Strategic Planning for Power System Decarbonization Using Mixed-Integer Linear Programming and the William Newman Model
Abstract
1. Introduction
Related Work and Systematic Literature Review
2. Theoretical Framework
2.1. Analysis of the Current Power System
Types of Power Plants
2.2. Description of Thermal Power Plants
2.3. Technical Characteristics of Thermal Plants
2.3.1. Internal Combustion Engine (ICE) Plants
2.3.2. Gas Turbine Plants
2.3.3. Steam Turbine Plants
2.4. Identification of Opportunities and Challenges
- According to CELEC EP, thermal plants require relatively less maintenance.
- Thermal plants play a crucial role by replacing hydropower during climate events such as droughts.
- Their relatively simple deployment makes thermal plants widely used worldwide, offering lower costs compared to other generation technologies.
- Thermal generation is not weather-dependent, allowing adaptation to any environment.
- Thermal efficiency is key, as it enables higher energy conversion with minimal losses.
- The use of fossil fuels causes significant environmental damage, and fuel prices may fluctuate, directly affecting electricity production.
- Thermal plants have a considerable environmental impact, producing high levels of CO2 emissions regardless of plant type.
- High emissions not only harm the environment but also contribute to respiratory illnesses, affecting both operators and local populations.
- Maintenance—whether corrective or scheduled—can require long periods, sometimes months, to replace major components.
2.5. Principles and Foundations of the William Newman Model for Power System Decarbonization
Application of the William Newman Model to Power System Decarbonization
2.6. Implementation of Mixed-Integer Linear Programming for Power System Decarbonization: Considerations and Constraints
Considerations
2.7. Distributed Resources
2.7.1. Photovoltaic Generation
2.7.2. Wind Power Generation
2.7.3. Diesel-Based Power Supply
2.7.4. Battery-Based Backup Systems
2.7.5. Charge and Discharge Index
2.7.6. DOD
2.7.7. DR
- DR Programs
3. Problem Formulation
3.1. Decarbonization Process Using the William Newman Approach
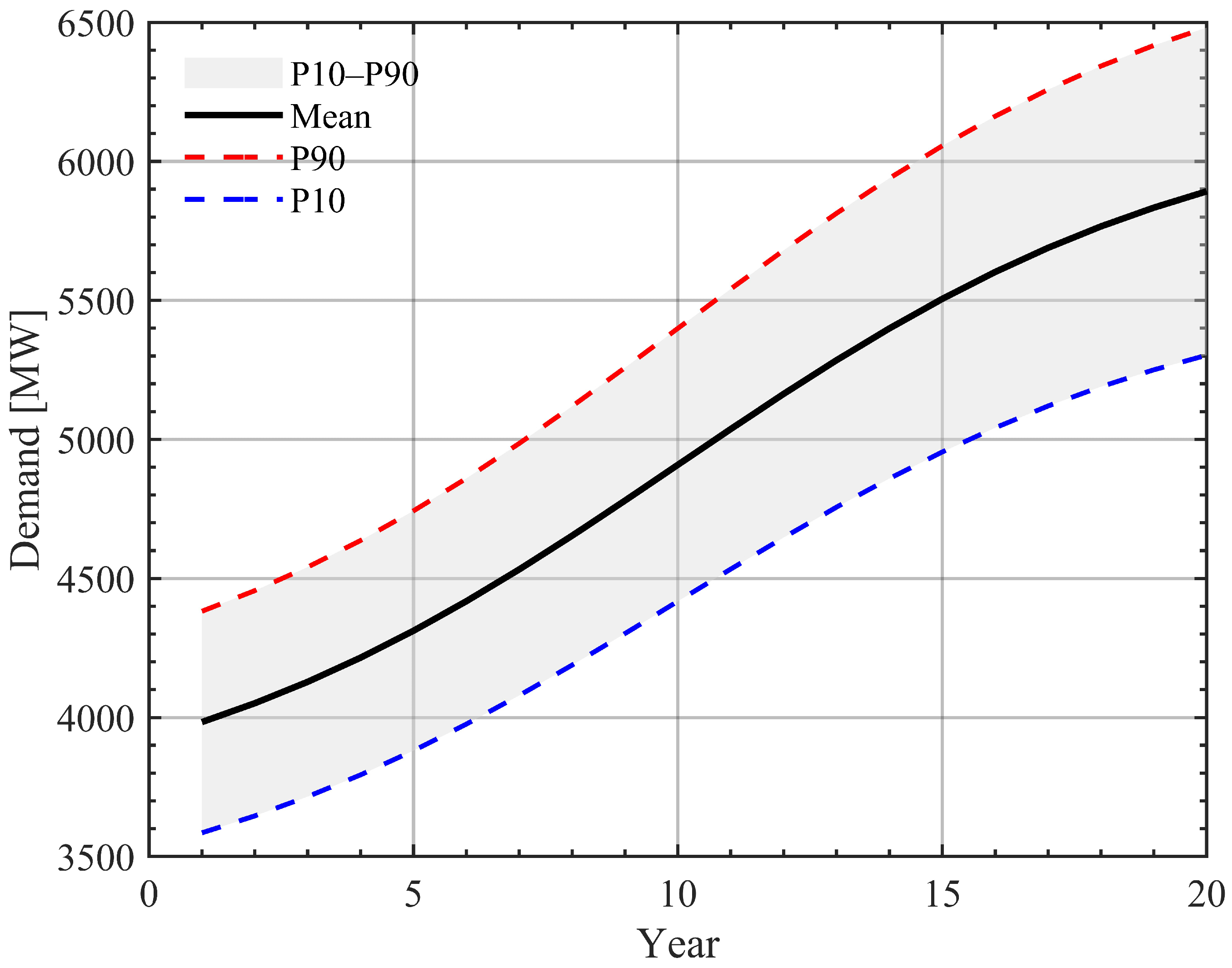
3.2. Demand Variability
3.2.1. Phase 1: Problem Diagnosis
- Cost of Unserved Energy
- Constraints in the Baseline Scenario
- Power Balance
- Generation Limits
- Load Shedding
3.2.2. Phase 2: Strategy Definition
- Carbon Emission Minimization
- Minimization of Total Generation Cost
- Minimization of Demand Response Cost
- Constraints of the Second Phase
- Emission Reduction Constraint
- Renewable Energy Integration Constraint
- Energy Storage Capacity Constraint
- Demand-Side Management Constraint
- Binary Constraint for Generator Unit Activation
| Algorithm 1 Pseudocode of the optimization model | |
| Power System Decarbonization Process | |
| Step 1 | Initialization Define main parameters: - Population size N - Maximum number of iterations or convergence criterion - Coefficient of variation of EECC < 5% - Parameters of genetic operators Initialize random solution population: Define binary variables: (installation of wind farm at node ) (ON/OFF status of generator at t) (activation of DR at node ) |
| Step 2 | Evaluation of each solution in the population For each individual x in the population: Wind simulation and wind power generation: Use ARMA model for Calculate wind power output: Load modeling and demand response: Modify load curve: |
| Step 3 | Calculation of optimization objectives Cost of Unserved Energy (EECC): Generation Cost (EGSC): Demand Response Cost (ELRC): Carbon Emissions (ECEC): |
