Abstract
Thermal comfort accounts for significant residential energy consumption in high latitudes; however, quantitative information about insulation improvements is not widely available. First, we performed a study to quantify the effects of improving the insulation in walls, roofs, and windows of typical dwellings in the Netherlands (a studio, an apartment, and a stand-alone house). Our results indicate that improving from single- to double-glazing is the most significant change, reducing gas consumption up to 50%, whereas the difference between double- and triple-glazing is less than 7%. Improving the roof insulation, filling cavity walls with insulation, or adding external wall insulation did not show attractive business cases, as the payback time was too high. Second, we evaluated upgrading the dwelling energy label by improving the insulation or adding a PV system and a heat pump. The results showed that, for energy labels C or above, the insulation reached a saturation point where it is not attractive to improve it before its end-of-life proactively. Instead, investing in the energy system by adding a PV system and a heat pump has better payback times. Our results allow policymakers and project developers to focus on the most relevant changes to accelerate the energy transition.
1. Introduction
Space heating to ensure thermal comfort is one of the major sources of energy consumption in residential buildings in the Netherlands [1]. In general, countries at higher latitudes require a significant amount of energy to face the lower temperatures, typically supplied by gas (although electricity, biomass, and district heating networks are also used in some cases). For instance, the spacial heating demand was 85 TWh during 2016 [2] in the Netherlands, with a kilogram of oil equivalent of approximately 7 kgOE/m2, which remained somewhat constant until 2021 [3]. However, proactive measures must be taken to meet international climate goals, since 75% of the building stock in the European Union is considered energy inefficient [4]. On the one hand, heating electrification has been widely adopted in the form of heat pumps, surpassing the 17% of Dutch households by 2023 [5], with an expected acceleration in adoption towards 2030 [1]. Nevertheless, massive deployments of heating electrification create significant pressure on the electric infrastructure, as system operators must supply an increasingly growing demand. On the other hand, improvements in insulation techniques tackle the demand, not from the energy source, but by reducing the overall consumption. These two measures are not mutually exclusive, but the best way they are implemented (either individually or together) would depend on the case.
Current research recommends studying what kind of insulation improvements are optimal for different types of buildings [6,7]. From a technical perspective, understanding the effects of the insulation on the thermal demand could reduce building improvement investments by adequately designing the insulation required for walls, roof, and windows [8], avoiding under- or over-dimensioning. Similarly, from a cost perspective, an analytical background would allow data-driven business cases, since tractable and reproducible simulations and cases can be performed. This way, project developers and policymakers could understand when it is better to invest in insulation and when it is better to invest in heating electrification, based on a techno-economic assessment [9].
1.1. Literature Review
Recent works can be found in the literature that focus on studying how the thermal properties of buildings affect the heating demand for different countries or regions. For instance, the work in [10] studied how the thermal transmittance coefficients approved in the Polish law during the last decade affect the energy demand for heating in residential buildings. Their results suggest a decrease in the thermal demand between 11% and 32.6%, which translates into yearly savings between €43 and €67. Similarly, ref. [11] used 18 years of energy consumption measurements of existing buildings in Poland to compare the consumption before and after insulation improvements were carried out using large slabs, demonstrating that the method results in energy savings between 16% and 23%.
The European Union-level study performed by [12] indicated that improving the insulation of walls and roofs can lead to energy savings of up to 48%. Nevertheless, the results show a high sensitivity to the current insulation levels. In addition, it showed the importance of a baseline for energy efficiency (required heating degree days (HDD) or U-values) when comparing the results among countries. These results are congruent with [13], who compared the regulations for residential building stock between Finland and Türkiye, suggesting that the current insulation in Finnish buildings is likely above the optimal, whereas Turkish insulation limits must be improved. In [14], a case study was carried out for a single-family house from 2012 in Ontario, Canada, modeled using eQUEST. It was concluded that energy improvements could lead to energy savings of up to 78%, where window and door upgrades accounted for only 13 % of the energy savings and required an investment of between 14,620 CAD and 18,292 CAD, and the PV system and the heat pump account for 33% and 20%, with costs around 18,000 CAD each.
Polystyrene thermal insulation in walls and roofs was studied by [15] in a case study in Chalous city, Northern Iran, using DesignBuilder. The results suggested heat loss reduction of up to 54.8% in walls and 53.5% in roofs and highlighted the importance of adequate insulation to minimize thermal losses and costs. A comparison of the impact of different U-values for walls, windows, roofs, and floors in Palestine, considering different climatic zones following the ASHRAE standard 90.1-2019 using the software DesignBuilder, was conducted in [16]. Using the current Palestinian building energy code as a reference, improving the insulation resulted in a reduction between 43% and 83% when compared with other international building energy codes. However, their study is limited to the building types and materials used in Palestine.
Different optimization strategies have also been proposed in the literature to obtain the ideal insulation thickness. For example, in [17], a human thermal comfort index (predicted mean vote) was used to optimize the insulation thickness of the external walls and roof for two case scenarios (Greece and Cyprus), without considering economic indicators. The simulations conducted in TRNSYS show an improvement in the yearly comfortable hours from below 60% to 97%, while reducing the heating load 66% compared to a non-insulated house, when using wall insulation between 2.9 and 3.2 cm and roof insulation between 13.9 and 14 cm. The work in [18] focused on optimizing the EPS insulation thickness of brick walls for a case study in Algeria to minimize energy costs using TRNSYS, suggesting an optimal range between 1 and 2.5 cm. The effect of insulating the walls of buildings from different construction methods (gray brick, hollow clay block, LECA block, and AAC block) and regions is compared in [19] to optimize the insulation thickness based on energy savings. As expected, the optimal insulation would depend on regional climatic conditions; however, the results indicated that walls made with AAC block would not require additional insulation in regions where the other wall types do. This way, in the cold regions, insulating gray brick (optimal insulation of 1.5–2 cm) or hollow clay block (optimal insulation of 1.5–2 cm) walls would reduce energy consumption by up to 53%, and LECA block (optimal insulation of 0.5–1 cm) walls by up to 26%, but AAC block would not show any significant benefit (no insulation needed). These strategies provide insight into the optimal thickness of the insulation based on different objective functions; thus, future work should compare or implement their results with the available market.
