Influence of Injection Well Location on Hydrogen Storage Capacity and Plume Migration in a Saline Aquifer: A Case Study from Central Poland
Abstract
1. Introduction
1.1. The Importance of and Conditions for the Development of Underground Hydrogen Storage (UHS)
1.2. The Influence of Trap Geometry and Well Placement—Problem Outline and Literature Review
1.3. Research Objective
- The dynamic storage capacity for hydrogen injection is lower when the secant dip angle relative to the top of the dome structure and the tangent dip angle at the well location are smaller.
- The dip of the geological structure negatively affects the uniform saturation of the pore space with hydrogen. Within an inclined structure, hydrogen does not spread evenly throughout the reservoir volume but concentrates in the upper and top parts of the dome structure.
- The location of the injection well determines the direction and rate of hydrogen migration within the structure.
2. Materials and Methods
- Description of input data.
- Software.
- Analysis of geological data and development of a numerical model for the selected structure.
- Setting the boundary conditions for hydrogen injection.
- Simulation scenarios.
2.1. Description of Input Data
2.2. Software
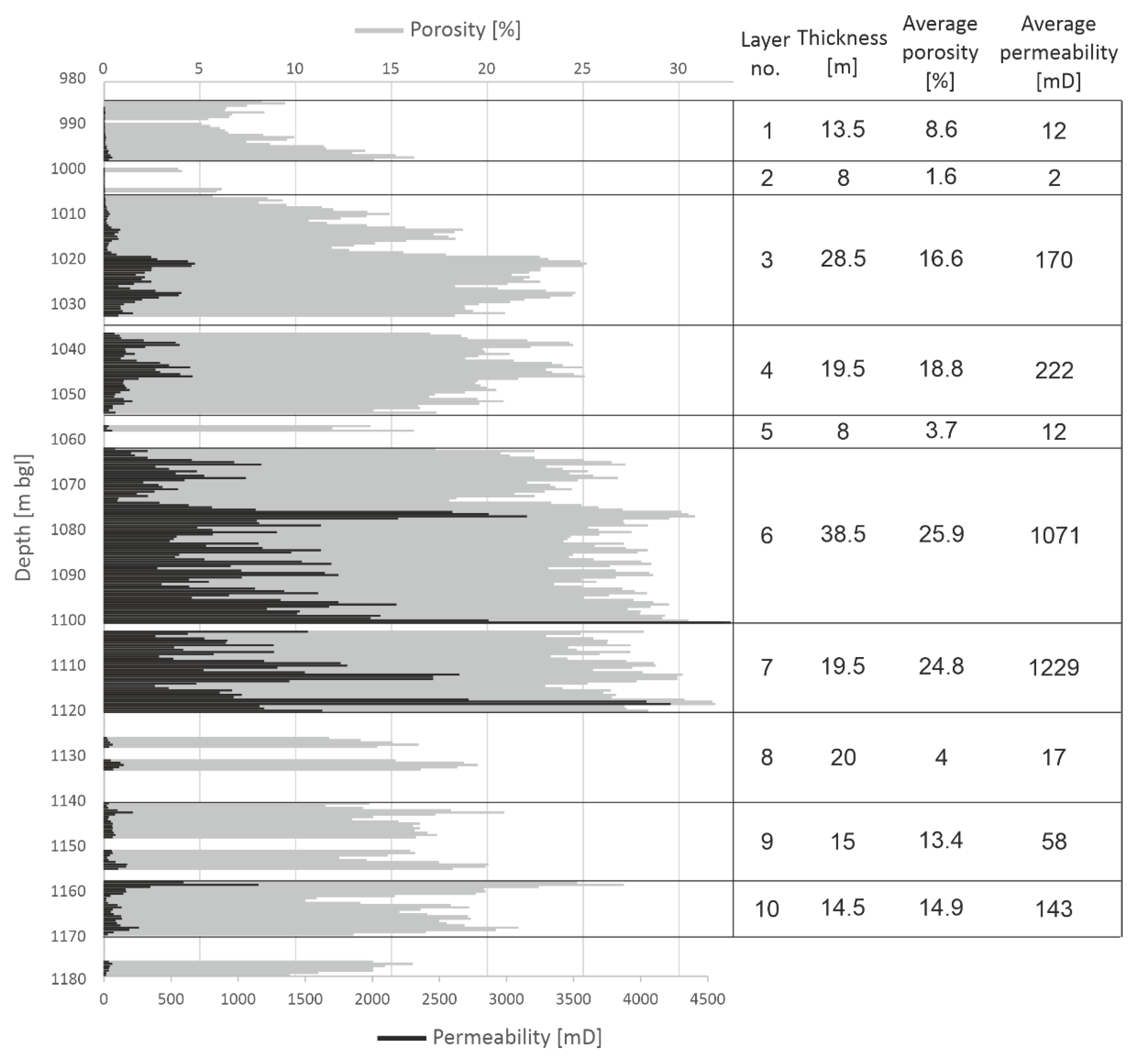
2.3. Analysis of Geological Data and Development of a Numerical Model for the Selected Structure
2.4. Setting the Boundary Conditions for Hydrogen Injection
2.5. Simulation Scenarios
3. Results
3.1. Capacity Assessment
3.2. Hydrogen Plume Migration
4. Discussion
5. Conclusions
Author Contributions
Funding
Data Availability Statement
Conflicts of Interest
References
- Shu, K.; Guan, B.; Zhuang, Z.; Chen, J.; Zhu, L.; Ma, Z.; Hu, X.; Zhu, C.; Zhao, S.; Dang, H.; et al. Reshaping the energy landscape: Explorations and strategic perspectives on hydrogen energy preparation, efficient storage, safe transportation and wide applications. Int. J. Hydrogen Energy 2025, 97, 160–213. [Google Scholar] [CrossRef]
- Ge, L.; Zhang, B.; Huang, W.; Li, Y.; Hou, L.; Xiao, J.; Mao, Z.; Li, X. A review of hydrogen generation, storage, and applications in power system. J. Energy Storage 2024, 75, 109307. [Google Scholar] [CrossRef]
- Uliasz-Misiak, B.; Lewandowska-Śmierzchalska, J.; Matuła, R.; Tarkowski, R. Prospects for the Implementation of Underground Hydrogen Storage in the EU. Energies 2022, 15, 9535. [Google Scholar] [CrossRef]
- Benalcazar, P.; Komorowska, A. Techno-economic analysis and uncertainty assessment of green hydrogen production in future exporting countries. Renew. Sustain. Energy Rev. 2024, 199, 114512. [Google Scholar] [CrossRef]
- Harati, S.; Rezaei Gomari, S.; Gasanzade, F.; Bauer, S.; Pak, T.; Orr, C. Underground hydrogen storage to balance seasonal variations in energy demand: Impact of well configuration on storage performance in deep saline aquifers. Int. J. Hydrogen Energy 2023, 48, 26894–26910. [Google Scholar] [CrossRef]
- Tahmasbi, M.; Siavashi, M.; Ahmadi, R. A comprehensive review of hydrogen production and storage methods: Fundamentals, advances, and SWOT analysis. Energy Convers. Manag. X 2025, 26, 101005. [Google Scholar] [CrossRef]