| Step 4 | Verification of constraints Generation–demand balance: Technical loss limit: Generation limits: Load shedding: Generator activation: Demand response activation: |
| Step 5 | Solution selection Identify non-dominated solutions in the population |
| Step 6 | Fuzzy selection of the best solution For each individual x in the solution pool: For each objective : Normalize objective values Select the solution with the smallest error as optimal |
| Step 7 | Genetic Operators Apply selection, crossover, and mutation on the solution set |
| Step 8 | Convergence criterion If verification coefficient < 5% or iterations ≥ 100,000: Terminate algorithm Else: Update population and repeat from Step 2 |
| Step 9 | Final result Return the solution set and the best solution |
| Step 10 | End |
Methodological Novelty and Contribution
- Diagnosis is encoded as a calibrated baseline on the IEEE 24-bus system (demand growth, technology costs, and emission factors) that fixes the reference emission level and the unconstrained cost benchmark.
- Options are translated into policy/technology levers that enter the MILP as constraints and variables: emission caps (25) via factor x, minimum renewable share (26) via y, storage adequacy (27), and sectoral demand response bounds (28). This mapping makes qualitative strategy selectable and testable in a single optimization run.
- Decision is carried out through a multi-objective trade-off among (i) generation cost (EGSC, (23)), (ii) expected cost of energy not supplied (EECC, (18)), (iii) demand response program cost (ELRC, (24)), and (iv) carbon cost (ECEC, (22)). We use the fuzzy-ranking step in Algorithm 1 to select a single actionable plan from the non-dominated set.
3.2.3. Case Study
| Fuel | Technology | Cost | FOM |
|---|---|---|---|
| [$/MWh] | [$/MW] | ||
| Oil | Combustion turbine | 10.22 | 409 |
| Steam turbine | - | - | |
| Coal | Steam turbine | 24.52 | 1154 |
| Nuclear | Nuclear | 54.84 | 2117 |
| Hydro | Hydraulic turbine | 0.92 | 1535 |
| Wind | Wind turbine | 60 | 1477 |
| Fuel | Technology | Cost | VOM | Fuel | ElecT |
|---|---|---|---|---|---|
| [$/MWh] | [$/MWh] | [$/MWh] | [$/MWh] | ||
| Oil | Combustion turbine | 4.09 | 14.8 | 16.06 | 1.3 |
| Steam turbine | - | - | - | - | |
| Coal | Steam turbine | 3.07 | 40 | - | 0.8 |
| Nuclear | Nuclear | 0.43 | 0.4 | - | - |
| Hydro | Hydraulic turbine | 0.003 | - | - | - |
| Wind | Wind turbine | 26.67 | - | - | - |
| Fuel | Technology | CE | EC |
|---|---|---|---|
| [tonCO2/MWh] | [$/tonCO2] | ||
| Oil | Combustion turbine | 0.618 | 35 |
| Steam turbine | - | - | |
| Coal | Steam turbine | 0.743 | 35 |
| Nuclear | Nuclear steam | 0.835 | - |
| Water | Hydraulic turbine | - | - |
| Wind | Wind turbine | - | - |
Rationale for the Test System and Real-World Applicability
3.3. Sensitivity Analysis
4. Results Analysis
4.1. Current Situation Analysis

4.2. Gradual Emission Reduction Analysis

4.3. Accelerated Emission Reduction Analysis

4.4. Sensitivity Analysis to Carbon Pricing
4.4.1. Impact of Renewable Penetration Threshold
4.4.2. Discussion
4.5. Phase 4: Evaluation and Validation of the Energy Transition
4.5.1. Emission Reduction Evaluation
4.5.2. Cost Validation
5. Conclusions
Author Contributions
Funding
Data Availability Statement
Conflicts of Interest
Abbreviations
| ARMA | AutoRegressive Moving Average |
| BRP | Balance Responsible Party |
| CELEC EP | Corporación Eléctrica del Ecuador |
| CO2 | Carbon dioxide |
| DOD | Depth of Discharge |
| DR | Demand response |
| DSO | Distribution System Operator |
| ECEC | Electric Carbon Emissions Cost |
| EECC | Expected Energy Not Supplied Cost |
| EGSC | Electric Generation System Cost |
| ELRC | Electric Load Response Cost |
| EMF | Electromotive Force |
| HRES | Hybrid Renewable Energy Systems |