Alternatively, other works have focused on analyzing heating electrification adoption from a cost perspective, since changing the source of heating supply would not necessarily mean a change in the heating demand. A case study in three Italian cities suggests that replacing gas boilers with a heat pump leads to significant reductions in energy costs [20]. Using TRNSYS, it was determined that combining a heat pump, a PV system, and a battery, together with improved insulation, results in up to 52% primary energy savings. Similar results were obtained by [21] for a case study in Ireland, where replacing the gas boilers in residential buildings reduced the overall primary energy consumption between 45% and 72% (or up to 128 kWh/(year)). Similarly, ref. [22] evaluated the energy and economic performance of different combinations of insulation and energy system improvements for a case scenario in Greece. Their results demonstrated that adding a high-efficiency heat pump and improving the window glazing have the highest impact on reducing the thermal demand of space heating in a residential building.
More complex systems have also been proposed in the literature. Different multi-carrier energy system configurations were simulated using TRNSYS 17.2 [23]. Combining a heat pump with a PV system resulted in a self-consumption rate of 34.1%, adding a battery energy storage system and a thermal energy storage system improved the self-consumption rate to 69.4%, but did not noticeably change the overall energy demand. Instead, using a photovoltaic-thermal system coupled to the heat pump led to the best performance, with a self-consumption rate of 96.2%, but with a considerably higher investment cost. The results in [24] also suggest that combining electric and thermal storage together with heat pumps in residential dwellings allows higher heating electrification adoptions if aggregated at the neighborhood level, compared to using only a system comprised of a PV and a heat pump, at the cost of very unattractive business cases for the prosumers. Both results are consistent with the review performed by [25], which demonstrated that highly efficient heat pumps do not lead to the best economic scenario due to their higher upfront costs and relatively low difference in consumption when compared to others with lower energy labels.
Specifically in the Netherlands, some works have examined the Dutch context to understand pathways for reducing residential energy demand and achieving climate targets. A bottom-up dynamic building stock model was developed by [26] to simulate the evolution of Dutch residential buildings under the national control scenario. Their analysis showed that improvements in insulation, together with heating electrification and PV deployment, could reduce space heating demand by two-thirds and cut operational GHG emissions by up to 90% by 2050, but material-related emissions will gain relative importance. In their work, ref. [27] studied the temporal dynamics of space heating demand, using hourly gas consumption data from 8077 dwellings during 2020 to model thermostat behavior and its dispersion across households. It was demonstrated that occupant-driven thermostat settings significantly influence peak loads, highlighting the need for demand-side flexibility and accurate district-level heat demand profiles. The cost-optimal retrofit for typical Dutch housing archetypes was addressed by [28], emphasizing that upgrading to current regulation standards combined with heat recovery ventilation can reduce spatial heat demand up to 60%, while investments in insulation improvement led to thermal demand reductions of only 12%.
1.2. Research Gap
Based on the literature review, the following research gaps were found:
- many studies provide results based on insulation improvements without detailing the initial insulation condition of the buildings nor the insulation measures taken (including their costs), and
- most of the literature focus either on insulation or on heating electrification techniques but does not compare them directly.
Therefore, the contributions of this paper are
- a quantitative assessment of available thermal insulation improvement methods from an energy consumption and cost-effective perspective, considering different initial insulation levels, and
- a techno-economic comparison between insulation improvement and a heating electrification adoption scenario.
2. Thermal Losses Mathematical Description
To estimate the thermal demand in buildings, one can use building performance standards (BPS), as well as standardized methods, such as ISO 52016-1 [29] . However, these methods often require detailed input data and computational resources. As a response, the work in [30] provided an analytical framework to model the thermal losses of a Dutch house. The model accounts for the losses due to conduction, convection, infiltration, and ventilation for a specific type of window, roof, and wall. External radiative heating effects are not considered (e.g., heating through the windows due to solar irradiance). This section is dedicated to adapting the models for the window, roof, and wall losses to include additional insulation, allowing us to perform a more comprehensive analysis on the most common house insulation methods used in the Netherlands.
The ventilation () and infiltration () losses were calculated based on the American Society of Heating, Refrigerating and Air-Conditioning Engineers (ASHRAE) Handbook [31]. The ventilation losses can be estimated with
where and are the specific heat capacity and density of the air, is the temperature difference between the outside and inside of the house (in degrees Fahrenheit), and is the required ventilation airflow (in cubic feet per minute), given by
where is the building conditioned area (in feet squared) and is the number of bedrooms in the house.
The infiltration losses can be estimated with
where is the infiltration airflow, given by
where is the building’s exposed area (in feet squared), is the unit leakage area (in inches squared per foot squared), is the stacking coefficient, is the wind coefficient, and u is the wind speed (in miles per hour). Internal sources of heat, such as inhabitants, lighting, and appliances, were neglected, as high-efficiency appliances were considered [31].
2.1. Windows Insulation
Three types of glazing are modeled in this section: single-, double-, and triple-glazing. On the one hand, a single-glazed window behaves as a solid wall, without intermediate convective mechanisms. On the other hand, double- and triple-glazing, thanks to their air gaps, prevent convective-only heat flows, increasing the window’s thermal resistance. The thermal circuits considered for single-, double-, and triple-glazed windows are shown in Figure 1. This way, the thermal losses for each type of glazing can be represented as
and
where and are the convective heat transfer coefficients between the window and the outdoor and indoor air, respectively; is the convective heat transfer coefficient of the air gap between the glass layers, and and are the thickness and thermal conductivity of the glass, respectively. is the window area, and and are the indoor and outdoor temperatures, respectively. We assumed that for double- and triple-glazed windows, the glass and air gaps have the same thickness per layer.

