disclaim responsibility for any injury to people or property resulting from any ideas, methods, instructions or products referred to in the content. |
© 2025 by the authors. Licensee MDPI, Basel, Switzerland. This article is an open access article distributed under the terms and conditions of the Creative Commons Attribution (CC BY) license (https://creativecommons.org/licenses/by/4.0/).
Share and Cite
Wu, Y.; Yang, H.; Li, S.; Guo, F. DecPD: A Deconstructed Deep Learning Approach for Partial Discharge Pattern Recognition. Energies 2025, 18, 6245. https://doi.org/10.3390/en18236245
Wu Y, Yang H, Li S, Guo F. DecPD: A Deconstructed Deep Learning Approach for Partial Discharge Pattern Recognition. Energies. 2025; 18(23):6245. https://doi.org/10.3390/en18236245
Chicago/Turabian StyleWu, Yucheng, Hao Yang, Shengwei Li, and Fanghong Guo. 2025. "DecPD: A Deconstructed Deep Learning Approach for Partial Discharge Pattern Recognition" Energies 18, no. 23: 6245. https://doi.org/10.3390/en18236245
APA StyleWu, Y., Yang, H., Li, S., & Guo, F. (2025). DecPD: A Deconstructed Deep Learning Approach for Partial Discharge Pattern Recognition. Energies, 18(23), 6245. https://doi.org/10.3390/en18236245

