Enhancing Fuel Cell Hybrid Electric Vehicle Energy Management with Real-Time LSTM Speed Prediction
Abstract
1. Introduction
2. Integrated Energy Management Strategy Model
3. Speed Prediction
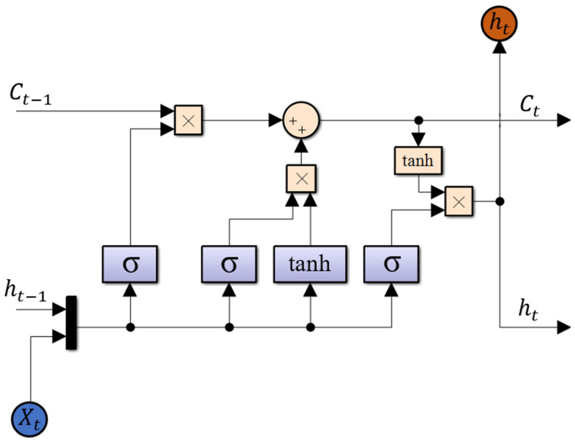
3.1. Long Short-Term Memory Neural Network
- The input gate determines which values from the input should update the cell state.
- The forget gate decides which information should be discarded from the cell state.
- The output gate controls what portion of the cell state should be passed forward.
3.2. Database Preprocessing
- Datasets
- Handling Missing Data
- Normalization
- Features selection
3.3. LSTM Model Training
- Dataset Splitting
- Sliding Window and Prediction Horizon
3.4. LSTM Architecture
- Sequence Input Layer: This layer receives sequential data, such as time series measurements, serving as the entry point for the network.
- LSTM Layer: This core layer processes the input sequence, capturing long-term dependencies and temporal patterns critical for accurate predictions.
- Fully Connected Layer: Positioned after the LSTM layer, this densely connected layer transforms the LSTM outputs into a fixed-size feature vector, enabling higher-level pattern recognition.
- Regression Layer: The final layer processes the feature vector to generate a continuous output signal, making it well-suited for predicting real-valued data, such as vehicle speed.
- Model validation
3.5. Post-Processing
- Identifying the Issue
- Enhancing Integrated Energy Management with Online Exponential Filtering
- Preserves Data Integrity: Unlike traditional filtering techniques, it reduces oscillations without introducing undesirable signal shifts.
- Computational Efficiency: The lightweight nature of the filter makes it well-suited for real-time iEMS applications, ensuring fast processing without excessive computational overhead.
- Improved Accuracy: By refining speed predictions, the filter enhances acceleration calculations, directly contributing to better fuel efficiency and power management within the FCHEV system.
4. Results and Discussion
- -
- Speed Prediction Model Assessment
- We first examined the impact of internal and external inputs on the LSTM speed prediction model.
- Performance was assessed across four test cycles, highlighting improvements in accuracy with additional input features.
- -
- Comparative Analysis of the Real-Time iEMS
- We systematically compared our newly integrated real-time iEMS with the reference iEMS from our previous work [37].
- A key part of this evaluation included investigating the influence of initial state-of-charge (SOC) on energy management.
- Two initial SOC conditions (35% and 65%) were analyzed for each test cycle, providing insights into how different SOC levels affect energy distribution strategies.
4.1. Real-Time Speed Prediction Model
- Four key input features (speed, acceleration, traffic light distance, and followed vehicle distance).
- An exponential filtering mechanism for refining predictions.
- Strong correlation between predicted and actual speed signals.
- Accurate predictions at both high and low speeds.
- Effective response to acceleration changes, ensuring smooth transitions from low to high speed and vice versa.
- Stable and realistic speed predictions lead to moderate acceleration values, a critical factor for FCHEV energy efficiency.
4.2. Speed Prediction Model iEMS Integration and Comparison
- Power Profiles:
- ○
- : Power demand on the bus;
- ○
- : Battery power output;
- ○
- : Fuel cell system power output.
- State-of-Charge (SOC) Trajectory: Reflecting battery charge levels over time.