| HVAC | Heating, Ventilation, and Air Conditioning |
| IEEE | Institute of Electrical and Electronics Engineers |
| ICE | Internal combustion engine |
| MILP | Mixed-Integer Linear Programming |
| MVA | Megavolt-Ampere |
| MW | Megawatt |
| MWh | Megawatt-hour |
| NOCT | Nominal Operating Cell Temperature |
| SEP | Power Electric System |
| SOC | State of Charge |
| TOU | Time of Use |
| TSO | Transmission System Operator |
Appendix A. Technical Data of the Test System
| Unit # | Node | Pmaxi [MW] | Pmini [MW] | R+i [MW] | R−i [MW] | RUi [MW/h] | RDi [MW/h] | UT [h] | DT [h] |
|---|---|---|---|---|---|---|---|---|---|
| 1 | 1 | 152 | 30.4 | 40 | 40 | 120 | 120 | 8 | 4 |
| 2 | 2 | 152 | 30.4 | 40 | 40 | 120 | 120 | 8 | 4 |
| 3 | 7 | 350 | 75 | 70 | 70 | 350 | 350 | 8 | 8 |
| 4 | 13 | 591 | 206.85 | 180 | 180 | 240 | 240 | 12 | 10 |
| 5 | 15 | 60 | 12 | 60 | 60 | 60 | 60 | 4 | 2 |
| 6 | 15 | 155 | 54.25 | 30 | 30 | 155 | 155 | 8 | 8 |
| 7 | 16 | 155 | 54.25 | 30 | 30 | 155 | 155 | 8 | 8 |
| 8 | 18 | 400 | 100 | 0 | 0 | 280 | 280 | 1 | 1 |
| 9 | 21 | 400 | 100 | 0 | 0 | 280 | 280 | 1 | 1 |
| 10 | 22 | 300 | 300 | 0 | 0 | 300 | 300 | 0 | 0 |
| 11 | 23 | 310 | 108.5 | 60 | 60 | 180 | 180 | 8 | 8 |
| 12 | 23 | 350 | 140 | 40 | 40 | 240 | 240 | 8 | 8 |
| From | To | Reactance [p.u.] | Capacity [MVA] | From | To | Reactance [p.u.] | Capacity [MVA] |
|---|---|---|---|---|---|---|---|
| 1 | 2 | 0.0146 | 175 | 11 | 13 | 0.0488 | 500 |
| 1 | 3 | 0.2253 | 175 | 11 | 14 | 0.0426 | 500 |
| 1 | 5 | 0.0907 | 350 | 12 | 13 | 0.0488 | 500 |
| 2 | 4 | 0.1356 | 175 | 12 | 23 | 0.0985 | 500 |
| 2 | 6 | 0.2050 | 175 | 13 | 23 | 0.0884 | 500 |
| 3 | 24 | 0.0840 | 400 | 14 | 16 | 0.0110 | 500 |
| 4 | 9 | 0.2550 | 400 | 15 | 16 | 0.0172 | 500 |
| 5 | 10 | 0.0940 | 350 | 16 | 17 | 0.0920 | 500 |
| 6 | 10 | 0.0642 | 350 | 16 | 21 | 0.0529 | 500 |
| 7 | 8 | 0.0652 | 250 | 17 | 22 | 0.0233 | 500 |
| 8 | 9 | 0.1762 | 250 | 18 | 21 | 0.0669 | 500 |
| 9 | 10 | 0.0840 | 400 | 19 | 20 | 0.0203 | 1000 |
| 10 | 11 | 0.0840 | 400 | 22 | 23 | 0.0355 | 500 |
| 10 | 12 | 0.0840 | 400 | 21 | 22 | 0.0692 | 500 |
| Hour | System Demand [MW] | Hour | System Demand [MW] |
|---|---|---|---|
| 1 | 1775.835 | 13 | 2517.975 |
| 2 | 1669.815 | 14 | 2517.975 |
| 3 | 1590.3 | 15 | 2464.965 |
| 4 | 1563.795 | 16 | 2464.965 |
| 5 | 1563.795 | 17 | 2623.995 |
| 6 | 1590.3 | 18 | 2650.5 |
| 7 | 1961.37 | 19 | 2650.5 |
| 8 | 2279.43 | 20 | 2544.48 |
| 9 | 2517.975 | 21 | 2411.995 |
| 10 | 2544.48 | 22 | 2199.915 |
| 11 | 2544.48 | 23 | 1934.865 |
| 12 | 2517.975 | 24 | 1669.815 |
| Load # | Node | % of System Load | Load # | Node | % of System Load |
|---|---|---|---|---|---|
| 1 | 1 | 3.8 | 10 | 10 | 6.8 |
| 2 | 2 | 3.4 | 11 | 13 | 9.3 |
| 3 | 3 | 6.3 | 12 | 14 | 6.8 |
| 4 | 4 | 2.6 | 13 | 15 | 11.1 |
| 5 | 5 | 2.5 | 14 | 16 | 3.5 |
| 6 | 6 | 4.8 | 15 | 18 | 11.7 |
| 7 | 7 | 4.4 | 16 | 19 | 6.4 |
| 8 | 8 | 6.0 | 17 | 20 | 4.5 |
| 9 | 9 | 6.1 |
Appendix B. Plant Data Sheets
| MACHALA II THERMAL POWER PLANT | |
| SUPERVISOR: | CELEC-EP/TERMOMACHALA |
| TECHNOLOGY TYPE: | Gas Turbine |
| GENERAL DATA | |
| Country | Ecuador |
| Province | El Oro |
| City | Machala |
| TECHNICAL DATA | |
| Installed Capacity: | 252 MW |
| Type: | Gas Turbine (GT) |
| Number of Units: | 8 Units |
| Capacity per Unit: | 6 of 20 MW and 2 of 66 MW |
| Fuel Type: | Natural Gas |
| Plant Factor: | 37.50% |
| Average Energy: | 406.70 GWh/year |
| Gas Turbine | |
| Type: | General Electric |
| Model: | TM2500 |
| Frequency: | 60 Hz |
| TRINITARIA THERMAL POWER PLANT | |
| SUPERVISOR: | CELEC-EP/ELECTROGUAYAS |
| TECHNOLOGY TYPE: | Steam Turbine Thermal Plant |
| GENERAL DATA | |
| Country | Ecuador |
| Province | Guayas |