Figure 1.
Equivalent thermal circuit considered for a (a) singgle-, (b) double- and (c) triple-glazed window.
2.2. Roof Insulation
The improvements of the roof consist of increasing the conductive thermal resistance by increasing the thickness of a layer of insulation material, resulting in the thermal circuit shown in Figure 2. This way, the thermal losses through the roof are
where and are the convective heat transfer coefficients between the roof and the outdoor and indoor air, respectively, and , and and are the thickness and thermal conductivity of the roof and insulation layers, respectively. is the roof area, and and are the indoor and outdoor temperatures, respectively.
Figure 2.
Equivalent thermal circuit considered for the roof.
2.3. Walls Insulation
For the walls, we considered two separated insulation mechanisms, namely external wall covering and wall gaps, as shown in Figure 3. For the latter, two fillings are considered: air and insulation material. The external wall covering consists of a layer of insulation material placed against the wall, increasing the conductive thermal resistance. The wall gap effect, however, would depend on the filling. In the case of air, the cavity would increase the overall thermal resistance by adding a convective heat transfer coefficient, as shown in Figure 3a, whereas filling the air gap with insulation material would replace the convective effect by a conductive resistance, as shown in Figure 3b. This way, the expressions for a wall with an air or filled gap are
and
respectively, where and are the convective heat transfer coefficients between the walls and the outdoor and indoor air, respectively, , and , and , and are the thickness and thermal conductivity of the wall insulation cover, the wall itself and the wall filling layers, respectively. is the convective heat transfer coefficient of the air gap within the wall, is the wall area, and and are the indoor and outdoor temperatures, respectively.
Figure 3.
Equivalent thermal circuit considered for an (a) air-filled cavity wall and (b) insulation-filled cavity wall.
3. Case Description
This work provides a quantitative assessment of the influence of different insulation techniques applied to Dutch residential buildings. Two different case scenarios are considered. First, the insulation techniques are analyzed individually, considering the insulation of a house energy label C (following the Dutch energy label standard NTA 8800:2024 [32]) as reference for the other insulation elements (see Table 1). Second, different insulation parameters were chosen to replicate houses with energy labels between G and A, as shown in Table 1. The thermodynamic models used were taken from [30].
Table 1.
Parameters considered for each energy label.
The individual analysis considers improvements on the windows (dingle-, double-, and triple-glazed), roof (3 cm, 5 cm, 10 cm, 15 cm, 20 cm, and 30 cm insulation), and walls (no cavity, cavities of 3 cm, 5 cm, 8 cm, and 10 cm filled with air and EPS; and 10 cm of external wall insulation). In addition, three types of houses are considered: a studio, an apartment, and a stand-alone house, whose parameters are shown in Table 2. These values were obtained through an exploratory search carried out in the housing platform Funda, which hosts approximately 97% of the housing market listings in the Netherlands [33]. The weather data for ambient temperature and solar irradiance were taken from the KNMI database. For our simulations, we used the open-source library available in [34], built in Python 3.12.11 (see the block diagram in Figure 4), considering a timestep of 15 min for a whole year.
Table 2.
Description of the houses considered.
Figure 4.
Flow diagram of the components used for the simulation.
Four metrics are considered to compare the performance of the insulation improvements:
- Thermal demand [kWh]: considered as the amount of thermal energy used to maintain the indoor temperature.
- Gas consumption [m3]: considered as the gas used by the boiler to deliver thermal power for space heating.
- CAPEX: [€] considered as the total cost of improving the insulation.
- OPEX: [€] considered as the total energy cost (electricity and gas) by the household.
- Payback: [years] considered as the time it would take to cover the CAPEX based on the change in OPEX after an improvement.
Note that the cost considered for the insulation improvements, as well as the PV system and the heat pump, was obtained through quotes requested from local contractors in the Netherlands.
Three different types of windows were considered, namely single-, double-, and triple-glazed. Each glass layer is assumed to be 4 mm thick with a thermal conductivity of 0.8 WK−1m−1, and with air gaps of 1.4 cm for double- and triple-glazed windows. The costs considered are shown in Table 3. In this case, we considered a single-glazed window as the base; therefore, no cost is associated, since it is assumed that such glazing would already exist in the building. Note that these costs are only for the window upgrade (materials and labor) and exclude any improvement or replacements of the frames; therefore, no changes in the infiltration rates are considered when changing the glazing. Also, it was assumed that the frames, regardless of the glazing type, are in good quality and there are no considerable leakages (aside from what is estimated using the ASHRAE method detailed in (3)) through the frame or air gaps in the case of multiple-glazed windows.
Table 3.
Costs considered for the windows insulation.
For the roof insulation analysis, it was assumed that the improvement would be made by insulation panels with a thickness of 10 cm or 15 cm. For insulation thinner than 10 cm, no capital expenses were considered, since the available insulation is a minimum of 10 cm, and it is assumed that, for the cases with insulation thinner than 10 cm, it would already be placed in the building. The cost per thickness is shown in Table 4. Note that these costs include only materials and labor related to the insulation alone; thus, finishings are excluded.
Table 4.
Costs considered for the roof insulation.
Two different methods were considered to improve the insulation of walls: cavity filling through granulated EPS and external covering. On the one hand, air (thermal conductivity 0.0257 WK−1m−1) and EPS fillings (thermal conductivity 0.035 WK−1m−1) were considered for cavity widths between 3 cm and 10 cm. For walls with air cavities, no CAPEX was considered, as it was assumed that the building was initially constructed with the cavity. For EPS filling, a fixed cost of €40/m2 was considered. It is important to mention that the cavity gap is often between 3 cm and 5 cm, which is the reason why contractors often quote based on area instead of volume. In our work, we extended the cavity gap up to 10 cm to evaluate if thicker gaps would have a noticeable improvement, but no changes in the cost are assumed. On the other hand, 10 cm thick EPS panels were considered as external covering, with a cost of €150/m2.
