Next Article in Journal
Numerical Study on the Vapor–Liquid Interface in the Evaporator of Loop Heat Pipes with Multiscale Wicks Using Pore Network Simulation
Next Article in Special Issue
Lithofacies Characteristics of Point Bars and Their Control on Incremental Oil Recovery Distribution During Surfactant–Polymer Flooding: A Case Study from the Gudao Oilfield
Previous Article in Journal
Criticality Assessment of Wind Turbine Defects via Multispectral UAV Fusion and Fuzzy Logic
Previous Article in Special Issue
Experimental Investigation into the Mechanisms of Liquid-Phase Damage in Shale Oil Reservoirs: A Case Study from the Leijia Area
 
 
Font Type:
Arial Georgia Verdana
Font Size:
Aa Aa Aa
Line Spacing:
Column Width:
Background:
Article

Integrated Equilibrium-Transport Modeling for Optimizing Carbonated Low-Salinity Waterflooding in Carbonate Reservoirs

by
Amaury C. Alvarez
1,
Johannes Bruining
2,*,† and
Dan Marchesin
3,†
1
Instituto de Computação, Universidade Federal do Rio de Janeiro, Av. Athos da Silveira Ramos, 274, Rio de Janeiro 21941-590, Brazil
2
Civil Engineering and Geosciences, TU Delft, Stevinweg 1, 2628 CN Delft, The Netherlands
3
Laboratory Fluid Dynamics, IMPA, Estrada Dona Castorina, 110, Rio de Janeiro 22460-320, Brazil
*
Author to whom correspondence should be addressed.
These authors contributed equally to this work.
Energies 2025, 18(17), 4525; https://doi.org/10.3390/en18174525
Submission received: 1 August 2025 / Revised: 17 August 2025 / Accepted: 24 August 2025 / Published: 26 August 2025
(This article belongs to the Special Issue Enhanced Oil Recovery: Numerical Simulation and Deep Machine Learning)

Abstract

Low-salinity waterflooding (LSWF) enhances oil recovery at low cost in carbonate reservoirs, but its effectiveness requires the precise control of injected water chemistry and interaction with reservoir minerals. This study specifically investigates carbonated low-salinity waterflooding (CLSWF), where dissolved CO 2 modulates geochemical processes. This study develops an integrated transport model coupling geochemical surface complexation modeling (SCM) with multiphase compositional dynamics to quantify wettability alteration during CLSWF. The framework combines PHREEQC-based equilibrium calculations of the Total Bond Product (TBP)—a wettability indicator derived from oil–calcite ionic bridging—with Corey-type relative permeability interpolation, resolved via COMSOL Multiphysics. Core flooding simulations, compared with experimental data from calcite systems at 100 C and 220 bar, reveal that magnesium ([ Mg 2 + ]) and sulfate ([ SO 4 2 ]) concentrations modulate the TBP, reducing oil–rock adhesion under controlled low-salinity conditions. Parametric analysis demonstrates that acidic crude oils (TAN higher than 1 m g KOH/ g ) exhibit TBP values approximately 2.5   times higher than those of sweet crudes, due to carboxylate–calcite bridging, while pH elevation (higher than 7.5) amplifies wettability shifts by promoting deprotonated -COO interactions. The model further identifies synergistic effects between ([ Mg 2 + ]) (ranging from 50 to 200 mmol/kgw) and ([ SO 4 2 ]) (higher than 500 mmol/kgw), which reduce ( Ca 2 + )-mediated oil adhesion through competitive mineral surface binding. By correlating TBP with fractional flow dynamics, this framework could support the optimization of injection strategies in carbonate reservoirs, suggesting that ion-specific adjustments are more effective than bulk salinity reduction.

1. Introduction

Low-salinity waterflooding (LSWF) has emerged as a promising and cost-effective method to enhance oil recovery (EOR) in carbonate reservoirs [1,2,3]. LSWF involves injecting water with a lower salinity and distinct ionic composition compared to connate water [3]. This study specifically focuses on carbonated low-salinity waterflooding (CLSWF), where dissolved CO 2 impacts geochemical processes through pH modulation and carbonate dissolution, driving wettability alteration mechanisms [3,4,5,6,7]. The modification of salinity and specific ions is often termed “smart water” [8,9], with CLSWF emerging as a promising method to reduce interfacial tension and mobilize residual oil through targeted ion-specific interactions [2,3]. However, current CLSWF design methodologies remain constrained by trial-and-error approaches due to a critical gap: the absence of predictive tools integrating thermodynamic equilibrium speciation with multiphase flow dynamics [10].
To bridge this gap, this study develops an integrated equilibrium-transport framework coupling geochemical surface complexation modeling (SCM) with multiphase compositional dynamics to quantify wettability alteration during CLSWF [5,9,11]. The framework is designed to overcome the limitations of existing methods by providing predictive capabilities for optimal ion thresholds under specific reservoir conditions [10].
The core objectives of this research are twofold [12]: to quantify the sensitivity of relative permeability and oil recovery to key divalent ions, specifically, magnesium ( Mg 2 + ), sulfate ( SO 4 2 ), and calcium ( Ca 2 + ), in carbonate reservoirs; and to elucidate the mechanistic role of oil–calcite surface complexes in wettability alteration.
While various EOR mechanisms exist (e.g., chemical flooding), this work focuses exclusively on ion-triggered wettability alteration during CLSWF. For instance, recent pore-scale studies on viscoelastic polymer flooding [13] demonstrate that elasticity enhances oil displacement in water-wet systems but inhibits it in oil-wet environments due to antagonistic stress–wettability interactions. However, such methods operate through fundamentally different mechanisms and are not considered here.
Our methodology integrates compositional phase and geochemical modeling through a system of conservation laws [5,12]. A key component of our approach is the utilization of PHREEQC Version 3.8.7 (a geochemical speciation and reactive transport program) to perform equilibrium calculations and implement the SCM [14,15,16,17,18]. Within this model, the Total Bond Product (TBP) emerges as a important wettability indicator [15,18]. The TBP quantifies the cumulative strength of ionic bridges, such as Ca 2 + -carboxylate and Mg 2 + -sulfate bonds, at oil–calcite interfaces [17,19]. Unlike conventional metrics, the TBP directly correlates surface complexation thermodynamics with macroscopic displacement efficiency, enabling the predictive optimization of injection strategies [15]. Its derivation from PHREEQC-calculated equilibrium species provides a direct mechanistic link between brine chemistry and oil recovery [15,20,21].
The integrated transport model utilizes the TBP as an interpolation parameter for Corey-type relative permeability functions [12,15,19,21,22], resolved via COMSOL Multiphysics Version 6.2 for multiphase flow simulations [5,12,23]. The coupling between PHREEQC and COMSOL follows a sequential explicit workflow, where geochemical equilibrium calculations are pre-processed and their outputs (e.g., TBP) are used as spatially dependent functions in the COMSOL transport solver [12]. This unified framework for integrating geochemistry and compositional modeling allows for the exploration of various scenarios and streamlines mathematical complexity using Gibbs’ phase rule [24,25].
Our numerical experiments and core flooding simulations, conducted at reservoir conditions of 100   C and 220 bar and validated against experimental calcite systems, yielded significant insights into wettability alteration mechanisms. First, we observed that magnesium ( Mg 2 + ) and sulfate ( SO 4 2 ) concentrations critically modulate the Total Bond Product (TBP), substantially reducing oil–rock adhesion under controlled low-salinity conditions. This ionic modulation is further enhanced by synergistic effects between Mg 2 + (50–200 mmol/kgw) and SO 4 2 (>500 mmol/kgw), which effectively disrupt Ca 2 + -mediated oil adhesion through competitive mineral surface binding [4,5,12,26,27].
Second, crude oil composition and pH emerged as pivotal factors influencing wettability dynamics. Acidic crude oils (TAN > 1 mg KOH/g) exhibited TBP values approximately 2.5 times higher than those of sweet crudes, primarily due to enhanced carboxylate–calcite bridging. Furthermore, pH elevation above 7.5 significantly amplified wettability shifts by promoting deprotonated -COO interactions at oil–calcite interfaces [16,17,18,28].
Third, by correlating TBP with fractional flow dynamics, we demonstrated that ion-specific adjustments outperform bulk salinity reduction for injection strategy optimization. Our coupled numerical simulations accurately reproduced experimental saturation and recovery profiles, enabling the prediction of up to 14.7% recovery gains through targeted brine chemistry modifications. Field trial data further confirmed significant recovery improvements (8–15% OOIP) from optimized Mg 2 + /SO 4 2 concentrations [4,12,21,26,27,29].
This predictive framework, rooted in TBP-driven geochemical modeling coupled with multiphase flow simulations, empowers operators to maximize recovery while minimizing water-treatment expenses and mitigating formation damage [12,29]. The results underscore the need to design injection strategies that prioritize optimal Mg 2 + /Ca 2 + and SO 4 2 /Cl ratios, especially in reservoirs containing acidic crudes [12,29]. This approach provides a structured method for evaluating enhanced oil recovery (EOR) strategies in heterogeneous carbonate reservoirs by translating pore-scale ionic interactions into field-relevant metrics [12].
This paper is structured as follows: Section 2 develops the physical-chemical model for carbonate reservoirs, including aqueous/sorbed species interactions and Gibbs phase rule analysis. Section 3 formulates the governing equations for multiphase flow, ion transport, and mass conservation. Section 4 details the geochemical modeling framework using PHREEQC, incorporating TAN/TBN correlations and surface complexation reactions. Section 5 introduces the fractional flow model with Corey-type permeability interpolation, linking it to the TBP. In Section 6, a summary of integration processes of geochemical and multiphase modeling is presented. Section 7 systematically evaluates wettability alteration mechanisms through parametric studies of pH, Mg 2 + , SO 4 2 , and Ca 2 + -SO 4 2 synergies. Section 8 quantifies ionic bridging effects via TBP-driven analysis under variable salinity regimes. In Section 9 is a comparison of TBP-based and experimental wettability metrics. Section 10 assesses the integrated geochemical flow model against coreflood experiments using COMSOL simulations. Section 11 reconciles injected vs. equilibrium salinity through thermodynamic activity principles. Section 12 present conclusions. Finally, in the appendix, coefficient derivations, tables, and supporting figures are presented.

2. Physical-Chemical Model

We extend our analysis to model aqueous and sorbed species in a carbonate reservoir system. The aqueous phase includes ions ( H + , OH , CO 3 2 , HCO 3 , Cl , Mg 2 + , Ca 2 + , and SO 4 2 ) and water ( H 2 O ), while sorbed species encompass oil–calcite complexes (e.g., oil s , NH + , oil w , COOH , Cal s , OH , Cal w , CO 3 H ) [17]. These interactions form the basis of the Surface Complexes-Chloride Ionic Carbon Dioxide-Oil-Water (SC-CLICDOW) model, which integrates equilibrium thermodynamics, ion transport, and wettability dynamics [30]. To evaluate this framework, we conduct core flooding experiments with pH-matched, low-salinity carbonated water, targeting enhanced oil recovery (EOR) through salinity reduction and divalent cation ( Mg 2 + , Ca 2 + , and SO 4 2 ) modulation.
The reservoir is modeled as a 1D porous medium saturated with oleic and aqueous phases. Initial and injected fluids contain NaCl, CO 2 , and key ions. Carbon dioxide partitions between oleic and aqueous phases and decane remains only in the oleic phase. Rapid equilibrium assumptions apply to aqueous-oleic CO 2 exchange and geochemical reactions, simplifying the ion transport analysis. Darcy’s law governs incompressible flow at T = 100   C and P = 220   bar , suppressing gas phase formation. We neglect salinity-dependent viscosity [26].
The assumption of salinity-independent viscosity is justified by two main factors. First, at reservoir conditions, particularly at high temperatures around 100   C , the viscosity contrast between injected low-salinity brines and formation high-salinity brines becomes negligible (see e.g., [26]). Second, in carbonate reservoirs, oil recovery is primarily governed by geochemical wettability alterations caused by ionic interactions, such as the exchange between Ca 2 + and Mg 2 + , rather than by fractional flow changes resulting from minor viscosity contrasts [31].
The analysis suggests that carbonated low-salinity waterflooding increases dissolved CO 2 levels, contributing to calcite dissolution and higher aqueous Ca 2 + , Mg 2 + , and SO 4 2 concentrations. This ionic shift correlates with reduced oil–rock adhesion through changes in Total Bond Product (TBP)-associated wettability, assessed using high-/low-salinity relative permeability curves. The synergy between CO 2 solubility and controlled divalent cation availability amplifies oil mobilization, consistently with EOR mechanisms reported in [29].

2.1. Component Distribution by Phase

The compositional system is divided into an aqueous and an oleic phase. The distribution of chemical components between these phases is based on their physicochemical properties. Most ions (e.g., Ca 2 + , Mg 2 + , SO 4 2 ) are exclusively aqueous, while hydrocarbons (e.g., decane) are confined to the oleic phase. The components are detailed in next section.

2.2. Chemical Equilibrium Analysis: Gibbs Rule

Utilizing the methodologies outlined in [14,32], we employed PHREEQC to simulate the equilibrium of water, solid calcium carbonate ( CaCO 3 ( solid ) ), sodium chloride (NaCl), and sulfate species. Our analysis identifies 25 distinct chemical species ( N s = 25 ) in the system. The aqueous phase includes c a , CO 2 , c a , CO 3 2 , c a , HCO 3 , c a , CaHCO 3 + , c a , CaCO 3 , c a , NaCO 3 , c a , NaHCO 3 , c a , H 2 O , c a , H + , c a , OH , c a , CaOH + , c a , Ca 2 + , c a , Mg 2 + , c a , MgHCO 3 + , c a , MgCO 3 0 , c a , MgOH + , c a , Cl , c a , Na + , c a , SO 4 2 , c a , CaSO 4 , c a , MgSO 4 , c a , NaSO 4 , c a , H 2 SO 4 . The oleic phase includes c o , A , c o , CO 2 . Here, ( A ) denotes the alkane, which resides exclusively in the oleic phase. Most other species are confined to the aqueous phase, with the exception of calcium carbonate ( CaCO 3 ), which partitions between the solid phase ( c r , CaCO 3 ) and the aqueous phase ( c a , CaCO 3 ). Carbon dioxide ( CO 2 ) is the only species that distributes between both the aqueous and oleic phases, while its gaseous form is suppressed due to the high reservoir pressure ( 220   bar ).
The system includes 15 sorbed species ( n s = 15 ): oil s , NH + , oil w , COOH , Cal s , OH , Cal w , CO 3 H , oil s , N , oil w , COO , oil w , COOCa + , oil w , COOMg + , Cal s , OH 2 + , Cal s , CO 3 , Cal w , CO 3 , Cal w , CO 3 Ca + , Cal w , CO 3 Mg + , Cal s , SO 4 , oil s , NH 2 SO 4 .
These species participate in 27 chemical reactions ( N r = 27 ). The log ( K ) values at 100   C are listed in Table A1 Appendix B, along with their thermodynamic references in column five.

Gibbs Phase Rule Application

The extended Gibbs phase rule [24] determines the number of independent variables (degrees of freedom, n f ) required to define the thermodynamic state of a system, defined as
n f = N s + n s N r n c + 2 p ,
where N s = 25 : number of aqueous species (e.g., CO 3 2 , Ca 2 + , SO 4 2 ), n s = 15 : number of sorbed species (e.g., Oil w , COOCa + , Cal s , SO 4 ), N r = 27 : total chemical reactions (5 oil, 6 calcite, 16 aqueous), n c = 6 : number of constraints (charge balance + fixed sorption sites), p = 3 : number of phases (solid, aqueous, oleic).
Substituting values into Equation (1), we obtain n f = 25 + 15 27 6 + 2 3 = 6 . The system exhibits 6 degrees of freedom ( n f = 6 ). By fixing temperature (T) and pressure (P), the number of degrees of freedom reduce to 4. To evaluate the influence of ionic composition on wettability, we focus on four critical variables: hydrogen ion concentration ( c a , H + ), chloride ( c a , Cl ), magnesium ( c a , Mg 2 + ), and sulfate ions ( c a , SO 4 2 ). In our numerical experiments, chloride and sodium initial ion concentrations are equal ( [ Cl ] = [ Na + ] ), a simplification justified by charge balance in low-salinity brines [32].
Our methodology builds on [5], which are developed in the context of systems governed by aqueous and mineral equilibrium reactions. This approach decouples mass balance equations from chemical speciation, allowing conservative transport to be solved numerically, while chemistry is reconstructed before. The framework is valid in saturated zones, where the absence of a CO 2 -rich gas phase eliminates gas–liquid partitioning effects.
Reactive transport in multiphase flow requires solving the mass balance for all chemical species, including water, across phases. We consider only reactions, mineral precipitation-dissolution, and gas dissolution, all at thermodynamic equilibrium. Porosity changes due to precipitation-dissolution are included, affecting properties like permeability.
Equilibrium is well justified in our core-flood experiments (0.1–1 ft/day), as the estimated Damköhler number ( Da > 10 3 ) indicates that reaction kinetics far outpace transport rates. Thus, assuming local chemical equilibrium under these conditions is appropriate [33]. However, kinetic effects near the wellbore might still be important, so they should be studied more closely in future work.
The assumption of negligible viscosity contrast (<15%) between low-salinity injection brines and connate brines is chemically justified within the specific salinity range of this study (2300–210,000 ppm [Cl]) [26]. While viscosity variations become significant at extreme salinities (>210,000 ppm), as demonstrated by [34], our work operates exclusively within lower ranges where rheological contrasts remain minor.