| City | Guayaquil |
| TECHNICAL DATA | |
| Installed Capacity: | 133 MW |
| Type: | Steam Turbine (ST) |
| Number of Units: | 1 Unit |
| Capacity per Unit: | 133 MW |
| Fuel Type: | Fuel Oil #4 |
| Efficiency: | 16% |
| Plant Factor: | 54.10% |
| Average Energy: | 629.50 GWh/year |
| Turbine | |
| Type: | DKY2-INDRI |
| Manufacturer: | ASEA BROWN BOVERI |
| Rated Power: | 133 MW |
| Frequency: | 60 Hz |
| Temperature: | 583 °C |
| Pressure: | 140 |
| Phases: | 3 |
| Poles: | 2 |
| Speed (RPM): | 3600 |
| GUANGOPOLO II THERMAL POWER PLANT | |
| SUPERVISOR: | CELEC-EP/TERMOPICHINCHA |
| TECHNOLOGY TYPE: | Internal Combustion Engine (ICE) |
| GENERAL DATA | |
| Country | Ecuador |
| Province | Pichincha |
| City | Quito |
| TECHNICAL DATA | |
| Installed Capacity: | 52.38 MW |
| Type: | ICE |
| Number of Units: | 7 Units |
| Capacity per Unit: | 8.73 MW |
| Fuel Type: | Diesel–Bunker |
| Plant Factor: | 3.82% |
| Average Energy: | 582.58 GWh/year |
| Engines | |
| Type: | MITSUBISHI-MAN |
| Rating: | 5,200 kW |
| Power Factor: | 0.80 |
| Type: | WÄRTSILÄ DIESEL |
| Model: | 8SW28 |
| Rating: | 1,980 kW |
| Frequency: | 60 Hz |
References
- Fu, P.; Pudjianto, D.; Zhang, X.; Strbac, G. Evaluating Strategies for Decarbonising the Transport Sector in Great Britain. In Proceedings of the 2019 IEEE Milan PowerTech, Milan, Italy, 23–27 June 2019; pp. 1–6. [Google Scholar] [CrossRef]
- Herenčić, L.; Melnjak, M.; Capuder, T.; Andročec, I.; Rajšl, I. Techno-economic and environmental assessment of energy vectors in decarbonization of energy islands. Energy Convers. Manag. 2021, 236, 114064. [Google Scholar] [CrossRef]
- Shen, X.; Li, S.; Li, H. Large-scale Offshore Wind Farm Electrical Collector System Planning: A Mixed-Integer Linear Programming Approach. In Proceedings of the 2021 IEEE 5th Conference on Energy Internet and Energy System Integration (EI2), Taiyuan, China, 22–24 October 2021; pp. 1248–1253. [Google Scholar] [CrossRef]
- Petrelli, M.; Fioriti, D.; Berizzi, A.; Poli, D. Multi-Year Planning of a Rural Microgrid Considering Storage Degradation. IEEE Trans. Power Syst. 2021, 36, 1459–1469. [Google Scholar] [CrossRef]
- Bornand, B.; Girardin, L.; Belfiore, F.; Robineau, J.L.; Bottallo, S.; Maréchal, F. Investment Planning Methodology for Complex Urban Energy Systems Applied to a Hospital Site. Front. Energy Res. 2020, 8, 537973. [Google Scholar] [CrossRef]
- Tran, T.H.; Mao, Y.; Siebers, P.O. Optimising Decarbonisation Investment for Firms towards Environmental Sustainability. Sustainability 2019, 11, 5718. [Google Scholar] [CrossRef]
- Bonthu, R.K.; Aguilera, R.P.; Pham, H.; Phung, M.D.; Ha, Q.P. Energy Cost Optimization in Microgrids Using Model Predictive Control and Mixed Integer Linear Programming. In Proceedings of the 2019 IEEE International Conference on Industrial Technology (ICIT), Melbourne, Australia, 13–15 February 2019. [Google Scholar] [CrossRef]
- Uberti, V.A.; Adeyanju, O.M.; Bernardon, D.P.; Abaide, A.R.; Pereira, P.R.; Prade, L.R. Linear Programming Applied to Expansion Planning of Power Transmission System. In Proceedings of the 2019 IEEE PES Innovative Smart Grid Technologies Conference—Latin America (ISGT Latin America), Gramado, Brazil, 15–18 September 2019; pp. 1–4. [Google Scholar] [CrossRef]
- dos Santos, C.; Rider, M.J.; Lyra, C. Optimized Integration of a Set of Small Renewable Sources Into a Bulk Power System. IEEE Trans. Power Syst. 2021, 36, 248–260. [Google Scholar] [CrossRef]
- Weber, C.; Furtwängler, C. Managing combined power and heat portfolios in sequential spot power markets under uncertainty. SSRN Electron. J. 2020. Available online: https://ssrn.com/abstract=3761126 (accessed on 1 June 2025).
