Stability Analysis and Enhanced Control of Wind Turbine Generators Based on Hybrid GFL-GFM Control
Abstract
1. Introduction
- Development of the impedance model for wind turbine generators under hybrid GFL-GFM control with tunable weighting coefficients, addressing the derivation of hybrid phase angle synthesis;
- Stability-guaranteed coefficient selection utilizing impedance-based stability criteria, providing a methodology for adaptive optimization hybrid coefficient adjustment under different SCR conditions.
2. Topology and Control Scheme of Wind Turbine System with Hybrid GFL-GFM Control
2.1. Circuit Topology
2.2. Hybrid Control Scheme
3. Sequential Impedance Modeling for Hybrid GFL-GFM Control
3.1. Small-Signal Modeling of the Hybrid Phase Angle
3.1.1. Small-Signal Modeling of the PLL
3.1.2. Small-Signal Modeling of the PSL
3.1.3. Hybrid Phase Angle Synthesis
3.2. Small-Signal Modeling of the Hybrid Modulation Signal
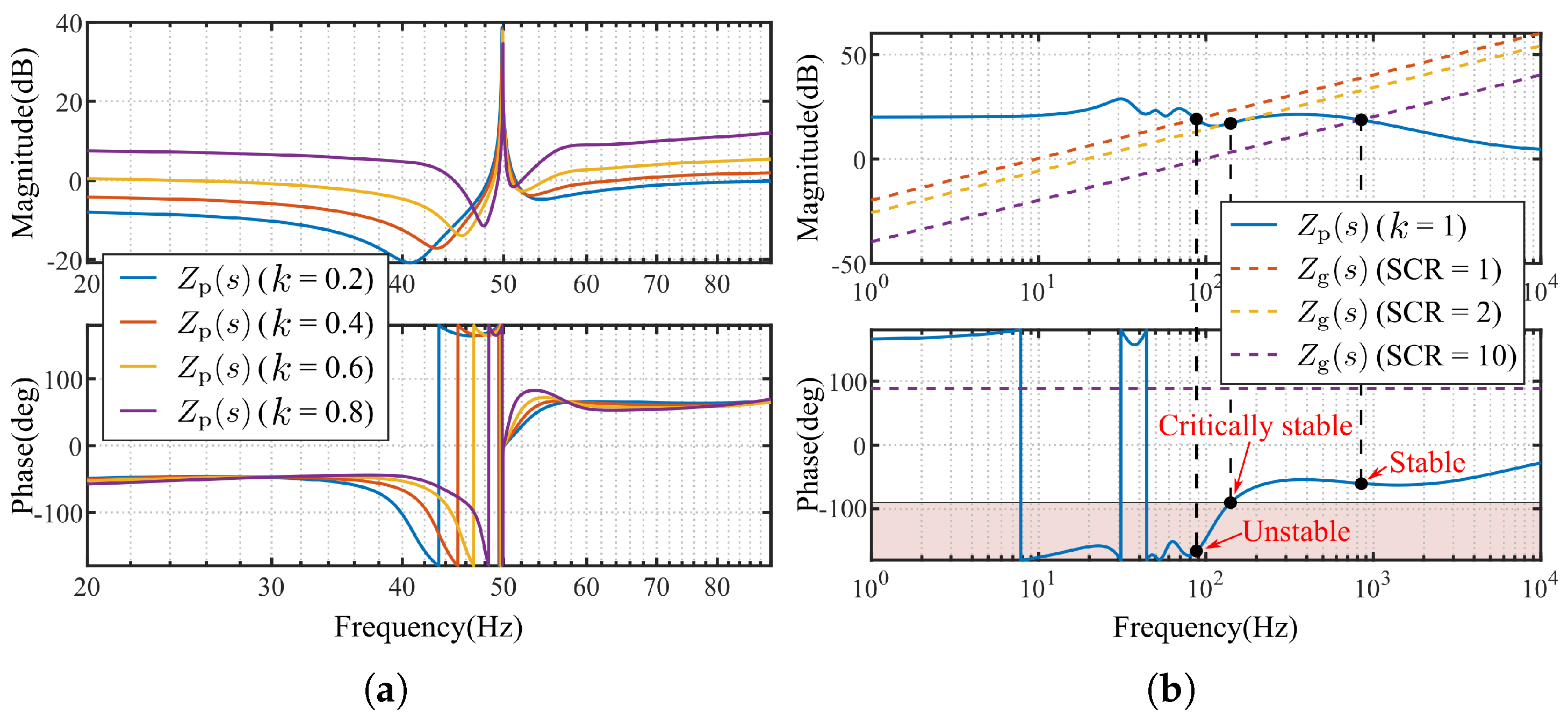
4. Impedance Characteristics and Coefficient Optimization Method
4.1. Impedance Characteristics of Hybrid GFL-GFM Control
- The GFL-controlled system exhibits capacitive behavior in 9–150 Hz bands, increasing oscillatory risk with inductive weak grids. Hybrid control impedance resembles GFM control and shows localized negative impedance near fundamental frequency (40–50 Hz), potentially coupling with grid impedance to induce instability.
- As k decreases (increased GFL weighting), the system progressively exhibits GFL characteristics with larger magnitude in low-frequency bands; as k decreases (increased GFM weighting), GFM characteristics dominate.
- Hybrid control’s negative impedance region is not bounded by GFL/GFM limits, and the area exhibits a non-monotonic relationship with k. Take the k = 0.5 case, for example; this region is smaller than that of GFL and GFM control.
4.2. Small-Signal Stability Analysis and Coefficient-Adaptive Hybrid Control
5. Simulation Verification
6. Conclusions
Author Contributions
Funding
Data Availability Statement
Conflicts of Interest
Nomenclature
| Parameters | |
| The sampling period | |
| The DC-link voltage | |
| / | The equivalent line inductance/resistance of the grid |
| // | The filter inductance/capacitor/damping resistance |
| / | The reference voltage/angular frequency |