3. System of Equations

In this section, we summarize the system used to describe the dynamics of chemical variables, water, and oil saturation (details of the derivation can be found in [12]). Combining hydrogen and oxygen, we derive six conservation laws from total carbon, hydrogen, oxygen, magnesium, calcium, chloride, and decane. Moreover, we assume (1) all reactions occur in equilibrium, and (2) the chemical system can be determined based on the state variables of the multiphase flow model (namely, liquid and gas pressure, and temperature).
Based on the generalized Gibbs rule [25], we recognize 6 degrees of freedom, characterized by quantities such as water saturation, Darcy velocity (u), p H , and the ionic concentrations of chlorine, sulfate, and magnesium. These quantities form the basis for building the six conservation laws.
The mass balance equations, neglecting diffusion and capillarity effects, can be written as
t φ ρ w 1 S w + φ ρ o 1 S o + ( 1 φ ) ρ r 1 + x u ρ w 1 f w + ρ o 1 f o = 0 ,
t φ ρ o 2 S o + x u ρ o 2 f o = 0 ,
t φ ρ w 3 S w + x u ρ w 3 f w = 0 ,
t φ ρ w 4 S w + φ ρ o 4 S o + 1 φ ρ r 4 + x u ρ w 4 f w + ρ o 4 f o = 0 ,
t φ ρ w 5 S w + φ ρ o 5 S o + 1 φ ρ r 5 + x u ρ w 5 f w + ρ o 5 f o = 0 .
t φ ρ w 6 S w + φ ρ o 6 S o + 1 φ ρ r 6 + x u ρ w 6 f w + ρ o 6 f o = 0 .
where f w and f o denote the fractional flow for water and oil. The parameter φ is the porosity.
The coefficients ρ w i , ρ o i , and ρ r i denote the molar concentrations of component i in the aqueous w, oleic o, and solid phases, respectively, expressed in mmol/m 3 . They are defined as ρ w i = ρ w x w i for the aqueous phase, ρ o i = ρ o x o i for the oleic phase, and ρ r i = ρ r x r i for the solid phase, where ρ w , ρ o , and ρ r represent the molar densities ( mmol/m 3 ) of each phase and x w i , x o i , and x r i are the corresponding molar fractions of the component in that phase. The molar fractions are computed as
x w 1 = C a , C ( 4 ) / G a , x o 1 = c o , CO 2 / G o , ρ r 1 = ( 1 φ ) Cal s , CO 3 + C s , CaCO 3 G a , x o 2 = C o , C ( 4 ) / G o , x w 3 = C a , Cl / G a , x w 4 = 2 δ C a , O ( 2 ) δ C a , H ( 1 ) G a , x o 4 = 4 c o , CO 2 ( oil s , NH + + oil w , COOH ) G a , ρ r 4 = ( 1 φ ) 4 Cal s , CO 3 ( 2 Cal s , OH 2 + + Cal s , OH + Cal w , CO 3 H ) 3 C s , CaCO 3 G a , x w 5 = C a , Mg 2 + / G a , x o 5 = oil w , COOMg + / G o , ρ r 5 = Cal w , CO 3 Mg + / G a , x w 6 = C a , Ca 2 + / G a , x o 6 = oil w , COOCa + / G o , ρ r 6 = Cal w , CO 3 Ca + / G a ,
where G a and G o denote the total molar concentrations in the aqueous and oleic phases, respectively, expressed in mmol/m 3 . The parameter C a , i represents the molality of aqueous species i in mmol/kg of water, while c o , j denotes the molality of oleic species j in mmol/kg of oil. Finally, ρ r corresponds to the solid-phase molar density, expressed in mmol/m 3 .
From a dimensional standpoint, the units of ρ w i can be expressed as mmol / kgw × kg solution / m 3 , which reduces to mmol / m 3 under the assumption that the solution mass is approximately equal to the water mass. In the governing equations, flux terms of the form u ρ f have dimensions of mmol/m 2 /s, while accumulation terms of the form φ S ρ have dimensions of mmol/m 3 .

3.1. Component Distribution by Phase

The six conserved components are assigned to the aqueous and oleic phases based on their physicochemical affinities. Partitioning of components are constrained thermodynamically. For example, decane (alkane “A”) resides exclusively in the oleic phase due to hydrophobicity, while ions like Cl remain aqueous. CO2 partitions between phases. The conservation laws (2)–(7) track six basis species, each assigned to one or more phases according to thermodynamic constraints and the assumptions in the SC-CLICDOW model.
The SC-CLICDOW model tracks six basis components, each associated with specific phases, physical meanings, and mass variables ρ w i (aqueous), ρ o i (oleic), and ρ r i (solid). Component 1, denoted by C(4) (total inorganic carbon), includes ρ w 1 for aqueous carbonate species ( CO 2 (aq), HCO 3 , CO 3 2 , CaCO 3 , CaHCO 3 + , NaCO 3 , NaHCO 3 ) and ρ o 1 for CO 2 dissolved in the oleic phase, allowing carbon dioxide to partition between both phases. Component 2, denoted by C(−4) (organic carbon), has ρ o 2 for the n-decane ( C 10 H 22 ) and other non-volatile alkanes confined to the oleic phase due to their hydrophobic nature. Component 3, denoted by Cl (chloride), uses ρ w 3 for Cl in the aqueous phase, with negligible solubility in the oleic phase under simulated conditions. Component 4, denoted by O–H (hydrogen–oxygen balance), includes ρ w 4 and ρ o 4 for hydrogen and oxygen in water and organic molecules, and ρ r 4 for these elements in hydroxylated calcite sites; it is a constructed component representing 2 · O(−2) − H(1) with water removed from the balance. Component 5, denoted by Mg (total magnesium), has ρ w 5 for free Mg 2 + in the aqueous phase, ρ o 5 for Mg 2 + complexed with oil carboxylates (Oilw, COOMg + ), and ρ r 5 for Mg 2 + adsorbed on calcite (Calw, CO 3 Mg + ). Finally, Component 6, denoted by Ca (total calcium), has ρ w 6 for free Ca 2 + in the aqueous phase, ρ o 6 for Ca 2 + complexed with oil carboxylates (Oilw, COOCa + ), and ρ r 6 for Ca 2 + adsorbed on calcite (Calw, CO 3 Ca + ).
The phase confinement of the six SC-CLICDOW components follows directly from their polarity, solubility, and charge distribution. Components 1, 3, 4, 5, and 6 are ionic or highly polar species (e.g., carbonate, chloride, magnesium, and calcium ions, as well as the constructed hydrogen–oxygen balance component) that remain exclusively in the aqueous phase. Their strong hydration energy, minimal affinity for nonpolar environments, and the requirement to preserve charge neutrality prevent any significant partitioning into the oleic phase under the simulated conditions. In contrast, Component 2, representing n-decane and related non-volatile alkanes, is a nonpolar hydrocarbon characterized by extreme hydrophobicity, an aqueous solubility on the order of 10 8  mol/L, and the absence of appreciable ionization; consequently, it resides entirely in the oleic phase.
The source terms in Equations (2)–(7) are zero because (i) chemical reactions are at local equilibrium (Damköhler number Da > 10 3 ), (ii) mass exchange is embedded in the coefficients ρ w i , ρ o i , ρ r i via PHREEQC-calculated speciation, and (iii) the system satisfies mass conservation under steady thermodynamic equilibrium.

3.2. Analytical Determination

The coefficients ρ w i , ρ o i , and ρ r i ( i = 1 , , 6 ) in the system (2)–(7) are based on the ion concentrations of the relevant chemical complexes. Analytical formulas for these coefficients are determined using the Eureqa program (see [12]) through formulas given in the equations above.
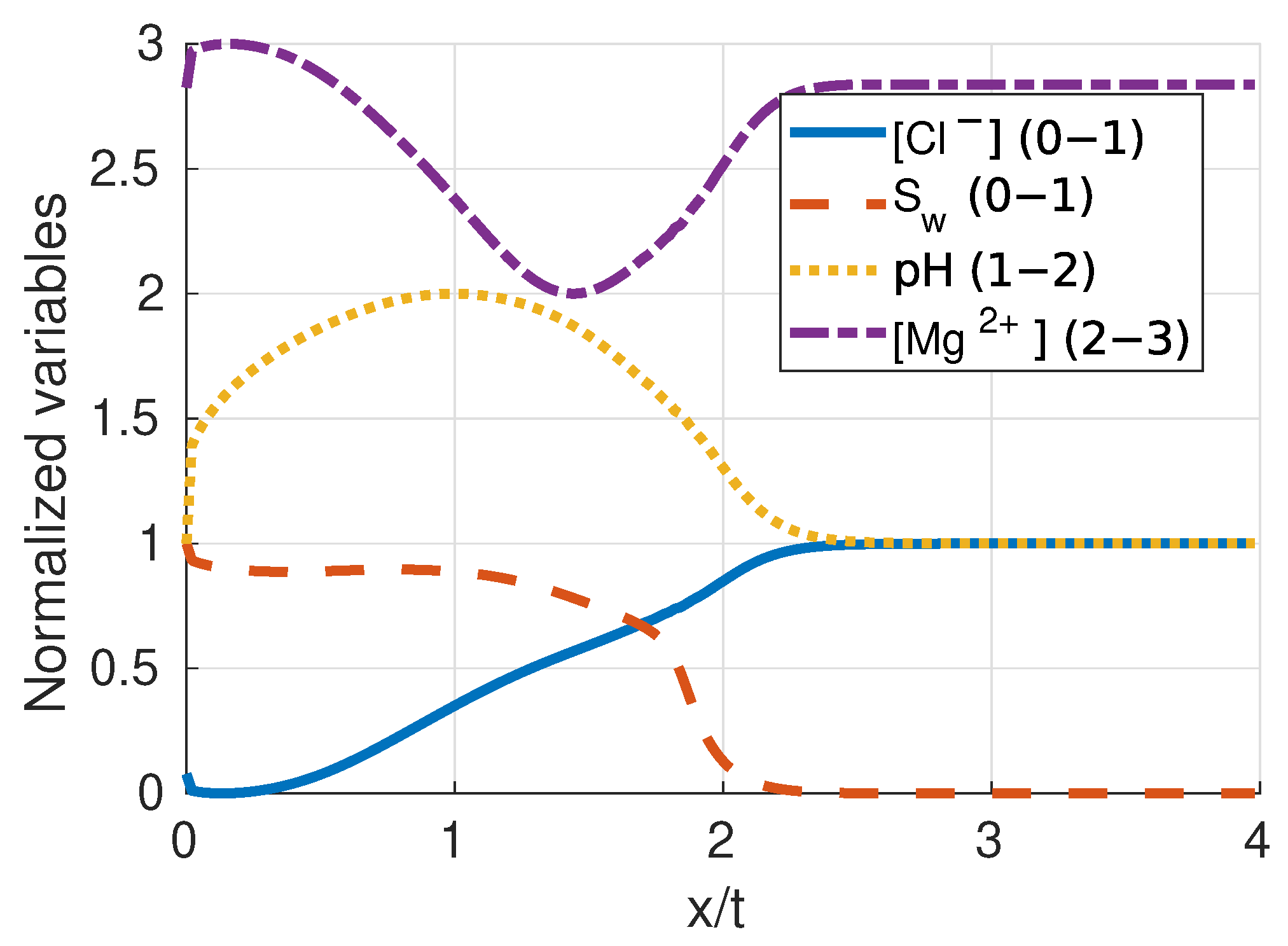
Initial and boundary conditions follow a Riemann problem formulation (Section 10), with fixed salinity and pH at the injection boundary ( x = 0 ) and reservoir equilibrium.
To ensure numerical stability in COMSOL Multiphysics simulations of Equations (2)–(7), we validated Eureqa-derived functions against PHREEQC data and selected smooth-differentiable formulations for robust Jacobian matrix calculations. This preserves thermodynamic consistency while enabling efficient integration of geochemical coefficients ( ρ w i , ρ o i , ρ r i ) into flow dynamics.

4. Geochemical Modeling

Surface complexation modeling is a technique used to describe the interactions between mineral surfaces and ions in a solution. This method involves defining surface reactions and their corresponding equilibrium constants to simulate adsorption processes. PHREEQC performs this modeling by utilizing the surface reactions along with chemical composition of the solution to predict ion adsorption on mineral surfaces (see e.g., in [15]). The log K values at 100   C were obtained from standard thermodynamic databases [35,36], validated for reservoir conditions in recent studies [15]. These values were calculated using the HKF model [37]. Additionally, for calcite equilibrium constants, the validations reported by [16] were considered (See Table A1 in Appendix B).
This study investigates the interactions between acidic and sweet crude oil, carbonate minerals, and brine under high-pressure and high-temperature conditions. The simulations were performed using PHREEQC to evaluate surface complexation reactions, mineral equilibria, and aqueous speciation.
The modeling includes surface complexation definitions for oil, water, and carbonate interfaces, taking into account reactions of carboxyl (-COOH) and amine (-NH) groups present in crude oil, as well as calcium hydroxide and carbonate sites on calcite. Additionally, equilibrium reactions for calcite, anhydrite, magnesite, and CO 2 (g) are simulated. The solution composition includes key ions, with temperature set at T = 100   C and pressure at P = 220 bar. pH control is implemented, ensuring dynamic adjustments via HCl dissolution. The key computed results include saturation indices (SI) for magnesite, calcite, and CO 2 (g), along with relevant chemical species concentrations.
The saturation indices of calcite and carbon dioxide are controlled to avoid solid precipitation and gas formation. The surface charge distribution and electrostatic interactions between crude oil and carbonate surfaces are analyzed under thermodynamic chemical equilibrium. Additionally, we compute total dissolved solids (TDS), ionic strength, and the formation of complexes between crude oil functional groups and mineral surfaces.
A common approach to estimating wettability utilizes the TBP, which quantifies the amount of fluid bound to the rock surface due to adsorption and surface complexation. The relationship between the Bond Product and wettability can be explained through the interaction between capillary forces and interfacial tension in a fluid system [38]. High Bond Product values indicate that gravitational forces are relatively small compared to capillary forces, suggesting that the system is more susceptible to the influence of wettability. In this context, a high Bond Product is associated with oil-wet conditions, as the capillary forces favoring oil immobilization are weaker compared to those favoring water immobilization. By analyzing the outputs from PHREEQC simulations, we calculate the TBP to assess wettability in subsurface environments.
The input parameters for PHREEQC in our numerical experiments are guided by the methodology in [19].
The Total Acid Number (TAN) measures the acidity of crude oil, reflecting the amount of acidic compounds, such as naphthenic acids and oxidation products. This parameter is expressed in milligrams of potassium hydroxide (mg KOH) required to neutralize the acids present in one gram of crude oil. High TAN values, higher than 1 mg KOH/g, are associated with acidic crudes.
The Total Base Number (TBN) quantifies the alkalinity of crude oil, representing its capacity to neutralize acids. TBN is critical in oils treated with basic additives, such as detergents and dispersants, which enhance their anti-corrosive properties. Typical high TBN values (5–10 mg KOH / g ) are observed in treated oils. Table A2 in Appendix C summarizes the typical ranges of TAN and TBN for different crude oil types.
To determine the density of active sites on oil, we employ the Total Acid Number (TAN) and the Total Base Number (TBN), following the methodology outlined in [18]. The site density for acidic groups ( N S , C O O H ) and basic groups ( N S , N H + ) are calculated as follows:
N S , C O O H = 0.602 10 3 TAN a o i l M W K O H , N S , N H + = 0.602 10 3 TBN a o i l M W K O H ,
We take the molecular weight of potassium hydroxide ( M W K O H ) by 56.1 g/mol. The specific surface area of the oil, a o i l in m 2 /g, is assumed to match that of its associated carbonate minerals in aqueous solutions, as detailed in [16].
The input datasets utilized in our study correspond to formation water with varying ion concentrations of SO 4 2 , Ca 2 + , Mg 2 + , Na + , and Cl . These datasets serve as the basis for specifying the coefficients in the system (2)–(7). We consider the chloride and magnesium ion concentrations ( M g 2 + ) to range from 40 to 3600 mmol/kgw.
The pH of the solution varies between 2.7 and 9, while the carbon concentration remains unchanged. A summarized representation of the input data is provided in Table 1 and Table 2. These tables present the initial conditions of the injected ion compositions of water, systematically varying sodium ( Na + ), magnesium ( Mg 2 + ), and chloride ( Cl ) concentrations, maintaining constant in the first experiment the injected values for ion concentration of calcium ( Ca 2 + ), carbon (C), and sulfate ( SO 4 2 ). In the second experiment, magnesium ( Mg 2 + ) and calcium ( Ca 2 + ) are kept at fixed values and sulfate ( SO 4 2 ) varies. The selected values span both lower and higher concentration ranges to ensure comprehensive coverage of different geochemical conditions. This approach allows for an evaluation of how these ion variations influence the system behavior under high temperature and pH conditions.
The total dissolved inorganic carbon (DIC) concentration of 75 mmol/kgw in the injected carbonated water comprises three primary species: aqueous carbon dioxide ( CO 2 ( aq ) ), bicarbonate ( HCO 3 ), and carbonate ( CO 3 2 ). The selected total DIC concentration aligns with experimental carbonated waterflooding studies in carbonates, where 50 mmol / kgw to 100 mmol / kgw effectively balances CO 2 solubility and mineral reactivity without inducing excessive anhydrite dissolution [9].
Building upon existing knowledge of acid–base interactions in crude oil/brine systems, this work extends the current understanding by demonstrating the significance of TAN/TBN-driven surface charge asymmetry in modulating wettability. Specifically, we reveal how carboxylate abundance in acidic oils (TAN higher than 1 mg KOH/g) amplifies Ca2+-mediated ionic bridging at calcite surfaces, while TBN governs amine–calcite dipole interactions that stabilize oil wetness in sweet crudes. This TAN/TBN duality, quantified via PHREEQC-calculated TBP, provides a predictive framework for customizing injection brine chemistry based on crude oil composition.

4.1. Typical Values of TAN and TBN

Crude oil acidity and alkalinity are characterized by two key parameters: Total Base Number (TBN) and Total Acid Number (TAN). TBN reflects the ability of the oil to neutralize acids, indicating the presence of basic compounds like amines; low TBN values, typical of acidic oils, signal reduced neutralization capacity, while high TBN values are common in sweet oils, often treated to reduce corrosion risks. TAN directly measures acidic components, such as naphthenic acids, with high values associated with more acidic oils and increased corrosion risks. These parameters are essential for modeling oil–mineral interactions and assessing wettability, influencing surface charge dynamics and film stability on mineral surfaces (see details in [16]). In Table A3 in Appendix C, typical values for sweet and acidic crude oils are presented to assess their influence on TBP and the corresponding wettability behavior.
The interaction between TAN and TBN values significantly influences the wettability of mineral surfaces in reservoirs. Crudes with a high Total Acid Number (TAN) tend to form acidic films on surfaces, increasing oleophilicity. Conversely, high-TBN crudes neutralize acidic interactions, promoting water-wet conditions.

4.2. Model Limitations and Mitigation Strategies

While surface complexation modeling in PHREEQC provides a mechanistic framework to quantify wettability via TBP, its accuracy depends critically on three factors: (1) the representativeness of assumed surface reactions, (2) the validity of equilibrium constants at reservoir conditions, and (3) the homogeneity of calcite–oil interfaces. We address these limitations as follows.
First, we assume that thermodynamic constants for oil–calcite interactions (e.g., log K in rows (1)–(27), Table A1 in Appendix B) are obtained from experimental studies on analogous carboxylate/amine–calcite systems [16,17], with sensitivity analyses confirming the TBP variability remains below 10% across plausible log K ranges.
Second, transient ion-exchange effects (e.g., slow Mg 2 + -Ca 2 + replacement) are neglected, assuming instantaneous geochemical equilibrium. While this hypothesis is common in reactive transport modeling [33,39], it may overestimate the rate of wettability alteration in systems with kinetically controlled surface reactions.
Third, experimental cores (e.g., from [26]) contain trace anhydrite (lower than 2 % ), which is neglected in the SCM to simplify calcite–oil interactions. We assume that this neglect introduces minor deviations between modeled and experimental TBP values.
These hypotheses enable tractable integration of SCM with flow simulations but may underestimate wettability hysteresis in highly heterogeneous carbonates. Future work should incorporate kinetic reaction modules using reactive transport codes. Moreover, for carbonates with significant anhydrite or clay content (higher than 5 % ), explicit mineral reactions should be incorporated.
The TBP model assumes homogeneous mineral surfaces, neglecting pore-scale heterogeneity (e.g., clay patches). Future work should incorporate stochastic descriptions of surface site reactivity.