- El Sayed, A.; Poyrazoglu, G.; Ahmed, E.E.E. Capacity Planning for Forming Sustainable and Cost-Effective Nanogrids. In Proceedings of the 2023 13th International Conference on Power, Energy and Electrical Engineering (CPEEE), Tokyo, Japan, 25–27 February 2023; pp. 217–222. [Google Scholar] [CrossRef]
- Pinzon, J.A.; Vergara, P.P.; da Silva, L.C.P.; Rider, M.J. Optimal Management of Energy Consumption and Comfort for Smart Buildings Operating in a Microgrid. IEEE Trans. Smart Grid 2019, 10, 3236–3247. [Google Scholar] [CrossRef]
- Melgar-Dominguez, O.D.; Pourakbari-Kasmaei, M.; Mantovani, J.R.S. Robust Short-Term Electrical Distribution Network Planning Considering Simultaneous Allocation of Renewable Energy Sources and Energy Storage Systems. In Robust Optimal Planning and Operation of Electrical Energy Systems; Springer International Publishing: Cham, Switzerland, 2019; pp. 145–175. [Google Scholar] [CrossRef]
- Hasnaoui, A.; Omari, A.; Azzouz, Z.E. Optimization of Building Energy based on Mixed Integer Linear Programming. In Proceedings of the 2022 2nd International Conference on Advanced Electrical Engineering (ICAEE), Constantine, Algeria, 29–31 October 2022; pp. 1–6. [Google Scholar] [CrossRef]
- Silva, J.A.A.; López, J.C.; Arias, N.B.; Rider, M.J.; da Silva, L.C.P. An optimal stochastic energy management system for resilient microgrids. Appl. Energy 2021, 300, 117435. [Google Scholar] [CrossRef]
- Cerchio, M.; Gullì, F.; Repetto, M.; Sanfilippo, A. Hybrid Energy Network Management: Simulation and Optimisation of Large Scale PV Coupled with Hydrogen Generation. Electronics 2020, 9, 1734. [Google Scholar] [CrossRef]
- Pombo, D.V.; Martinez-Rico, J.; Carrion, M.; Cañas-Carreton, M. A Computationally Efficient Formulation for a Flexibility Enabling Generation Expansion Planning. IEEE Trans. Smart Grid 2023, 14, 2723–2733. [Google Scholar] [CrossRef]
- Basto-Gil, J.; Maldonado-Cardenas, A.; Montoya, O. Optimal Selection and Integration of Batteries and Renewable Generators in DC Distribution Systems through a Mixed-Integer Convex Formulation. Electronics 2022, 11, 3139. [Google Scholar] [CrossRef]
- Weimann, L.; Gabrielli, P.; Boldrini, A.; Kramer, G.J.; Gazzani, M. On the role of H2 storage and conversion for wind power production in the Netherlands. In Proceedings of the Computer Aided Chemical Engineering, Florence, Italy, 31 August–4 September 2019; pp. 1627–1632. [Google Scholar] [CrossRef]
- Neumann, F.; Brown, T. Heuristics for Transmission Expansion Planning in Low-Carbon Energy System Models. In Proceedings of the 2019 16th International Conference on the European Energy Market (EEM), Ljubljana, Slovenia, 18–20 September 2019; pp. 1–8. [Google Scholar] [CrossRef]
- Li, C.; Conejo, A.J.; Liu, P.; Omell, B.P.; Siirola, J.D.; Grossmann, I.E. Mixed-integer linear programming models and algorithms for generation and transmission expansion planning of power systems. Eur. J. Oper. Res. 2022, 297, 1071–1082. [Google Scholar] [CrossRef]
- Mallégol, A.; Khannoussi, A.; Mohammadi, M.; Lacarrière, B.; Meyer, P. Handling Non-Linearities in Modelling the Optimal Design and Operation of a Multi-Energy System. Mathematics 2023, 11, 4855. [Google Scholar] [CrossRef]
- Fleschutz, M.; Bohlayer, M.; Braun, M.; Murphy, M.D. Demand Response Analysis Framework (DRAF): An Open-Source Multi-Objective Decision Support Tool for Decarbonizing Local Multi-Energy Systems. Sustainability 2022, 14, 8025. [Google Scholar] [CrossRef]
- Bianco, V.; Driha, O.M.; Sevilla-Jiménez, M. Effects of renewables deployment in the Spanish electricity generation sector. Util. Policy 2019, 56, 72–81. [Google Scholar] [CrossRef]
- Dyson, M. Sharpening Focus on a Global Low-Carbon Future. Joule 2017, 1, 15–17. [Google Scholar] [CrossRef]
- Farnsworth, A.; Gençer, E. Highlighting regional decarbonization challenges with novel capacity expansion model. Clean. Energy Syst. 2023, 5, 100078. [Google Scholar] [CrossRef]
- Sari, A.; Akkaya, M. Contribution of Renewable Energy Potential to Sustainable Employment. Procedia-Soc. Behav. Sci. 2016, 229, 316–325. [Google Scholar] [CrossRef][Green Version]
