Tidal Current Energy Assessment and Exploitation Recommendations for Semi-Enclosed Bay Straits: A Case Study on the Bohai Strait, China
Abstract
1. Introduction
2. Methods and Dates
2.1. Study Area
2.2. Tidal Current Energy Assessment Methodology
2.2.1. Flow Velocity Asymmetry and Directional Rotational Variability
2.2.2. Operational Hours at Threshold Velocity
2.2.3. Power Flux Density
2.2.4. Flux Tidal Energy Assessment Methodology
2.3. Model Setup
2.4. Model Validation
3. Tidal Current Results and Evaluation of Tidal Current Energy
3.1. Tidal Current Hydrodynamic Characterization
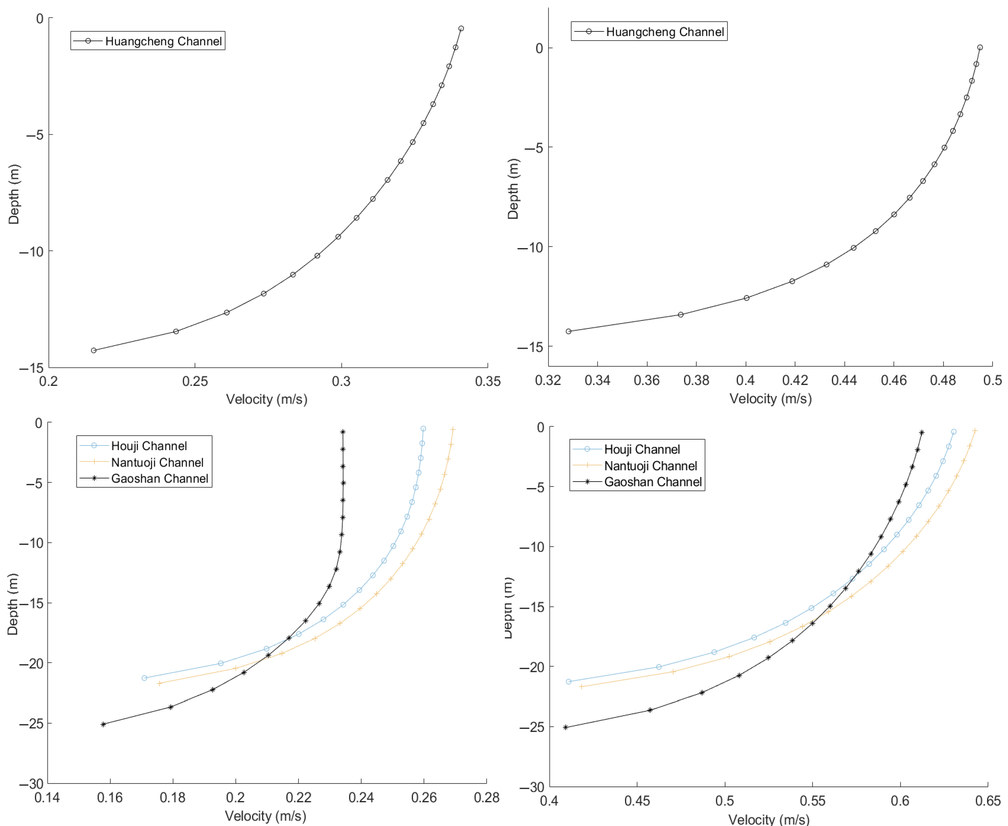
3.1.1. Vertical Flow Velocity Profile
3.1.2. Flow Velocity Asymmetry and Directional Rotational Variability
3.1.3. Operational Hours at Threshold Velocity
3.2. Tidal Energy Resource Assessment
3.2.1. Power Flux Density
3.2.2. Tidal Energy Reserves and Exploitable Potential
3.3. Exploitation Proposals
4. Results and Discussion
5. Conclusions
Author Contributions
Funding
Data Availability Statement
Conflicts of Interest
References
- Liu, X.; Chen, Z.; Si, Y.; Qian, P.; Wu, H.; Cui, L.; Zhang, D. A review of tidal current energy resource assessment in China. Renew. Sustain. Energy Rev. 2021, 145, 111012. [Google Scholar] [CrossRef]
- Lewis, M.; Mcnaughton, J.; Dominguez, C.M.; Todeschini, G.; Togneri, M.; Masters, I.; Allmark, M.; Stallard, T.; Neill, S.; Brown, A.G.; et al. Power variability of tidal-stream energy and implications for electricity supply. Energy 2019, 183, 1061–1074. [Google Scholar] [CrossRef]
- Zhang, D.; Wang, J.; Lin, Y.; Si, Y.; Huang, C.; Yang, J.; Huang, B.; Li, W. Present situation and future prospect of renewable energy in China. Renew. Sustain. Energy Rev. 2017, 76, 865–871. [Google Scholar] [CrossRef]
- Liu, H.; Ma, S.; Li, W.; Gu, H.G.; Lin, Y.G.; Sun, X.J. A review on the development of tidal current energy in China. Renew. Sustain. Energy Rev. 2011, 15, 1141–1146. [Google Scholar] [CrossRef]
- Cornett, A. Inventory of Canada’s Marine Renewable Energy Resources; CHC-TR-041; Canadian Hydraulics Centre, National Research Council of Canada: Ottawa, Canada, 2006.