5. Fractional Flow Function

5.1. Definition of Parameters

The fractional flow model employs Corey-type relative permeability functions, widely adopted for modeling salinity-dependent wettability transitions [21]. For water and oil phases, the relative permeabilities are defined as
k r w ( S w ) = k w S w S w r 1 S w r S o r n w , k r o ( S w ) = k o 1 S w S o r 1 S w r S o r n o ,
where k w and k o denote the end-point relative permeabilities of water and oleic phases, respectively. The parameters n w , and n o are interpolated between high- and low-salinity regimes using experimental data from [21]. While the model of Corey efficiently captures endpoint saturation effects [22], it neglects hysteresis and non-monotonic saturation paths [40]. These limitations are mitigated by restricting simulations to primary drainage and imbibition cycles, consistent with coreflood protocols in [26]. For scenarios involving flow reversals (e.g., cyclic injections), hysteresis-aware models like those in [41] are recommended but beyond the scope of this study.
The fractional flow for water and oil, denoted as f w ( S w ) and f o ( S w ) , respectively, are saturation-dependent functions. The following equations define them as
f w ( S w ) = k r w ( S w ) / μ w ( k r w ( S w ) / μ w + k r o ( 1 S w ) / μ o ) , f o ( S w ) = 1 f w ( S w ) ,
with viscosities μ w = 0.001   Pa · s and μ o = 0.002 Pa · s .
Table 3 summarizes the parameters used in the fluid–rock interaction model under high- and low-salinity regimes. These values are based on experimental studies of carbonate reservoirs [7,21,42,43]. The columns define k w and k o as the adsorption coefficients for water ( k w ) and oil ( k o ) (dimensionless), which modulate the affinity of fluids for the rock surface, and n w and n o as the nonlinearity exponents for water ( n w ) and oil ( n o ), reflecting the kinetic response of wettability to salinity changes.

5.2. Interpolation Formulation

Our formulation capitalizes on the established relationship between TBP and wettability. Scaling TBP effectively integrates the influence of salinity, sulfate. and magnesium concentration into the fractional flow function, enhancing the modeling accuracy for oil recovery under low-salinity conditions.
The dimensionless parameter ( θ ) serves as a key factor for interpolating between predefined high- and low-salinity curves for relative permeability, expressed as
K w i ( S w ) = θ K r i H L ( S w ) + ( 1 θ ) K r i L S ( S w ) ,
where i = w , o for water and oil permeability, respectively. We denote by K r i H L the relative permeability under the high-salinity regime, while K r i L S represents the relative permeability for low-salinity conditions.
In our methodology, we adopt a parameter ( θ ) derived from the model proposed by [12], which accounts for chloride and magnesium concentrations, pH levels, and wettability through the TBP. This parameterization offers an approach to compute ( θ ) , facilitating the incorporation of complex concentration dynamics into fractional flow calculations.
The parameter ( θ ) introduces a non-linear relationship among chloride, sulfate, magnesium concentrations, and pH. The formula to calculate ( θ ) based on TBP is given as follows:
θ = TBP ( p H , [ Cl ] , [ Mg 2 + ] , [ SO 4 2 ] ) TBP l TBP h TBP l ,
The parameters T B P l and T B P h represent the lower and upper limits of TBP, respectively. Moreover, the values of [ Cl ], [ SO 4 2 ] and [ Mg 2 + ] in Equation (12) correspond to the concentrations of chloride, sulfate, and magnesium present in the injected water. A similar correlation proposed by [21] also links ( θ ) to the residual oil under varying salinity conditions.
Accurate modeling of fluid flow in petroleum reservoirs is paramount for predicting reservoir behaviour and optimizing hydrocarbon production. In Equations (11) and (12), we introduce a correlation based on TBP, facilitating the description of water and oil fractional flow in reservoirs. This correlation incorporates the influence of water salinity, pH, and rock wettability, enabling the investigation of magnesium and sulfate impact under low-salinity conditions in carbonated water flooding.
To evaluate the suitability of the formula in (12), we examine whether low values of θ correspond to low-salinity injection. A key hypothesis tested here is that elevated magnesium concentrations in injected water reduce θ . These results, verified through numerical experiments (see Section 7.4), suggest that the model reflects the observed relationship between magnesium concentrations, θ , and oil recovery within the tested parameter values.

5.3. The TBP as a Wettability Indicator

Using SCM outputs of PHREEQC, we calculate the TBP by the formulas
TBP 1 = Oil . wCOO ( Cal . sCaOH 2 + + Cal . wCO 3 Ca + + Cal . wCO 3 Mg + + Cal . wSO 4 Ca + )
TBP 2 = Oil . sNH + ( Cal . wCO 3 + Cal . sCaO + Cal . sCaCO 3 + Cal . sSO 4 + Oil . sNH 2 SO 4 )
TBP 3 = Oil . wCOOCa + ( Cal . wCO 3 + Cal . sCaO + Cal . sCaCO 3 + Cal . sSO 4 + Cal . wSO 4 Ca + )
TBP 4 = Oil . wCOOMg + ( Cal . wCO 3 + Cal . sCaO + Cal . sCaCO 3 + Cal . sSO 4 + Cal . wSO 4 Mg + )
TBP = TBP 1 + TBP 2 + TBP 3 + TBP 4
Each component quantifies distinct ionic bridging interactions: TBP1 reflects adhesion between deprotonated oil carboxylates (Oil_wCOO) and positively charged calcite sites such as Cal_sCaOH2+, Cal_wCO3Ca+, and similar species. TBP2 captures interactions between protonated oil ammonium groups (Oil_sNH+) and negatively charged calcite anions, including Cal_wCO3 and Cal_sSO4. TBP3 and TBP4 represent bridging mechanisms via oil-bound calcium or magnesium complexes such as Oil_wCOOCa+ and Oil_wCOOMg+, which interact with calcite anions. By evaluating these components individually, we isolate the physicochemical processes governing wettability shifts and identify the dominant surface complexes in different systems.
The TBP quantifies the cumulative strength of ionic bonds and surface complexes between oil components (e.g., carboxylic groups, COO ) and calcite surfaces ( CaCO 3 ), derived from PHREEQC-calculated surface species concentrations (Section 4). It integrates competing contributions from key ions ( Ca 2 + , Mg 2 + , and SO 4 2 ) that alter adsorption equilibria and modulate wettability. TBP1 measures adhesion of oil carboxylate groups (Oil_wCOO) to positively charged calcite sites (Cal_sCaOH2+, Cal_wCO3Ca+, Cal_wCO3Mg+, and Cal_wSO4Ca+). TBP2 captures interactions between oil ammonium groups (Oil_sNH+) and calcite anions (Cal_wCO3 and Cal_sSO4), while TBP3 and TBP4 reflect the role of oil-bound calcium/magnesium complexes (Oil_wCOOCa+ and Oil_wCOOMg+) in binding to calcite anions. Higher TBP values indicate stronger oil–rock adhesion (oil-wet conditions), hindering oil displacement by water, while lower values correspond to water-wet tendencies. By correlating TBP with ionic composition, the influence of salinity and specific ions on wettability during low-salinity flooding is systematically assessed (see details in [19]).

6. Integration Processes of Geochemical and Multiphase Modeling

To enhance oil recovery in carbonates, we integrate geochemical and compositional modeling through five stages:
1.
Reservoir characterization: Baseline conditions (connate water salinity, porosity, calcite/anhydrite content, and oleic phase properties) are defined to calibrate models.
2.
Injection water design: Key ions ( SO 4 2 , Mg 2 + , Ca 2 + , Cl , and Na + ) are optimized to control wettability and mineral interactions.
3.
Geochemical modeling: PHREEQC computes ion speciation, pH, and surface complexes, deriving Total Bond Product (TBP) from [ Cl ], [ Mg 2 + ], and [ SO 4 2 ] to quantify wettability.
4.
Flow dynamics: Corey-type relative permeabilities, interpolated via TBP, govern multiphase flow. Mass balance equations for ions and saturations are solved in COMSOL Version 6.2.
5.
Recovery Assessment: Simulation outputs (oil recovery rates and ion profiles) are validated against coreflood data to optimize brine chemistry.
This framework integrates geochemical modeling, fluid dynamics, and numerical simulations to systematically assess oil recovery in carbonate reservoirs. The methodology quantifies ionic interactions (e.g., Mg2+ SO 4 2 synergies, Ca2+–carboxylate bridging) through TBP-driven surface complexation thermodynamics coupled with multiphase flow simulations. By linking PHREEQC-calculated TBP to fractional flow dynamics in COMSOL, the model predicts salinity thresholds and ion-specific injection strategies beyond traditional bulk salinity approaches. This integration bridges nanoscale geochemical processes to macroscopic recovery behavior, supporting optimized smart waterflooding designs for heterogeneous carbonates.

7. Effect on the Wettability

7.1. Analysis of TAN and TBN Values and Their Impact on Wettability

In this section, we present the results of the PHREEQC simulations conducted at a high temperature of 100   C, for a low (2.37–3.87) pH range. These low-pH cases represent only theoretical bounds for sensitivity since field-relevant systems operate at higher pH 5.5–9 [44].
The experimental procedure involves varying the injected water composition, specifically sodium ( Na + ), magnesium ( Mg 2 + ), and chloride ( Cl ) ion concentrations (see Table 1), while maintaining constant concentrations of Calcium ([ Ca 2 + ] = 50 mmol / kg ), carbon ( 75 mmol / kg ), and sulfate ( 1 mmol / kg ). Through this experiment, we assess how variations in the ionic composition of the injected water influence the wettability behavior of the system under high-temperature conditions. We keep the pH around low values to isolate the effects of ionic composition on the TBP and other key parameters.
The simulations show that acidic oils exhibit higher TBP values (0.99–5.46) compared to sweet oils (0.18–0.31), as shown in Table 4. This difference may be linked to the greater availability of carboxylate groups ( -COO ) in acidic oils, which potentially facilitates ionic bridging with Ca 2 + sites on calcite surfaces (Row (2), log K = 3.03 , Table A1). In contrast, in sweet crudes, the TBP appears to depend on interactions involving amine groups ( -NH + ) (Row (1), log K = 3.61 , Table A1), which exhibit weaker thermodynamic preference, as suggested by their limited contribution to TBP (Table A5, Appendix C) [9,28].
The elevated concentration of Oil w , COOH in acidic oils (3.73 × 10 6 –2.07 × 10 5 mol/kgw, Table 4) compared to sweet crudes (1.31 × 10 8 –3.96 × 10 8 mol/kgw, Table 4) might explain their divergent wettability behavior. Under acidic conditions (pH 2.37–3.87), partial dissociation of Oil w , COOH into Oil w , COO could occur, enabling Ca 2 + to bind to calcite (log K = 3.03 and log K = 3.72 , Table A1). While these equilibrium constants suggest moderate binding affinity, the abundance of carboxylate groups in acidic oils may still promote surface complexation with calcite, consistent with prior observations [17].
Although the concentrations of amine ( Oil s , NH + ) and carboxylate ( Oil w , COOH ) groups are comparable in acidic oils (Table 4), their contribution to TBP shows differences due to thermodynamic and bonding mechanisms. The protonation reaction of the amine group (Row (1), log K = 3.61 , Table A1) favors the protonated form ( Oil s , NH + ) under acidic conditions, limiting the availability of neutral Oil s , N to adsorb onto calcite. In contrast, carboxylates ( Oil w , COO , Row (2), log K = 3.03 , Table A1) deprotonate more readily, forming ionic bridges with surface Ca 2 + ([17]). While amines interact via weak dipole-dipole forces, carboxylates form directional ionic bonds that are thermodynamically more stable ( Δ log K = + 0.11 ) and account for over 80% of TBP (Table A4, Appendix C).

Role of Ionic Bridging and Stability Constants

In this section, to quantify wettability differences between acidic and sweet crude oils, we analyze the TBP components, where each component corresponds to a specific interfacial interaction. The nature of these interactions is inferred directly from the reactive species present in the equilibrium equations: TBP1 (Equation (13)) captures the ionic bridging between deprotonated oil carboxylates ( Oil w COO ) and positively charged calcium sites on the calcite surface ( Cal s CaOH 2 + ) [9,17]. This reflects a classic electrostatic attraction that dominates in acidic oils due to their high carboxylate group abundance [28]. TBP2 (Equation (14)) represents dipole interactions between protonated amine groups in sweet oils ( Oil s NH + ) and negatively charged carbonate surface groups on calcite ( Cal w CO 3 ) [16]. This weaker interaction prevails in sweet oils, where amine functionalities outnumber carboxylates [18]. TBP3 (Equation (15)) describes calcium-mediated carboxylate bridging, where Ca 2 + ions act as intermediaries, linking oil-derived carboxylates to calcite surfaces via ternary complexes. TBP4 (Equation (16)) follows a similar mechanism as TBP3 but involves Mg 2 + ions as bridging agents, highlighting the role of alternative divalent cations in interfacial adhesion [4].
By integrating surface complexation concentrations (Table A4 and Table A5, Appendix C) with equilibrium constants ( log K ), we elucidate how specific ionic interactions govern adhesion.
In acidic oils, the primary contribution to adhesion may arise from carboxylate–Ca2+ ionic bridging, quantified by TBP 1 (mean = 2.17 ± 1.58 × 10 12 ), representing approximately 80.93% of total adhesion (Table 4). This trend seems consistent with elevated carboxylate concentrations ( Oil w , COO = 3.73 × 10 6 2.07 × 10 5 mol/kgw) and the moderate thermodynamic preference for these interactions ( log K = 3.72 , Row (3), Table A1), despite the equilibrium constant suggesting limited spontaneity [17]. The substantial carboxylate availability in acidic oils amplifies Ca 2 + -mediated bridging, even under competitive conditions with other divalent cations.
Sweet crude systems exhibit fundamentally different adhesion mechanisms compared to acidic oils, with TBP2 (amine-mediated interactions) constituting 64.97% of total adhesion (Table 4). This behavior is observed despite comparable OilsNH+ concentrations in both oil types: sweet ( 3.81 × 10 7 1.07 × 10 6 mol/kgw) vs. acidic ( 5.09 × 10 7 1.38 × 10 6  mol/kgw) (Table 4). The reduced efficacy of amine-driven adhesion may arise from two key factors: (1) the weaker thermodynamic stability of amine-calcite complexes ( log K = 3.61 , Row (1), Table A1) compared to carboxylate bridging ( log K = 3.72 , Δ log K = + 0.11 ; Row (3), Table A1), and (2) a 100× difference in reactive carboxylate group concentrations ( Oil w COOH = 1.31 × 10 8 3.96 × 10 8 mol/kgw in sweet vs. 3.73 × 10 6 2.07 × 10 5 mol/kgw in acidic oils). These constraints limit carboxylate contributions to merely 0.07 ± 0.04 × 10 12 TBP1 (Table A5, Appendix C), resulting in 2.5× lower overall TBP values compared to acidic systems [16,17,18].
The observed difference in adhesion mechanisms arises from a combination of thermodynamic and compositional factors. Acidic oils display carboxylate concentrations ( 3.73 × 10 6 to 2.07 × 10 5 mol/kgw) that are almost two orders of magnitude higher than those in sweet crudes ( 1.31 × 10 8 to 3.96 × 10 8 mol/kgw) (Table 4). When coupled with the somewhat favorable thermodynamics of carboxylate-Ca2+ bridging ( log K = 3.72 , Row (3), Table A1) over amine interactions ( log K = 3.61 , Δ log K = + 0.11 ; Equation (1), Table A1), this concentration advantage allows carboxylate interactions to govern 80.93% of acidic oil adhesion (Table 4). In contrast, sweet oils show minimal TBP1 contributions ( 0.07 ± 0.04 ), as the limited availability of carboxylate groups restricts this pathway despite similar thermodynamic constraints [17].
Acidic systems also show secondary adhesion through Ca2+- and Mg2+-mediated complexes (TBP3 = 0.07 ± 0.05 , TBP4 = 0.53 ± 0.48 ; Table A4, Appendix C), though these mechanisms remain secondary to the primary carboxylate interactions. The continued participation of divalent cations possibly reflects competitive adsorption at calcite surfaces, while the higher abundance of carboxylate groups, higher than 10 2 in acidic oils compared to sweet oils, ensures their dominance in the adhesion process. This multi-ionic interplay suggests the potential for complex wettability modulation through controlled brine engineering [4].
Our numerical experiments show that the concentration of surface-active carboxylic groups in acidic oils is approximately 10 times higher than in sweet oils, contributing to their increased TBP values.