- Kamran, M.; Turzyński, M. Exploring hydrogen energy systems: A comprehensive review of technologies, applications, prevailing trends, and associated challenges. J. Energy Storage 2024, 96, 112601. [Google Scholar] [CrossRef]
- Muhammed, N.S.; Gbadamosi, A.O.; Epelle, E.I.; Abdulrasheed, A.A.; Haq, B.; Patil, S.; Al-Shehri, D.; Kamal, M.S. Hydrogen production, transportation, utilization, and storage: Recent advances towards sustainable energy. J. Energy Storage 2023, 73, 109207. [Google Scholar] [CrossRef]
- Mwakipunda, G.C.; Franck Kouassi, A.K.; Ayimadu, E.T.; Komba, N.A.; Nadege, M.N.; Mgimba, M.M.; Ngata, M.R.; Yu, L. Underground hydrogen storage in geological formations: A review. J. Rock Mech. Geotech. Eng. 2025, 17, 6704–6741. [Google Scholar] [CrossRef]
- Opoku Duartey, K.; Ampomah, W.; Rahnema, H.; Mehana, M. Underground Hydrogen Storage: Transforming Subsurface Science into Sustainable Energy Solutions. Energies 2025, 18, 748. [Google Scholar] [CrossRef]
- Benalcazar, P.; Komorowska, A. Techno-economics of Green Hydrogen: Present Trends and Future Prospects. In Challenges and Opportunities in Green Hydrogen Production; Singh, P., Agarwal, A.K., Thakur, A., Sinha, R.K., Eds.; Springer: Berlin/Heidelberg, Germany, 2024; Volume Chapter 23, pp. 569–597. ISBN 9789819713387. [Google Scholar]
- Gianni, E.; Tyrologou, P.; Couto, N.; Carneiro, J.F.; Scholtzová, E.; Koukouzas, N. Underground hydrogen storage: The techno-economic perspective. Open Res. Eur. 2024, 4, 17. [Google Scholar] [CrossRef]
- Raza, A.; Mahmoud, M.; Arif, M.; Alafnan, S. Underground hydrogen storage prospects in the Kingdom of Saudi Arabia. Fuel 2024, 357, 129665. [Google Scholar] [CrossRef]
- Tagliapietra, S.; Zachmann, G.; Edenhofer, O.; Glachant, J.M.; Linares, P.; Loeschel, A. The European union energy transition: Key priorities for the next five years. Energy Policy 2019, 132, 950–954. [Google Scholar] [CrossRef]
- Davoodi, S.; Al-Shargabi, M.; Wood, D.A.; Longe, P.O.; Mehrad, M.; Rukavishnikov, V.S. Underground hydrogen storage: A review of technological developments, challenges, and opportunities. Appl. Energy 2025, 381, 125172. [Google Scholar] [CrossRef]
- Taiwo, G.O.; Tomomewo, O.S.; Oni, B.A. A comprehensive review of underground hydrogen storage: Insight into geological sites (mechanisms), economics, barriers, and future outlook. J. Energy Storage 2024, 90, 111844. [Google Scholar] [CrossRef]
- Heinemann, N.; Alcalde, J.; Miocic, J.M.; Hangx, S.J.T.; Kallmeyer, J.; Ostertag-Henning, C.; Hassanpouryouzband, A.; Thaysen, E.M.; Strobel, G.J.; Schmidt-Hattenberger, C.; et al. Enabling large-scale hydrogen storage in porous media-the scientific challenges. Energy Environ. Sci. 2021, 14, 853–864. [Google Scholar] [CrossRef]
- Hematpur, H.; Abdollahi, R.; Rostami, S.; Haghighi, M.; Blunt, M.J. Review of underground hydrogen storage: Concepts and challenges. Adv. Geo-Energy Res. 2023, 7, 111–131. [Google Scholar] [CrossRef]
- Van Gessel, S.; Hajibeygi, H. Hydrogen TCP-Task 42 Underground Hydrogen Storage: Technology Monitor Report; Technische Universiteit Delft: Delft, The Netherlands, 2023. [Google Scholar]
- Navaid, H.; Emadi, H.B.; Watson, M. A comprehensive literature review on the challenges associated with underground hydrogen storage. Int. J. Hydrogen Energy 2023, 48, 10603–10635. [Google Scholar] [CrossRef]