After the individual analysis, a comparison of different combinations of insulation levels associated with an energy label, as shown in Table 1, was done. The PV system was sized to cover the base electric load of the household, excluding the heat pump. This is because, typically, the usage of space heating indoors is more significant during low-irradiance periods, both seasonal (mostly winter) and hourly (early in the morning or during the evening) [1]. Therefore, adding the heat pump electric consumption to the sizing of the PV system, albeit resulting in a net-zero house, would probably exchange a large part of the generation with the grid due to the mismatch between solar generation and electric consumption, leading to local congestion in the residential distribution networks [24]. The cost and peak power for the PV system are shown in Table 5. For the heat pump, a fixed cost of €10,000 was considered.
Table 5.
Costs considered for the PV system.
4. Results
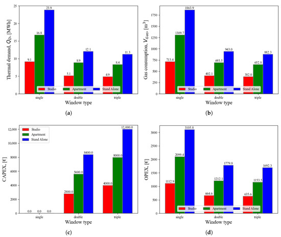
4.1. Windows Insulation
The results are shown in Figure 5. In general, one can notice a significant change from single- to double-glazed windows in terms of thermal demand reduction (Figure 5a) and, thus, gas consumption and energy cost (Figure 5b). Nevertheless, the change from double- to triple-glazed is less noticeable, improving the overall thermal performance around 10% for stand-alone houses, while being almost 40% more expensive than double-glazing (Figure 5).
Figure 5.
Results for different window insulation, comparing (a) thermal demand, (b) gas consumption, (c) capital expenses, and (d) operative expenses, for a representative studio, apartment, and stand-alone house.
The performance behavior can be explained given the total window area for the different house types, as apartments and studios have less window area and, thereby, fewer losses through the windows. Similarly, the single air gap can significantly reduce the thermal loss, leaving only cooling mechanisms via convective effects, which are minimal when there is no air flow (within the air gap). Thus, a second air gap, despite reducing the convective and radiative heat transfer mechanisms, has a significantly lower impact.
From a cost perspective, it was mentioned that improving from single- to double- or triple-glazed windows might result in a more attractive scenario for both cost and performance perspectives than improving from double- to triple-glazed windows. Table 6 shows the payback for these upgrades for studios, apartments, and stand-alone houses, respectively. These results show that, despite triple-glazed windows resulting in lower gas consumption, they would only be attractive when upgrading single-glazed windows. This is because the reduction in gas consumption from double- to triple-glazed windows is one order of magnitude smaller, as shown in Table 7. Nevertheless, if the double-glazed windows are deteriorated and require a replacement after their lifetime, it might be worth replacing them with triple-glazed windows, based on the household owner’s criteria.
Table 6.
Payback [years] for the windows insulation improvement for a representative studio, apartment, and stand-alone house.
Table 7.
Gas reduction [m3] for the windows insulation improvement for a representative studio, apartment, and stand-alone house.
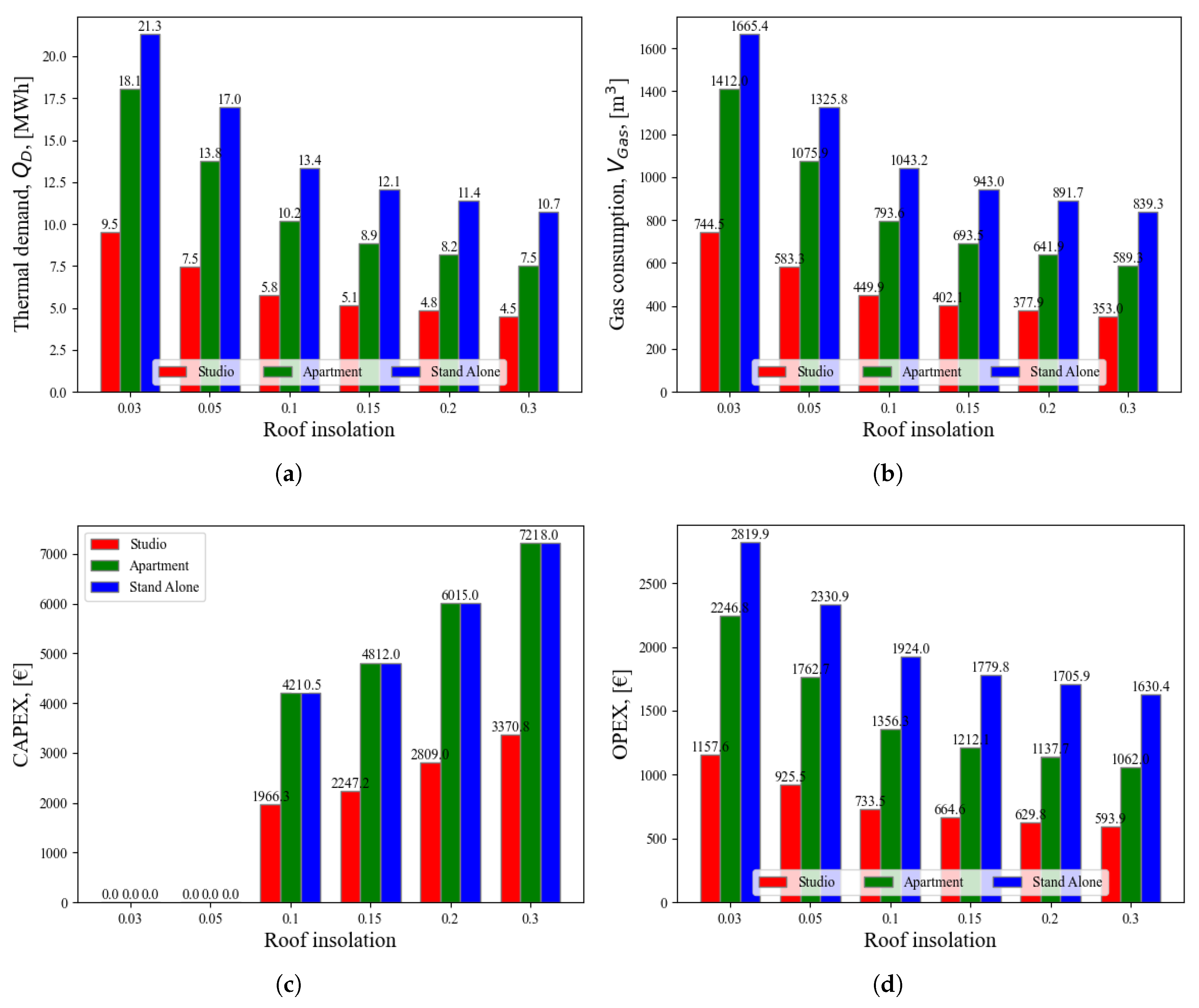
4.2. Roof Insulation
The results shown in Figure 6 demonstrate that, as expected, thicker insulation results in better thermal demand and gas consumption performance (Figure 6a,b). Still, the performance difference decreases when the thickness increases, i.e., the performance would reach a saturation point. This way, as shown in the windows analysis, depending on the current status, it might not be worth improving the roof insulation until it has reached its lifetime.