7.2. Effect of pH on Wettability Alteration

Here, we investigate pH-dependent wettability alteration through surface complexation modeling at the calcite, oil, and brine interfaces. By repeating the experiments in Section 7.1 under alkaline conditions (pH 7.36–8.37), we elucidate the mechanisms governing oil–rock adhesion for acidic or sweet crude oils. Statistical results are tabulated in Table 5, Table 6, Table 7 and Table 8. Acidic oils exhibit enhanced interfacial activity at high pH, driven by carboxylate–calcite interactions, while sweet oils remain limited by their low acid content.
At elevated pH conditions (7.36–8.37), deprotonation of carboxylic acid groups OilwCOOH → OilwCOO (Equation (2), log K = 3.03 ) may enhance the availability of carboxylate anions for interaction with calcite-associated Ca2+. While the equilibrium constant for Ca2+-carboxylate bridging (Equation (3), log K = 3.72 ) suggests moderately favorable binding, the high density of carboxylate groups in acidic oils possibly amplifies their contribution to wettability alteration compared to amine-mediated interactions (Equation (1), log K = 3.61 ), as inferred from surface complexation analyses [16,17].
As shown in Table 5 and Table 6, the mean TBP for acidic oils increases from 3.23 ± 1.12 at low pH (2.37–3.87) to 6.74 ± 0.62 at pH higher than 7.5 . This shift coincides with a reduction in protonated Oilw,COOH (from 1.22 × 10 5 to 1.96 × 10 9 mol/kgw), consistent with increased deprotonation at alkaline conditions. The rise in TBP implies that carboxylate abundance—rather than stark thermodynamic favorability—drives adhesion under high pH, even as competing mechanisms (e.g., amine interactions) exhibit comparable equilibrium constants.
Deprotonated carboxylates ( Oil w , COO ) may facilitate ionic bridging, as indicated by the predominant contribution of TBP 1 (4.92 ± 0.28; Table 8). These carboxylates could adsorb onto Cal _ s , CaOH 2 + sites, forming complexes with moderate stability ( log K = 3.72 ; Row (3), Table A1), which correlate with increased oil adhesion [28]. The higher TBP values for acidic oils (7.45 ± 0.39; Table 6) compared to sweet oils (0.10 ± 0.02; Table 7) suggest that carboxylate–Ca2+ interactions exert a more significant influence on wettability in acidic systems. This trend aligns with pH-dependent carboxylate availability ( log K = 3.03 ; Row (2), Table A1) [17].
Sweet oils, in contrast, exhibit limited responsiveness to pH variations. Data from Table 7 show a decline in TBP from 3.06 ± 0.06 (pH 2.37–3.87) to 0.10 ± 0.02 (pH 7.36–8.37), indicating reduced adhesion potential under alkaline conditions. This contrasts with the pH-driven TBP increase in acidic oils and may reflect the weaker thermodynamic stability of amine–calcite interactions ( log K = 3.61 ; Row (1), Table A1) compared to carboxylate bridging [16]. The limited dissociation of carboxylic groups in sweet oils ( Oil w , COOH = 1.22 × 10 9  mol/kgw) further restricts carboxylate availability ( Oil w , COO = 3.41 × 10 7  mol/kgw), as shown in Table 7.
Nitrogen-containing groups in sweet oils ( Oil s , NH = 1.16 × 10 8  mol/kg w ) show minimal pH sensitivity across the tested range (pH 2.37–8.37). This behavior may arise from their limited acid–base reactivity, as evidenced by the equilibrium constant for amine protonation ( log K = 3.61 , Row (1), Table A1). Consequently, these groups possibly interact with calcite via transient dipole forces rather than stable ionic bonds, contrasting with carboxylate-driven mechanisms in acidic oils (Table 6).
Calcium-carboxylate complexation is markedly reduced in sweet oils, with TBP 3 contributions (7.08 ±  4.22 × 10 3 ; Table 9) three orders of magnitude lower than in acidic oils ( TBP 3 = 2.64 ± 0.38). This suggests limited capacity for multivalent cation bridging in sweet crudes, potentially disadvantaging their recovery under ionic interaction-dominated processes.
The adhesion hierarchy ( TBP 1 > TBP 4 > TBP 3 ) remains consistent across pH conditions (Table 8 and Table 9). In acidic oils, carboxylate bridging dominates ( TBP 1 = 3.61 ± 0.49), while amine interactions contribute marginally ( TBP 2 = 0.0048 ± 0.0011). Sweet oils exhibit attenuated hierarchies ( TBP 1 = 0.102 ± 0.006; TBP 2 = 0.0030 ± 0.0024), reflecting the thermodynamic limitations of amine–dipole interactions ( log K = 3.61 ; Row (1), Table A1) relative to carboxylate bridging ( log K = 3.72 ; Row (3), Table A1) [17].
Sweet oils display a reduced contribution hierarchy: TBP1 decreases by 98% (0.102 ± 0.006), while TBP2 constitutes only 2.94% (3.00 × 10−3). This attenuation aligns with the lower thermodynamic stability of amine–calcite interactions (log K = −3.61, Row (1) at 100   C , Table A1) compared to carboxylate–Ca2+ bridges (log K = −3.72, Row (3), Table A1). Although both interactions are thermodynamically unfavorable at elevated temperatures, the slightly greater stability of carboxylate complexes ( Δ log K = +0.11) helps explain their preferential role in adhesion. However, their contribution remains limited in sweet oils due to the relatively low acid content.
Under alkaline conditions, i.e., pH higher than 7.5, acidic oils exhibit higher TBP values ( 6.74 ± 0.62 ; Table 6), driven by temperature-enhanced carboxylate dissociation. At 100   C , the equilibrium for Oilw COOH deprotonation (Row (2), log K = −3.03, Table A1) shifts further right compared to 25 °C ( Δ log K = +0.80), increasing Oilw COO availability. This facilitates Ca2+ bridging (Row (3), log K = −3.72, Table A1), though the elevated temperature reduces complex stability relative to ambient conditions ( Δ log K = −0.50). The resultant TBP values are 56× higher than those of sweet oils ( 6.74 × 10 12 vs. 0.12 × 10 12 ; Table 6 and Table 7).
In sweet oils, pH elevation (7.36–8.37) shows a negligible impact due to minimal carboxylic groups ( Oil w COOH = 1.45 × 10 12 mol/kgw) and weakly pH-responsive amines ( Δ TBP 2 lower than 1%). The log K for amine protonation ( 3.61 at 100   C , Row (1), Table A1) reflects limited thermodynamic favorability for NH 3 + retention on calcite, insufficient to offset carboxylate dominance in acidic oils. Calcium enrichment (higher than 50   mmol/kg w ) may partially compensate by promoting alternative Mg 2 + -SO 4 2 synergies (Row (10), log K = 1.88 , Table A1), though their contribution to TBP remains secondary (lower than 5%).
Sulfate adsorption at high pH ( 3.85 × 10 9 mol/kgw) shows limited wettability influence, attributed to weak binding affinity ( log K = 7.55 , Row (11), Table A1). Carboxylate-Ca 2 + complexes ( Oil w COOCa + = 4.45 ± 0.37 × 10 12 mol/kgw) dominate interfacial interactions ( 66.0 % of total TBP), consistent with their relative thermodynamic stability (Row (3); log K = 3.72 , Table A1) versus sulfate-mediated mechanisms. This suggests that the sulfate optimization provides marginal returns (lower than 2 % TBP variation) in high-temperature carbonates where carboxylate pathways prevail.
Field trials reporting 12–15% recovery gains in acidic carbonates [4] align with these mechanisms, though temperature-adjusted models predict 8–12% gains due to complex stability reduction at 100   C . While multidentate carboxylate bonding ( TBP 1 ) remains dominant, operational strategies require Ca 2 + /Mg 2 + ratio optimization (higher than 2 : 1 molar) to maximize the thermal enhancement of ion exchange equilibria ( Δ log K = + 0.20 for Mg 2 + substitution).

7.3. Effect of SO 4 2 Ions

In this section, we investigate the influence of sulfate ions ( SO 4 2 ) on wettability alteration in carbonate systems. We utilize PHREEQC simulations under low-salinity and alkaline pH conditions to isolate the effect of SO 4 2 . Our analysis reveals that while increased sulfate concentrations promote sulfate adsorption, the dominant mechanism governing wettability alteration remains the interaction between carboxylates and calcite.
To examine the specific role of sulfate, we maintained the experimental conditions described in Section 7.2, with the pH adjusted to the alkaline range (7.36–8.37) and varying concentrations of SO 4 2 . Other ion concentrations were held constant to ensure that observed wettability changes were primarily attributable to SO 4 2 , as described in Table 2. Contour plots of TBP in Figure A1 show trends across chloride and magnesium concentration variations, in qualitative agreement with experimental trends reported by [26]. Three sulfate influence regimes emerge, contingent on brine chemistry and oil composition.
Under low-salinity conditions, ([ Cl ] lower than 0.85 mol/kgw), sulfate concentrations of 0.250 mol/kgw increase TBP compared to low-sulfate systems (0.001 mol/kgw), rising from 1.25 ± 0.18 to 4.35 ± 1.66 (Figure A1a,b). This suggests a significant role of sulfate adsorption at calcite surfaces, possibly enhancing TBP through mechanisms not dominated by CaOH + competition (Row (11), log K = 7.55 , Table A1). Although the low log K indicates limited sulfate affinity, the observed enhancement in TBP implies alternative pathways of surface complexation or structural reorganization, aligning with extended mechanistic interpretations [17].
Acidic oils (TAN higher than 1 mg KOH/g) show increased sensitivity to sulfate, with model-predicted displacement of  53% surface-bound Ca 2 + (Table 10). This aligns with experimental trends [9], though the modest affinity of sulfate for Ca 2 + (Row (11), log K = 7.55 , Table A1) implies the role of sulfate is secondary to carboxylate-Ca 2 + interactions ( log K = 3.72 , Row (3), Table A1).
Under high-salinity conditions, ([ Cl ] higher than 1.69 mol/kgw), TBP differences between high- and low-sulfate systems diminish to 0.05 (Figure A1). This convergence may reflect charge screening effects, which compress the electric double layer and reduce the competitive adsorption of sulfate capacity.
Synergistic Mg2+- SO 4 2 interactions show a limited impact under modeled conditions. At [Mg2+] higher than 0.823 mol/kgw, Mg2+- SO 4 2 ion pair formation (as proposed in [4]) (Row (18), log K = 8.15 , Table A1) correlates with a 35% TBP reduction (from 6.74 to 4.35 ).
Under high-sulfate conditions at pH 3.20, aqueous speciation analysis showed sulfate concentration increased to 50.48   mmol / kgw while magnesium rose to 4.32   mmol / kgw (2.8× baseline). The formation of 1.88   mmol / kgw neutral MgSO 4 0 complexes suggests reduced adsorption capacity through ion pairing, consistent with the moderate (Row (18), log K = 8.15 , Table A1) Mg 2 + -SO 4 2 association.
The observed TBP decrease may instead arise from competitive adsorption between Mg2+ and Ca2+ at carboxylate sites (Row (4), log K = 3.92 , Table A1), rather than sulfate-mediated effects. For acidic oils (TAN higher than 1 mg KOH/g), TBP decreases from 6.74 to 4.35 under high sulfate conditions (Table 11), while sweet crudes (TAN = 0.3 mg KOH/g) exhibit attenuated reductions ( 2.17 , Table 12). Further experimental validation is required to decouple these mechanisms.
Under low-salinity conditions, [ Cl ] lower than 0.56 mol/kgw, combined Mg 2 + (higher than 1.24 mol/kgw) and SO 4 2 (0.25 mol/kgw) co-injection correlates with reduced TBP (0.08–0.12 vs. 0.18–0.25 for low SO 4 2 ). This 53% reduction suggests that contributions from sulfate adsorption at calcite >CaOH + sites (Row (11), log K = 7.55 , Table A1) partially disrupt Ca 2 + -carboxylate bridges ( log K = 3.72 , Row (3), Table A1), though weak sulfate affinity limits efficiency. Mg 2 + adsorption at >CaCO 3 sites (Row (10), log K = 1.88 , Table A1) may reverse surface polarity, reducing oil adhesion.
Field trials in Ghawar carbonates report 8–12% incremental recovery under these conditions. However, the modest log K values imply that Mg 2 + -Ca 2 + competition ( Δ log K = + 0.20 favoring Mg 2 + ) plays a larger role than sulfate-specific effects.
Sulfate impacts differ markedly by oil type: Acidic oils (TAN = 1.8 mg KOH/g) retain a higher TBP (0.62–6.04) due to persistent Ca 2 + -carboxylate bridging ( Oil w COO = 7.33 ± 6.28 × 10 6 mol/kgw), stabilized by favorable thermodynamics (Row (3), log K = −3.72, Table A1). Sweet oils (TAN = 0.3 mg KOH/g) show a lower TBP (0.126–0.343) as sulfate weakly displaces amine groups ( Oil s NH + , log K = −3.61, Row (1), Table A1)—a process amplified by low carboxylate availability. While [16] attributes this to sulfate adsorption, the log K = −7.55 (Row (11), Table A1) suggests alternative mechanisms, such as ionic strength effects on amine protonation, may dominate.
In low-salinity reservoirs, [ Cl ] lower than 0.3 mol/kgw, sulfate levels should be minimized (lower than 50 mmol/kgw) to preserve Ca 2 + -carboxylate bridges that stabilize oil-wet conditions. This is critical, as high sulfate (250 mmol/kgw) reduces TBP by 72% (Table 11), destabilizing adhesion. In high-salinity formations ([ Cl ] greater than 1.7 mol/kgw), co-injection of Mg 2 + and SO 4 2 (200–300 mmol/kgw) leverages thermodynamic synergies, forming MgSO 4 0 ( 1.88 mmol/kgw), which reduces TBP by 19% through charge screening. For acidic crudes, maintaining pH greater than 7.5 (TBP: 6.99 vs. 0.79 at low pH; Table 6) is more effective than sulfate management, as carboxylate dominance governs adhesion [16].
These strategies align with coreflood data from [26], where sulfate-optimized injection reduced residual oil saturation by 15% in Stevns Klint chalk.

7.4. Effect of Mg2+ Ions

Here, we evaluate the role of magnesium ions (Mg2+) in altering wettability during carbonated waterflooding under low-pH conditions with acidic crude oil (pH lower than 3.2, TAN higher than 1.0 mg KOH/g). Sulfate ( SO 4 2 ), sodium (Na+), and chloride (Cl) concentrations are systematically varied while maintaining calcium (Ca2+) fixed at 50 mmol / kgw (Table 1). Two magnesium regimes are tested: low [Mg2+] ( 10 mmol / kgw ) and high [Mg2+] ( 260 mmol / kgw ). TBP trends are analyzed using contour plots (Figure A2), revealing distinct behaviors across sulfate and chloride ranges.
In low-sulfate systems, [ SO 4 2 ] lower than 6 mol/kgw, Mg2+ exhibits salinity-dependent wettability effects. At low chloride, [Cl] lower than 30 mol/kgw, TBP peaks at 0.25–0.35 under low [Mg2+] (Figure A2a), driven by persistent Ca2+-carboxylate bonding (Row (3), log K = 3.72 , Table A1), consistent with [9]. Elevated [Mg2+] (higher than 0.86 mol/kgw) reduces TBP by approximately 30% (0.18–0.25; Figure A2b), possibly resulting from Mg2+ substitution at calcite sites (Row (10), log K = 1.88 , Table A1). At high salinity, [Cl] higher than 60 mol/kgw, ionic screening could influence the interfacial behavior, producing uniformly low TBP (0.04–0.08) regardless of Mg2+ (Figure A2).
In high-sulfate systems, [ SO 4 2 ] higher than 6 mol/kgw, the co-injection of Mg2+ and SO 4 2 may lead to a 50–60% reduction in TBP at low chloride concentrations, [Cl] lower than 30 mol/kgw (Figure A2), in agreement with previous observations by [4]. This behavior could be associated with multiple interacting mechanisms. First, the adsorption of Mg2+ onto negatively charged calcite surfaces (CaCO3) may induce surface charge modifications (Row (10), log K = 1.88 , Table A1), which might reduce the stability of oil–mineral complexes, as suggested by [17]. Second, Mg2+ may compete with Ca2+ for carboxylate binding sites on the oil interface (Row (4), log K = 3.92 (Table A1) for Mg2+ versus log K = 3.72 for Ca2+), potentially shifting the equilibrium slightly in favor of Mg2+ due to a Δ log K = + 0.20 preference. Finally, sulfate may enhance the apparent reactivity of Mg2+ through the formation of neutral ion pairs (MgSO40), which lowers the free aqueous concentration of Mg2+ while maintaining its interfacial activity.
The weak sulfate–calcite affinity ( log K = 7.55 , Row (11), Table A1) limits the direct interaction of sulfate with the mineral surface, while increased ionic strength enhances Mg2+ reactivity [16]. At intermediate chloride concentrations (30–60 mol/kgw), TBP remains suppressed (0.08–0.15) even at high Mg2+ levels (higher than 1.0 mol/kgw), confirming the effectiveness of modified brine compositions [4].
In low-sulfate reservoirs, maintaining [Mg2+] below 0.5 mol/kgw may help preserve Ca2+-mediated oil-wet adhesion. In high-sulfate systems, Mg2+-enriched brines (0.15–0.25 mol/kgw) could promote beneficial ionic interactions. Under high-salinity conditions, [Cl] higher than 60 mol/kgw, the effects of charge screening suggest that adjusting Mg2+/Ca2+ ratios (from 1:2 to 1:3) may be important to maintain interfacial stability [17].
Field trials have reported recovery gains of approximately 10–15% when using Mg2+-optimized brines [4], which align with simulated TBP reductions in the range of 0.12–0.18. Acidic oils (TAN higher than 1 mg KOH/g) may display up to 2.5× greater TBP sensitivity compared to sweet crudes (TAN around 0.3 mg KOH/g; Table A4 and Table A5, Appendix C), potentially due to stronger carboxylate–calcite bridging, whereas amine interactions tend to be weaker ( log K = 3.61 , Row (1), Table A1) [16].

7.5. Effect of Ca2+ and SO 4 2 Synergy on Wettability

This section investigates the influence of calcium ions ( Ca 2 + ) on wettability under controlled geochemical conditions where calcite ( CaCO 3 ) remains stable (no dissolution or precipitation) and CO 2 (g) is absent. We evaluate the role of calcium in wettability alteration through the systematic variation of sodium (Na+), chloride (Cl), and magnesium (Mg2+) concentrations (40–3600 mmol/kgw), while maintaining calcium (Ca2+) and sulfate ( SO 4 2 ) at fixed levels (50–100 mmol/kgw Ca2+; 1–30 mmol/kgw SO 4 2 ). Calcite saturation was rigorously controlled to isolate Ca2+ surface interactions without interference from mineral precipitation effects.
Calcium, which is naturally present in carbonate rocks, influences wettability in two main ways: (1) It forms ionic bridges between oil carboxylate groups ( -COO ) and the surface of calcite, helping to keep the rock oil-wet, and (2) it competes with other divalent ions like Mg 2 + for adsorption on the calcite surface. The numerical experimental data suggest that TBP dynamics under alkaline conditions are influenced by competitive ion adsorption and protonation states of carboxylic groups. These trends correspond to prior models of ion-specific interactions at carbonate–oil interfaces, as outlined in [9,17].
The surface complexation reaction between sulfate and calcite ( Cal s OH + SO 4 2 Cal s SO 4 + OH ) is assigned a log K = 7.55 to limit the formation of Cal s SO 4 complexes. While literature values for this reaction vary, the selected log K aligns with core flooding data [26] and ensures that sulfate competitively displaces oil-bound Ca 2 + / Mg 2 + complexes without overstabilizing.
Here, we present the interplay between calcium (Ca2+) and sulfate ( SO 4 2 ) ions in controlling wettability for acidic oils, TAN higher than 1   m g KOH/ g , under alkaline conditions (pH 7.36–8.37). Four experimental scenarios were simulated using PHREEQC to quantify TBP trends, as shown in Table 13:
The statistical results for TBP and key surface complexes are summarized in Table 14. At high pH, deprotonated carboxylate groups (Oil_wCOO) dominate calcite surface interactions. Ca2+ could facilitate ionic bridging via Oil_wCOOCa+ complexes, while SO 4 2 competes for calcite adsorption sites, disrupting oil adhesion, as previously discussed in [9].
The combination of low Ca2+ (0.05 mol/kgw) and high SO 4 2 (0.03 mol/kgw) yields a TBP of 6.81 ± 0.62 (Table 14), nearly identical to high-Ca2+ systems (6.80). The significant reduction in TBP by SO 4 2 requires the presence of Ca 2 + to displace carboxylate complexes, as observed in Table 2 for [ Ca 2 + ] = 50 mmol/kgw. The results might imply that calcium availability continues to play a critical role, even in environments with high sulfate levels.
In systems with high calcium (0.1 mol/kgw) and sulfate (0.03 mol/kgw) concentrations, TBP exhibits minimal reduction ( 6.80 ± 0.62 ) compared to low-sulfate systems ( 6.74 ± 0.63 ), indicating that competitive sulfate adsorption only marginally disrupts Ca2+-carboxylate complexes. This modest 0.9% TBP decline aligns with coreflood observations where sulfate enrichment showed limited direct impact on adhesion [26]. Nevertheless, field trials report 12% recovery gains with Ca2+/ SO 4 2 co-injection [4], implying synergistic mechanisms beyond TBP-driven wettability shifts, such as ionic strength modulation, improved sweep efficiency, or the dissolution of anhydrite traces. These findings highlight that optimized ion ratios, rather than bulk salinity reduction, are critical for maximizing recovery in carbonate reservoirs.
For operational strategies, co-injecting Ca2+ (0.1 mol/kgw) and SO 4 2 (0.03 mmol/kgw) remains recommended despite the modest 0.9% TBP reduction, as field evidence demonstrates synergistic benefits beyond adhesion metrics. These approaches are supported by Ghawar carbonate trials [4], where Ca2+- SO 4 2 synergy improved recovery through combined geochemical and flow dynamics effects.