- Zivar, D.; Kumar, S.; Foroozesh, J. Underground hydrogen storage: A comprehensive review. Int. J. Hydrogen Energy 2021, 46, 23436–23462. [Google Scholar] [CrossRef]
- Bade, S.O.; Taiwo, K.; Ndulue, U.F.; Tomomewo, O.S.; Aisosa Oni, B. A review of underground hydrogen storage systems: Current status, modeling approaches, challenges, and future prospective. Int. J. Hydrogen Energy 2024, 80, 449–474. [Google Scholar] [CrossRef]
- Fuentes Quintos, E.J.; Santos, D.M.F. Technical and Economic Viability of Underground Hydrogen Storage. Hydrogen 2023, 4, 975–1000. [Google Scholar] [CrossRef]
- Leng, G.; Yan, W.; Chen, Z.; Li, Z.; Liu, B.; Deng, P.; Zhang, C.; Liu, W.; Qi, H. Technical challenges and opportunities of hydrogen storage: A comprehensive review on different types of underground storage. J. Energy Storage 2025, 114, 115900. [Google Scholar] [CrossRef]
- Heinemann, N.; Scafidi, J.; Pickup, G.; Thaysen, E.M.; Hassanpouryouzband, A.; Wilkinson, M.; Satterley, A.K.; Booth, M.G.; Edlmann, K.; Haszeldine, R.S. Hydrogen storage in saline aquifers: The role of cushion gas for injection and production. Int. J. Hydrogen Energy 2021, 46, 39284–39296. [Google Scholar] [CrossRef]
- Khandoozi, S.; Li, P.; Ershadnia, R.; Dai, Z.; Zhang, Z.; Stauffer, P.H.; Mehana, M.; Cole, D.R.; Soltanian, M.R. An integrated approach for optimizing geological hydrogen storage. Appl. Energy 2025, 381, 125182. [Google Scholar] [CrossRef]
- Miocic, J.; Heinemann, N.; Edlmann, K.; Scafidi, J.; Molaei, F.; Alcalde, J. Underground hydrogen storage: A review. Geol. Soc. Spec. Publ. 2023, 528, 73–86. [Google Scholar] [CrossRef]
- Verma, A.; Malik, S.; Pal, M. Evaluating the Potential for Underground Hydrogen Storage (UHS) in Lithuania: A Review of Geological Viability and Storage Integrity. Appl. Sci. 2025, 15, 1614. [Google Scholar] [CrossRef]
- Caglayan, D.G.; Weber, N.; Heinrichs, H.U.; Linßen, J.; Robinius, M.; Kukla, P.A.; Stolten, D. Technical potential of salt caverns for hydrogen storage in Europe. Int. J. Hydrogen Energy 2020, 45, 6793–6805. [Google Scholar] [CrossRef]
- Lankof, L.; Tarkowski, R. Potencjał magazynowy wodoru w permskich złożach soli kamiennej w Polsce/Hydrogen storage potential in Permian rock salts in Poland. Przegląd Solny 2021, 16, 29–42. [Google Scholar]
- Zeng, L.; Sander, R.; Chen, Y.; Xie, Q. Hydrogen Storage Performance During Underground Hydrogen Storage in Depleted Gas Reservoirs: A Review. Engineering 2024, 40, 211–225. [Google Scholar] [CrossRef]
- Kanaani, M.; Sedaee, B.; Asadian-Pakfar, M. Role of Cushion Gas on Underground Hydrogen Storage in Depleted Oil Reservoirs. J. Energy Storage 2022, 45, 103783. [Google Scholar] [CrossRef]
- Ramsari, M.; Jafari, A.; Namdar, H.; Khoozan, D. Evaluating the role of cushion gas in underground hydrogen storage: Impacts of wells and reservoir parameters. Int. J. Hydrogen Energy 2025, 100, 1338–1352. [Google Scholar] [CrossRef]
- Zamagni, A.; Mancini, L.; Eynard, U.; Arrigoni, A.; Mathieux, F. A Conceptual Framework for Assessing and Monitoring Social Risks and Impacts Related to Hydrogen Technologies and Their Value Chains; Publications Office of the European Union: Luxembourg, 2025; ISBN 9789268291917. [Google Scholar]
