Lithofacies Characteristics of Point Bars and Their Control on Incremental Oil Recovery Distribution During Surfactant–Polymer Flooding: A Case Study from the Gudao Oilfield
Abstract
1. Introduction
2. Materials and Methods
2.1. Lithofacies Characterization
2.2. Parameterization of the Mechanistic Model
3. Geological Overview
4. Results
4.1. Lithofacies Types and Characteristics
4.1.1. Lithofacies Classification Scheme
4.1.2. Characteristics of the Point Bar Medium Sandstone Facies
4.1.3. Characteristics of the Point Bar Fine Sandstone Facies
4.1.4. Characteristics of the Point Bar Siltstone Facies
4.1.5. Lithofacies Variations and Genetic Linkages
4.2. Lithofacies Depositional Model of Point Bar Sand Bodies in a Meandering River
5. Discussion
5.1. Development of a Conceptual Model for Numerical Simulation
5.2. Lithofacies-Controlled Flow Dynamics and Synergistic Mechanisms of Surfactant–Polymer Flooding
6. Conclusions
- (1)
- The upward-fining vertical lithofacies assemblages of meandering river point bar sand bodies lead to the development of preferential flow channels in high-permeability point bar medium sandstone facies, where waterflooding achieves high sweep efficiency with minimal remaining oil. Conversely, low-permeability portions of the point bar fine sandstone facies and the siltstone facies, constrained by percolation barrier effects, become primary remaining oil enrichment zones and key targets for incremental oil recovery during SP flooding.
- (2)
- The framework is governed by petrophysical heterogeneities: flow baffles (point bar siltstone facies) and preferential pathways (point bar medium sandstone facies) form the hydraulic foundation for chemical agent deployment. Polymers force fluid diversion into low-permeability lithofacies through viscoelastic effects, while surfactants preferentially strip residual oil from high-permeability lithofacies. Their synergistic interaction generates the characteristic spatial differentiation pattern of affected remaining oil.
- (3)
- The spatial distribution of incremental oil recovery exhibits marked heterogeneity: low-permeability lithofacies-dominated “spindle-shaped” sweep improvement zones concentrate in the siltstone facies and low-permeability sections of the fine sandstone facies, whereas high-permeability lithofacies-governed “dam-shaped” displacement efficiency enhancement zones distribute within high-permeability point bar medium sandstone facies near injection wells.
Author Contributions
Funding
Data Availability Statement
Conflicts of Interest
References
- Zhang, S.; Lv, Q.; Wang, J.; Liu, L.; Yu, C.; Ji, Y.; Wu, Y.; Hu, H.; Tao, D.; Zhang, M. Research and practice on deep development technology through flow field regulation in reservoirs with medium-high permeability and high water cut in Shengli Oilfield. Pet. Geol. Recover. Eff. 2025, 32, 88–101. [Google Scholar]
