Sensorless Dual TSEP (Vth, Rdson) Implementation for Junction Temperature Measurement in Parallelized SiC MOSFETs †
Abstract
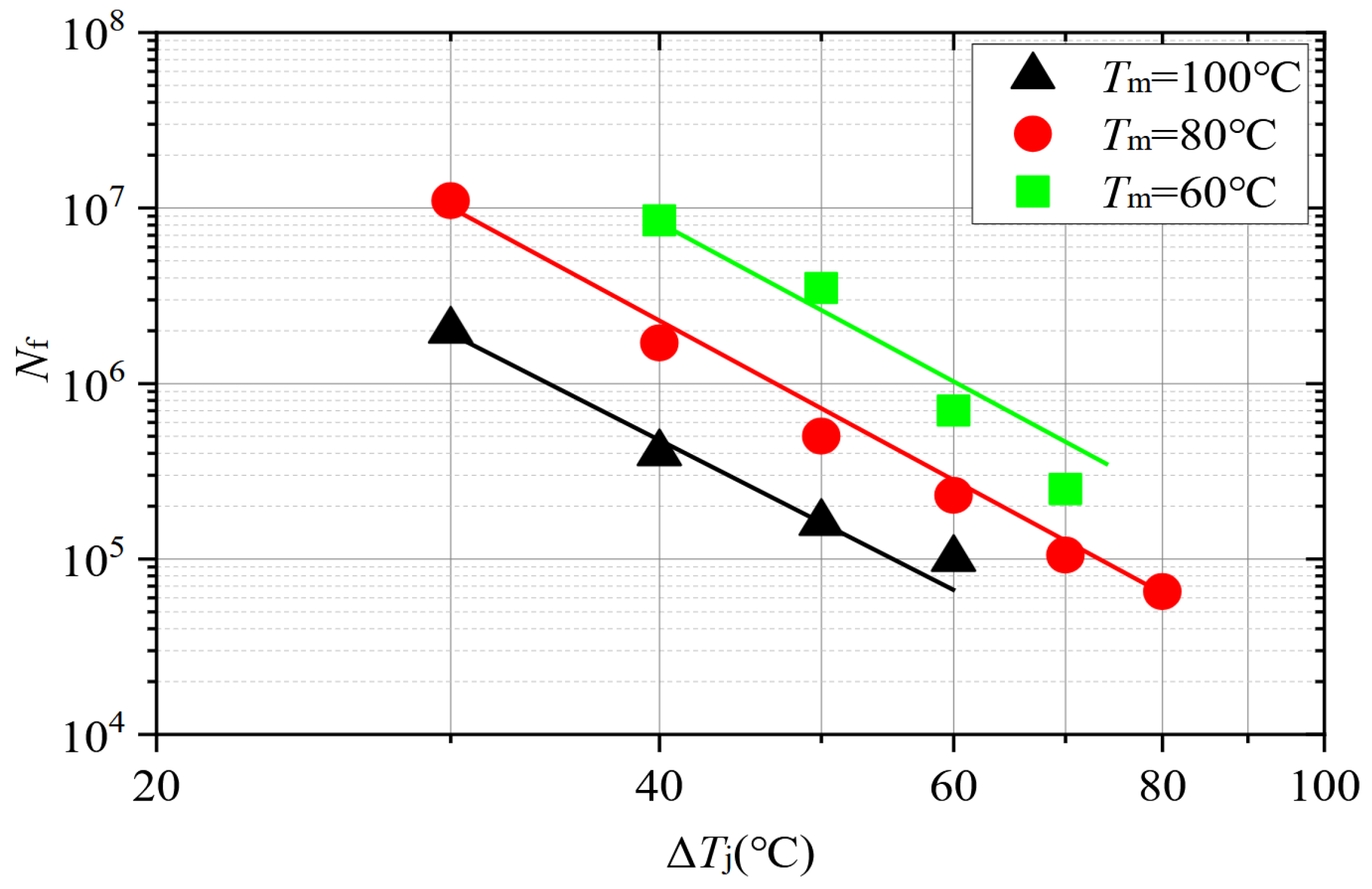
1. Introduction
2. Methodology
2.1. Simulations
2.2. Test Bench
2.2.1. Fluidic Part
2.2.2. Electrical Part
3. Results
3.1. Choice of
3.2. Imbalance Measurement
4. Discussion
5. Conclusions
Author Contributions
Funding
Data Availability Statement
Acknowledgments
Conflicts of Interest
Abbreviations
| SiC | Silicon Carbide |
| TSEP | Thermally sensitive electrical parameter |
| Threshold voltage | |
| On-state resistance | |
| Junction temperature | |
| Temperature estimated via measurement | |
| Temperature estimated via measurement | |
| Current injected into the drain and gate of the MOSFET to determine its |
References
- Robles, E.; Matallana, A.; Aretxabaleta, I.; Andreu, J.; Fernández, M.; Martín, J.L. The role of power device technology in the electric vehicle powertrain. Int. J. Energy Res. 2022, 46, 22222–22265. [Google Scholar] [CrossRef]
- Liu, G.; Wu, Y.; Li, K.; Wang, Y.; Li, C. Development of high power SiC devices for rail traction power systems. J. Cryst. Growth 2019, 507, 442–452. [Google Scholar] [CrossRef]
- Buffolo, M.; Favero, D.; Marcuzzi, A.; De Santi, C.; Meneghesso, G.; Zanoni, E.; Meneghini, M. Review and Outlook on GaN and SiC Power Devices: Industrial State-of-the-Art, Applications, and Perspectives. IEEE Trans. Electron Devices 2024, 71, 1344–1355. [Google Scholar] [CrossRef]
- She, X.; Huang, A.Q.; Lucía, Ó.; Ozpineci, B. Review of Silicon Carbide Power Devices and Their Applications. IEEE Trans. Ind. Electron. 2017, 64, 8193–8205. [Google Scholar] [CrossRef]
- Schuderer, J.; Vemulapati, U.; Traub, F. Packaging SiC power semiconductors—Challenges, technologies and strategies. In Proceedings of the 2014 IEEE Workshop on Wide Bandgap Power Devices and Applications, Knoxville, TN, USA, 13–15 October 2014; pp. 18–23. [Google Scholar] [CrossRef]