- Collina, G.; Bucelli, M.; Paltrinieri, N. Multi-stage monitoring of hydrogen systems for improved maintenance approaches: An extensive review. Int. J. Hydrogen Energy 2025, 105, 458–480. [Google Scholar] [CrossRef]
- DOE/NETL. Best Practices: Monitoring, Verification, and Accounting (MVA) for Geologic Storage Projects; NETL: Albany, Australia; Anchorage, AK, USA; Houston, TX, USA; Morgantown, WV, USA; Pittsburgh, PA, USA, 2017. [Google Scholar]
- Tarkowski, R.; Uliasz-Misiak, B. Public Acceptance of the Underground Storage of Hydrogen: Lessons Learned from the Geological Storage of CO2. Energies 2025, 18, 1335. [Google Scholar] [CrossRef]
- Shahriar, M.F.; Khanal, A.; Khan, M.I.; Pandey, R. Current status of underground hydrogen storage: Perspective from storage loss, infrastructure, economic aspects, and hydrogen economy targets. J. Energy Storage 2024, 97, 112773. [Google Scholar] [CrossRef]
- Dopffel, N.; Jansen, S.; Gerritse, J. Microbial side effects of underground hydrogen storage—Knowledge gaps, risks and opportunities for successful implementation. Int. J. Hydrogen Energy 2021, 46, 8594–8606. [Google Scholar] [CrossRef]
- Labus, K.; Tarkowski, R. Modeling hydrogen—Rock—Brine interactions for the Jurassic reservoir and cap rocks from Polish Lowlands. Int. J. Hydrogen Energy 2022, 47, 10947–10962. [Google Scholar] [CrossRef]
- Panfilov, M. Underground Storage of Hydrogen: In Situ Self-Organisation and Methane Generation. Transp. Porous Media 2010, 85, 841–865. [Google Scholar] [CrossRef]
- Reitenbach, V.; Ganzer, L.; Albrecht, D.; Hagemann, B. Influence of added hydrogen on underground gas storage: A review of key issues. Environ. Earth Sci. 2015, 73, 6927–6937. [Google Scholar] [CrossRef]
- Schwab, L.; Popp, D.; Nowack, G.; Bombach, P.; Vogt, C.; Richnow, H.H. Structural analysis of microbiomes from salt caverns used for underground gas storage. Int. J. Hydrogen Energy 2022, 47, 20684–20694. [Google Scholar] [CrossRef]
- Krevor, S.; Coninck, H.; de Gasda, S.E.; Ghaleigh, N.S.; Gooyert, V.; de Hajibeygi, H.; Juanes, R.; Neufeld, J.; Roberts, J.J.; Swennenhuis, F. Subsurface carbon dioxide and hydrogen storage for a sustainable energy future. Nat. Rev. Earth Environ. 2023, 4, 102–118. [Google Scholar] [CrossRef]
- Sharma, P.; Burolia, A.K.; Mandal, A.; Neogi, S. Commercially available resources for physical hydrogen storage and distribution. In Towards Hydrogen Infrastructure: Advances and Challenges in Preparing for the Hydrogen Economy; Elsevier Ltd.: Amsterdam, The Netherlands, 2023; pp. 225–256. ISBN 9780323955539. [Google Scholar]
- Li, X.; Huan, H.; Lin, H.; Li, Z.; Du, F.; Cao, Z.; Fan, X.; Ren, H. Determination method of rational position for working face entries in coordinated mining of section coal pillars and lower sub-layer. Sci. Rep. 2025, 15, 29440. [Google Scholar] [CrossRef]
- Chaoshang, S.; Chaoyang, S.; Zhiming, Z.; Haixiao, L.; Zhenhua, L.; Feng, D.; Zhengzheng, C.; Pengtao, L.; Lin, L. Overburden failure characteristics and fracture evolution rule under repeated mining with multiple key strata control. Sci. Rep. 2025, 15, 28029. [Google Scholar] [CrossRef]