Figure 6.
Results for different roof insulation thicknesses, comparing (a) thermal demand, (b) gas consumption, (c) capital expenses, and (d) operative expenses, for a representative studio, apartment, and stand-alone house.
Table 8 shows the payback time when upgrading the roof insulation. As shown, proactively upgrading insulation below 10 cm is relatively attractive for homeowners. However, improving insulation from 10 cm would have very high paybacks (around 33 years), despite resulting in gas reductions up to 21.5% (96.9 m3), 25.7% (204.3 m3), and 19.5% (203.9 m3) when upgrading from 10 cm to 30 cm for studios, apartments, and stand-alone houses, respectively, as shown in Table 9.
Table 8.
Payback [years] for the roof insulation improvement for a representative studio, apartment, and stand-alone house.
Table 9.
Gas reduction [m3] for the roof insulation improvement for a representative studio, apartment, and stand-alone house.
4.3. Walls Insulation
The results for the air cavity wall are shown in Figure 7. From a thermal performance perspective, adding an air cavity of only 3 cm already reduces the gas consumption by around 9% (see Figure 7b). However, increasing the width of the cavity, despite decreasing the thermal demand, has a small influence on the thermal performance, as shown in Figure 7a. Filling the cavities with materials whose thermal conductivity is similar to air would result in similar behaviors. In this case, EPS was considered, and the results are shown in Figure 8.
Figure 7.
Results for different thicknesses of air-gap cavity walls, comparing (a) thermal demand, (b) gas consumption, and (c) operative expenses, for a representative studio, apartment, and stand-alone house.
Figure 8.
Results for different thickness of EPS-filled cavity walls, comparing (a) thermal demand, (b) gas consumption, and (c) operative expenses, for a representative studio, apartment, and stand-alone house.
As EPS has a higher thermal conductivity than air (0.035 WK−1m−1 and 0.0257 WK−1m−1, respectively), the EPS filling results in slightly lower thermal performance due to the way the cavity is modelled. In this case, the cavity is assumed to be isolated from the environment (acting as a double-glazed window); therefore, the air gap has no convective nor infiltration losses, whereas in reality, such losses would decrease the thermal insulation performance of the air gap. Nevertheless, the results for the filled cavity are, in fact, more accurate than the results for the air gap, as conductive losses are indeed taken into consideration.
Adding an external layer of isolation had a similar effect on the thermal performance. Figure 9 shows the performance comparison between having or not having the wall external cover. As shown, including the insulation panels can reduce the gas consumption between 11.3% and 16.4% (Figure 8b, Table 10 and Table 11). However, the high cost of this kind of insulation makes it unattractive for houses with some degree of insulation.
Figure 9.
Results for presence and absence of external wall insulation, comparing (a) thermal demand, (b) gas consumption, and (c) operative expenses, for a representative studio, apartment, and stand-alone house.
Table 10.
Gas reduction [m3] for the air cavity wall width for a representative studio, apartment, and stand-alone house.
Table 11.
Gas reduction [m3] for the EPS-filled cavity wall width for a representative studio, apartment, and stand-alone house.
4.4. Energy Label Analysis
The results in Figure 10 are consistent with the previous sections. As can be seen in Figure 10a, the thermal demand decreases significantly from energy label G to E thanks to the improvement in roof insulation and cavity walls. Also, there is a major increase in thermal performance from label E to label D thanks to the improvement from single- to double-glazing windows. Then, from label D to B, the thermal performance of the building increases around 10%.
Figure 10.
Results for different typical energy label insulation, comparing (a) thermal demand, (b) gas consumption, and (c) operative expenses, for a representative studio, apartment and stand-alone house.
The other noticeable change is the gas consumption from energy label B to A thanks to the heat pump (see Figure 10b). Such decrease is also reflected in the OPEX in Figure 10c. The heat pump reduced to zero the gas consumption for space heating, and the PV system compensates for a significant proportion of the electrical consumption, reducing the energy costs. A smaller improvement is noted in the thermal demand from energy labels B to A thanks to the inclusion of triple-glazed windows and external wall covering (see Figure 10a), but as shown earlier, since the overall insulation is already highly efficient, the accumulated effect is less significant.