| / | The active/reactive power reference |
| / | The d/q-axis current reference in GFL control |
| / | The cut-off angular frequency of voltage/current low-pass filter |
| / | The PWM/feedforward coefficient |
| / | The active/reactive power droop coefficient |
| // | The proportional coefficient of the current loop/voltage loop/PLL |
| // | The integral coefficient of the current loop/voltage loop/PLL |
| Nomenclature variables | |
| // | The phase-a/b/c internal electric potential |
| // | The phase-a/b/c output voltage |
| // | The phase-a/b/c output current |
| // | The phase-a/b/c grid voltage |
| // | The phase-a/b/c grid current |
| / | The three-phase output voltage/current |
| / | The /-axis output voltage component |
| / | The /-axis output current component |
| / | The d/q-axis output voltage component |
| / | The d/q-axis output current component |
| / | The d/q-axis output voltage with perturbation effects neglected |
| / | The d/q-axis voltage in GFL control |
| // | The dq-axis hybrid/GFL/GFM modulation signals |
| The d-axis voltage reference in GFM control | |
| The dq-axis output voltage | |
| The switching signals | |
| / | The voltage/angular frequency deviation |
| The GFM angular frequency | |
| k/ | The GFL/GFM weighting coefficient |
| The synchronous rotation coordinate transformation matrix | |
| The inverse coordinate transformation matrix | |
| P/Q | The instantaneous active/reactive power |
| // | The fundamental voltage/positive-sequence voltage disturbance/negative-sequence voltage disturbance |
| // | The fundamental current/positive-sequence current disturbance/negative-sequence current disturbance |
| // | The fundamental frequency/positive-sequence perturbation frequency/negative-sequence perturbation frequency |
| / | The initial phase angle of positive/negative-sequence voltage perturbation |
| // | The initial phase angle of fundamental/positive-sequence/negative-sequence current response |
| The positive-sequence phase angle with perturbation effects neglected | |
| // | The hybrid/GFL/GFM phase angle |
| // | The hybrid/GFL/GFM phase angle perturbation component |
| / | The sine/cosine value of hybrid phase angle |
| // | The phasor of fundamental voltage/positive-sequence voltage disturbance/negative-sequence voltage disturbance |