- Fuel Consumption: Evaluating hydrogen efficiency.
- SOC trajectories of our real-time iEMS vs. benchmark iEMS (ideal speed prediction).
- Battery Energy Consumption, showing differences in energy usage.
- The 35% SOC scenario: Gradual increase to ~45%, ensuring stability.
- The 65% SOC scenario: Maintains a satisfactory range, balancing energy sources efficiently.
5. Conclusions and Future Work
Author Contributions
Funding
Data Availability Statement
Conflicts of Interest
References
- Champion, V.; Allen, A.; Wigston, J. Investigating the potential energy savings of MVHR in automotive HVAC systems. Proc. Inst. Mech. Eng. Part D J. Automob. Eng. 2023, 237, 1170–1180. [Google Scholar] [CrossRef]
- Mohsin, M.; Orynbassarov, D.; Anser, M.K.; Oskenbayev, Y. Does hydropower energy help to reduce CO2 emissions in European Union countries? evidence from quantile estimation. Environ. Dev. 2023, 45, 100794. [Google Scholar] [CrossRef]
- Antonacci, A.; Matheis, R.; Del Pero, F.; Thirunavukkarasu, D.; Delogu, M. Design of experiments framework for performance and environmental assessment in automotive context. Proc. Inst. Mech. Eng. Part D J. Automob. Eng. 2025, 239, 464–488. [Google Scholar] [CrossRef]
- Fuller, R.; Landrigan, P.J.; Balakrishnan, K.; Bathan, G.; Bose-O’REilly, S.; Brauer, M.; Caravanos, J.; Chiles, T.; Cohen, A.; Corra, L.; et al. Pollution and health: A progress update. Lancet Planet. Health 2022, 6, e535–e547. [Google Scholar] [CrossRef] [PubMed]
- Saha, S.; Saha, A.; Saha, M.; Saha, K.; Chowdhury, Z.J. The positive effects of COVID-19 lockdown on environmental attributes: A Review. Am. J. Environ. Clim. 2022, 1, 38–44. [Google Scholar] [CrossRef]
- Hannappel, R. The impact of global warming on the automotive industry. AIP Conf. Proc. 2017, 1871, 060001. [Google Scholar]
- Sims, R.; Schaeffer, F.; Creutzig, X.; Cruz-Nunez, M.; D’agosto, D.; Dimitriu, M.J.; Meza, L.F.; Fulton, S.; Kobayashi, O.; Lah; et al. Transport Climate Change 2014: Mitigation of Climate Change. Contribution of Working Group III to the Fifth Assessment Report of the Intergovernmental Panel on Climate Change; Edenhofer, O.R., Pichs-Madruga, Y., Sokona, E., Farahani, S., Kadner, K., Seyboth, A., Adler, I., Baum, S., Brunner, P., Eickemeier, B., et al., Eds.; Cambridge University Press: New York, NY, USA, 2014. [Google Scholar]
- Larminie, J.R.J. Fuel Cell-Technology Handbook. Proc. Inst. Mech. Eng. Part D J. Automob. Eng. 2003, 217, 415. [Google Scholar] [CrossRef]
- Khokhar, H.N. Decarbonisation of Global Economies; Is net zero emission achievable? The case for hydrogen and fuel cell technology for innovative futures. J. Entrep. Innov. Emerg. Econ. 2023, 9, 92–130. [Google Scholar] [CrossRef]
- Endiz, M.S. A Comparison of battery and hydrogen fuel cell electric vehicles for clean transportation. Orclever Proc. Res. Dev. 2023, 2, 10–17. [Google Scholar] [CrossRef]
- Visvanathan, V.K.; Palaniswamy, K.; Ponnaiyan, D.; Chandran, M.; Kumaresan, T.; Ramasamy, J.; Sundaram, S. Fuel cell products for sustainable transportation and stationary power generation: Review on market perspective. Energies 2023, 16, 2748. [Google Scholar] [CrossRef]