- Lv, J.; Sun, Y.; Liu, L.; Tao, D.; Liu, H.; Chen, D.; Li, X. Research of the distribution rule of high water consumption zone in positive rhythm water-drive reservoir. In Proceedings of the 2021 International Field Exploration and Development Conference, Qingdao, China, 16–18 September 2021; pp. 980–988. [Google Scholar]
- Cui, C.; Han, X.; Bing, S.; Huang, Y.; Li, W.; Liu, L.; Wu, Z. Characterization indexes and grading method of water-consumption zones in waterflooding oil reservoirs during high water cut period. Pet. Geol. Recover. Eff. 2022, 29, 85–91. [Google Scholar]
- Yue, D.; Wu, S.; Cheng, H.; Yu, Y. Numerical reservoir simulation and remaining oil distribution patterns based on 3D reservoir architecture model. J. China Univ. Pet. Ed. Nat. Sci. 2008, 32, 21–27. [Google Scholar]
- Yin, S.; Chen, G.; Dai, C.; Wu, S.; Lu, F.; Feng, W. Reservoir architecture and remaining oil distribution in mouth bar-A case study on the braided delta of long-axis gentle slope in Zaonan fault block of Dagang Oilfield. Oil Gas Geol. 2015, 36, 630–639. [Google Scholar]
- Li, Y.; Wu, S.; Hou, J.; Liu, J. Progress and prospects of reservoir development geology. Pet. Explor. Dev. 2017, 44, 569–579. [Google Scholar] [CrossRef]
- Guo, J.; Liu, Y. Model of sequence stratum of Neogene of Jiyang depression. J. China Univ. Pet. Ed. Nat. Sci. 2008, 32, 18. [Google Scholar]
- Yao, X.; Gai, L.; Cui, C.; Wu, Z.; Wang, C.; Ma, J. Variation Laws of Reservoir Physical Properties and Remaining Oil Distributions after Various Displacement Methods: Taking 11-Jian 11 Well Area of Ng3 Unit of Zhong 1 Block of GD Oilfield as an Example. Sci. Technol. Eng. 2023, 23, 1488–1493. [Google Scholar]
- Li, Q.; Li, Q.; Wang, F.; Xu, N.; Wang, Y.; Bai, B. Settling behavior and mechanism analysis of kaolinite as a fracture proppant of hydrocarbon reservoirs in CO2 fracturing fluid. Colloids Surf. A Physicochem. Eng. Asp. 2025, 724, 137463. [Google Scholar] [CrossRef]
- Qingchao, L.; Jingjuan, W.; Qiang, L.; Fuling, W.; Yuanfang, C. Sediment Instability Caused by Gas Production from Hydrate-Bearing Sediment in Northern South China Sea by Horizontal Wellbore: Sensitivity Analysis. Nat. Resour. Res. 2025, 34, 1667–1699. [Google Scholar] [CrossRef]
- Hernandez, C.; Chacon, L.J.; Anselmi, L. ASP system design for an offshore application in La Salina Field, Lake Maracaibo. SPE Reserv. Eval. Eng. 2003, 6, 147–156. [Google Scholar] [CrossRef]
- Carrero, E.; Queipo, N.V.; Pintos, S.; Zerpa, L.E. Global sensitivity analysis of alkali–surfactant–polymer enhanced oil recovery processes. J. Pet. Sci. Eng 2007, 58, 30–42. [Google Scholar] [CrossRef]
- Wang, H.; Zhang, B.; Zhang, J.; Tu, W.; Zhang, L.; Zhang, W. Study on Scale Inhibitors for ASP Combinational Flooding Solution Developed in Shengli Oil Fields. Oilfield Chem. 2005, 22, 252–254. [Google Scholar]
- Zhang, L.; Xiao, H.; Zhang, H.; Xu, L.; Zhang, D. Optimal design of a novel oilwater separator for raw oil produced from ASP flooding. J. Pet. Sci. Eng. 2007, 59, 213–218. [Google Scholar] [CrossRef]