- Aftab, A.; Hassanpouryouzband, A.; Xie, Q.; Machuca, L.L.; Sarmadivaleh, M. Toward a Fundamental Understanding of Geological Hydrogen Storage. Ind. Eng. Chem. Res. 2022, 61, 3233–3253. [Google Scholar] [CrossRef]
- Hashemi, L.; Glerum, W.; Farajzadeh, R.; Hajibeygi, H. Contact angle measurement for hydrogen/brine/sandstone system using captive-bubble method relevant for underground hydrogen storage. Adv. Water Resour. 2021, 154, 103964. [Google Scholar] [CrossRef]
- Muhammed, N.S.; Haq, B.; Al Shehri, D.; Badmus, S.O.; Adebayo, A.R.; Mahmoud, M. Hydrogen injection and withdrawal performance in depleted gas reservoirs. Int. J. Hydrogen Energy 2024, 96, 427–442. [Google Scholar] [CrossRef]
- Zhong, H.; Wang, Z.; Zhang, Y.; Suo, S.; Hong, Y.; Wang, L.; Gan, Y. Gas storage in geological formations: A comparative review on carbon dioxide and hydrogen storage. Mater. Today Sustain. 2024, 26, 100720. [Google Scholar] [CrossRef]
- Luboń, K.; Tarkowski, R. Numerical simulation of hydrogen injection and withdrawal to and from a deep aquifer in NW Poland. Int. J. Hydrogen Energy 2020, 45, 2068–2083. [Google Scholar] [CrossRef]
- Bai, T.; Tahmasebi, P. Coupled hydro-mechanical analysis of seasonal underground hydrogen storage in a saline aquifer. J. Energy Storage 2022, 50, 104308. [Google Scholar] [CrossRef]
- Ahmed, E.; Møyner, O.; Raynaud, X.; Nilsen, H.M. Phase behavior and black-oil simulations of Hydrogen storage in saline aquifers. Adv. Water Resour. 2024, 191, 104772. [Google Scholar] [CrossRef]
- Sun, Q.; Zhang, M.; Ertekin, T. The Design of Hydrogen Saline Aquifer Storage Processes Using a Machine-Learning Assisted Multiobjective Optimization Protocol. SPE J. 2024, 29, 2086–2105. [Google Scholar] [CrossRef]
- Wang, H.; Xin, Y.; Kou, Z.; He, C.; Li, Y.; Wang, T. Unveil the role of engineering parameters on hydrogen recovery in deep saline aquifer, Rock Springs Uplift, Wyoming. Renew. Energy 2024, 225, 120261. [Google Scholar] [CrossRef]
- Bi, Z.; Guo, Y.; Yang, C.; Yang, H.; Wang, L.; He, Y.; Guo, W. Numerical investigation of fluid dynamics in aquifers for seasonal large-scale hydrogen storage using compositional simulations. Renew. Energy 2025, 239, 122101. [Google Scholar] [CrossRef]
- Albadan, D.J.; Delshad, M.; Sepehrnoori, K. Insights and Strategies for Underground Hydrogen Storage Optimization. In Proceedings of the SPE Asia Pacific Oil Gas Conference Exhibition, Perth, Australia, 15–17 October 2024. SPE-221245-MS. [Google Scholar] [CrossRef]
- Zhang, H.; Zhang, Y.; Al Kobaisi, M.; Iglauer, S.; Arif, M. Effect of cyclic hysteretic multiphase flow on underground hydrogen storage: A numerical investigation. Int. J. Hydrogen Energy 2024, 49, 336–350. [Google Scholar] [CrossRef]
- Chai, M.; Chen, Z.; Nourozieh, H.; Yang, M. Numerical simulation of large-scale seasonal hydrogen storage in an anticline aquifer: A case study capturing hydrogen interactions and cushion gas injection. Appl. Energy 2023, 334, 120655. [Google Scholar] [CrossRef]
- Bai, F.; Jia, C.; Hu, J.; Alsousy, A.; Lu, Y.; Sepehrnoori, K. Storage capacity comparison of hydrogen and carbon dioxide in heterogeneous aquifers. Gas Sci. Eng. 2024, 121, 205182. [Google Scholar] [CrossRef]