- Akhyani, M.; Chegini, V.; Bidokhti, A.A. An appraisal of the power density of current profile in the Persian Gulf and the Gulf of Oman using numerical simulation. Renew. Energy 2015, 74, 307–317. [Google Scholar] [CrossRef]
- Ozturk, M.; Sahin, C.; Yuksel, Y. Current power potential of a sea strait: The Bosphorus. Renew. Energy 2017, 114, 191–203. [Google Scholar] [CrossRef]
- Almeida, M.M.; Cirano, M.; Soares, C.G.; Lessa, G.C. A numerical tidal stream energy assessment study for Baía de Todos os Santos, Brazil. Renew. Energy 2017, 107, 271–287. [Google Scholar] [CrossRef]
- Hou, F.; Yu, H.M.; Bao, X.W.; Wu, H. Analysis of tidal current energy in zhoushan sea area based on high resolution numerical modeling. Acta Energiae Solaris Sin. 2014, 35, 125–133. [Google Scholar]
- Yang, L. Numerical Estimates on Tidal Stream Energy Resources of the Coastal Areas of Shandong Peninsula; Ocean University of China: Qingdao, China, 2012. [Google Scholar]
- Ye, Z.; Gu, W. A comparative study of methods for calculating the exploitable amount of tidal energy. J. Phys. Conf. Ser. 2022, 2399, 012002. [Google Scholar] [CrossRef]
- Chen, L.; Lam, W.H. A review of survivability and remedial actions of tidal current turbines. Renew. Sustain. Energy Rev. 2015, 43, 891–900. [Google Scholar] [CrossRef]
- Yosry, A.G.; Jiménez, A.F.; Álvarez, E.A.; Marigorta, E.B. Design and characterization of a vertical-axis micro tidal turbine for low velocity scenarios. Energy Convers. Manag. 2021, 237, 114144. [Google Scholar] [CrossRef]
- Ko, D.H.; Park, J.S.; Lee, K.S. Assessment of Tidal current energy potential at Uldolmok in the Southwestern coast of Korea. J. Coast. Res. 2018, 85, 1301–1305. [Google Scholar] [CrossRef]
- Spänhoff, B. Current status and future prospects of hydropower in Saxony (Germany) compared to trends in Germany, the European Union and the World. Renew. Sustain. Energy Rev. 2014, 30, 518–525. [Google Scholar] [CrossRef]
- The largest tidal current energy generator set in our country has been successfully developed. Environ. Technol. 2020, 38, 4–5. (In Chinese). Available online: https://www.jiemian.com/article/3872095.html (accessed on 4 May 2025).
- He, W.U.; Wang, X.; Han, L.S. Assessment of extractable energy of tidal current at Chengshantou cape. Oceanol. Limnol. Sinica 2013, 44, 570–576. (In Chinese) [Google Scholar] [CrossRef]
- Rossi, V.; Lo, M.; Legrand, T.; Giacomi, E.S.; de Jode, A.; de Ville d’Avray, L.T.; Pairaud, I.; Faure, V.; Fraysse, M.; Pinazo, C.; et al. Small-scale connectivity of coralligenous habitats: Insights from a modelling approach within a semi-opened Mediterranean bay. Vie Milieu-Life Environ. 2020, 70, 161–174. [Google Scholar]
- Flegal, A.R.; Wilhelmy, S.A.S. Comparable levels of trace metal contamination in two semienclosed embayments: San Diego Bay and south San Francisco Bay. Environ. Sci. Technol. 1993, 27, 1934–1936. [Google Scholar] [CrossRef]
- Liu, H.; Pang, C.; Yang, D.; Liu, Z. Seasonal variation in material exchange through the Bohai Strait. Cont. Shelf Res. 2021, 231, 104599. [Google Scholar] [CrossRef]
- Bedard, R. Survey and Characterization: Tidal in Stream Energy Conversion (TISEC) Devices, EPRI North American Tidal InStream Power Feasibility Demonstration Project; EPRI: Palo Alto, CA, USA, 2005. [Google Scholar]
- Ye, Z.; Gu, W.; Ji, Q. Study on Critical Factors Affecting Tidal Current Energy Exploitation in the Guishan Channel Area of Zhoushan. Sustainability 2022, 14, 16820. [Google Scholar] [CrossRef]