| // | The phasor of fundamental current/positive-sequence current response/negative-sequence current response |
| / | The phase-a output voltage/current in the frequency domain |
| / | The /-axis output voltage in the frequency domain |
| / | The /-axis output current in the frequency domain |
| / | The d/q-axis output voltage in the frequency domain |
| / | The d/q-axis output current in the frequency domain |
| / | The d/q-axis output voltage in the frequency domain with perturbation effects neglected |
| / | The d/q-axis output voltage in GFL control in the frequency domain |
| / | The instantaneous active/reactive power in the frequency domain |
| / | The sine/cosine value of hybrid phase angle in the frequency domain |
| / / | The hybrid/GFL/GFM phase angle perturbation component in the frequency domain |
| // | The voltage loop/current loop/PLL transfer function |
| / | The transfer function between small-signal voltage disturbance and GFL phase angle perturbation |
| / | The voltage/current sampling function |
| / | The positive/negative-sequence impedance |
Appendix A
References
- Sun, Y.; Li, Z.; Zhang, Y.; Li, Y.; Zhang, Z. A Time-Domain Virtual-Flux Based Predictive Control of Modular Multilevel Converters for Offshore Wind Energy Integration. IEEE Trans. Energy Convers. 2022, 37, 1803–1814. [Google Scholar] [CrossRef]
- Zhang, Z.; Fang, H.; Gao, F.; Rodríguez, J.; Kennel, R. Multiple-Vector Model Predictive Power Control for Grid-Tied Wind Turbine System With Enhanced Steady-State Control Performance. IEEE Trans. Ind. Electron. 2017, 64, 6287–6298. [Google Scholar] [CrossRef]
- Zhou, S.; Zou, X.; Zhu, D.; Tong, L.; Zhao, Y.; Kang, Y.; Yuan, X. An Improved Design of Current Controller for LCL-Type Grid-Connected Converter to Reduce Negative Effect of PLL in Weak Grid. IEEE J. Emerg. Sel. Topics Power Electron. 2018, 6, 648–663. [Google Scholar] [CrossRef]
- Liu, L.; Zhang, Z.; Yin, Y.; Vazquez, S.; Zhao, Y.; Kennel, R. An Efficient Robust Power-Voltage Control for Three-Level NPC Converters in Microgrids. IEEE Trans. Ind. Inform. 2024, 20, 5849–5863. [Google Scholar] [CrossRef]
- IEEE Std 1204-1997; IEEE Guide for Planning DC Links Terminating at AC Locations Having Low Short-Circuit Capacities. IEEE: New York City, NY, USA, 1997; pp. 1–216.