- Misaghi Bonabi, A.; van Rooijen, W.; Al Kobaisi, M.; Vuik, C.; Hajibeygi, H. Comparative analysis of carbon dioxide and hydrogen plume migration in aquifers inspired by the FluidFlower benchmark study. Int. J. Hydrogen Energy 2025, 135, 56–68. [Google Scholar] [CrossRef]
- Hashemi, L.; Blunt, M.; Hajibeygi, H. Pore-scale modelling and sensitivity analyses of hydrogen-brine multiphase flow in geological porous media. Sci. Rep. 2021, 11, 8348. [Google Scholar] [CrossRef] [PubMed]
- AlDhuhoori, M.; Belhaj, H.; AlHameli, F.; Aljaberi, F. Hydrogen underground storage potential in sandstone formation: A thorough study utilizing surface complexation modelling. Fuel 2025, 383, 133902. [Google Scholar] [CrossRef]
- Iglauer, S. Optimum geological storage depths for structural H2 geo-storage. J. Pet. Sci. Eng. 2022, 212, 109498. [Google Scholar] [CrossRef]
- Luboń, K.; Tarkowski, R. The influence of the first filling period length and reservoir level depth on the operation of underground hydrogen storage in a deep aquifer. Int. J. Hydrogen Energy 2023, 48, 1024–1042. [Google Scholar] [CrossRef]
- Luboń, K.; Tarkowski, R.; Uliasz-Misiak, B. Impact of Depth on Underground Hydrogen Storage Operations in Deep Aquifers. Energies 2024, 17, 1268. [Google Scholar] [CrossRef]
- Sekar, L.K.; Galvis Silva, H.; Okoroafor, E.R. Development and implementation of a comprehensive multistage ranking criteria for underground hydrogen storage in saline aquifers. J. Energy Storage 2024, 102, 113931. [Google Scholar] [CrossRef]
- Mahdi, D.S.; Al-Khdheeawi, E.A.; Yuan, Y.; Zhang, Y.; Iglauer, S. Hydrogen underground storage efficiency in a heterogeneous sandstone reservoir. Adv. Geo-Energy Res. 2021, 5, 437–443. [Google Scholar] [CrossRef]
- Sarı, E.; Çiftçi, E. Underground hydrogen storage in a depleted gas field for seasonal storage: A numerical case study of the Tekirdağ gas field. Fuel 2024, 358, 130310. [Google Scholar] [CrossRef]
- Ben Rhouma, S.; Dos Santos, A.; de Mesquita, L.; Veloso, F.; Smai, F.; Chiquet, P.; Masson, R.; Broseta, D. H2 storage with CO2 cushion gas in aquifers: Numerical simulations and performance influences in a realistic reservoir model. Int. J. Hydrogen Energy 2024, 110, 101–114. [Google Scholar] [CrossRef]
- Saeed, M.; Jadhawar, P. Modelling underground hydrogen storage: A state-of-the-art review of fundamental approaches and findings. Gas Sci. Eng. 2024, 121, 205196. [Google Scholar] [CrossRef]
- Le Gallo, Y. Assessment of hydrogen storage capacity in porous media at the European scale. Int. J. Hydrogen Energy 2024, 58, 400–408. [Google Scholar] [CrossRef]
- Scafidi, J.; Wilkinson, M.; Gilfillan, S.M.V.; Heinemann, N.; Haszeldine, R.S. A quantitative assessment of the hydrogen storage capacity of the UK continental shelf. Int. J. Hydrogen Energy 2021, 46, 8629–8639. [Google Scholar] [CrossRef]
- Eid, R.; Divko, L.G. Preliminary Investigation of the Hydrogen Storage Potential in the Port Campbell Embayment, Otway Basin, Victoria, Australia; Victorian Government Library Service: Werribee, Australia, 2022; ISBN 978-1-76090-569-9. [Google Scholar]
- Juez-Larré, J.; van Gessel, S.; Dalman, R.; Remmelts, G.; Groenenberg, R. Assessment of underground energy storage potential to support the energy transition in the Netherlands. First Break 2019, 37, 57–66. [Google Scholar] [CrossRef]