8. Quantitative Analysis of Ionic Synergies

This section evaluates changes in the normalized interpolation parameter θ (Equation (12)) under systematic variations in the concentrations of magnesium ( [ Mg 2 + ] ), chloride ( [ Cl ] ), and sulfate ( [ SO 4 2 ] ). Using TBP values derived from PHREEQC, the parameter θ is calculated to assess wettability transitions between high-salinity ( θ = 1 , oil-wet) and low-salinity ( θ = 0 , water-wet) regimes. The analysis suggests ion concentration levels linked to reduced TBP-driven oil–rock adhesion, which may improve oil recovery outcomes. Numerical simulations focus on acidic oil, where carboxylate-calcite interactions dominate wettability behavior. The parameter θ serves as a direct indicator of surface affinity: Values approaching one reflect strong oil adhesion, while values near zero signify water-wet conditions favorable for displacement efficiency. Table A6 and Table A7 in Appendix D present the parameter θ for varying Mg 2 + (0.02–6.80 mol/kgw) and SO 4 2 (0.02–0.12 mol/kgw) concentrations, revealing key trends across salinity regimes.
Under low-salinity conditions ([Cl] = 0.06 mol/kgw; Table A6), the interplay between Mg2+ and SO 4 2 shifts due to ionic strength effects, which enhance the thermodynamic activity of divalent ions and promote Mg2+- SO 4 2 pairing, as demonstrated in carbonate systems by [4]. This behavior aligns with the double-layer expansion mechanisms described for low-salinity waterflooding in [31]. When SO 4 2 concentrations are lower than 0.04 mol/kgw, the normalized TBP parameter θ decreases monotonically as [Mg2+] increases. For example, θ drops from 0.92 to 0.29 when [Mg2+] increases from 0.02 to 6.80 mol/kgw, indicating that Mg2+ could displaces Ca2+-carboxylate surface complexes, promoting water-wet conditions [17]. Conversely, at higher SO 4 2 concentrations, higher than 0.06 mol/kgw, the θ response becomes non-monotonic. At moderate [Mg2+] (0.36 mol/kgw), θ increases to 0.87, probably due to competitive adsorption between Mg2+ and SO 4 2 on calcite surfaces, which stabilizes Ca2+-carboxylate linkages [9]. However, at higher [Mg2+] levels, lower than 2.00 mol/kgw, θ decreases again, reaching 0.30. This trend is consistent with geochemical modeling by [4], where Mg2+- SO 4 2 ion pairing (MgSO40) reduces Mg2+ activity, freeing SO 4 2 to displace Ca2+-carboxylate bonds. In acidic oils, TAN higher than 1 mg KOH/g, abundant carboxylate groups amplify this effect, as shown experimentally in [28].
This non-monotonic trend could be attributed to ion-specific interactions that evolve with [Mg2+]. At intermediate Mg2+ levels (e.g., 0.36 mol/kgw), adsorption of SO 4 2 is suppressed due to preferential Mg2+ binding at positively charged calcite sites (Cal_sCaOH2+), which limits the disruption of oil–carboxylate (–COO) linkages [9]. As a result, oil-wet conditions persist. At higher Mg2+ concentrations, higher than 2.00 mol/kgw, two key effects arise: (i) A reversal of the calcite surface charge reduces its affinity for carboxylates [17], and (ii) the formation of neutral MgSO40 ion pairs increases, freeing SO 4 2 to compete for surface sites and displace Ca2+-carboxylate complexes [4]. This dual mechanism leads to a decrease in θ and promotes wettability reversal toward more water-wet states. Similar trends have been observed experimentally in carbonate systems, where initial Mg2+ enrichment maintained oil wetness, but higher concentrations enhanced water wetness via sulfate mobilization and electrostatic screening [31,45].
Similarly, a complementary trend is observed when SO 4 2 concentration is varied while maintaining a fixed initial Mg 2 + concentration in the injected water. This experimental design specifically targets the role of sulfate in modulating Mg 2 + availability through MgSO 4 precipitation. Increasing [ SO 4 2 ] elevates thermodynamic driving force for solid-phase formation (e.g., epsomite or Mg-carbonate-sulfate complexes), thereby reducing effective [ Mg 2 + ] at the metal–solution interface. Consequently, sulfate indirectly influences corrosion by reducing the protective effect of dissolved Mg 2 + , which helps stabilize protective hydroxide layers and inhibit cathodic reactions. This mechanism directly explains our observation that at low Mg2+ concentrations, lower than 0.36 mol/kgw, increasing SO 4 2 results in a decline in θ (e.g., from 0.94 to 0.45 as SO 4 2 increases from 0.02 to 0.06 mol/kgw), highlighting the role of SO 4 2 in replacing Ca2+-carboxylate surface complexes in the absence of significant Mg2+ competition [9]. Conversely, at elevated Mg2+ levels, higher than 2.00 mol/kgw, increasing SO 4 2 leads to a modest increase in θ (e.g., from 0.30 to 0.36 as SO 4 2 rises from 0.02 to 0.12 mol/kgw), suggesting a synergistic interaction between Mg2+ and SO 4 2 in which excess SO 4 2 facilitates partial restoration of oil wetness through the formation of ternary surface complexes.
Under high-salinity conditions ([Cl] = 0.39 mol/kgw), Mg2+ and SO 4 2 behavior is influenced by increased ionic strength (Table A7). When SO 4 2 concentrations are low (0.02–0.04 mol/kgw), the parameter θ exhibits a monotonic decrease from 0.90 to 0.28 as Mg2+ concentration increases, indicating the efficient disruption of Ca2+-carboxylate bridges by Mg2+. However, at higher SO 4 2 levels, higher than 0.06 mol/kgw, the θ trend becomes non-monotonic, with a local maximum observed at [Mg2+] = 0.16 mol/kgw. This behavior possibly arises from competitive adsorption between Mg2+ and SO 4 2 , followed by the formation of neutral ion pairs that mitigate further surface displacement effects.
When SO 4 2 is varied at fixed Mg2+ levels, distinct regimes emerge. At low Mg2+ concentrations, lower than 0.36 mol/kgw, variations in SO 4 2 produce minimal changes in θ ( Δ θ lower than 0.05), attributed to the dominance of electrostatic charge screening that limits SO 4 2 surface activity. Conversely, at elevated Mg2+ levels, higher than 2.00 mol/kgw), the effect of increasing SO 4 2 remains marginal, with only a slight decrease in θ ( Δ θ 0.02 ), as Mg2+ continues to dominate surface interactions through direct competition and pairing effects.
A direct comparison of Table A6 and Table A7 shows that salinity changes not only the magnitude but also the stability of θ responses across varying ion concentrations. For Mg2+ concentrations below 0.36 mol/kgw, θ exhibits notably different sensitivities to SO 4 2 under low and high salinity—highlighting that at low salinity, even small additions of sulfate can significantly reduce θ , whereas at high salinity, the effect is more gradual and muted. Conversely, for Mg2+ concentrations above 2.5 mol/kgw, θ values under low salinity become less responsive to both Mg2+ and SO 4 2 variations, suggesting a plateauing behavior possibly associated with surface saturation or charge compensation mechanisms. Under high salinity, however, this stabilization is less pronounced, with θ still showing appreciable variation, particularly when both Mg2+ and SO 4 2 are simultaneously increased—revealing that ionic activity effects persist even at elevated concentrations.
Although elevated [Mg2+] levels, higher than 5.00 mol/kgw, can strongly enhance water wetness, our simulations using PHREEQC revealed that such concentrations, when combined with high SO 4 2 levels, may induce undesirable geochemical effects—most notably, the dissolution of anhydrite ( CaSO 4 Ca 2 + + SO 4 2 ) in carbonate formations. These findings underscore a critical practical insight: Achieving a balanced brine composition is essential.
While chloride ( Cl ) does not directly participate in surface complexation reactions or contribute to the TBP, it plays a critical role in modulating ionic strength (I), which governs the thermodynamic activity of potential-determining ions (e.g., Mg 2 + , SO 4 2 ). As a non-complexing spectator ion, Cl influences the Debye length through its contribution to I. PHREEQC simulations confirm that reducing [ Cl ] lowers I (e.g., I = 0.12 mol / kgw at [ Cl ] = 0.06 mol / kgw vs. I = 0.98 mol / kgw at [ Cl ] = 3.60 mol / kgw ). This decrease amplifies the activity of divalent ions ( Mg 2 + , SO 4 2 ), enhancing their ability to reduce Ca 2 + -carboxylate bonds [31]. Thus, although Cl is inert in bonding, its concentration governs the efficacy of wettability-altering ions, as demonstrated in low-salinity waterflooding studies [32].

9. TBP-Based and Experimental Wettability Metrics

The TBP-derived wettability trends align with established experimental metrics, including contact angle measurements, adhesion forces, and oil recovery factors. This section contextualizes the simulated TBP behavior within the broader experimental understanding of carbonate wettability alteration.
Table 15 synthesizes three key correlations between TBP trends and experimental wettability metrics observed across multiple studies. These relationships provide mechanistic validation for the role of TBP as a predictive indicator of ionic bridging effects.
As show in Figure A2, at low salinity, [ Cl ] lower than 0.1 mol/kgw, the TBP reduction with elevated [ Mg 2 + ] mirrors contact angle increases (i.e., more water-wet conditions) observed in [9]. For example, a TBP decline from 1.1 to 0.35 (68% reduction) corresponds to a contact angle shift from 40 to 80 in chalk cores flooded with Mg-enriched brine [26]. Similarly, the pH-dependent TBP rise for acidic oils (Table 6) aligns with atomic force microscopy (AFM) measurements by [17], where adhesion forces decreased by 55% as pH increased from 3 to 8 due to carboxylate deprotonation.
The antagonistic effect of [ SO 4 2 ] on TBP at low [ Cl ] (Figure A1) is consistent with the 12–13% incremental oil recovery reported by [26] in calcitic cores flooded with sulfate-enriched brines (higher than 500 mmol / kgw ). Conversely, the limited TBP response to [ SO 4 2 ] under high salinity, [ Cl ] higher than 1.7 mol/kgw, matches the diminished recovery gains (4–6%) observed in high-TDS formations [31], highlighting the role of ionic strength in screening sulfate–calcite interactions.
While absolute TBP values depend on site-specific parameters (e.g., a o i l ), the relative trends—such as the 2.2× higher TBP for acidic vs. sweet crudes (Table 4)—agree with interfacial tension (IFT) reductions measured by [18]. This consistency supports the utility of the TBP as a scalable proxy for wettability shifts, albeit requiring calibration against local rock/fluid properties for quantitative predictions.
The TBP correlates with experimental wettability metrics: Values lower than 0.6 correspond to contact angles higher than 90 (water-wet conditions), consistent with interfacial tension reductions reported in [28]. Atomic force microscopy (AFM) measurements further validate this trend, showing a 55% decrease in adhesion forces as TBP declines from 1.4 to 0.4  [28].

10. Numerical Simulations with COMSOL

In this section, we present simulations to solve the system (2)–(7) using the COMSOL Multiphysics® model. Our computational setup includes a reliable system with up-to-date hardware: an Intel Core i5-12600K (32 GB RAM). Each simulation session demands approximately three hours of computational processing. Our methodology draws inspiration from and builds upon prior work, particularly studies such as [23], where similar approaches were successfully implemented.
The simulations focused on four primary dynamic variables, pH, water saturation (Sw), chloride concentration ([ Cl ]), and magnesium concentration ([ Mg 2 + ]), while maintaining sulfate ([ SO 4 2 ]) and Darcy velocity (u) constant based on the parametric analysis in Section 7.3. This approach isolates the predominant wettability-altering mechanisms identified in previous sections while ensuring computational tractability.
To assess the integrated geochemical-compositional model developed here, numerical simulations were performed with COMSOL Multiphysics for solving the system of conservation laws:
t φ ρ w 1 S w + φ ρ o 1 S o + ( 1 φ ) ρ r 1 + x u ρ w 1 f w + ρ o 1 f o = 0 ,
t φ ρ w 3 S w + φ ρ o 2 S o + x u ρ w 3 f w + ρ o 2 f o = 0 ,
t φ ρ w 4 S w + φ ρ o 4 S o + ( 1 φ ) ρ r 4 + x u ρ w 4 f w + ρ o 4 f o = 0 ,
t φ ρ w 5 S w + φ ρ o 5 S o + ( 1 φ ) ρ r 5 + x u ρ w 5 f w + ρ o 5 f o = 0 .
where the coefficient functions ρ w i , ρ o i , and ρ r i depend on the normalized concentrations of magnesium and chloride, as well as on the pH level. Equations for coefficients can be found in Appendix A.
The displacement process is modeled as a Riemann–Goursat problem ([46]) with piecewise constant initial conditions:
J = ( S w J , p H J , [ C l ] J , [ M g 2 + ] J , u J ) , for x < 0 ( injection boundary ) I = ( S w I , p H I , [ C l ] I , [ M g 2 + ] I ) , for x > 0 ( reservoir initial state )
where J and I represent injected and initial states, respectively. This formulation models the defined chemical and saturation fronts within the 1D domain, determined by the interaction between ion transport and fractional flow dynamics.
The PHREEQC–COMSOL coupling follows a sequential explicit workflow. In the preprocessing stage, geochemical equilibrium calculations are first performed in PHREEQC to determine surface complexation concentrations, such as Oil_wCOOCa+ and Cal_sSO4, as well as interpolated parameters such as TBP.
These outputs are stored in the form of lookup tables. During the transport simulation, the precomputed parameters are imported into COMSOL as spatially dependent functions. The conservation laws (Equations (18)–(21)) are then discretized using the finite element method and solved in their weak formulation, with the geochemical coefficients incorporated as static inputs. This one-way coupling approach decouples equilibrium chemistry from transient flow, significantly reducing computational cost while preserving thermodynamic consistency. Convergence is handled exclusively within the COMSOL transport solver.

10.1. Experimental Validation Setup

Laboratory investigations have consistently demonstrated the importance of ion-specific adjustments for enhancing oil recovery in carbonate reservoirs, particularly those with high calcite content [9,26,27]. Modifying magnesium ( Mg 2 + ) and sulfate ( SO 4 2 ) concentrations in injection brine has proven effective in improving recovery without the need for significant reductions in overall salinity [34].
Experimental studies indicate that effective Mg 2 + concentrations typically range from 0.04 to 0.10 mol/kgw, while SO 4 2 concentrations range from 0.05 to 0.15 mol/kgw, with an optimal Mg 2 + /SO 4 2 molar ratio between 0.3 and 0.7. Under these conditions, oil recovery improvements are commonly observed in the range of 8% to 15% of the original oil in place (OOIP). The primary mechanisms driving this enhancement include competitive ion displacement, where Mg 2 + replaces Ca 2 + in carboxylate bridges on the rock surface, surface charge reversal due to SO 4 2 adsorption, and synergistic ion-pairing interactions that stabilize the electrical double layer and promote water-wet conditions.
These numerical experimental results can be used to evaluate numerical models attempting to replicate the observed effects of ion-specific adjustments in high-salinity environments.
The first simulation series aimed to reproduce core flooding data from [26], where cores are flooded with carbonated low-salinity brine. Initial and injected brine compositions (Table 3 in [26]) were replicated in COMSOL, with connate water (FWOS) representing the reservoir’s high-salinity state and injected water (d100FWOS) simulating low-salinity conditions. Magnesium ([ Mg 2 + ]) and sulfate ([ SO 4 2 ]) concentrations were adjusted to match the experimental design, while Darcy velocity (u) remained fixed to suppress viscous fingering effects.
We adopt the values of oil saturation S o r = 0.228 and initial water saturation S w i = 0.0398 , indicative of lower salt concentrations ([22]). Initial and injected state for data in [26] correspond to
J = ( 0.7322 , 4 , 0.03 , 0.12 , 1.0 × 10 5 ) if x < 0 , I = ( 0.0398 , 0.37 , 0.1 , 2.37 , · ) if x > 0 ,
Here magnesium, chloride and sulfate are given in mol/kgw. We choose the interpolation parameter θ in (12) as 0.35 from initial ion concentrations.
Using the saturation profile values shown in Figure 1 along with the corresponding interpolation parameter θ , we calculate the oil recovery in place using the procedure described in [22]. Figure 1 compares simulated water saturation profiles for high-salinity ( θ = 1 ), low-salinity ( θ = 0 ), and TBP-interpolated ( θ = 0.35 ) cases. Oil recovery factors (Figure 2) align with experimental data, with TBP-driven simulations showing a 14.7% increase in recovery relative to high-salinity flooding, within the range reported by [26].

10.2. Relevant Simulation Examples

In this section, we perform the sensitivity analysis of our integrated geochemical model to the key parameters, i.e., the interpolation parameter θ , the residual oil recovery S o r , and the initial and injection conditions of the system of equations studied here.
We study scenarios under changes these parameters and evaluate their impact on oil recovery in place (OOIP) between high- and low-salinity regimes.
We aim to evaluate the decline in salt concentrations at the injection site under varying concentrations of injected magnesium in the formation water, encompassing both low and high concentrations. Our analysis unfolds by presenting solutions derived from simulations conducted across three pertinent scenarios. Beyond merely computing the velocities of the water saturation and saline front, we delve into predicting the pH behavior.
We adopt the values of oil saturation S o r = 0.3 and initial water saturation S w i = 0.0398 , indicative of lower salt concentrations [22].
We consider the following scenario:
J = ( 0.7322 , 4 , 0.06 , 3.2 , 1.0 × 10 5 ) if x < 0 , I = ( 0.0398 , 4 , 4 , 2.37 , · ) if x > 0 ,
The first scenario illustrates a reservoir environment where the salinity of the water decreases from 4 mol/kgw to 0.06 mol/kgw. At the outset, magnesium concentration is medium with a modest increase of 35% respect to 2.37 mol/kgw.
Figure 3 shows water saturation, magnesium, chloride, and pH profiles derived from the Riemann problem solution, plotted against the characteristic velocity coordinate ( x / t ). The solution structure features a minor rarefaction wave, a trailing shock, a contact-type rarefaction, and a terminal shock propagating at 2.49 × 10 5 m/s—closely synchronized with the salt and magnesium fronts. This configuration mirrors the wave hierarchy reported by [21] for analogous J-I systems, though attained here through an integrative computational framework that harmonizes geochemical and hydrodynamic couplings. The characteristic pH decline from initial to final conditions (from 7.1 to 5.8 in our case) aligns with experimental trends observed by [47], while the coupled salinity–pH front dynamics reflect their established role in wettability variability ([44]). Our approach preserves these complex interfacial phenomena without requiring intricate wave tracking or additional constitutive assumptions.
Figure 4 displays the water saturation ( S w ) profiles for several values of θ ranging from 0 (water wet) to 1 (oil wet). At 2 pore volumes injected (PVI), the oil recovery difference between high-salinity ( θ = 1 ) and low-salinity ( θ = 0 ) cases reaches approximately 14% in OOIP, consistent with trends observed in [26,34].
Intermediate θ values reveal a smooth transition, with a 20% change in θ (e.g., from 0.4 to 0.6) resulting in approximately 3% variation in OOIP. This indicates that the model accounts for the influence of wettability on displacement efficiency.
To evaluate the effect of ion-specific interactions, we consider a case where the injected magnesium concentration is increased to 4.2 mol/kgw, compared to an initial concentration of 2.37 mol/kgw. This modification results in an additional 3% OOIP at 1.5 PVI, consistent with mechanisms described in Section 7.4, where Mg 2 + disrupts Ca 2 + -carboxylate bonding.
These results emphasize that recovery is sensitive not only to bulk salinity but also to the ionic composition of the brine, particularly in the presence of divalent cations.
Changes in residual oil saturation ( S o r ) significantly affect recovery predictions. A 20% decrease in S o r (e.g., from 0.30 to 0.24) leads to approximately 3% increase in OOIP. This underlines the necessity of the accurate experimental determination of endpoint saturations, especially in mixed-wet systems where pore-scale wettability heterogeneity can dominate [31].
The sensitivity analysis reveals two primary mechanisms that govern improvements in oil recovery. First, modifying the composition of the injected brine can influence wettability by altering the interpolation parameter θ through the adjustment of specific ion concentrations, such as [Mg ] 2 + and [SO ] 4 2 , which, in turn, reduces the TBP. Second, the initial state of the system, captured through the resolution of the Riemann–Goursat problem, determines the configuration of shock and rarefaction waves. These wave dynamics play a crucial role in enhancing the transport of ions, thereby amplifying the effects of ionic contrasts on recovery. These mechanisms highlight the interplay between chemical and dynamic factors in controlling the effectiveness of low-salinity waterflooding.
From a practical standpoint, field-scale implementations should focus on ion-specific optimization—such as adjusting Mg 2 + /SO 4 2 ratios—rather than relying solely on bulk salinity reduction. Calibration of the interpolation parameter θ through core-scale measurements, including two-phase displacement pressure (TBP) and contact angle, is also recommended. Transient simulations of the initial brine replacement process are necessary to account for dynamic wave interactions, contributing to the predictive accuracy of the model. This approach links numerical forecasts with physical mechanisms, providing a structured method for evaluating enhanced oil recovery (EOR) strategies in heterogeneous carbonate reservoirs.