- Wang, H.; Cao, X.; Zhang, J.; Zhang, A. Development and application of dilute surfactant–polymer flooding system for Shengli oilfield. J. Pet. Sci. Eng. 2009, 65, 45–50. [Google Scholar] [CrossRef]
- Salager, J.L.; Mongan, J.C. Optimum formulation of surfactant/water/oil system for minimum interfacial tension or phase behavior. Soc. Pet. Eng. J. 1979, 19, 107–115. [Google Scholar] [CrossRef]
- Liu, P.; Zhang, L.; Huang, Z.; Song, G. Sequence stratigraphic framework and favorable zone prediction in Guantao Formation of Raoyang sag, Bohai Bay Basin. J. China Univ. Pet. Ed. Nat. Sci. 2014, 38, 17–24. [Google Scholar]
- Xiong, J. The Sedimentary Characteristics of Guan 1 + 2 Sand Member in the Fault Block of B82-B19 of Gudao Oilfiled. Master’s Thesis, China University of Petroleum (EastChina), Qingdao, China, 2011. [Google Scholar]
- Lin, H.; Fang, X.; Li, L.; Lin, Y.; Liu, H.; Li, W.; Wu, Z. Development of buried hills of the eastern Zhanhua subbasin, Jiyang depression, northern Shandong, China and controlling factors of the formation of petroleum accumulations. Geol. Bull. China 2006, 25, 1160–1167. [Google Scholar]
- Li, Y.; Wang, W.; Wang, G.; Xie, Y.; Li, H. Neotectonic characteristics and hydrocarbon accumulation controls in the Huanghua Depression, Bohai Bay Basin. J. Northeast Pet. Univ. 2019, 43, 94–104+10–11. [Google Scholar]
- Shu, Q. Interlayer characterization of fluvial reservoir in Guantao Formation of Gudao Oilfield. Acta Pet. Sin. 2006, 27, 100–103. [Google Scholar]
- Cheng, P. Researching on the Distribution of Reservoir Sand Body of the 3–4 Section of the 72 Block of Gudao Oilfield. Master’s Thesis, China University of Petroleum, Beijing, China, 2017. [Google Scholar]
- Yue, D.; Wu, S.; Tan, H.; Yu, D.; Jiang, X.; Liu, S. An anatomy of paleochannel reservoir architecture of meandering river reservoir-a case study of Guantao formation, the west 7th block of Gudong oilfield. Earth Sci. Front. 2008, 15, 101–109. [Google Scholar]
- Liu, R. Study on the Sand Body Architecture of Complex Meandering Belt and Its Control Action on the Remaining Oil Distribution-A Case Study of Neogene GuantaoNg3 Formation in Zhongyi area, Gudao Oilfield. Ph.D. Thesis, Northeast Petroleum University, Daqing, China, 2022. [Google Scholar]
- Lu, X. Principles of Sedimentary Petrology; Geological Publishing House: Beijing, China, 1955; pp. 1–174. [Google Scholar]
- Editorial Committee of Encyclopedia of Geosciences. Encyclopedia of Geosciences: Basic Disciplines; Geological Publishing House: Beijing, China, 2006; pp. 1–1173. [Google Scholar]
- Feng, Z. A review on the definitions of terms of sedimentary facies. J. Palaeogeogr. 2020, 22, 207–220. [Google Scholar] [CrossRef]
- Feng, Z. Some new thoughts on definitions of terms of sedimentary facies: Based on Miall’s paper (1985). J. Palaeogeogr. 2022, 24, 183–190. [Google Scholar] [CrossRef]