From a cost perspective, Table 12 shows the required investment to improve from one energy label to another. In this case, the same equipment was considered as the previous sections (i.e., roof insulation panels of 10 cm and 15 cm and wall insulation improvement only possible by filling the already existing cavities or adding external insulation); thus, for some cases it is not possible to change from one energy label to the other (e.g., from G to F) or the costs are the same for several energy labels in a row (e.g., when the improvement from one to the next is the width of the wall cavity that cannot be changed).
Table 12.
CAPEX required [k€] to improve the energy labels for a representative studio, apartment and stand-alone house.
The resulting payback after improving the energy labels is shown in Table 13. The results suggest that the improvements starting from the worst-performing energy labels results in more attractive scenarios thanks to the larger difference in the OPEX before and after the improvement. However, in better-insulated houses, as the change in OPEX is not as considerable, the payback is consistently higher.
Table 13.
Payback [years] to improve the energy labels for a representative studio, apartment and stand-alone house.
Finally, a building label D for each type was considered and, instead of improving the insulation, a PV system and a heat pump were added. This energy label was chosen based on the previous results, where a relative stability in the performance was displayed, so a comparison between improving the insulation and the energy system was done. The results are summarized in Table 14. As can be seen, improving a building with an energy label D with a PV system and a heat pump, excluding improvements in the insulation, results in more attractive economic scenario than improving the insulation. In addition, thanks to the heat pump, the heating system will no longer consume gas for space heating. Despite no complex analyses being performed on the energy market, coupling a local generator, such as a PV, with an electric heat source, in this case the heat pump, can result in a robust strategy against volatile energy prices, eliminating the dependency on gas prices, but relying on the electricity prices.
Table 14.
Results of adding a PV system and a heat pump a studio, apartment and stand-alone house with an energy label D.
5. Discussion
Previously, Section 4 presented and briefly discussed the results obtained. First, the individual analysis of insulation improvement for windows, roofs, and walls was presented. Second, the results of typical insulation associated with the energy labels, together with their performance improvement and associated costs, were shown. This section elaborates on the meaning of the results and compare them with recent works as validation.
Starting with the windows improvements, Figure 5 shows how adding a second layer of glass drastically reduces the thermal demand (up to 50%). This is because double- and triple-glazed windows add a convective element in the heat transfer, drastically reducing the overall thermal conductivity of the window. However, the improvement from double- to triple-glazed in new windows is not that noticeable, as one convective layer already decreases the thermal conductivity close to a saturation point. These results are consistent with [35], which reported a thermal performance increase lower than 5% when upgrading from double- to triple-glazed windows when the former is in good state, close to our results for studios, apartments and stand-alone houses (3.9%, 5.6%, and 6.6%, respectively).
This way, the performance improvement does not justify the overall investment expenses of changing from double- to triple-glazed windows, as shown in Table 6. Even when the windows have already reached their end-of-life, the payback achieved by double-glazed windows is still lower than triple-glazed due to the small difference in performance but considerable difference in price, making double-glazed windows the more attractive solution. Note that evaluating the additional benefits of increased glazing, such as acoustic insulation and condensation prevention, is outside of the scope of this work but can provide additional value.
Increasing the insulation thickness in the roofs did not drastically change the thermal demand. Despite significant changes shown in Figure 6 when comparing insulations below 10 cm, most houses in the Netherlands already have 10 cm of insulation or more [1]. Then, as shown in Table 8, it is not economically attractive to improve the roof insulation, results aligned with [36], who highlighted the small effect of the roof insulation improvement in the overall thermal demand. Similarly, ref. [12] also showed some saturation in the economic indicators when increasing the thickness of insulation layers.
The saturation effect was also noticed in the walls. On the one hand, it was shown that a wall with an air gap does reduce the thermal demand of the house (see Figure 7), but it has to be added during the construction; hence, improvement is possible. Similarly, filling the air gaps with EPS does not directly affect the thermal demand, as shown in Figure 8. Nonetheless, it might add additional benefits not included in our analysis, for instance, reduced infiltration losses. On the other hand, adding an external layer of insulation can reduce the thermal demand between 10% and 20%, but the costs are still a major drawback.
Depending on the combination of insulation conditions, a particular dwelling is assigned an energy label, as shown in Table 1. Based on our previous analysis, it can be expected that improving the insulation to move from a lower to a higher energy label might not always be an attractive business case. In fact, Table 13 shows how improving from low-efficiency energy labels to C is attractive, as the payback time is below 10 years for all types of buildings.
Improving a house with an energy label of C or above, however, requires very high investment costs, with small performance improvements. For those cases, the results in Table 14 show that, instead of investing in improving the insulation, it would be more attractive to invest in the energy system itself, in our case, by including a PV system and a heat pump. It must be noted that our results do not include any subsidy or similar aids, as they would largely vary among countries and cases. Nevertheless, it is expected that such benefits largely improve the business cases.
6. Conclusions
This paper performed two separate analysis. First, a parametric analysis was performed for each insulation strategy (windows, roofs, and walls). Second, the performance of a typical residential building (studio, apartment and stand-alone house) for each energy label, from G to A. The main conclusions are:
- The windows are the main source of thermal losses in residential buildings. In addition, they present the best payback time among the insulation strategies. As such, they should be prioritized when improving the insulation of a house, followed by the roof and, at last, the walls.
- Replacing the windows from single- to double-glazed windows can reduce gas consumption up to 50%. However, replacing double- to triple-glazed windows only reduces the gas consumption by up to 7%.
- Improving roof insulation from 3 cm to 30 cm can reduce gas consumption up to 50%. However, for houses with 10 cm of insulations or more, the gas consumption is reduced only up to 20%.
- Adding an air or filled cavity to the walls slightly improves its thermal performance. However, no major benefits were observed. Similar to adding external insulation to the walls.