10.3. Water Saturation Profiles

The water saturation profiles displayed in Figure 1 and Figure 4 are direct quantitative outcomes of our integrated geochemical–compositional multiphase transport model. While visually resembling classical Buckley–Leverett solutions, their morphology and dynamics are modulated by ion-specific geochemical effects.
This modulation occurs through the dimensionless interpolation parameter θ , derived from the Total Bond Product (TBP). The TBP quantifies ionic bridge strength at oil–calcite interfaces, correlating brine chemistry with wettability. In our model, θ interpolates Corey-type relative permeabilities between oil-wet ( θ = 1 ) and water-wet ( θ = 0 ) conditions.
The formulation of the Riemann–Goursat problem dictates the observed sharp propagation of water saturation and ion fronts (see Figure 3). This integration directly impacts macroscopic displacement efficiency. A reduction in θ shifts the inflection point of S w toward higher water saturation, increasing f w / S w and, thereby, accelerating the front velocity, analogously to breakthrough in Buckley–Leverett theory [48]. This behavior is consistent with variable-wettability models [21], where transitions toward more water-wet conditions enhance displacement efficiency.
Figure 4 demonstrates that lower θ values accelerate frontal advance, indicating more efficient displacement [21,48]. A 20% change in θ (0.4 to 0.6) yields approximately 3% OOIP recovery variation. The TBP-interpolated case ( θ = 0.35 ) shows a 14.7% increase in recovery compared to high-salinity flooding ( θ = 1 ).
These features quantitatively show the capability of the model to capture ion-triggered wettability alteration and its substantial influence on enhanced oil recovery. The profiles are not artifacts but validated representations of underlying transport–reaction mechanisms.

11. Interpreting Salinity in the Context of Equilibrium Geochemistry

The interpretation of salinity effects in low-salinity waterflooding (LSWF) requires distinguishing between the injected salinity defined at surface conditions and the equilibrium salinity that governs interfacial interactions at reservoir conditions. While injected brines are designed with specific ionic compositions (e.g., Cl = 3.93 mol / kgw , Mg 2 + = 0.00381 mol / kgw ), the subsurface system evolves dynamically through geochemical processes that reshape brine chemistry. These include the dissolution of calcite ( CaCO 3 Ca 2 + + CO 3 2 ), competitive adsorption of potential-determining ions ( Ca 2 + , Mg 2 + , SO 4 2 ) at oil–rock interfaces, and mixing/dilution with connate brine. As demonstrated in Section 7.3 and Section 7.4, these processes collectively determine the effective ionic environment that dictates TBP and wettability alteration.
The apparent contradiction between injected and equilibrium salinity arises from the transient nature of brine–rock interactions. Surface complexation modeling (Section 8) reveals that TBP depends not on the injected brine composition alone but on the thermodynamically equilibrated concentrations of key ions at mineral surfaces. For instance, injected SO 4 2 may become partially sequestered through anhydrite precipitation ( CaSO 4 ), while Mg 2 + competes with Ca 2 + for carboxylate binding sites. This dynamic equilibrium explains why coreflood experiments often report delayed wettability responses despite rapid brine injection [31].
In terms of methodology, the model addresses these factors through mass balance equations that integrate ion transport with equilibrium speciation derived from PHREEQC. Initializing the system with connate water chemistry and imposing low-salinity injection as a boundary condition allows the geochemical state to evolve naturally. The resulting equilibrium concentrations of Ca 2 + , Mg 2 + , and SO 4 2 —not their injected values—are used to compute TBP via Equation (17). This approach aligns with experimental observations where wettability alteration correlates with post-equilibrium ionic activities rather than injected brine composition [9,26].
The reconciliation of injected and equilibrium salinity lies in recognizing that wettability alteration operates at the pore scale, where nanoscale surface reactions override bulk fluid properties. Field-scale implementations must, therefore, prioritize ion-specific optimization (e.g., Mg 2 + / SO 4 2 ratios) over bulk salinity reduction, as demonstrated by the 12–15% recovery gains in Ghawar carbonates [4]. By associating TBP with the equilibrated ionic environment, the model addresses the salinity paradox, offering a framework aligned with experimental observations and theoretical principles [21].
This research offers a more refined analysis of the relationship between injected and equilibrium salinity by explicitly considering the dynamic interplay of geochemical reactions and multiphase flow. This allows for a more accurate prediction of optimal injection strategies, bridging the gap between pore-scale mechanisms and field-scale implementation. This shift from fixed brine design to dynamic geochemical equilibrium introduces a methodological adjustment for modeling wettability-driven recovery processes.

Mechanistic Validation

Our findings on wettability alteration mechanisms, as detailed in this work, show significant alignment with the established literature [43]. While [43] integrates calcite dissolution as one of the key mechanisms influencing wettability alteration, and our framework also considers its critical impact on geochemical environments, both approaches consistently emphasize ion-specific interactions ( Mg 2 + , SO 4 2 ) over bulk salinity reduction.
Furthermore, our work strongly corroborates the crucial role of pH elevation (specifically, greater than 7.5) in deprotonating carboxylic groups and its amplification in acidic crude oils (TAN higher than 1 mg KOH/g), factors that [43] also acknowledges as important in generating further water-wet conditions. Our work explicitly demonstrates the SO 4 2 -mediated displacement of Ca 2 + from calcite surfaces, a mechanism that disrupts Ca 2 + -carboxylate bridging and aligns with the underlying understandings of ion exchange in [43].
Experimental validation demonstrates that both our approach and that of [43] successfully replicate core-flood recovery profiles, indicating consistency with experimental data. While our work reports oil recovery improvements commonly observed in the range of 8% to 15% of the OOIP, [43] explicitly evidences oil adsorption even under same-polarity zeta potentials. Our ionic bridging paradigm, as it is based on a polarity-independent adhesion mechanism, offers implicit support for these observations. Furthermore, our framework extends these results by providing quantified optimal ion thresholds ( Mg 2 + : 50–200 mmol/kgw; SO 4 2 : higher than 500 mmol/kgw) and dissolved CO 2 effects, furnishing complementary quantitative refinements to the mechanism of how wettability is affected by specific ions.

12. Conclusions

This study establishes that wettability alteration during carbonated low-salinity waterflooding in carbonate reservoirs is predominantly controlled by specific ionic interactions rather than bulk salinity reduction. The Total Bond Product, quantified through surface complexation modeling, serves as a robust predictor of oil–rock adhesion with particular sensitivity to Mg2+ and SO 4 2 concentrations. The central novelty lies in our integrated transport-geochemical equilibrium framework, which couples PHREEQC-based TBP calculations with COMSOL Multiphysics®-resolved multiphase dynamics to overcome the limitations of existing methods. This approach uniquely determines reservoir-specific ionic thresholds and translates pore-scale interactions into field-predictive metrics.
Key numerical findings reveal that acidic crudes (TAN > 1 mg KOH/g) exhibit approximately 2.5× higher TBP values than sweet crudes due to intensified carboxylate–Ca2+ ionic bridging at calcite surfaces. Elevating the pH beyond 7.5 significantly amplifies wettability shifts, increasing the mean TBP for acidic oils from 3.23 to 6.74 ( × 10 12 ) by promoting deprotonated –COO interactions. Crucially, synergistic effects between Mg2+ (50–200 mmol/kgw) and SO 4 2 (>500 mmol/kgw) reduce Ca2+-mediated adhesion through competitive surface displacement. Our framework accurately reproduces experimental saturation/recovery profiles, predicting recovery gains up to 14.7% through optimized water chemistry—aligning with 8–15% OOIP improvements observed in field trials with tuned Mg2+/ SO 4 2 concentrations.
These results confirm that ion-specific optimization outperforms bulk salinity reduction for recovery enhancement. The framework enables operators to design injection strategies prioritizing optimal Mg2+/Ca2+ and SO 4 2 /Cl ratios, particularly in acidic crude reservoirs. Ultimately, this study delivers a predictive tool integrating molecular-scale fluid–rock interactions with macroscopic flow dynamics to maximize recovery while minimizing water treatment costs and formation damage.

Author Contributions

Conceptualization, J.B. and A.C.A.; methodology, A.C.A. and J.B.; software, A.C.A.; validation, A.C.A. and J.B.; formal analysis, A.C.A. and D.M.; investigation, A.C.A. and D.M.; resources, D.M.; data curation, A.C.A.; writing—original draft preparation, A.C.A.; writing—review and editing, J.B. and D.M.; visualization, A.C.A.; supervision, J.B.; project administration, D.M.; funding acquisition, J.B. All authors have read and agreed to the published version of the manuscript.

Funding

This research was funded by CAPES under grant numbers 88881.156518/2017-01 and 88887.156517/2017-00, as well as CNPq under grants 405366/2021-3 and 306566/2019-2. Additional support from FAPERJ under grants E-26/210.738/2014, E-26/202.764/2017, and E-26/201.159/2021 is also gratefully acknowledged. This study was partially funded by FAPERJ—Carlos Chagas Filho Foundation for Research Support of the State of Rio de Janeiro, Process SEI-260003/006147/2024.

Data Availability Statement

The numerical framework and results supporting this study were developed using COMSOL Version 6.2 Multiphysics® (License No. 9202103). The scripts for PHREEQC and COMSOL are available in the GitHub repository: https://github.com/Amaurycruz/wettability.git (accessed on 23 August 2025).

Acknowledgments

The authors gratefully acknowledge the reviewers for their dedicated time and insightful recommendations, which significantly enhance the quality of this work through constructive critiques and detailed suggestions. Special thanks are extended to Ali A. Eftekhari for his invaluable contribution in reviewing the calculations conducted using the PHREEQC program. The authors express their gratitude to Sergio Pilotto for his unwavering support throughout this research endeavor.

Conflicts of Interest

There are no conflicts of competing interests.

Nomenclature

SymbolDescriptionUnit
N s Number of chemical speciesDimensionless
n s Number of surface speciesDimensionless
N r Number of chemical reactionsDimensionless
n c Number of constraintsDimensionless
n f Degrees of freedomDimensionless
S w Water saturationDimensionless
S o Oil saturationDimensionless
k r w Relative permeability of waterDimensionless
k r o Relative permeability of oilDimensionless
n w Corey exponent for waterDimensionless
n o Corey exponent for oilDimensionless
P c Capillary pressure Pa
TBPTotal Bond ProductDimensionless
uDarcy velocity m / s
μ w Water viscosity Pa · s
μ o Oil viscosity Pa · s
[ Cl ] Chloride ion concentration mmol / k g
[ Na + ] Sodium ion concentration mmol / kgw
[ Mg 2 + ] Magnesium ion concentration mmol / kgw
[ Ca 2 + ] Calcium ion concentration mmol / kgw
[ SO 4 2 ] Sulfate ion concentration mmol / kgw
pHHydrogen ion activityDimensionless
φ PorosityDimensionless
θ Interpolation parameterDimensionless
TTemperature C
PPressurebar
TANTotal Acid Number m g KOH / g
TBNTotal Base Number m g KOH / g
a oil Oil specific surface area m 2 / g
ρ w Molar density of aqueous phase mmol / m 3
ρ o Molar density of oleic phase mmol / m 3
x w i Molar fraction of component i in aqueous phaseDimensionless
x o j Molar fraction of component j in oleic phaseDimensionless
ρ r j molar fraction of the component j in the solid phase mmol / m 3
ρ w i Concentration of component i in water phase ( ρ w x w i ) mmol / m 3
ρ o i Concentration of component i in oleic phase ( ρ o x o j ) mmol / m 3
f w ( S w ) Fractional flow function for waterDimensionless
f o ( S o ) Fractional flow function for oilDimensionless
c a , i Concentration of aqueous species i mmol / kgw
c o , i Concentration of oleic species i mmol / kgo
c r , i Concentration of solid species i mmol / kgw
Oil x , Y Oil surface complex (site x, species Y) mmol / kgw
Cal x , Y Calcite surface complex (site x, species Y) mmol / kgw
μ Ionic strength of the aqueous phaseDimensionless
β Ca , β Mg Precipitated amounts of calcium and magnesium mmol / kgw
C a , X Total concentration of component X in aqueous phase mmol / kgw
G a Total mass concentration of aqueous phase mmol / kgw
G o Total mass concentration of oleic phase mmol / kgo
Key species indices (i):
Aqueous ( c a , i ):
CO 2 , CO 3 2 , HCO 3 , CaHCO 3 + , CaCO 3 , NaCO 3 , NaHCO 3 , H 2 O , H + , OH ,
CaOH + , Ca 2 + , Mg 2 + , MgHCO 3 + , MgCO 3 0 , MgOH + , Cl , Na + , SO 4 2 ,
CaSO 4 , MgSO 4 , NaSO 4 , H 2 SO 4
Oleic ( c o , i ): A (alkane)
Solid ( c r , i ): CaCO 3 (partitioned), CaSO 4
Sorbed ( Oil x , Y , Cal x , Y ):
Oil s , NH + , Oil w , COOH , Cal s , OH , Cal w , CO 3 H , Oil s , N , Oil w , COO ,
Oil w , COOCa + , Oil w , COOMg + , Cal s , OH 2 + , Cal s , CO 3 , Cal w , CO 3 ,
Cal w , CO 3 Ca + , Cal w , CO 3 Mg + , Cal s , SO 4 , Oil s , NH 2 SO 4
Key species indices (i):
Aqueous ( C a , i ):
C a , C ( 4 ) Total inorganic carbon (e.g., CO 3 2 , HCO 3 ) mmol / kgw
C a , H ( 1 ) Total hydrogen ion activityDimensionless
C a , O ( 2 ) Total oxygen in water ( H 2 O, OH ) mmol / kgw
C a , C a 2 + Total calcium ion concentration mmol / kgw
C a , M g 2 + Total magnesium ion concentration mmol / kgw
C a , C l Total chloride ion concentration mmol / kgw
C a , N a + Total sodium ion concentration mmol / kgw
Oleic ( C o , i ):
C o , C O 2 Dissolved carbon dioxide in oleic phase mmol / kgo
C o , C ( 4 ) Organic carbon (e.g., alkane A) mmol / kgo
Solid/Sorbed ( c r , i , C a l x , Y ):
C s , C a C O 3 Solid calcium carbonate mmol / kgw
C a l s , C O 3 Carbonate ions in calcite structure mmol / kgw
C a l s , O H 2 + Hydroxylated calcite surface ( >CaOH 2 + ) mmol / kgw
C a l s , O H Neutral hydroxylated calcite site (>CaOH) mmol / kgw
C a l w , C O 3 H Surface-bound bicarbonate ( >CaCO 3 H) mmol / kgw
C a l w , C O 3 M g + Magnesium-carbonate surface complex mmol / kgw
C a l w , C O 3 C a + Calcium-carbonate surface complex mmol / kgw
List of Acronyms:
LSWFLow-Salinity Waterflooding
CLSWFCarbonated Low-Salinity Waterflooding
SCMSurface Complexation Modeling
TBPTotal Bond Product
EOREnhanced Oil Recovery
IORImproved Oil Recovery
COMSOLCOMSOL Multiphysics
PHREEQCPHREEQC (geochemical speciation and reactive transport program)
TANTotal Acid Number
TBNTotal Base Number

Appendix A. Coefficients

Letting x represent pH ( log 10 [ H + ] ), y represents the molar fraction of chloride ( [ Cl ] , mol/kgw), and z represents the molar fraction of magnesium ( [ Mg 2 + ] , mol/kgw). We can express the coefficients for the case of type 2 oil as follows:
gauss ( x ) = exp ( x 2 ) ρ w 1 = 0.01 · 0.06448 + 0.3039 exp ( 0.005546 x 3 z ) sin ( z ) sin ( 0.008639 x 2 ) cos ( z + 0.8679 x ) exp ( 0.005546 x 3 z ) 1.526 × 10 2 y
ρ o 1 = 0.01 0.7981 + 0.1363 gauss ( z + 0.1171 x ) 0.7981 gauss ( 9.645 gauss ( 0.2577 x + 0.1349 y ) ) 0.1558 gauss ( z + 0.1171 x ) gauss ( 9.645 gauss ( 0.2577 x + 0.1349 y ) ) 2
ρ r 1 = 1 × 10 7 4.606 + 0.0343 y 3.094 tanh ( 1.418 + z ) 1.236 exp ( ( 1.236 x + 0.4345 z 1.579 × 10 3 x z 2.789 8.079 × 10 2 x 2 ) 2 )
ρ o 2 = 1.825 + 1.116 × 10 3 x + 1.245 × 10 2 x + 6.694 × 10 4 x y 1.236 × 10 3 y 6.613 × 10 5 x 2 y + 1 × 10 11 z
ρ w 3 = 3.7 × 10 1 y
ρ w 4 = 1 × 10 2 1.694 z 0.1511 + 3.021 × 10 2 y 2 gauss ( 3.087 + 0.4009 z 8.76 x ) 1.311 × 10 1 z 1.57 × 10 1 z 0.07416 gauss ( 3.087 + 0.4009 z 8.76 x )
ρ o 4 = 4.749 × 10 3 + 3.376 × 10 7 y exp ( x ) + 3.217 × 10 2 gauss ( 1.988 × 10 3 exp ( x ) + 3.211 × 10 3 z exp ( x + 2.729 × 10 1 y ) ) 1.043 × 10 3 y 1.609 × 10 6 exp ( x )
ρ r 4 = 1 × 10 6 8.068 × 10 3 y 4.481 × 10 4 x z + 9.067 × 10 1 gauss 5.256 2.514 x + 3.922 × 10 1 x 2 z 5.256 3.72 × 10 1 5.255 × 10 3 x
ρ w 5 = 3.7 × 10 1 z
ρ o 5 = 1 × 10 7 3.02 + 1.47 x + 1.829 × 10 3 x y 2 5.994 × 10 2 z 1.314 × 10 1 y 9.77 × 10 1 gauss ( 1.798 × 10 1 y + 5.398 × 10 2 x 2 )
ρ r 5 = 1 × 10 5 1.103 × 10 2 y 2 gauss 48.79 exp ( 8.058 × 10 1 x ) + 6.058 × 10 1 gauss 5.821 × 10 3 z + 3.078 × 10 1 x 2 + 1.733 × 10 1 z exp ( 8.058 × 10 1 x ) 1.871 × 10 1
coefficients presented in (A1)–(A11) serve as inputs for solving the system of conservation laws described by Equations (18)–(21).