- Mercure, J.F.; Pollitt, H.; Bassi, A.M.; Viñuales, J.E.; Edwards, N.R. Modelling complex systems of heterogeneous agents to better design sustainability transitions policy. Glob. Environ. Change 2016, 37, 102–115. [Google Scholar] [CrossRef]
- Erdiwansyah; Mahidin; Husin, H.; Nasaruddin; Zaki, M.; Muhibbuddin. A critical review of the integration of renewable energy sources with various technologies. Prot. Control Mod. Power Syst. 2021, 6, 3. [Google Scholar] [CrossRef]
- Agencia de Regulación y Control de Energía y Recursos Naturales No Renovables. Estadística Anual y Multianual del Sector Eléctrico Ecuatoriano; Technical Report; Agencia de Regulación y Control de Energía y Recursos Naturales No Renovables: Quito, Ecuador, 2023. [Google Scholar]
- Chiavenato, I.; Sapiro, A. Planeación Estratégica. Fundamentos y Aplicaciones; McGRAW-HILL: New York, NY, USA, 2017. [Google Scholar]
- Mintzberg, H.; Ahlstrand, B.; Lampel, J. Safari a la Estrategia. Una visita Guiada por la Jungla del Management Estratégico; Granica: Buenos Aires, Argentina, 2024. [Google Scholar]
- Secretaría Nacional de Planificación y Desarrollo. Plan Nacional de Desarrollo 2017–2021-Toda Una Vida; Technical Report; Secretaría Nacional de Planificación y Desarrollo: Quito, Ecuador, 2017. [Google Scholar]
- Franke, G.; Schneider, M.; Weitzel, T.; Rinderknecht, S. Stochastic Optimization Model for Energy Management of a Hybrid Microgrid using Mixed Integer Linear Programming. IFAC-PapersOnLine 2020, 53, 12948–12955. [Google Scholar] [CrossRef]
- Pardo, R.A.; López-Lezama, J.M. Power system restoration using a mixed integer linear programming model. Inf. Tecnológica 2021, 31, 147–158. [Google Scholar] [CrossRef]
- Cosic, A.; Stadler, M.; Mansoor, M.; Zellinger, M. Mixed-integer linear programming based optimization strategies for renewable energy communities. Energy 2021, 237, 121559. [Google Scholar] [CrossRef]
- Vahid-Ghavidel, M.; Javadi, M.S.; Gough, M.; Santos, S.F.; Shafie-Khah, M.; Catalão, J.P.S. Demand response programs in multi-energy systems: A review. Energies 2020, 13, 4332. [Google Scholar] [CrossRef]
- Ko, W.; Vettikalladi, H.; Song, S.H.; Choi, H.J. Implementation of a demand-side management solution for South Korea’s demand response program. Appl. Sci. 2020, 10, 1751. [Google Scholar] [CrossRef]
- Ma, Z.; Billanes, J.D.; Jørgensen, B.N. Aggregation potentials for buildings-Business models of demand response and virtual power plants. Energies 2017, 10, 1646. [Google Scholar] [CrossRef]
- Lamprinos, I.; Hatziargyriou, N.D.; Kokos, I.; Dimeas, A.D. Making Demand Response a Reality in Europe: Policy, Regulations, and Deployment Status. IEEE Commun. Mag. 2016, 54, 108–113. [Google Scholar] [CrossRef]
- Khoo, W.C.; Teh, J.; Lai, C.M. Integration of Wind and Demand Response for Optimum Generation Reliability, Cost and Carbon Emission. IEEE Access 2020, 8, 183606–183618. [Google Scholar] [CrossRef]
- Lee, D.S.; Kim, B.G.; Kwon, S.K. Efficient Depth Data Coding Method Based on Plane Modeling for Intra Prediction. IEEE Access 2021, 9, 29153–29164. [Google Scholar] [CrossRef]
- Páez, B. Análisis de los Escenarios Respecto al Crecimiento de las Energías no Convencionales en el Ecuador Para el año 2030. Master’s Thesis, Escuela Politécnica Nacional, Quito, Ecuador, 2023. [Google Scholar]
- Adefarati, T.; Bansal, R.C. Integration of renewable distributed generators into the distribution system: A review. IET Renew. Power Gener. 2016, 10, 873–884. [Google Scholar] [CrossRef]
- Haegel, N.; Kurtz, S. Global Progress Toward Renewable Electricity: Tracking the Role of Solar. IEEE J. Photovoltaics 2021, 11, 1335–1342. [Google Scholar] [CrossRef]
- Kuma, J.; Ashley, D. Runoff estimates into the Weija reservoir and its implications for water supply to the Accra area, Ghana. J. Urban Environ. Eng. 2013, 2, 33–40. [Google Scholar] [CrossRef]
- Chen, Z.; Wang, Y.; Zhang, X. Energy and exergy analyses of S–CO2 coal-fired power plant with reheating processes. Energy 2020, 211, 118651. [Google Scholar] [CrossRef]
- CENACE. Informe Anual CENACE. Technical Report. 2018. Available online: https://www.cenace.gob.ec/informe-anual-2018/ (accessed on 15 September 2025).