- Some upgrades are not attractive to homeowners if completed proactively, i.e., while the insulation has not reached its end-of-life. This is the case for double- to triple-glazed windows and roof insulations, starting from 10 cm. For those cases, the payback time is too high, and it would be better to wait until the insulation shows signs of aging or damage.
- Improving the overall energy label of a house by upgrading its insulation is more attractive for lower energy labels (namely from G to D). For energy labels D and above, it is more attractive to invest in improving the energy system itself, e.g., adding a PV system or replacing the gas boiler with a heat pump. However, adding such systems might have a negative effect on the grid.
Future work can focus on multi-domain optimization of the insulation levels for specific case studies, which can benefit from the Python library developed, available on GitHub on its version 2.1 (Python 3.12.11).Also, it could be interesting to study the insulation improvements in non-residential buildings.
Author Contributions
Conceptualization, J.A.-C.; methodology, J.A.-C.; software, J.A.-C.; validation, J.A.-C. and L.R.-E.; formal analysis, J.A.-C.; investigation, J.A.-C.; resources, L.R.-E.; writing—original draft preparation, J.A.-C.; writing—review and editing, L.R.-E.; visualization, J.A.-C.; supervision, L.R.-E.; project administration, L.R.-E.; funding acquisition, L.R.-E. All authors have read and agreed to the published version of the manuscript.
Funding
The project was carried out with a Top Sector Energy subsidy from the Ministry of Economic Affairs and Climate, carried out by the Netherlands Enterprise Agency (RVO). The specific subsidy for this project concerns the MOOI subsidy round 2020.
Data Availability Statement
No additional data were used in this paper. The software for the simulations used can be find here https://github.com/jjac13/LV_network_simulator_public, last accessed on 28 July 2025.
Conflicts of Interest
The authors declare no conflicts of interest.
References
- de Wind, J.; Alpízar-Castillo, J.; Visser, J.; Ramírez-Elizondo, L. An in-depth analysis of residential E-cooling demand in The Netherlands. Case Stud. Therm. Eng. 2025, 73, 106469. [Google Scholar] [CrossRef]
- Centraal Bureau voor de Statistiek. Energieverbruik van Particuliere Huishoudens. 2018. Available online: https://www.cbs.nl/nl-nl/achtergrond/2018/14/energieverbruik-van-particuliere-huishoudens (accessed on 5 July 2025).
- ODYSSEE-MURE. Netherlands|Energy Profile: Energy Efficiency Trends and Policies; Technical Report; ODYSSEE-MURE: Grenoble, France, 2023.
- European Environment Agency. Annual European Union Greenhouse Gas Inventory 1990–2023 and Inventory Report 2025; Report; European Environment Agency: Copenhagen, Denmark, 2025. [Google Scholar]
- Centraal Bureau voor de Statistiek. Warmtepompen; Aantallen, Thermisch Vermogen en Energiestromen. 2024. Available online: https://opendata.cbs.nl/#/CBS/nl/dataset/85523NED/table (accessed on 7 July 2025).
- Citadini de Oliveira, C.; Catão Martins Vaz, I.; Ghisi, E. Retrofit strategies to improve energy efficiency in buildings: An integrative review. Energy Build. 2024, 321, 114624. [Google Scholar] [CrossRef]
- Aslan, A. Effect of thermal insulation on building energy efficiency in Turkey. Proc. Inst. Civ. Eng.-Energy 2022, 175, 119–139. [Google Scholar] [CrossRef]
- Kapoor, G.; Singhal, M. Impact of innovative thermal insulation materials in the building envelope on energy efficiency of residential buildings. Mater. Today Proc. 2024. [Google Scholar] [CrossRef]
- Kadrić, D.; Aganovic, A.; Martinović, S.; Delalić, N.; Delalić-Gurda, B. Cost-related analysis of implementing energy-efficient retrofit measures in the residential building sector of a middle-income country – A case study of Bosnia and Herzegovina. Energy Build. 2022, 257, 111765. [Google Scholar] [CrossRef]
- Jezierski, W.; Sadowska, B.; Pawłowski, K. Impact of Changes in the Required Thermal Insulation of Building Envelope on Energy Demand, Heating Costs, Emissions, and Temperature in Buildings. Energies 2021, 14, 56. [Google Scholar] [CrossRef]
- Cieśliński, K.; Tabor, S.; Szul, T. Evaluation of Energy Efficiency in Thermally Improved Residential Buildings, with a Weather Controlled Central Heating System. A Case Study in Poland. Appl. Sci. 2020, 10, 8430. [Google Scholar] [CrossRef]
- Filippi Oberegger, U.; Prina, M.G.; Hummel, M.; Kranzl, L.; Pezzutto, S.; Lollini, R.; Sparber, W. Bottom-up method to derive cost curves for space heating savings in residential buildings for all European countries. J. Build. Eng. 2024, 98, 111303. [Google Scholar] [CrossRef]
- Kınay, U.; Laukkarinen, A.; Vinha, J. Renovation wave of the residential building stock targets for the carbon-neutral: Evaluation by Finland and Türkiye case studies for energy demand. Energy Sustain. Dev. 2023, 75, 1–24. [Google Scholar] [CrossRef]
- Heidari, M.; Rahdar, M.H.; Dutta, A.; Nasiri, F. An energy retrofit roadmap to net-zero energy and carbon footprint for single-family houses in Canada. J. Build. Eng. 2022, 60, 105141. [Google Scholar] [CrossRef]
- Amani, N. Energy efficiency of residential buildings using thermal insulation of external walls and roof based on simulation analysis. Energy Storage Sav. 2025, 4, 48–55. [Google Scholar] [CrossRef]