Appendix B. Chemical Species

Table A1. Parameters of the selected chemical reactions.
Table A1. Parameters of the selected chemical reactions.
#Reactionlog K ( 100 C) Δ H (kJ/mol)References
Oil and Calcite surface reactions
1 oil s , NH + oil s , N + H + −3.6134 [35]
2 oil w , COOH oil w , COO + H + −3.0328 [35]
3 oil w , COOH + Ca 2 + oil w , COOCa + + H + −3.721.2 [35]
4 oil w , COOH + Mg 2 + oil w , COOMg + + H + −3.921.2 [35]
5 oil s , NH + + SO 4 2 oil s , NH 2 SO 4 −3.16−15 [35]
6 Cal s , OH + H + Cal s , OH 2 + 6.75−77.5 [36]
7 Cal s , OH + HCO 3 Cal s , CO 3 + H 2 O 11.16−61.6 [36]
8 Cal w , CO 3 H Cal w , CO 3 + H + −4.528.3 [36]
9 Cal w , CO 3 H + Ca 2 + Cal w , CO 3 Ca + + H + −2.521.2 [36]
10 Cal w , CO 3 H + Mg 2 + Cal w , CO 3 Mg + + H + −1.884.5 [36]
11 Cal s , OH + SO 4 2 Cal s , SO 4 + OH −7.55−22 [36]
Aqueous reactions
12 CO 2 ( aq ) + H 2 O HCO 3 + H + −6.097.4 [49]
13 HCO 3 CO 3 2 + H + −9.2814.9 [14]
14 H 2 O OH + H + −12.2555.8 [50]
15 CaCO 3 ( aq ) Ca 2 + + CO 3 2 −8.90−12.7 [14]
16 MgCO 3 Mg 2 + + CO 3 2 −8.15−9.8 [14]
17 Ca 2 + + H 2 O CaOH + + H + −10.6618.3 [14,51]
18 CO 3 2 + Ca 2 + + H + CaHCO 3 + 11.50−5.6 [14]
19 Mg 2 + + H 2 O MgOH + + H + −10.0221.0 [14]
20 CO 3 2 + Mg 2 + + H + MgHCO 3 + 10.98−6.1 [14]
Ion pairing reactions
21 Na + + CO 3 2 NaCO 3 1.523.2 [14]
22 Na + + HCO 3 NaHCO 3 −0.41−2.4 [14]
23 Na 2 SO 4 2 Na + + SO 4 2 0.701.8 [14]
24 Ca 2 + + SO 4 2 CaSO 4 ( aq ) 2.30−10.5 [14]
25 Mg 2 + + SO 4 2 MgSO 4 ( aq ) 2.50−9.7 [14]
26 Na + + SO 4 2 NaSO 4 0.840.7 [14]
27 SO 4 2 + H + HSO 4 1.20−22.5 [49]

Appendix C. Tables

Table A2. TAN and TBN ranges for different crude oil types.
Table A2. TAN and TBN ranges for different crude oil types.
Crude TypeTAN (mg KOH/g)TBN (mg KOH/g)
Sweet crude0.1–0.51–5
Acidic crude1–10<1
Treated crude0.1–25–10
Note: Ranges are inclusive (e.g., “1–10” includes 1 and 10).
Table A3. Surface component parameters for sweet and acidic crude oils.
Table A3. Surface component parameters for sweet and acidic crude oils.
Oil TypeParameterSitesArea/GramMass
SweetOil_wCOOH0.20 mol/m21.5 m2/g0.86 g
Oil_sNH2.6 mol/m2--
Surf_sCaOH4.9 mol/m20.2 m2/g0.2 g
AcidicOil_wCOOH5.0 mol/m23.5 m2/g0.9 g
Oil_sNH0.3 mol/m2--
Surf_sCaOH4.9 mol/m20.2 m2/g0.2 g
Table A4. Statistical summary of normalized TBP components for acidic oil (pH = 2.37–3.87, low sulfate, ( 1 mmol / kg )).
Table A4. Statistical summary of normalized TBP components for acidic oil (pH = 2.37–3.87, low sulfate, ( 1 mmol / kg )).
ComponentMinMaxMeanStd. Deviation
TBP1 [–] ( × 10 12 )0.664.122.171.58
TBP2 [–] ( × 10 12 )0.140.270.210.05
TBP3 [–] ( × 10 12 )0.010.130.070.05
TBP4 [–] ( × 10 12 )0.001.130.530.48
Table A5. Statistical summary of normalized TBP components for sweet oil (pH = 2.37–3.87, low sulfate, ( 1 mmol / kg )).
Table A5. Statistical summary of normalized TBP components for sweet oil (pH = 2.37–3.87, low sulfate, ( 1 mmol / kg )).
ComponentMinMaxMeanStd. Deviation
TBP1 [–] ( × 10 12 )0.010.100.070.04
TBP2 [–] ( × 10 12 )0.090.220.160.06
TBP3 [–] ( × 10 12 )0.000.050.020.02
TBP4 [–] ( × 10 12 )0.000.530.160.25

Appendix D. Normalized TBP

Table A6. Normalized TBP values, calculated using the formula θ = ( TBP 0.02 ) / ( 10 0.02 ) , for varying concentrations of Mg 2 + (0.02–6.80 mol/kgw) and SO 4 2 (0.02–10 mol/kgw) under low salinity ([ Cl] = 0.056 mol/kgw).
Table A6. Normalized TBP values, calculated using the formula θ = ( TBP 0.02 ) / ( 10 0.02 ) , for varying concentrations of Mg 2 + (0.02–6.80 mol/kgw) and SO 4 2 (0.02–10 mol/kgw) under low salinity ([ Cl] = 0.056 mol/kgw).
Mg (mol/kgw) SO 4 2 = 0.020.040.060.080.12
0.020.920.850.450.010.00
0.060.910.880.630.010.00
0.160.870.890.820.730.01
0.360.810.840.870.900.94
0.560.740.760.790.810.86
0.860.650.670.690.710.74
1.060.610.620.640.650.68
1.460.530.550.570.590.63
2.000.470.480.500.510.56
2.500.380.380.390.400.41
3.500.330.340.340.350.36
5.500.300.300.310.310.31
6.800.290.290.290.300.30
Table A7. Normalized TBP values, calculated using the formula θ = ( TBP 0.02 ) / ( 10 0.02 ) , for varying concentrations of Mg 2 + (0.02–6.80 mol/kgw) and SO 4 2 (0.02–10 mol/kgw) under high salinity ([ Cl] = 0.395 mol/kgw).
Table A7. Normalized TBP values, calculated using the formula θ = ( TBP 0.02 ) / ( 10 0.02 ) , for varying concentrations of Mg 2 + (0.02–6.80 mol/kgw) and SO 4 2 (0.02–10 mol/kgw) under high salinity ([ Cl] = 0.395 mol/kgw).
Mg ( mol/kg w ) SO 4 2 = 0.020.040.060.080.12
0.020.900.910.930.940.88
0.060.890.910.920.940.93
0.160.850.860.880.900.94
0.360.850.790.800.820.89
0.560.850.750.770.780.83
0.860.710.750.790.810.85
1.060.690.700.730.750.80
1.460.610.630.640.670.72
2.000.550.570.600.620.67
2.500.370.370.450.390.40
3.500.320.320.330.330.34
5.500.300.370.300.360.31
6.800.280.290.290.290.30

Appendix E. Figures

Figure A1. Contour plots of TBP for acid oil and low pH: (a) low [ SO 4 2 ] ( 1   mmol/kg w ), (b) high [ SO 4 2 ] ( 250   mmol/kg w ). Axes: chloride ([ Cl ], mol/kg w ) vs. magnesium ([ Mg 2 + ], mol/kg w ). Color scale indicates TBP values ( × 10 12 ), with lower values (blue) indicating water-wet conditions. TBP values decrease significantly under high [ SO 4 2 ] conditions, particularly at low [ Cl ] and high [ Mg 2 + ]. This reduction suggests the synergistic effect of [ SO 4 2 ] and [ Mg 2 + ] in destabilizing oil–rock complexes, which may promote water-wet behavior.
Figure A1. Contour plots of TBP for acid oil and low pH: (a) low [ SO 4 2 ] ( 1   mmol/kg w ), (b) high [ SO 4 2 ] ( 250   mmol/kg w ). Axes: chloride ([ Cl ], mol/kg w ) vs. magnesium ([ Mg 2 + ], mol/kg w ). Color scale indicates TBP values ( × 10 12 ), with lower values (blue) indicating water-wet conditions. TBP values decrease significantly under high [ SO 4 2 ] conditions, particularly at low [ Cl ] and high [ Mg 2 + ]. This reduction suggests the synergistic effect of [ SO 4 2 ] and [ Mg 2 + ] in destabilizing oil–rock complexes, which may promote water-wet behavior.
Energies 18 04525 g0a1
Figure A2. Contour plots of TBP for acid oil and low pH: (a) low Mg 2 + ( 0.41   mol/kg w ), (b) high Mg 2 + ( 10.63   mol/kg w ). Axes: chloride ([ Cl ], mol/kg w ) vs. sulfate ([ SO 4 2 ], mol/kg w ). TBP values (legend: 0–0.45) decrease with increasing Mg 2 + , particularly at low Cl (<0.50 mol/kgw) and high SO 4 2 (>0.10 mol/kgw), highlighting the synergistic role of Mg 2 + and SO 4 2 in wettability alteration.
Figure A2. Contour plots of TBP for acid oil and low pH: (a) low Mg 2 + ( 0.41   mol/kg w ), (b) high Mg 2 + ( 10.63   mol/kg w ). Axes: chloride ([ Cl ], mol/kg w ) vs. sulfate ([ SO 4 2 ], mol/kg w ). TBP values (legend: 0–0.45) decrease with increasing Mg 2 + , particularly at low Cl (<0.50 mol/kgw) and high SO 4 2 (>0.10 mol/kgw), highlighting the synergistic role of Mg 2 + and SO 4 2 in wettability alteration.
Energies 18 04525 g0a2