- Miall, A.D. A review of the braided-river depositional environment. Earth-Sci. Rev. 1977, 13, 1–62. [Google Scholar] [CrossRef]
- Best, J.; Bridge, J. The morphology and dynamics of low amplitude bed waves upon upper stage plane beds and the preservation of planar laminae. Sedimentology 1992, 39, 737–752. [Google Scholar] [CrossRef]
- Bridge, J.S.; Best, J.I. Preservation of planar laminae due to migration of low-relief bed waves over aggrading upper-stage plane beds: Comparison of experimental data with theory. Sedimentology 1997, 44, 253–262. [Google Scholar] [CrossRef]
- Ma, S.; Yang, Q. Depositional model, 3D architecture, and heterogeneity of meandering point bar reservoirs. Acta Sedimentol. Sin. 2000, 2, 241–247. [Google Scholar]
- Allen, J.R.L. Studies in fluviatile sedimentation: A comparison of fining-upwards cyclothems, with special reference to coarsemember composition and interpretation. J. Sediment. Petrol. 1970, 40, 298–323. [Google Scholar]
- Walker, R.G. Facies Models, 2nd ed.; Geoscience Canda: Ottawa, ON, Canda, 1984; pp. 71–91. [Google Scholar]
- Hou, J.; Du, Q.; Shu, Q.; Zhang, B.; Gao, D. Macroscopic response mechanism and distribution rules of remaining oil in polymer flooding. Acta Pet. Sin. 2010, 31, 96–99. [Google Scholar]
- Hou, J.; Pan, G.; Lu, X.; Wei, C.; Qiu, M. The distribution characteristics of additional extracted oil displaced by surfactant–polymer flooding and its genetic mechanisms. J. Pet. Sci. Eng. 2013, 112, 322–334. [Google Scholar] [CrossRef]















| Lithofacies | Porosity Range (Average) % | Permeability Range (Average) mD | Sample Size |
|---|---|---|---|
| Point bar medium sandstone facies | 34.0–40.0 (37.2) | 2500–20,000 (8500) | 38 |
| Point bar fine sandstone facies | 28.0–37.0 (34.2) | 800–2500 (1760) | 69 |
| Point bar siltstone facies | 22.0–30.0 (27.8) | 100–600 (500) | 49 |
| Parameters | Value | Unit |
|---|---|---|
| Porosity | 24.3–38.6 | % |
| Permeability | 100–20,000 | mD |
| Oil Viscosity | 45 | Cp |
| Reservoir Temperature | 68 | °C |
| Initial Oil Saturation | 65 | % |
| Formation Water Salinity | 4870 | Mg/L |
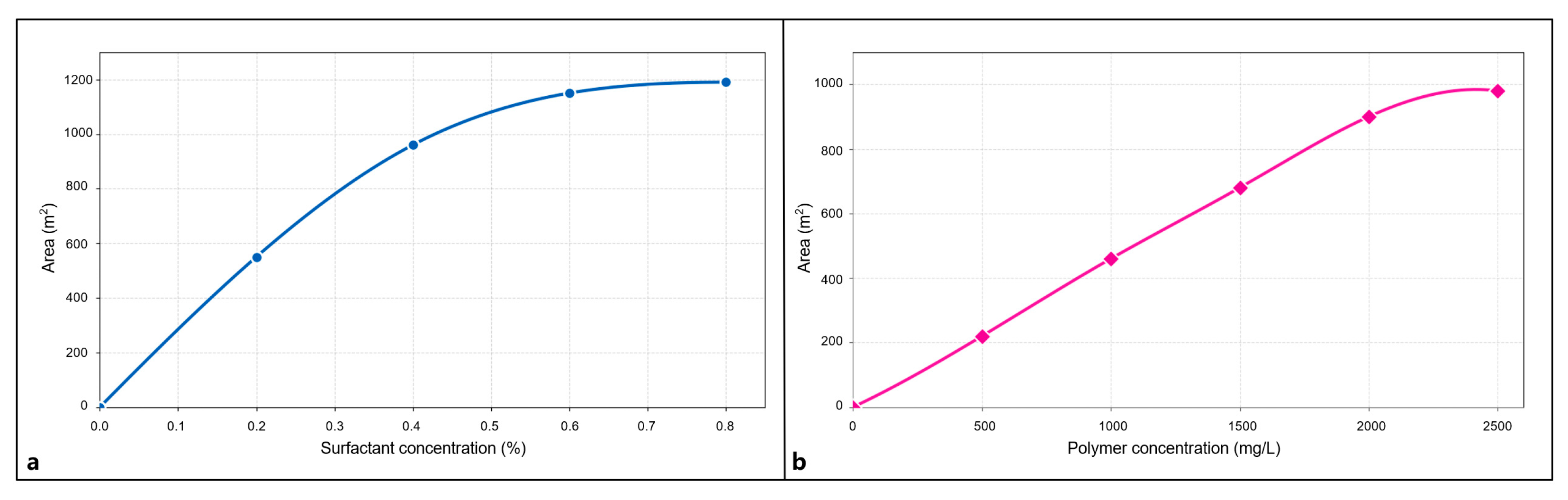
| Concentration (mg/L) | Viscosity (mPa.s) | Concentration (mg/L) | Adsorption Capacity (kg/m3) | Shear Rate (1/S) | Viscosity (mPa.s) |
|---|---|---|---|---|---|
| 1000 | 19.5 | 0 | 0.000 | 0.137 | 169 |
| 1500 | 40.0 | 500 | 0.156 | 0.298 | 159 |
| 2000 | 71.6 | 1000 | 0.360 | 0.557 | 145 |
| 2500 | 115.6 | 1500 | 0.390 | 1.04 | 113 |
| 3000 | 176.3 | 2000 | 0.404 | 2.27 | 80.5 |
| 2500 | 0.410 | 5.0 | 55.9 |
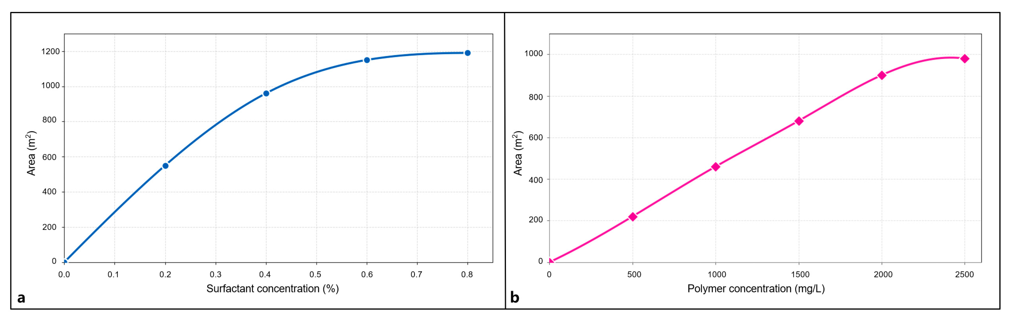
| Concentration (%) | Interfacial Tension (dyne/cm) | Concentration (%) | Adsorption Capacity (kg/m3) |
|---|---|---|---|
| 0.00 | 10.0000 | 0.00 | 0.000 |
| 0.15 | 0.0104 | 0.05 | 1.894 |
| 0.30 | 0.0024 | 0.10 | 3.883 |
| 0.40 | 0.0023 | 0.15 | 4.950 |
| 0.50 | 0.0030 | 0.20 | 5.901 |
| 0.60 | 0.0066 | 0.25 | 5.987 |