- Ostman, F.; Toivonen, H.T. Adaptive Cylinder Balancing of Internal Combustion Engines. IEEE Trans. Control Syst. Technol. 2011, 19, 782–791. [Google Scholar] [CrossRef]
- Pereira, F.; Silva, C. Combustion of Emulsions in Internal Combustion Engines and Reduction of Pollutant Emissions in Isolated Electricity Systems. Energies 2022, 15, 8053. [Google Scholar] [CrossRef]
- Kumar, R.R.; Pandey, K.M. Static Structural and Modal Analysis of Gas Turbine Blade. IOP Conf. Ser. Mater. Sci. Eng. 2017, 225, 012102. [Google Scholar] [CrossRef]
- Tukur, N.; Osigwe, E.O. A model for booster station matching of gas turbine and gas compressor power under different ambient conditions. Heliyon 2021, 7, e07222. [Google Scholar] [CrossRef]
- Milovanović, Z.N.; Papić, L.R.; Milovanović, S.Z.; Janičić Milovanović, V.Z.; Dumonjić-Milovanović, S.R.; Branković, D.L. Qualitative analysis in the reliability assessment of the steam turbine plant. In The Handbook of Reliability, Maintenance, and System Safety through Mathematical Modeling; Elsevier: Amsterdam, The Netherlands, 2021; pp. 179–313. [Google Scholar] [CrossRef]
- Plazas-Niño, F.A.; Ortiz-Pimiento, N.R.; Montes-Páez, E.G. National energy system optimization modelling for decarbonization pathways analysis: A systematic literature review. Renew. Sustain. Energy Rev. 2022, 162, 112406. [Google Scholar] [CrossRef]
- Hou, J.; Guo, J.; Liu, J. An economic load dispatch of wind-thermal power system by using virtual power plants. In Proceedings of the Chinese Control Conference, Chengdu, China, 27–29 July 2016; pp. 8704–8709. [Google Scholar] [CrossRef]
- Cao, C.; Xie, J.; Yue, D.; Zhao, J.; Xiao, Y.; Wang, L. A distributed gradient algorithm based economic dispatch strategy for virtual power plant. In Proceedings of the Chinese Control Conference, Chengdu, China, 27–29 July 2016; pp. 7826–7831. [Google Scholar] [CrossRef]
- Ahmad, J.; Imran, M.; Khalid, A.; Iqbal, W.; Ashraf, S.R.; Adnan, M.; Ali, S.F.; Khokhar, K.S. Techno economic analysis of a wind-photovoltaic-biomass hybrid renewable energy system for rural electrification: A case study of Kallar Kahar. Energy 2018, 148, 208–234. [Google Scholar] [CrossRef]
- Mehrpooya, M.; Mohammadi, M.; Ahmadi, E. Techno-economic-environmental study of hybrid power supply system: A case study in Iran. Sustain. Energy Technol. Assessments 2018, 25, 1–10. [Google Scholar] [CrossRef]
- Escobar, G.B.A. Óptima Respuesta a la Demanda y Despacho Económico de Energía Eléctrica en Micro Redes Basados en Árboles de Decisión Estocástica. Master’s Thesis, Universidad Politécnica Salesiana, Cuenca, Spain, 2018. [Google Scholar]
- Moyón, R.A.F. Planeación de Despacho Óptimo de Plantas Virtuales de Generación en Sistemas Eléctricos de Potencia Mediante Flujos Óptimos de Potencia AC. Master’s Thesis, Universidad Politécnica Salesiana, Cuenca, Spain, 2020. [Google Scholar]
- Hosseinalizadeh, R.; Shakouri, H.; Amalnick, M.S.; Taghipour, P. Economic sizing of a hybrid (PV–WT–FC) renewable energy system (HRES) for stand-alone usages by an optimization-simulation model: Case study of Iran. Renew. Sustain. Energy Rev. 2016, 54, 139–150. [Google Scholar] [CrossRef]
- Al-Shamma’a, A.A.; Alturki, F.A.; Farh, H.M.H. Techno-economic assessment for energy transition from diesel-based to hybrid energy system-based off-grids in Saudi Arabia. Energy Transitions 2020, 4, 31–43. [Google Scholar] [CrossRef]
- Lao, C.; Chungpaibulpatana, S. Techno-economic analysis of hybrid system for rural electrification in Cambodia. Energy Procedia 2017, 138, 524–529. [Google Scholar] [CrossRef]
- Carlos, B.; Félix, G.T.; Miguel, A.R. Model Predictive Control of Microgrids; Springer: Cham, Switzerland, 2019. [Google Scholar]
- Murnane, M.; Ghazel, A. A Closer Look at State of Charge (SOC) and State of Health (SOH) Estimation Techniques for Batteries; Technical Report; Analog Devices, Inc.: Norwood, MA, USA, 2017. [Google Scholar]

















| Plants | Energy Sources | Nominal Capacity [MW] | Effective Capacity [MW] |
|---|---|---|---|
| Hydropower | Renewable | 5106.85 | 5072.26 |
| Photovoltaic | Renewable | 27.70 | 26.80 |
| Wind | Renewable | 21.20 | 21.20 |
| Biogas | Renewable | 8.40 | 7.25 |
| Biomass | Renewable | 144.40 | 136.45 |
| Thermal | Non-renewable | 3426.15 | 2836.90 |
| Actors | Offers | Users |
|---|---|---|
| BRP | Energy loss payments; Market access; DR incentives | Consumer |
| Aggregator | Ancillary services; Tariffs; Grid balancing services | TSO; DSO |
| Supplier/Retailer | Incentive packages and contracts for implicit DR programs; DR incentives | Consumers |
| Regulator | DR regulations; Knowledge for DR management | All actors |
| Consumer | Demand profile; Direct control; Large consumers can provide flexibility directly | Aggregator; Supplier/Retailer; DR market |