- Meng, X.; Mei, J.; Tang, X.; Jiang, J.; Sun, C.; Song, K. The degradation prediction of proton exchange membrane fuel cell performance based on a transformer model. Energies 2024, 17, 3050. [Google Scholar] [CrossRef]
- Jia, H.; Li, H.; Yin, B.; Xie, X.; Pei, Y.; Gu, H. Study on energy management strategy of fuel cell patrol vehicle hybrid power system. Proc. Inst. Mech. Eng. Part D J. Automob. Eng. 2024, 239, 2141–2152. [Google Scholar] [CrossRef]
- Matthieu, M.; Toufik, A.; Mehdi, M.; Chaibet, A. Real-time and multi-layered energy management strategies for fuel cell electric vehicle overview. In Proceedings of the IEEE 95th Vehicular Technology Conference, Helsinki, Finland, 19–22 June 2022; pp. 1–6. [Google Scholar]
- Song, D.; Wu, Q.; Yang, D.; Zeng, X.; Qian, Q.; Zhang, X. Research on operation cost minimization online energy management strategy for fuel cell hybrid passenger vehicles. Proc. Inst. Mech. Eng. Part D J. Automob. Eng. 2022, 238, 420–432. [Google Scholar] [CrossRef]
- Touileb, R.; Abbou, A. Simulation and optimization of hydrogen consumption in a fuel cell/battery hybrid vehicle. Int. J. Power Electron. Drive Syst. (IJPEDS) 2023, 14, 662–672. [Google Scholar] [CrossRef]
- Szałek, A.; Pielecha, I.; Cieslik, W. Fuel cell electric vehicle (FCEV) energy flow analysis in real driving conditions (RDC). Energies 2021, 14, 5018. [Google Scholar] [CrossRef]
- Tang, X.; Xie, Y.; Wang, B.; Shi, L.; Wu, X. Energy management strategy for hydraulic hybrid system with compound accumulator based on dynamic programming. Proc. Inst. Mech. Eng. Part D J. Automob. Eng. 2023, 237, 1819–1829. [Google Scholar] [CrossRef]
- Liu, K.; Asher, Z.; Gong, X.; Huang, M.; Kolmanovsky, I. Vehicle Velocity Prediction and Energy Management Strategy Part 1: Deterministic and Stochastic Vehicle Velocity Prediction Using Machine Learning, SAE Technical Paper Series; SAE Technical Paper: Warrendale, PA, USA, 2019. [Google Scholar]
- DeHua, S.; XiangWei, R.; ShaoHua, W.; YingFeng, C.; HuaPing, S.; Tao, Y. Adaptive energy management strategy for hybrid electric vehicle based on power prediction. Proc. Inst. Mech. Eng. Part D J. Automob. Eng. 2022, 237, 1365–1377. [Google Scholar] [CrossRef]
- Khalatbarisoltani, A.; Zhou, H.; Tang, X.; Kandidayeni, M.; Boulon, L.; Hu, X. Energy management strategies for fuel cell vehicles: A comprehensive review of the latest progress in modeling, strategies, and future prospects. IEEE Trans. Intell. Transp. Syst. 2024, 25, 14–32. [Google Scholar] [CrossRef]
- Zhu, L.; Yu, F.R.; Wang, Y.; Ning, B.; Tang, T. Big data analytics in intelligent transportation systems: A survey. IEEE Trans. Intell. Transp. Syst. 2018, 20, 383–398. [Google Scholar] [CrossRef]
- Gan, J.; Li, S.; Wei, C.; Deng, L.; Tang, X. Intelligent learning algorithm and intelligent transportation-based energy management strategies for hybrid electric vehicles: A review. IEEE Trans. Intell. Transp. Syst. 2023, 24, 10345–10361. [Google Scholar] [CrossRef]
- Zhang, Y.; Huo, W.; Chen, Y.; Li, F.; Gong, G. Energy management and optimization for fuel cell vehicles incorporating deep reinforcement learning and traffic light information. Proc. Inst. Mech. Eng. Part D J. Automob. Eng. 2025. [Google Scholar] [CrossRef]