| 0.70 | 0.0086 | 0.30 | 6.814 |
| 0.40 | 6.754 | ||
| 0.50 | 7.106 | ||
| 0.80 | 8.475 | ||
| 1.00 | 8.730 |
| Characteristics | Point Bar Medium Sandstone Facies | Point Bar Fine Sandstone Facies | Point Bar Siltstone Facies |
|---|---|---|---|
| Vertical Position | Base | Middle | Top |
| Avg. Porosity (%) | 37.2 (Ultra-High) | 34.2 (High) | 27.8 (Moderate) |
| Avg. Permeability (mD) | 8500 (Ultra-High) | 1350 (Moderate-High) | 500 (Moderate-Low) |
| Avg. Pore-Throat Radius (μm) | 21.8 (Maximum) | 10.3 (Intermediate) | 7.9 (Minimum) |
| Pore-Throat Connectivity | Optimal | Intermediate | Poor |
| Median Grain Size (mm) | 0.38 (Coarsest) | 0.18 (Intermediate) | 0.06 (Finest) |
| Grain Size Probability Curve | Minimal Suspension Population | Moderate Suspension Population | Dominant Suspension Population |
| Hydraulic Energy | Strongest | Intermediate | Weakest |
| Waterflood Flow Behavior | Preferential Flow Pathways | Heterogeneous Front Advancement | Flow Baffles/Residual Oil Enrichment |
| SP Flooding Mechanism | Surfactant Oil Stripping | Sweep Improvement + Oil Stripping | Sweep Enhancement |
Disclaimer/Publisher’s Note: The statements, opinions and data contained in all publications are solely those of the individual author(s) and contributor(s) and not of MDPI and/or the editor(s). MDPI and/or the editor(s) disclaim responsibility for any injury to people or property resulting from any ideas, methods, instructions or products referred to in the content. |
© 2025 by the authors. Licensee MDPI, Basel, Switzerland. This article is an open access article distributed under the terms and conditions of the Creative Commons Attribution (CC BY) license (https://creativecommons.org/licenses/by/4.0/).
Share and Cite
Liu, X.; Guo, C.; Chen, Q.; Zhao, M.; Liu, Y. Lithofacies Characteristics of Point Bars and Their Control on Incremental Oil Recovery Distribution During Surfactant–Polymer Flooding: A Case Study from the Gudao Oilfield. Energies 2025, 18, 4703. https://doi.org/10.3390/en18174703
Liu X, Guo C, Chen Q, Zhao M, Liu Y. Lithofacies Characteristics of Point Bars and Their Control on Incremental Oil Recovery Distribution During Surfactant–Polymer Flooding: A Case Study from the Gudao Oilfield. Energies. 2025; 18(17):4703. https://doi.org/10.3390/en18174703
Chicago/Turabian StyleLiu, Xilei, Changchun Guo, Qi Chen, Minghao Zhao, and Yuming Liu. 2025. "Lithofacies Characteristics of Point Bars and Their Control on Incremental Oil Recovery Distribution During Surfactant–Polymer Flooding: A Case Study from the Gudao Oilfield" Energies 18, no. 17: 4703. https://doi.org/10.3390/en18174703
APA StyleLiu, X., Guo, C., Chen, Q., Zhao, M., & Liu, Y. (2025). Lithofacies Characteristics of Point Bars and Their Control on Incremental Oil Recovery Distribution During Surfactant–Polymer Flooding: A Case Study from the Gudao Oilfield. Energies, 18(17), 4703. https://doi.org/10.3390/en18174703