| Symbol | Description | Unit |
|---|---|---|
| N | Population size | - |
| Wind penetration coefficients for each generator | - | |
| Percentage of load to be shifted in each load sector | - | |
| Wind speed | m/s | |
| Cut-in, rated, and cut-out wind speeds of the turbine | m/s | |
| Rated power of the wind turbine | MW | |
| Coefficients of the wind power function | - | |
| Load demand at time t | MW | |
| Power shifted by demand response | MW | |
| Set of simulation periods | - | |
| Power generated by the wind farm | MW | |
| Unserved energy losses | MW | |
| Value of Lost Load | $/MW | |
| Energy reduced by demand response | MWh | |
| Incentive cost for load reduction | $ | |
| Oil-fired generation cost | $/MWh | |
| Fixed cost of oil-fired generation | $ | |
| Energy generated with oil | MWh | |
| Oil generation emission factors | ton CO2/MWh | |
| Power generated by unit g | MW | |
| Power demanded in sector l | MW | |
| Minimum and maximum generation limits | MW |
| Fuel | Technology | Node | Capacity [MW] |
|---|---|---|---|
| Oil | Combustion turbine | 1 | 40 |
| 2 | 40 | ||
| Steam turbine | 7 | 300 | |
| 13 | 591 | ||
| 15 | 60 | ||
| Coal | Steam turbine | 15 | 155 |
| 16 | 155 | ||
| 23 | 660 | ||
| Nuclear | Nuclear steam | 18 | 400 |
| 21 | 400 | ||
| Water | Hydraulic turbine | 22 | 300 |
| Load Type | IC |
|---|---|
| [$/MWh] | |
| Residential | 150 |
| Industrial | 13,930 |
| Commercial | 12,870 |
| Large consumers | 13,930 |
| Agriculture | 650 |
| Government | 3460 |
| Office | 3460 |
| Dimension | Real-World Range (Reference) | Model Treatment | Input Used |
|---|---|---|---|
| Demand growth | 0.8–1.6%/year | Scaled hourly profile with compound growth | 1.2%/year baseline |
| Carbon price ($/tCO2) | 0–100+ | Scenario parameter | {0, 25, 50, 100} |
| Hydro share | 30–70% of energy | Hydro units modeled with annual energy budget | 45% baseline |
| Oil/coal heat rates | Technology-specific | Reflected in fuel + VOM costs | As in Table 5 and Table 6 |
| Wind capacity factor | 28–40% | Hourly availability profile | 33% mean, 0.15 std |
| Storage round-trip efficiency | 0.75–0.90 | Charging/discharging efficiencies | 0.85 (base), 0.75–0.90 (sensitivity) |
| Scenario | Total Cost | Emissions | Main Effect |
|---|---|---|---|
| /t | –6% to –12% | –18% to –25% | Acceleration of oil-to-hydro/wind shift |
| /t | –10% to –20% | –30% to –45% | Coal curtailed; storage and DR gain importance |
| /t | –20% to –35% | –55% to –70% | Fossil almost eliminated except peaking |
| –4% to –8% | –12% to –18% | Integration feasible with moderate curtailment | |
| –7% to –14% | –20% to –30% | Transmission congestion becomes binding | |
| /y | –3% to –5% | –4% to –6% | Lower demand reduces peaking requirements |
| /y | +4% to +7% | +5% to +9% | Higher demand increases reliance on DR |
| +2% to +4% | +1% to +3% | Reduced arbitrage efficiency of storage | |
| –2% to –3% | –2% to –4% | Enhanced renewable absorption |
| Scenario | CO2 Emissions [tCO2] | Reduction [%] | Annual Cost [$] |
|---|---|---|---|
| Base case | 26,000 | 0.0 | 90,000 |
| Gradual transition (20 years) | 22,000 | 15.38 | 40,000 + 600 (emissions) |
| Accelerated transition (10 years) | 6,171 | 75.0 | 48,000 + 150 (emissions) |
Disclaimer/Publisher’s Note: The statements, opinions and data contained in all publications are solely those of the individual author(s) and contributor(s) and not of MDPI and/or the editor(s). MDPI and/or the editor(s) disclaim responsibility for any injury to people or property resulting from any ideas, methods, instructions or products referred to in the content. |
© 2025 by the authors. Licensee MDPI, Basel, Switzerland. This article is an open access article distributed under the terms and conditions of the Creative Commons Attribution (CC BY) license (https://creativecommons.org/licenses/by/4.0/).
Share and Cite
Valdez Castro, J.M.; Aguila Téllez, A. Strategic Planning for Power System Decarbonization Using Mixed-Integer Linear Programming and the William Newman Model. Energies 2025, 18, 5018. https://doi.org/10.3390/en18185018
Valdez Castro JM, Aguila Téllez A. Strategic Planning for Power System Decarbonization Using Mixed-Integer Linear Programming and the William Newman Model. Energies. 2025; 18(18):5018. https://doi.org/10.3390/en18185018
Chicago/Turabian StyleValdez Castro, Jairo Mateo, and Alexander Aguila Téllez. 2025. "Strategic Planning for Power System Decarbonization Using Mixed-Integer Linear Programming and the William Newman Model" Energies 18, no. 18: 5018. https://doi.org/10.3390/en18185018
APA StyleValdez Castro, J. M., & Aguila Téllez, A. (2025). Strategic Planning for Power System Decarbonization Using Mixed-Integer Linear Programming and the William Newman Model. Energies, 18(18), 5018. https://doi.org/10.3390/en18185018