- Arthurs, P.; Gillam, L.; Krause, P.; Wang, N.; Halder, K.; Mouzakitis, A. A taxonomy and survey of edge cloud computing for intelligent transportation systems and connected vehicles. IEEE Trans. Intell. Transp. Syst. 2021, 23, 6206–6221. [Google Scholar] [CrossRef]
- Yazdani, A.; Bidarvatan, M. Real-time optimal control of power management in a fuel cell hybrid electric vehicle: A comparative analysis. SAE Int. J. Altern. Powertrains 2018, 7, 43–54. [Google Scholar] [CrossRef]
- Zhou, Z.; Yang, Z.; Zhang, Y.; Huang, Y.; Chen, H.; Yu, Z. A comprehensive study of speed prediction in transportation system: From vehicle to traffic. iScience 2022, 25, 103909. [Google Scholar] [CrossRef] [PubMed]
- Ma, X.; Zhong, H.; Li, Y.; Ma, J.; Cui, Z.; Wang, Y. Forecasting transportation network speed using deep capsule networks with nested LSTM models. IEEE Trans. Intell. Transp. Syst. 2020, 22, 4813–4824. [Google Scholar] [CrossRef]
- Mackenzie, J.; Roddick, J.F.; Zito, R. An Evaluation of HTM and LSTM for short-term arterial traffic flow prediction. IEEE Trans. Intell. Transp. Syst. 2018, 20, 1847–1857. [Google Scholar] [CrossRef]
- Wang, R.; Shi, X.; Su, Y.; Song, T. A predictive energy management strategy for plug-in hybrid electric vehicles using real-time traffic based reference SOC planning. Proc. Inst. Mech. Eng. Part D J. Automob. Eng. 2024, 239, 1872–1889. [Google Scholar] [CrossRef]
- Guo, J.; He, H.; Sun, C. ARIMA-based road gradient and vehicle velocity prediction for hybrid electric vehicle energy management. IEEE Trans. Veh. Technol. 2019, 68, 5309–5320. [Google Scholar] [CrossRef]
- Gaikwad, T.; Rabinowitz, A.; Motallebiaraghi, F.; Bradley, T.; Asher, Z.; Fong, A.; Meyer, R. Vehicle Velocity Prediction Using Artificial Neural Networks and Effect of Real-World Signals on Prediction Window; SAE Technical Paper: Warrendale, PA, USA, 2020; pp. 729–789. [Google Scholar]
- Meng, X.; Fu, H.; Peng, L.; Liu, G.; Yu, Y.; Wang, Z.; Chen, E. D-LSTM: Short-term road traffic speed prediction model based on gps positioning data. IEEE Trans. Intell. Transp. Syst. 2020, 23, 2021–2030. [Google Scholar] [CrossRef]
- Azib, T.; Bethoux, O.; Remy, G.; Marchand, C.; Berthelot, E. An innovative control strategy of a single converter for hybrid fuel cell/supercapacitor power source. IEEE Trans. Ind. Electron. 2010, 57, 4024–4031. [Google Scholar] [CrossRef]
- Sorlei, I.-S.; Bizon, N.; Thounthong, P.; Varlam, M.; Carcadea, E.; Culcer, M.; Iliescu, M.; Raceanu, M. Fuel cell electric vehicles—A brief review of current topologies and energy management strategies. Energies 2021, 14, 252. [Google Scholar] [CrossRef]
- Matignon, M.; Azib, T.; Mcharek, M.; Chaibet, A.; Ceschia, A. Real-Time Integrated Energy Management Strategy Applied to Fuel Cell Hybrid Systems. Energies 2023, 16, 2645. [Google Scholar] [CrossRef]
- Topić, J.; Škugor, B.; Deur, J. Receding-horizon prediction of vehicle velocity profile using deterministic and stochastic deep neural network models. Sustainability 2022, 14, 10674. [Google Scholar] [CrossRef]
- Pascanu, R.; Mikolov, T.; Bengio, Y. On the difficulty of training recurrent neural networks. In Proceedings of the International conference on machine learning, Atlanta, GA, USA, 16–21 June 2013; pp. 1310–1318. [Google Scholar]