- Black, Consulting Veatch. Assessment of Tidal Energy Resource, Tech. Rep.; The European Marine Energy Centre Ltd.: Orkney Islands, UK, 2009. [Google Scholar]
- Bryden, I.G.; Couch, S.J.; Owen, A.; Melville, G.T. Tidal current resource assessment. Proc. Inst. Mech. Eng. Part A J. Power Energy 2007, 221, 125–135. [Google Scholar] [CrossRef]
- Bryden, I.G.; Couch, S.J. ME1—Marine energy extraction: Tidal resource analysis. Renew. Energy 2006, 31, 133–139. [Google Scholar] [CrossRef]
- Hou, F. The analysis of tidal energy in zhoushan lsland based on FVCOM; Ocean University of China: Qingdao, China, 2012. [Google Scholar]
- Xia, H.; Wang, X.; Shi, J.; Jia, N.; Duan, Y. Research on Analysis Method of Tidal Current Energy Resource Characteristics. Mar. Technol. Soc. J. 2022, 56, 10–17. [Google Scholar] [CrossRef]
- Zhang, L.; Shi, H.; Xing, H.; Li, P.; Ma, P. Analysis of the evolution of the Yellow River Delta coastline and the response of the tidal current field. Front. Mar. Sci. 2023, 10, 1232060. [Google Scholar] [CrossRef]
- Abundo, M.; Nerves, A.; Paringit, E.; Villanoy, C. A combined multi-site and multi-device decision support system for tidal in-stream energy. Energy Procedia 2012, 14, 812–817. [Google Scholar] [CrossRef]
- Ma, P.; Shi, H.; Xue, H.; Li, P.; Sun, Y. Analysis of tidal current energy potential in the major channels of the Bohai Strait based on Delft3D. J. Ocean. Univ. China 2024, 23, 859–870. [Google Scholar] [CrossRef]
- Neill, S.P.; Litt, E.J.; Couch, S.J.; Davies, A.G. The impact of tidal stream turbines on large-scale sediment dynamics. Renew. Energy 2009, 34, 2803–2812. [Google Scholar] [CrossRef]
- Zhang, J.; Zhou, Y.; Lin, X.; Wang, G.; Guo, Y.; Chen, H. Experimental investigation on wake and thrust characteristics of a twin-rotor horizontal axis tidal stream turbine. Renew. Energy 2022, 195, 701–715. [Google Scholar] [CrossRef]
- Liu, Z.; Qu, H.; Song, X.; Chen, Z.; Ni, H. Energy-harvesting performance of tandem coupled-pitching hydrofoils under the semi-activated mode: An experimental study. Energy 2023, 279, 128060. [Google Scholar] [CrossRef]













| Area Type | Resonant Estuary | Channel and Camp | Lagoon |
|---|---|---|---|
| SIF | <10% | 10~20% | <50% |
| Parameter Name | Parameter Setting |
|---|---|
| Start time | 15 April 2022 00:00 |
| End time | 15 May 2022 23:00 |
| Gravitational acceleration | 9.8 m/s2 |
| Seawater density | 1025 kg/m3 |
| Manning roughness coefficient | 0.025 |
| Horizontal eddy viscosity coefficient | 1 m2/s |
| Time step | 1 min |
| Running duration | 5 d |
| Memory usage | 165 G |
| Verification Point Name | Longitude | Latitude |
|---|---|---|
| CL01 | 120.45° E | 38.11° N |
| CL02 | 120.51° E | 37.88° N |
| CL03 | 120.94° E | 38.38° N |
| CL04 | 120.84° E | 38.32° N |
| Verification Station Name | R | RMSE |
|---|---|---|
| CL01 (water level) | 0.99 | 0.04 m |
| CL03 (water level) | 0.99 | 0.1 m |
| CL01 (current speed) | 0.87 | 0.07 m/s |
| CL02 (current speed) | 0.95 | 0.09 m/s |
| CL03 (current speed) | 0.93 | 0.07 m/s |
| CL04 (current speed) | 0.98 | 0.09 m/s |
| CL01 (current direction) | 0.98 | 12.89° |
| CL02 (current direction) | 0.97 | 24.65° |
| CL03 (current direction) | 0.86 | 41.8° |
| CL04 (current direction) | 0.98 | 26.84° |
| Channel | Max Flow Velocity (m/s) | Average Flow Velocity (m/s) | Flood Tide Average Velocity (m/s) | Ebb Tide Average Velocity (m/s) | Principal Flood Current Axis (°) | Principal Ebb Current Axis (°) | Flow Velocity Asymmetry | Directional Rotational Variability (°) |