- Luboń, K.; Tarkowski, R.; Papiernik, B. The influence of injection well location on CO2 storage capacity for the Jeżów structure (central Poland). Gospod. Surowcami Miner. Miner. Resour. Manag. 2025, 41, 97–119. [Google Scholar] [CrossRef]
- Tarkowski, R. Potential Geological Structures to CO2 Storage in the Mesozoic Polish Lowlands (Characteristics and Ranking)/Potencjalne Struktury Geologiczne do Składowania CO2 w Utworach Mezozoiku Niżu Polskiego (Charakterystyka Oraz Ranking). Studia, Rozprawy, Monog; Wydawnictwo IGSMiE PAN: Krakow, Poland, 2010; ISBN 9788360195734. [Google Scholar]
- RockWare. TOUGHREACT Example: CO2 Disposal in Deep Saline Aquifers. PetraSim 2022. Thunderhead Eng. 2022, 1–24. [Google Scholar]
- Pruess, K. ECO2N: A TOUGH2 Fluid Property Module for Mixtures of Water, NaCl, and CO2; Lawrence Berkeley National Laboratory: Berkeley, CA, USA, 2005; pp. 1–66. [Google Scholar]
- Pruess, K.; Oldenburg, C.; Moridis, G. TOUGH2 User’s Guide, 2nd ed.; Lawrence Berkeley National Laboratory: Berkeley, CA, USA, 1999; pp. 1–197. [Google Scholar]
- Carnegie, A.; Thomas, M.; Efnik, M.S.; Hamawi, M.; Akbar, M.; Burton, M. An Advanced Method of Determining Insitu Reservoir Stresses: Wireline Conveyed Micro-Fracturing. In Proceedings of the 10th Abu Dhabi International Petroleum Exhibition and Conference SPE 78486, Abu Dhabi, United Arab Emirates, 11 March 2002; pp. 1–16. [Google Scholar]
- Woźniak, H.; Zawisza, L. Geomechaniczna ocena masywu skalnego dla potrzeb bezzbiornikowego magazynowania gazu ziemnego na przykładzie PMG Swarzów. Biul. Państwowego Inst. Geol. 2011, 446, 163–172. [Google Scholar]
- Samara, H.; Von Ostrowski, T.; Jaeger, P. Geological Storage of Carbon Dioxide and Hydrogen in Jordanian Shale Formations. In Proceedings of the Proceedings—SPE Annual Technical Conference and Exhibition, Houston, TX, USA, 3–5 October 2022; p. SPE-210202-MS. [Google Scholar]
- Tokunaga, T.K.; Wan, J. Capillary Pressure and Mineral Wettability Influences on Reservoir CO2 Capacity. Rev. Mineral. Geochemistry 2013, 77, 481–503. [Google Scholar] [CrossRef]
- Cavanagh, A. Pressurisation and Brine Displacement Issues for Deep Saline Formation CO2 Storage; IEAGHG: Cheltenham, UK, 2010. [Google Scholar]
- Tarkowski, R.; Wdowin, M. Petrophysical and Mineralogical Research on the Influence of CO2 Injection on Mesozoic Reservoir and Caprocks from the Polish Lowlands. Oil Gas Sci. Technol. Rev. IFP Energies Nouv. 2011, 66, 137–150. [Google Scholar] [CrossRef]
- Tarkowski, R.; Wdowin, M.; Manecki, M. Petrophysical and Mineralogical-Petrographic Investigations of Lower Jurassic Deposits Saturated with CO2: A Case Study of the Zaosie and Chabowo Anticlines/Badania Petrofizyczne i Mineralogiczno- Petrograficzne Skał Dolnej Jury Antykliny Zaosia i Chabowa; Wydawnictwo IGSMiE PAN: Kraków, Poland, 2014; ISBN 9788362922314. [Google Scholar]
- Tarkowski, R.; Lankof, L.; Luboń, K.; Michalski, J. Hydrogen storage capacity of salt caverns and deep aquifers versus demand for hydrogen storage: A case study of Poland. Appl. Energy 2024, 355, 122268. [Google Scholar] [CrossRef]