- Haj Hussein, M.; Monna, S.; Abdallah, R.; Juaidi, A.; Albatayneh, A. Improving the Thermal Performance of Building Envelopes: An Approach to Enhancing the Building Energy Efficiency Code. Sustainability 2022, 14, 16264. [Google Scholar] [CrossRef]
- Axaopoulos, P.J.; Sakellariou, E.I.; Panayiotou, G.P.; Kalogirou, S. Evaluation of the optimum insulation thickness of building external walls and roof based on human thermal comfort criterion. Renew. Energy 2025, 247, 123058. [Google Scholar] [CrossRef]
- Derradji, L.; Imessad, K.; Amara, M.; Boudali Errebai, F. A study on residential energy requirement and the effect of the glazing on the optimum insulation thickness. Appl. Therm. Eng. 2017, 112, 975–985. [Google Scholar] [CrossRef]
- Rosti, B.; Omidvar, A.; Monghasemi, N. Optimal insulation thickness of common classic and modern exterior walls in different climate zones of Iran. J. Build. Eng. 2020, 27, 100954. [Google Scholar] [CrossRef]
- Calise, F.; Cappiello, F.L.; Cimmino, L.; Dentice d’Accadia, M.; Vicidomini, M. Dynamic modelling and thermoeconomic analysis for the energy refurbishment of the Italian building sector: Case study for the “Superbonus 110%” funding strategy. Appl. Therm. Eng. 2022, 213, 118689. [Google Scholar] [CrossRef]
- Saffari, M.; Keogh, D.; De Rosa, M.; Finn, D.P. Technical and economic assessment of a hybrid heat pump system as an energy retrofit measure in a residential building. Energy Build. 2023, 295, 113256. [Google Scholar] [CrossRef]
- Kitsopoulou, A.; Bellos, E.; Lykas, P.; Vrachopoulos, M.G.; Tzivanidis, C. Multi-objective evaluation of different retrofitting scenarios for a typical Greek building. Sustain. Energy Technol. Assess. 2023, 57, 103156. [Google Scholar] [CrossRef]
- Gagliano, A.; Tina, G.M.; Aneli, S. Improvement in Energy Self-Sufficiency in Residential Buildings Using Photovoltaic Thermal Plants, Heat Pumps, and Electrical and Thermal Storage. Energies 2025, 18, 1159. [Google Scholar] [CrossRef]
- Alpízar-Castillo, J.; Ramírez-Elizondo, L.; van Voorden, A.; Bauer, P. Aggregated residential multi-carrier energy storage as voltage control provider in low-voltage distribution networks. J. Energy Storage 2025, 132, 117507. [Google Scholar] [CrossRef]
- Yu, F.; Feng, W.; Luo, M.; You, K.; Ma, M.; Jiang, R.; Leng, J.; Sun, L. Techno-economic analysis of residential building heating strategies for cost-effective upgrades in European cities. iScience 2023, 26, 107541. [Google Scholar] [CrossRef]
- Yang, X.; Hu, M.; Tukker, A.; Zhang, C.; Huo, T.; Steubing, B. A bottom-up dynamic building stock model for residential energy transition: A case study for the Netherlands. Appl. Energy 2022, 306, 118060. [Google Scholar] [CrossRef]
- Koene, F.F.; Eslami-Mossallam, B.B. Space heating demand profiles of districts considering temporal dispersion of thermostat settings in individual buildings. Build. Environ. 2023, 228, 109839. [Google Scholar] [CrossRef]
- Alavirad, S.; Mohammadi, S.; Hoes, P.J.; Xu, L.; Hensen, J.L. Future-Proof Energy-Retrofit strategy for an existing Dutch neighbourhood. Energy Build. 2022, 260, 111914. [Google Scholar] [CrossRef]
- ISO 52016-1:2017; Energy Performance of Buildings—Energy Needs for Heating and Cooling, Internal Temperatures and Sensible and Latent Heat Loads Part 1: Calculation Procedures. International Organization for Standardization (ISO): Geneva, Switzerland, 2017.
- Alpízar-Castillo, J.; Ramírez-Elizondo, L.M.; Bauer, P. Modelling and evaluating different multi-carrier energy system configurations for a Dutch house. Appl. Energy 2024, 364, 123197. [Google Scholar] [CrossRef]
- American Society of Heating, Refrigerating and Air-Conditioning Engineers, Inc. (ASHRAE). 2021 ASHRAE® Handbook—Fundamentals (SI Edition); American Society of Heating, Refrigerating and Air-Conditioning Engineers, Inc. (ASHRAE): Peachtree Corners, GA, USA, 2021. [Google Scholar]
- NTA 8800:2024 nl; Energieprestatie van Gebouwen—Bepalingsmethode. Royal Netherlands Standardization Institute (NEN): Delft, The Netherlands, 2024.
- Funda. Jaarverslag 2024; Technical Report; Funda: Amsterdam, The Netherlands, 2025. [Google Scholar]
- Alpízar-Castillo, J. LV Network Simulator Public. 2025. Available online: https://github.com/jjac13/LV_network_simulator_public (accessed on 28 July 2025).
- Fereidoni, S.; Nabisi, M.; Fereidooni, L.; Javidmehr, M.; Zirak, N.; Kasaeian, A. An assessment of the impact of building envelope design on the tradeoff between embodied and operating energy. Energy Build. 2023, 298, 113542. [Google Scholar] [CrossRef]
- Kirschbaum, J.; Divkovic, D.; Meschede, H. From demand to action: Analysing building emissions and refurbishment scenarios towards climate neutrality. Appl. Energy 2025, 396, 126302. [Google Scholar] [CrossRef]
Disclaimer/Publisher’s Note: The statements, opinions and data contained in all publications are solely those of the individual author(s) and contributor(s) and not of MDPI and/or the editor(s). MDPI and/or the editor(s) disclaim responsibility for any injury to people or property resulting from any ideas, methods, instructions or products referred to in the content. |
© 2025 by the authors. Licensee MDPI, Basel, Switzerland. This article is an open access article distributed under the terms and conditions of the Creative Commons Attribution (CC BY) license (https://creativecommons.org/licenses/by/4.0/).