|---|---|---|---|---|---|---|---|---|
| Changshan | 0.69 | 0.29 | 0.23 | 0.34 | 89.6 | 263.2 | 0.48 | 6.4 |
| Houji | 0.57 | 0.24 | 0.2 | 0.27 | 99.5 | 271.2 | 0.35 | 8.3 |
| Gaoshan | 0.57 | 0.23 | 0.2 | 0.27 | 112.1 | 291.8 | 0.35 | 0.3 |
| Nantuoji | 0.58 | 0.24 | 0.21 | 0.26 | 105.8 | 284 | 0.24 | 1.8 |
| Beituoji | 0.57 | 0.24 | 0.2 | 0.28 | 107.2 | 277.3 | 0.4 | 9.9 |
| Daqin | 0.89 | 0.35 | 0.34 | 0.36 | 108 | 287.1 | 0.06 | 0.9 |
| Xiaoqin | 0.81 | 0.26 | 0.23 | 0.29 | 114.1 | 322.4 | 0.26 | 28.3 |
| Huangcheng | 0.6 | 0.3 | 0.31 | 0.3 | 122.7 | 309.5 | 0.03 | 6.8 |
| Laotieshan | 0.93 | 0.31 | 0.29 | 0.33 | 117.4 | 292.7 | 0.14 | 4.7 |
| Channel | Section | Section Width/m | Average Water Depth/m | Cross-Sectional Area of Channel/m−2 | Average Energy Flux Density /W*m−2 | Tidal Current Reserves /kW | SIF | Tidal Current Energy Exploitation/kW |
|---|---|---|---|---|---|---|---|---|
| Changshan | Section 1 | 7330 | 9.13 | 66,923 | 42.46 | 2841.55 | 0.15 | 426.23 |
| Houji | Section 2 | 7641 | 15.44 | 117,977 | 28.34 | 3343.47 | 0.15 | 501.52 |
| Gaoshan | Section 3 | 8528 | 17.25 | 147,108 | 28.1 | 4133.73 | 0.15 | 620.06 |
| Nantuoji | Section 4 | 11,700 | 17.4 | 203,580 | 28.97 | 5897.71 | 0.15 | 884.66 |
| Beituoji | Section 5 | 10,594 | 19.21 | 203,511 | 30.17 | 6139.93 | 0.15 | 920.99 |
| Daqin | Section 6 | 2545 | 6.95 | 17,688 | 62.96 | 1113.64 | 0.15 | 167.05 |
| Xiaoqin | Section 7 | 4191 | 30.78 | 128,999 | 34.46 | 4445.31 | 0.15 | 666.8 |
| Huangcheng | Section 8 | 1392 | 7.14 | 9939 | 47 | 467.13 | 0.15 | 70.07 |
| Laotieshan | Section 9 | 41,100 | 38.9 | 1,598,790 | 50.83 | 81,266.5 | 0.15 | 12,189.97 |
Disclaimer/Publisher’s Note: The statements, opinions and data contained in all publications are solely those of the individual author(s) and contributor(s) and not of MDPI and/or the editor(s). MDPI and/or the editor(s) disclaim responsibility for any injury to people or property resulting from any ideas, methods, instructions or products referred to in the content. |
© 2025 by the authors. Licensee MDPI, Basel, Switzerland. This article is an open access article distributed under the terms and conditions of the Creative Commons Attribution (CC BY) license (https://creativecommons.org/licenses/by/4.0/).
Share and Cite
Song, Y.; Ma, P.; Li, Z.; Zhai, Y.; Li, D.; Shi, H.; Li, C. Tidal Current Energy Assessment and Exploitation Recommendations for Semi-Enclosed Bay Straits: A Case Study on the Bohai Strait, China. Energies 2025, 18, 3787. https://doi.org/10.3390/en18143787
Song Y, Ma P, Li Z, Zhai Y, Li D, Shi H, Li C. Tidal Current Energy Assessment and Exploitation Recommendations for Semi-Enclosed Bay Straits: A Case Study on the Bohai Strait, China. Energies. 2025; 18(14):3787. https://doi.org/10.3390/en18143787
Chicago/Turabian StyleSong, Yuze, Pengcheng Ma, Zikang Li, Yilin Zhai, Dan Li, Hongyuan Shi, and Chao Li. 2025. "Tidal Current Energy Assessment and Exploitation Recommendations for Semi-Enclosed Bay Straits: A Case Study on the Bohai Strait, China" Energies 18, no. 14: 3787. https://doi.org/10.3390/en18143787
APA StyleSong, Y., Ma, P., Li, Z., Zhai, Y., Li, D., Shi, H., & Li, C. (2025). Tidal Current Energy Assessment and Exploitation Recommendations for Semi-Enclosed Bay Straits: A Case Study on the Bohai Strait, China. Energies, 18(14), 3787. https://doi.org/10.3390/en18143787