- Luboń, K.; Tarkowski, R. Influence of capillary threshold pressure and injection well location on the dynamic CO2 and H2 storage capacity for the deep geological structure. Int. J. Hydrogen Energy 2021, 46, 30048–30060. [Google Scholar] [CrossRef]
- Zhou, J.D.; Kovscek, A.R. Hydrogen Storage in Saline Aquifers: Experimental Observations of Viscous-Dominated Flow. In Proceedings of the SPE Western Regional Meeting, Palo Alto, CA, USA, 16–18 April 2024. SPE-218944-MS. [Google Scholar] [CrossRef]
- Feldmann, F.; Hagemann, B.; Ganzer, L.; Panfilov, M. Numerical simulation of hydrodynamic and gas mixing processes in underground hydrogen storages. Environ. Earth Sci. 2016, 75, 1165. [Google Scholar] [CrossRef]






| Injection Well Location | Injection Rate [kg/s] | Hydrogen Storage Capacity [Tonnes] | Secant Dip Angle [°] | Tangent Dip Angle [°] | Reservoir Depth Range [m bsl] | Fracturing Pressure Range [MPa] | Capillary Pressure [MPa] |
|---|---|---|---|---|---|---|---|
| Top | 0.97 | 61,000 | 0 | 0 | −624.9–−850.1 | 15.17–18.27 | 9.39 |
| 1 | 1.59 | 100,000 | 2.23 | 3.77 | −653.2–−946.4 | 15.59–19.64 | 9.57 |
| 2 | 1.94 | 122,000 | 3.94 | 4.11 | −682.9–−976.9 | 16.01–20.06 | 9.85 |
| 3 | 1.77 | 112,000 | 3.08 | 3.82 | −668.1–−958.8 | 15.80–19.81 | 9.71 |
| 4 | 1.65 | 104,000 | 2.13 | 2.05 | −651.8–−934.9 | 15.57–19.48 | 9.56 |
| 5 | 1.3 | 82,000 | 0.95 | 1.50 | −631.4–−907.2 | 15.29–19.10 | 9.37 |
| 6 | 1.58 | 100,000 | 2.04 | 2.95 | −651.0–−916.5 | 15.56–19.23 | 9.54 |
| 7 | 1.52 | 96,000 | 1.86 | 0.90 | −647.6–−915.7 | 15.51–19.22 | 9.51 |
| 8 | 1.49 | 94,000 | 1.54 | 1.64 | −641.6–−923.6 | 15.43–19.33 | 9.46 |
Disclaimer/Publisher’s Note: The statements, opinions and data contained in all publications are solely those of the individual author(s) and contributor(s) and not of MDPI and/or the editor(s). MDPI and/or the editor(s) disclaim responsibility for any injury to people or property resulting from any ideas, methods, instructions or products referred to in the content. |
© 2025 by the authors. Licensee MDPI, Basel, Switzerland. This article is an open access article distributed under the terms and conditions of the Creative Commons Attribution (CC BY) license (https://creativecommons.org/licenses/by/4.0/).
Share and Cite
Luboń, K.; Tarkowski, R. Influence of Injection Well Location on Hydrogen Storage Capacity and Plume Migration in a Saline Aquifer: A Case Study from Central Poland. Energies 2025, 18, 6240. https://doi.org/10.3390/en18236240
Luboń K, Tarkowski R. Influence of Injection Well Location on Hydrogen Storage Capacity and Plume Migration in a Saline Aquifer: A Case Study from Central Poland. Energies. 2025; 18(23):6240. https://doi.org/10.3390/en18236240
Chicago/Turabian StyleLuboń, Katarzyna, and Radosław Tarkowski. 2025. "Influence of Injection Well Location on Hydrogen Storage Capacity and Plume Migration in a Saline Aquifer: A Case Study from Central Poland" Energies 18, no. 23: 6240. https://doi.org/10.3390/en18236240
APA StyleLuboń, K., & Tarkowski, R. (2025). Influence of Injection Well Location on Hydrogen Storage Capacity and Plume Migration in a Saline Aquifer: A Case Study from Central Poland. Energies, 18(23), 6240. https://doi.org/10.3390/en18236240