References

  1. Dong, Y.; Dindoruk, B.; Ishizawa, C.; Lewis, E.; Kubicek, T. An experimental investigation of carbonated water flooding. In Proceedings of the SPE Annual Technical Conference and Exhibition, Denver, CO, USA, 30 October–2 November 2011; p. SPE-145380. [Google Scholar]
  2. Sagbana, P.I.; Sarkodie, K.; Nkrumah, W.A. A critical review of carbonate reservoir wettability modification during low salinity waterflooding. Petroleum 2023, 9, 317–330. [Google Scholar] [CrossRef]
  3. Ayirala, S.C.; Yousef, A.A. A state-of-the-art review to develop injection-water-chemistry requirement guidelines for IOR/EOR projects. SPE Prod. Oper. 2015, 30, 26–42. [Google Scholar] [CrossRef]
  4. Qiao, C.; Johns, R.T.; Li, L. Modeling low-salinity waterflooding in chalk and limestone reservoirs. Energy Fuels 2016, 30, 884–895. [Google Scholar] [CrossRef]
  5. Alvarez, A.C.; Bruining, J.; Lambert, W.J.; Marchesin, D. Analytical and numerical solutions for carbonated waterflooding. Comput. Geosci. 2018, 22, 505–526. [Google Scholar] [CrossRef]
  6. Sanaei, A.; Varavei, A.; Sepehrnoori, K. Mechanistic modeling of carbonated waterflooding. J. Pet. Sci. Eng. 2019, 178, 863–877. [Google Scholar] [CrossRef]
  7. Sharma, H.; Mohanty, K.K. An experimental and modeling study to investigate brine-rock interactions during low salinity water flooding in carbonates. J. Pet. Sci. Eng. 2018, 165, 1021–1039. [Google Scholar] [CrossRef]
  8. Snosy, M.F.; El Ela, M.A.; El-Banbi, A.; Sayyouh, H. Comprehensive investigation of low salinity waterflooding in carbonate reservoirs. J. Pet. Explor. Prod. Technol. 2022, 12, 701–724. [Google Scholar] [CrossRef]
  9. Zhang, P.; Tweheyo, M.T.; Austad, T. Wettability alteration and improved oil recovery by spontaneous imbibition of seawater into chalk: Impact of the potential determining ions Ca2+, Mg2+, and SO 4 2 . Colloids Surf. A Physicochem. Eng. Asp. 2007, 301, 199–208. [Google Scholar] [CrossRef]
  10. Arain, A.H.; Negash, B.M.; Yekeen, N.; Farooqi, A.S.; Alshareef, R.S. Synergising nanoparticles and low salinity waterflooding for enhanced oil recovery: A state-of-the-art review. J. Mol. Liq. 2024, 400, 124495. [Google Scholar] [CrossRef]
  11. Bordeaux-Rego, F.; Mehrabi, M.; Sanaei, A.; Sepehrnoori, K. Improvements on modelling wettability alteration by engineered water injection: Surface complexation at the oil/brine/rock contact. Fuel 2021, 284, 118991. [Google Scholar] [CrossRef]
  12. Alvarez, A.C.; Bruining, J.; Marchesin, D. Modeling low saline carbonated water flooding including surface complexes. Comput. Geosci. 2024, 28, 373–393. [Google Scholar] [CrossRef]
  13. Zhong, H.; Shi, B.; Bi, Y.; Cao, X.; Zhang, H.; Yu, C.; Tang, H. Interaction of elasticity and wettability on enhanced oil recovery in viscoelastic polymer flooding: A case study on oil droplet. Geoenergy Sci. Eng. 2025, 250, 213827. [Google Scholar] [CrossRef]
  14. Parkhurst, D.L.; Appelo, C.A.J. User’s Guide to PHREEQC (Version 2): A Computer Program for Speciation, Batch-Reaction, One-Dimensional Transport, and Inverse Geochemical Calculations; U.S. Geological Survey: Reston, VA, USA, 1999. [Google Scholar]
  15. Mehdiyev, F.; Erzuah, S.; Omekeh, A.; Fjelde, I. Surface Complexation Modelling of wettability alteration during carbonated water flooding. Energies 2022, 15, 3020. [Google Scholar] [CrossRef]
  16. Wolthers, M.; Charlet, L.; Van Cappellen, P. The surface chemistry of divalent metal carbonate minerals; a critical assessment of surface charge and potential data using the charge distribution multi-site ion complexation model. Am. J. Sci. 2008, 308, 905–941. [Google Scholar] [CrossRef]
  17. Brady, P.V.; Krumhansl, J.L.; Mariner, P.E. Surface complexation modeling for improved oil recovery. In Proceedings of the SPE Improved Oil Recovery Conference, Tulsa, OK, USA, 14–18 April 2012; p. SPE-153744-MS. [Google Scholar]
  18. Bonto, M.; Eftekhari, A.A.; Nick, H.M. An overview of the oil–brine interfacial behavior and a new surface complexation model. Sci. Rep. 2019, 9, 6072. [Google Scholar] [CrossRef]
  19. Erzuah, S.; Fjelde, I.; Omekeh, A.V. Wettability estimation using surface-complexation simulations. SPE Reserv. Eval. Eng. 2019, 22, 509–519. [Google Scholar] [CrossRef]
  20. Alvarez, A.C.; Blom, T.; Lambert, W.J.; Bruining, J.; Marchesin, D. Analytical and numerical validation of a model for flooding by saline carbonated water. J. Pet. Sci. Eng. 2018, 167, 900–917. [Google Scholar] [CrossRef]
  21. Jerauld, G.R.; Webb, K.J.; Lin, C.Y.; Seccombe, J.C. Modeling low-salinity waterflooding. SPE Reserv. Eval. Eng. 2008, 11, 1000–1012. [Google Scholar] [CrossRef]
  22. Bruining, H. Upscaling of Single-and Two-Phase Flow in Reservoir Engineering; CRC Press: Boca Raton, FL, USA, 2021. [Google Scholar]
  23. Alvarez, A.C.; Goedert, G.T.; Marchesin, D. Resonance in rarefaction and shock curves: Local analysis and numerics of the continuation method. J. Hyperbolic Differ. Equ. 2020, 17, 639–676. [Google Scholar] [CrossRef]
  24. Merkel, B.J.; Planer-Friedrich, B. Groundwater Geochemistry: A Practical Guide to Modeling of Natural and Contaminated Aquatic Systems; Springer: Berlin/Heidelberg, Germany, 2008. [Google Scholar]
  25. Lichtner, P.C. Continuum formulation of multicomponent-multiphase reactive transport. Rev. Mineral. 1996, 34, 1–82. [Google Scholar]
  26. Austad, T.; Fjelde, I.; Milter, J. Low salinity EOR effects in limestone reservoir cores containing anhydrite: A discussion of the chemical mechanism. Energy Fuels 2015, 29, 6903–6911. [Google Scholar] [CrossRef]
  27. Yousef, A.A.; Al-Saleh, S.; Al-Jawfi, M. Improved/enhanced oil recovery from carbonate reservoirs by tuning injection water salinity and ionic content. In Proceedings of the SPE Improved Oil Recovery Conference, Tulsa, OK, USA, 14–18 April 2012; Society of Petroleum Engineers: Richardson, TX, USA, 2012; p. SPE-154076. [Google Scholar]
  28. Gomari, K.A.R.; Hamouda, A.A. Effect of fatty acids, water composition and pH on the wettability alteration of calcite surface. J. Pet. Sci. Eng. 2006, 50, 140–150. [Google Scholar] [CrossRef]
  29. Lake, L.W.; Johns, R.T.; Rossen, W.R.; Pope, G.A. Fundamentals of Enhanced Oil Recovery; Society of Petroleum Engineers: Richardson, TX, USA, 2014. [Google Scholar]
  30. Helfferich, F.G. The theory of precipitation/dissolution waves. AIChE J. 1989, 35, 75–87. [Google Scholar] [CrossRef]
  31. Mahani, H.; Berg, S.; Ilic, D.; Bartels, W.-B.; Joekar-Niasar, V. Kinetics of low-salinity-flooding effect. SPE J. 2015, 20, 8–20. [Google Scholar] [CrossRef]
  32. Appelo, C.A.J.; Postma, D. Geochemistry, Groundwater and Pollution; CRC Press: Boca Raton, FL, USA, 2004. [Google Scholar]
  33. Steefel, C.I.; Appelo, C.A.J.; Arora, B.; Jacques, D.; Kalbacher, T.; Kolditz, O.; Lagneau, V.; Lichtner, P.C.; Mayer, K.U.; Meeussen, J.C.L.; et al. Reactive transport codes for subsurface environmental simulation. Comput. Geosci. 2015, 19, 445–478. [Google Scholar] [CrossRef]
  34. Yousef, A.A.; Al-Saleh, S.H.; Al-Kaabi, A.; Al-Jawfi, M. Laboratory investigation of the impact of injection-water salinity and ionic content on oil recovery from carbonate reservoirs. SPE Reserv. Eval. Eng. 2011, 14, 578–593. [Google Scholar] [CrossRef]
  35. Shock, E.L.; Sassani, D.C.; Willis, M.; Sverjensky, D.A. Inorganic species in geologic fluids: Correlations among standard molal thermodynamic properties of aqueous ions and hydroxide complexes. Geochim. Cosmochim. Acta 1997, 61, 907–950. [Google Scholar] [CrossRef]
  36. Sverjensky, D.A.; Shock, E.L.; Helgeson, H.C. Prediction of the thermodynamic properties of aqueous metal complexes to 1000 °C and 5 kb. Geochim. Cosmochim. Acta 1997, 61, 1359–1412. [Google Scholar] [CrossRef]
  37. Helgeson, H.C.; Kirkham, D.H.; Flowers, G.C. Theoretical prediction of the thermodynamic behavior of aqueous electrolytes. Am. J. Sci. 1981, 281, 1249–1516. [Google Scholar] [CrossRef]
  38. Lee, K.S.; Lee, J.H. Hybrid Enhanced Oil Recovery Using Smart Waterflooding; Gulf Professional Publishing: Houston, TX, USA, 2019. [Google Scholar]
  39. Yutkin, M.P.; Radke, C.J.; Patzek, T.W. Chemical compositions in modified salinity waterflooding of calcium carbonate reservoirs: Experiment. Transp. Porous Media 2022, 141, 255–278. [Google Scholar] [CrossRef]
  40. Honarpour, M.M. Relative Permeability of Petroleum Reservoirs; CRC Press: Boca Raton, FL, USA, 2018. [Google Scholar]
  41. Delshad, M.; Pope, G.A. Comparison of the three-phase oil relative permeability models. Transp. Porous Media 1989, 4, 59–83. [Google Scholar] [CrossRef]
  42. Masalmeh, S.K.; Wei, L.; Blom, C. Improved characterization and modeling of capillary trapping in carbonate reservoirs. SPE J. 2014, 19, 26–34. [Google Scholar]
  43. Boampong, L.O.; Rafati, R.; Haddad, A.S. Modelling of carbonate rock wettability based on surface charge and calcite dissolution. Fuel 2023, 331, 125856. [Google Scholar] [CrossRef]
  44. Mehraban, M.F.; Ayatollahi, S.; Sharifi, M. Experimental investigation on synergic effect of salinity and pH during low salinity water injection into carbonate oil reservoirs. J. Pet. Sci. Eng. 2021, 202, 108555. [Google Scholar] [CrossRef]
  45. Al-Shalabi, E.W.; Sepehrnoori, K. A comprehensive review of low salinity/engineered water injections and their applications in sandstone and carbonate rocks. J. Pet. Sci. Eng. 2016, 139, 137–161. [Google Scholar] [CrossRef]
  46. Bedrikovetsky, P. Mathematical Theory of Oil and Gas Recovery: With Applications to ex-USSR Oil and Gas Fields; Petroleum Engineering and Development Studies; Springer Science+Business Media: Dordrecht, The Netherlands, 1993; Volume 4, ISBN 978-0-7923-2381-5. [Google Scholar]
  47. Xie, Q.; Liu, H.; Morrow, N.R.; Yu, J. pH effect on wettability of oil/brine/carbonate system: Implications for low salinity water flooding. J. Pet. Sci. Eng. 2018, 168, 419–425. [Google Scholar] [CrossRef]
  48. Buckley, S.E.; Leverett, M.C. Mechanism of Fluid Displacement in Sands. Trans. AIME 1942, 146, 107–116. [Google Scholar] [CrossRef]
  49. Zimmer, K.; Zhang, Y.; Lu, P.; Chen, Y.; Zhang, G.; Dalkilic, M.; Zhu, C. SUPCRTBL: A revised and extended thermodynamic dataset and software package of SUPCRT92. Comput. Geosci. 2016, 90, 97–111. [Google Scholar] [CrossRef]
  50. Haynes, W.M. (Ed.) CRC Handbook of Chemistry and Physics, 97th ed.; CRC Press: Boca Raton, FL, USA, 2016. [Google Scholar]
  51. Stumm, W.; Morgan, J.J. Aquatic Chemistry: Chemical Equilibria and Rates in Natural Waters, 3rd ed.; Wiley-Interscience: Hoboken, NJ, USA, 1996. [Google Scholar]
Figure 1. Water saturation profiles comparing simulations (lines) against experimental coreflood data (circles) from [26]. High-salinity ( θ = 1 ) and low-salinity ( θ = 0 ) endpoints bracket the TBP-interpolated case ( θ = 0.35 ), demonstrating wettability transition dynamics at 2.0 pore volumes injected (PVI).
Figure 1. Water saturation profiles comparing simulations (lines) against experimental coreflood data (circles) from [26]. High-salinity ( θ = 1 ) and low-salinity ( θ = 0 ) endpoints bracket the TBP-interpolated case ( θ = 0.35 ), demonstrating wettability transition dynamics at 2.0 pore volumes injected (PVI).
Energies 18 04525 g001
Figure 2. Comparison of oil recovery factors between high-salinity ( θ = 1 ), low-salinity ( θ = 0 ), and TBP-interpolated ( θ = 0.35 ) simulations. TBP-driven models show 14.7% incremental recovery over high salinity regime, consistent with experimental data from [26] (the estimates for the error bars are not reported in source). Dashed lines represent experimental measurements, while solid lines denote simulation results.
Figure 2. Comparison of oil recovery factors between high-salinity ( θ = 1 ), low-salinity ( θ = 0 ), and TBP-interpolated ( θ = 0.35 ) simulations. TBP-driven models show 14.7% incremental recovery over high salinity regime, consistent with experimental data from [26] (the estimates for the error bars are not reported in source). Dashed lines represent experimental measurements, while solid lines denote simulation results.
Energies 18 04525 g002
Figure 3. Coupled profiles of water saturation ( S w ), pH, chloride ([ Cl ]), and magnesium ([ Mg 2 + ]) concentrations during brine displacement. Key features include synchronized ion fronts (velocity 2.49 × 10 5 m/s) and pH decline ( Δ pH = 0.08), illustrating geochemical interactions under 90% salinity reduction and 35% magnesium enrichment. The original variable ranges were pH (3.71–4.94), Cl (0.01–4.14 mmol/kgw), S w (0.1–0.81), and Mg 2 + (1.58–2.52 mmol/kgw). All parameters were normalized to a [ 0 , 1 ] range using min–max scaling, according to the formula v norm = ( v v min ) / ( v max v min ) , where v represents the original variable values and [ v min , v max ] correspond to their respective experimental ranges listed above.
Figure 3. Coupled profiles of water saturation ( S w ), pH, chloride ([ Cl ]), and magnesium ([ Mg 2 + ]) concentrations during brine displacement. Key features include synchronized ion fronts (velocity 2.49 × 10 5 m/s) and pH decline ( Δ pH = 0.08), illustrating geochemical interactions under 90% salinity reduction and 35% magnesium enrichment. The original variable ranges were pH (3.71–4.94), Cl (0.01–4.14 mmol/kgw), S w (0.1–0.81), and Mg 2 + (1.58–2.52 mmol/kgw). All parameters were normalized to a [ 0 , 1 ] range using min–max scaling, according to the formula v norm = ( v v min ) / ( v max v min ) , where v represents the original variable values and [ v min , v max ] correspond to their respective experimental ranges listed above.
Energies 18 04525 g003
Figure 4. Water saturation profiles for varying wettability states ( θ ), showing transition from oil-wet ( θ = 1 ) to water-wet ( θ = 0 ) conditions. Lower θ values accelerate frontal advance, with 20% θ reduction yielding 3% recovery gain at 2.0 PVI. Dashed vertical lines mark characteristic shock velocities.
Figure 4. Water saturation profiles for varying wettability states ( θ ), showing transition from oil-wet ( θ = 1 ) to water-wet ( θ = 0 ) conditions. Lower θ values accelerate frontal advance, with 20% θ reduction yielding 3% recovery gain at 2.0 PVI. Dashed vertical lines mark characteristic shock velocities.
Energies 18 04525 g004
Table 1. Ion concentration combinations used in PHREEQC simulations for the first experiment.
Table 1. Ion concentration combinations used in PHREEQC simulations for the first experiment.
IonInjected Ion Concentrations
Na + 40 to 3600 mmol/kgw
Mg 2 + 40 to 3900 mmol/kgw
Ca 2 + 50 mmol/kgw
Cl 40 to 3600 mmol/kgw
SO 4 2 1 mmol/kgw
C75 mmol/kgw
Table 2. Ion concentration combinations used in PHREEQC simulations for second experiment.
Table 2. Ion concentration combinations used in PHREEQC simulations for second experiment.
IonInjected Ion Concentrations
Na + 40 to 3600 mmol/kgw
Mg 2 + 40 mmol/kgw
Ca 2 + 50 mmol/kgw
Cl 40 to 3600 mmol/kgw
SO 4 2 20 to 650 mmol/kgw
C75 mmol/kgw
Table 3. Fluid–rock interaction parameters.
Table 3. Fluid–rock interaction parameters.
ParameterHigh-SalinityLow-Salinity
k w 0.30.4
k o 0.30.2
n w 2.23.5
n o 3.02.0
Table 4. Comparison of normalized TBP and key surface complexes for acidic vs. sweet crudes (pH = 2.37–3.87, low sulfate ( 1 mmol / kg )).
Table 4. Comparison of normalized TBP and key surface complexes for acidic vs. sweet crudes (pH = 2.37–3.87, low sulfate ( 1 mmol / kg )).
Parameter (Unit)Acidic OilSweet Oil
TBP [–] ( × 10 12 )0.99–5.460.18–0.31
Oil w , COOH (mol/kgw) 3.73 × 10 6 2.07 × 10 5 1.31 × 10 8 3.96 × 10 8
Oil s , NH + (mol/kgw) 5.09 × 10 7 1.38 × 10 6 3.81 × 10 7 1.07 × 10 6
Primary TBP Route (%) TBP 1 (80.93%) TBP 2 (64.97%)
Table 5. Statistical summary of acid oil (pH = 2.37–3.87) with low sulfate ( 1 mmol / kg ), T = 100   C.
Table 5. Statistical summary of acid oil (pH = 2.37–3.87) with low sulfate ( 1 mmol / kg ), T = 100   C.
VariableMinMaxMean
TBP [–] ( × 10 12 )9.90 × 10 1 5.46 × 10 0 3.23 × 10 0
Oil_wCOOH (mol/kgw)3.73 × 10 6 2.07 × 10 5 1.22 × 10 5
Oil_sNH (mol/kgw)5.09 × 10 7 1.38 × 10 6 9.45 × 10 7
Table 6. Statistical summary of normalized TBP components ( TBP/1.0 × 10 12 ) for acidic oil (pH = 7.36–8.37, low sulfate).
Table 6. Statistical summary of normalized TBP components ( TBP/1.0 × 10 12 ) for acidic oil (pH = 7.36–8.37, low sulfate).
VariableMinMaxMeanStd. Dev.
TBP [–] ( × 10 12 )5.227.796.740.62
Oil_wCOOH (mol/kgw)6.20 × 10 10 5.87 × 10 9 1.96 × 10 9 7.15 × 10 10
Oil_sNH (mol/kgw)8.79 × 10 11 1.05 × 10 9 3.19 × 10 10 1.35 × 10 10
Table 7. Statistical summary of normalized TBP components ( TBP/1.0 × 10 12 ) for sweet oil (pH = 7.36–8.37, low sulfate).
Table 7. Statistical summary of normalized TBP components ( TBP/1.0 × 10 12 ) for sweet oil (pH = 7.36–8.37, low sulfate).
VariableMinMaxMeanStd. Dev.
TBP [–] ( × 10 12 )8.81 × 10 2 1.27 × 10 1 1.10 × 10 1 9.37 × 10 3
Oil_wCOOH (mol/kgw)2.48 × 10 13 7.88 × 10 12 1.45 × 10 12 1.19 × 10 12
Oil_sNH (mol/kgw)7.52 × 10 12 2.40 × 10 10 4.41 × 10 11 3.62 × 10 11
Table 8. TBP component distribution for acidic oil (pH = 7.36–8.37) with low sulfate.
Table 8. TBP component distribution for acidic oil (pH = 7.36–8.37) with low sulfate.
ComponentMinMaxMeanStd. Dev.
TBP 1 [–] ( × 10 12 )5.116.245.870.24
TBP 2 [–] ( × 10 12 ) 2.98 × 10 5 3.42 × 10 4 1.02 × 10 4 4.19 × 10 5
TBP 3 [–] ( × 10 12 ) 1.34 × 10 2 1.15 1.39 × 10 1 1.00 × 10 1
TBP 4 [–] ( × 10 12 ) 7.36 × 10 2 1.34 7.37 × 10 1 4.22 × 10 1
Table 9. TBP component distribution for sweet oil (pH = 7.36–8.37) with low sulfate.
Table 9. TBP component distribution for sweet oil (pH = 7.36–8.37) with low sulfate.
ComponentMinMaxMeanStd. Dev.
TBP 1 [–] ( × 10 12 ) 8.76 × 10 2 1.26 × 10 1 1.10 × 10 1 9.41 × 10 3
TBP 2 [–] ( × 10 12 ) 2.45 × 10 6 6.05 × 10 5 1.41 × 10 5 1.10 × 10 5
TBP 3 [–] ( × 10 12 ) 1.98 × 10 7 9.54 × 10 5 8.89 × 10 6 1.18 × 10 5
TBP 4 [–] ( × 10 12 ) 1.08 × 10 6 2.15 × 10 4 4.66 × 10 5 5.78 × 10 5
Table 10. Key surface complexes and concentrations for acidic oil (pH = 7.36–8.37) with low sulfate.
Table 10. Key surface complexes and concentrations for acidic oil (pH = 7.36–8.37) with low sulfate.
Key Surface ComplexConcentration (mol/kgw)
Oil_wCOOCa + 4.54 ± 3.80 × 10 7
Cal_wCO 3 Mg + 2.30 ± 1.27 × 10 8
Cal_sSO 4 3.17 ± 1.37 × 10 5
Oil_sNH 2 SO 4 1.21 ± 1.08 × 10 9
Table 11. Surface complex statistics for acidic crude oil (TAN = 1.8 mg KOH/g) under high sulfate.
Table 11. Surface complex statistics for acidic crude oil (TAN = 1.8 mg KOH/g) under high sulfate.
VariableMinimumMaximumMean ± SD
TBP [–] ( × 10 12 ) 6.20 × 10 1 6.04 × 10 0 4.35 ± 1.66
Oil_wCOOH (mol/kgw) 2.70 × 10 7 2.34 × 10 5 ( 7.33 ± 6.28 ) × 10 6
Oil_sNH (mol/kgw) 6.77 × 10 8 1.48 × 10 6 ( 6.83 ± 4.21 ) × 10 7
Table 12. Surface complex statistics for sweet crude oil (TAN = 0.3 mg KOH/g) under high sulfate.
Table 12. Surface complex statistics for sweet crude oil (TAN = 0.3 mg KOH/g) under high sulfate.
VariableMinimumMaximumMean ± SD
TBP [–] ( × 10 12 ) 1.26 × 10 1 3.43 × 10 1 2.17 ± 0.03
Oil_wCOOH (mol/kgw) 3.81 × 10 9 8.11 × 10 8 ( 2.07 ± 1.22 ) × 10 8
Oil_sNH (mol/kgw) 1.70 × 10 7 1.96 × 10 6 ( 5.88 ± 3.05 ) × 10 7
Table 13. Ion concentrations (mol/kgw) for different combinations of calcium and sulfate used to assess their effect on wettability.
Table 13. Ion concentrations (mol/kgw) for different combinations of calcium and sulfate used to assess their effect on wettability.
ScenariosIon Concentrations (mol/kgw)
High [Ca2+] + Low [ SO 4 2 ] [ Ca 2 + ] = 0.100 , [ SO 4 2 ] = 0.001
High [Ca2+] + High [ SO 4 2 ] [ Ca 2 + ] = 0.100 , [ SO 4 2 ] = 0.030
Low [Ca2+] + High [ SO 4 2 ] [ Ca 2 + ] = 0.050 , [ SO 4 2 ] = 0.030
Low [Ca2+] + Low [ SO 4 2 ] [ Ca 2 + ] = 0.050 , [ SO 4 2 ] = 0.001
Table 14. Consolidated TBP values for calcium–sulfate synergy experiments.
Table 14. Consolidated TBP values for calcium–sulfate synergy experiments.
ScenarioTBP Mean ( × 10 12 )TBP Std. Dev.
High Ca2+ + Low SO 4 2 6.740.63
High Ca2+ + High SO 4 2 6.800.62
Low Ca2+ + High SO 4 2 6.810.62
Low Ca2+ + Low SO 4 2 6.750.64
Table 15. Key TBP trends vs. experimental wettability metrics.
Table 15. Key TBP trends vs. experimental wettability metrics.
TBP TrendExperimental MetricSource
↓ TBP with [ Mg 2 + ] ↑ Contact angle (water-wet) [9]
↑ TBP with ↑ pH (acidic oil)↓ Adhesion force [28]
↓ TBP with [ SO 4 2 ] ↑ Oil recovery [26]
Disclaimer/Publisher’s Note: The statements, opinions and data contained in all publications are solely those of the individual author(s) and contributor(s) and not of MDPI and/or the editor(s). MDPI and/or the editor(s) disclaim responsibility for any injury to people or property resulting from any ideas, methods, instructions or products referred to in the content.

Share and Cite

MDPI and ACS Style

Alvarez, A.C.; Bruining, J.; Marchesin, D. Integrated Equilibrium-Transport Modeling for Optimizing Carbonated Low-Salinity Waterflooding in Carbonate Reservoirs. Energies 2025, 18, 4525. https://doi.org/10.3390/en18174525

AMA Style

Alvarez AC, Bruining J, Marchesin D. Integrated Equilibrium-Transport Modeling for Optimizing Carbonated Low-Salinity Waterflooding in Carbonate Reservoirs. Energies. 2025; 18(17):4525. https://doi.org/10.3390/en18174525

Chicago/Turabian Style

Alvarez, Amaury C., Johannes Bruining, and Dan Marchesin. 2025. "Integrated Equilibrium-Transport Modeling for Optimizing Carbonated Low-Salinity Waterflooding in Carbonate Reservoirs" Energies 18, no. 17: 4525. https://doi.org/10.3390/en18174525

APA Style

Alvarez, A. C., Bruining, J., & Marchesin, D. (2025). Integrated Equilibrium-Transport Modeling for Optimizing Carbonated Low-Salinity Waterflooding in Carbonate Reservoirs. Energies, 18(17), 4525. https://doi.org/10.3390/en18174525

Note that from the first issue of 2016, this journal uses article numbers instead of page numbers. See further details here.

Article Metrics

Back to TopTop