- Ciechulski, T.; Osowski, S. High precision LSTM model for short-time load forecasting in power systems. Energies 2021, 14, 2983. [Google Scholar] [CrossRef]
- Rabinowitz, A.I.; Gaikwad, T.; White, S.; Bradley, T.; Asher, Z. Synchronous and Open, Real World, Vehicle, ADAS, and Infrastructure Data Streams for Automotive Machine Learning Algorithms Research; SAE Technical Paper: Warrendale, PA, USA, 2020; p. 736. [Google Scholar]









| Data Location | Data Group | Single-Vehicle Data Examples |
|---|---|---|
| Internal: measurable by the powertrain sensors |
| Driver’s behavior (e.g., calm, sportive…) |
| Vehicle weight, maximum speed… | |
| Vehicle speed, available fuel, battery SOC… | |
| External: cooperative environment data |
| Front vehicle speed, distance… |
| Fog, rain, snow… | |
| Slope, speed limits, type of road (e.g., urban)… | |
| Traffic light state and distance, accidents… |
| Options | Parameters | Description |
|---|---|---|
| Training solver | Adam | Optimization algorithm |
| InitialLearnRate | 0.001 | Initial learning rate |
| ValidationData | {Xval; Yval} | Validation data |
| MaxEpoches | 100 | Training maximum number of epochs |
| ValidationFrequency | 10 | Frequency between validations |
| ValidationPatience | 5 | End of the network validation |
| MiniBatchSize | 256 | Midi-batch size used |
| Shuffle | Never | We never shuffle the data because our data are time-dependent |
| Plots | Training progress | Display the training progression on a plot |
| Inputs | Mean RMSE |
|---|---|
| Speed | 0.1537 |
| Speed, acceleration | 0.1310 |
| Speed, acceleration, traffic light distance | 0.1294 |
| Speed, acceleration, traffic light distance, followed vehicle distance | 0.1247 |
Disclaimer/Publisher’s Note: The statements, opinions and data contained in all publications are solely those of the individual author(s) and contributor(s) and not of MDPI and/or the editor(s). MDPI and/or the editor(s) disclaim responsibility for any injury to people or property resulting from any ideas, methods, instructions or products referred to in the content. |
© 2025 by the authors. Licensee MDPI, Basel, Switzerland. This article is an open access article distributed under the terms and conditions of the Creative Commons Attribution (CC BY) license (https://creativecommons.org/licenses/by/4.0/).
Share and Cite
Matignon, M.; Mcharek, M.; Azib, T.; Chaibet, A. Enhancing Fuel Cell Hybrid Electric Vehicle Energy Management with Real-Time LSTM Speed Prediction. Energies 2025, 18, 4340. https://doi.org/10.3390/en18164340
Matignon M, Mcharek M, Azib T, Chaibet A. Enhancing Fuel Cell Hybrid Electric Vehicle Energy Management with Real-Time LSTM Speed Prediction. Energies. 2025; 18(16):4340. https://doi.org/10.3390/en18164340
Chicago/Turabian StyleMatignon, Matthieu, Mehdi Mcharek, Toufik Azib, and Ahmed Chaibet. 2025. "Enhancing Fuel Cell Hybrid Electric Vehicle Energy Management with Real-Time LSTM Speed Prediction" Energies 18, no. 16: 4340. https://doi.org/10.3390/en18164340
APA StyleMatignon, M., Mcharek, M., Azib, T., & Chaibet, A. (2025). Enhancing Fuel Cell Hybrid Electric Vehicle Energy Management with Real-Time LSTM Speed Prediction. Energies, 18(16), 4340. https://doi.org/10.3390/en18164340