- Li, M.; Zhang, X.; Guo, Z.; Wang, J.; Li, F. The Dual-Mode Combined Control Strategy for Centralized Photovoltaic Grid-Connected Inverters Based on Double-Split Transformers. IEEE Trans. Ind. Electron. 2021, 68, 12322–12330. [Google Scholar] [CrossRef]
- Silwal, S.; Taghizadeh, S.; Karimi-Ghartemani, M.; Hossain, M.J.; Davari, M. An Enhanced Control System for Single-Phase Inverters Interfaced With Weak and Distorted Grids. IEEE Trans. Power Electron. 2019, 34, 12538–12551. [Google Scholar] [CrossRef]
- Bouafia, A.; Gaubert, J.-P.; Krim, F. Predictive Direct Power Control of Three-Phase Pulsewidth Modulation (PWM) Rectifier Using Space-Vector Modulation (SVM). IEEE Trans. Power Electron. 2010, 25, 228–236. [Google Scholar] [CrossRef]
- Zhang, L.; Harnefors, L.; Nee, H. Power-Synchronization Control of Grid-Connected Voltage-Source Converters. IEEE Trans. Power Syst. 2010, 25, 809–820. [Google Scholar] [CrossRef]
- Zhao, Y.; Chai, J.; Sun, X. Virtual Synchronous Control of Grid-Connected DFIG-Based Wind Turbines. In Proceedings of the 2015 IEEE Applied Power Electronics Conference and Exposition (APEC), Charlotte, NC, USA, 15–19 March 2015; pp. 2980–2983. [Google Scholar]
- Wu, W.; Zhou, L.; Chen, Y.; Luo, A.; Dong, Y.; Zhou, X.; Xu, Q.; Yang, L.; Guerrero, J.M. Sequence-Impedance-Based Stability Comparison Between VSGs and Traditional Grid-Connected Inverters. IEEE Trans. Power Electron. 2019, 34, 46–52. [Google Scholar] [CrossRef]
- Li, M.; Zhang, X.; Guo, Z.; Pan, H.; Ma, M.; Zhao, W. Impedance Adaptive Dual-Mode Control of Grid-Connected Inverters with Large Fluctuation of SCR and Its Stability Analysis Based on D-Partition Method. IEEE Trans. Power Electron. 2021, 36, 14420–14435. [Google Scholar] [CrossRef]
- Li, M.; Wang, Y.; Hu, W.; Shu, S.; Yu, P.; Zhang, Z.; Blaabjerg, F. Unified Modeling and Analysis of Dynamic Power Coupling for Grid-Forming Converters. IEEE Trans. Power Electron. 2022, 37, 2321–2337. [Google Scholar] [CrossRef]
- Zhao, F.; Wang, X.; Zhu, T. Power Dynamic Decoupling Control of Grid-Forming Converter in Stiff Grid. IEEE Trans. Power Electron. 2022, 37, 9073–9088. [Google Scholar] [CrossRef]
- Li, M.; Zhang, X.; Yang, Y.; Cao, P. The Grid Impedance Adaptation Dual Mode Control Strategy In Weak Grid. In Proceedings of the 2018 International Power Electronics Conference (IPEC-Niigata 2018 -ECCE Asia), Niigata, Japan, 20–24 May 2018. [Google Scholar]
- Yu, C.; Wang, Q.; Fang, W.; Wang, Y.; Diao, H.; Xu, H.; Guo, L. Research on Dynamic and Steady-State Characteristics of Grid-Following/Grid-Forming Hybrid Control Based on Model Predictive Control. IEEE Open J. Power Electron. 2025, 6, 909–918. [Google Scholar] [CrossRef]
- Li, M.; Zhang, X. Hybrid Dual-Mode Control for Grid-Following and Grid-Forming Inverters in High-Penetration Renewable Energy System. In Proceedings of the 2023 International Conference on Power and Renewable Energy Engineering (PREE), Shanghai, China, 27–29 October 2023. [Google Scholar]
- Han, F.; Zhang, X.; Li, M.; Li, F.; Zhao, W. Stability Control for Grid-Connected Inverters Based on Hybrid-Mode of Grid-Following and Grid-Forming. IEEE Trans. Ind. Electron. 2024, 71, 10750–10760. [Google Scholar] [CrossRef]
- Han, F.; Zhang, X.; Li, M. Hybrid-Mode Control for Grid-Connected Inverters and Characteristics Comparison with Current-Source Mode and Voltage-Source Mode. Int. J. Electr. Power Energy Syst. 2025, 170, 110911. [Google Scholar] [CrossRef]
- Chen, H.; Xiao, H.; Gong, K. Seamless Transition of Microgrid Operation Between Islanded Mode and Grid-Connected Based on Hybrid Control. In Proceedings of the 2025 IEEE Industry Applications Society Annual Meeting (IAS), Toronto, ON, Canada, 5–9 October 2025; pp. 1–8. [Google Scholar]
- Cespedes, M.; Sun, J. Impedance Modeling and Analysis of Grid-Connected Voltage-Source Converters. IEEE Trans. Power Electron. 2014, 29, 1254–1261. [Google Scholar] [CrossRef]
- Shi, K.; Wang, Y.; Sun, Y.; Xu, P.; Gao, F. Frequency-Coupled Impedance Modeling of Virtual Synchronous Generators. IEEE Trans. Power Syst. 2021, 36, 3692–3700. [Google Scholar] [CrossRef]
- Wang, P.; Ma, J.; Zhang, R.; Wang, S.; Liu, T.; Yang, Y. Stability Criterion for Near-Area Grid-Forming Converters Under the Weak Grid Condition. IEEE Trans. Power Electron. 2025, 40, 361–374. [Google Scholar] [CrossRef]
- Kochenburger, R.J. A Frequency Response Method for Analyzing and Synthesizing Contactor Servomechanisms. Trans. Am. Inst. Elect. Eng. 1950, 69, 270–284. [Google Scholar] [CrossRef]
- Liu, H.; Sun, J. Voltage Stability and Control of Offshore Wind Farms With AC Collection and HVDC Transmission. IEEE J. Emerg. Sel. Top. Power Electron. 2014, 2, 1181–1189. [Google Scholar] [CrossRef]
- Sun, J. Impedance-Based Stability Criterion for Grid-Connected Inverters. IEEE Trans. Power Electron. 2011, 26, 3075–3078. [Google Scholar] [CrossRef]












| Parameter | Value | Parameter | Value |
|---|---|---|---|
| 700 V | 20,000 W | ||
| 220 V | 0 Var | ||
| 3 mH | 1 | ||
| 20 F | 270 | ||
| 1.5 | 1 | ||
| 50 s | 200 | ||
| rad/s | 0.27 | ||
| rad/s | 11 | ||
| rad/s |
Disclaimer/Publisher’s Note: The statements, opinions and data contained in all publications are solely those of the individual author(s) and contributor(s) and not of MDPI and/or the editor(s). MDPI and/or the editor(s) disclaim responsibility for any injury to people or property resulting from any ideas, methods, instructions or products referred to in the content. |
© 2025 by the authors. Licensee MDPI, Basel, Switzerland. This article is an open access article distributed under the terms and conditions of the Creative Commons Attribution (CC BY) license (https://creativecommons.org/licenses/by/4.0/).
Share and Cite
Huang, S.; Zhang, Z.; Chen, Z.; Huang, H.; Li, Z. Stability Analysis and Enhanced Control of Wind Turbine Generators Based on Hybrid GFL-GFM Control. Energies 2025, 18, 4590. https://doi.org/10.3390/en18174590
Huang S, Zhang Z, Chen Z, Huang H, Li Z. Stability Analysis and Enhanced Control of Wind Turbine Generators Based on Hybrid GFL-GFM Control. Energies. 2025; 18(17):4590. https://doi.org/10.3390/en18174590
Chicago/Turabian StyleHuang, Sijia, Zhenbin Zhang, Zhihao Chen, Huimin Huang, and Zhen Li. 2025. "Stability Analysis and Enhanced Control of Wind Turbine Generators Based on Hybrid GFL-GFM Control" Energies 18, no. 17: 4590. https://doi.org/10.3390/en18174590
APA StyleHuang, S., Zhang, Z., Chen, Z., Huang, H., & Li, Z. (2025). Stability Analysis and Enhanced Control of Wind Turbine Generators Based on Hybrid GFL-GFM Control. Energies, 18(17), 4590. https://doi.org/10.3390/en18174590