- Ji, S.; Zhang, Z.; Wang, F. Overview of high voltage sic power semiconductor devices: Development and application. CES Trans. Electr. Mach. Syst. 2017, 1, 254–264. [Google Scholar] [CrossRef]
- Marie, A.; Cougo, B.; Renaudie, L.; Koladoum, T.K.; Fradin, J.P. Precise 3D modelling of SiC die temperature oscillation for lifetime prediction of power modules used in DC/AC power converters. In Proceedings of the 2024 30th International Workshop on Thermal Investigations of ICs and Systems (THERMINIC), Toulouse, France, 25–27 September 2024; pp. 1–6. [Google Scholar] [CrossRef]
- Lee, H.; Smet, V.; Tummala, R. A Review of SiC Power Module Packaging Technologies: Challenges, Advances, and Emerging Issues. IEEE J. Emerg. Sel. Top. Power Electron. 2020, 8, 239–255. [Google Scholar] [CrossRef]
- Liu, M.; Coppola, A.; Alvi, M.; Anwar, M. Comprehensive Review and State of Development of Double-Sided Cooled Package Technology for Automotive Power Modules. IEEE Open J. Power Electron. 2022, 3, 271–289. [Google Scholar] [CrossRef]
- Yan, Y.; Chen, C.; Wu, Z.; Guan, J.; Lv, J.; Kang, Y. A High Power Density Double-Side-End Double-Sided Bonding SiC Half-Bridge Power Module. IEEE Trans. Transp. Electrif. 2023, 9, 3149–3163. [Google Scholar] [CrossRef]
- Paul, R.; Alizadeh, R.; Li, X.; Chen, H.; Wang, Y.; Mantooth, H.A. A Double-Sided Cooled SiC MOSFET Power Module for EV Inverters. IEEE Trans. Power Electron. 2024, 39, 11047–11059. [Google Scholar] [CrossRef]
- Kim, M.K.; Yoon, S.W. Novel built-in sensor for in-situ monitoring of temperature and thermal stress in power modules. In Proceedings of the 2015 IEEE Energy Conversion Congress and Exposition (ECCE), Montreal, QC, Canada, 20–24 September 2015; pp. 4513–4519. [Google Scholar] [CrossRef]
- Li, H.; Zhao, S.; Wang, X.; Ding, L.; Mantooth, H.A. Parallel Connection of Silicon Carbide MOSFETs—Challenges, Mechanism, and Solutions. IEEE Trans. Power Electron. 2023, 38, 9731–9749. [Google Scholar] [CrossRef]
- Kim, M.K.; Yoon, Y.D.; Yoon, S.W. Actual Maximum Junction Temperature Estimation Process of Multichip SiC MOSFET Power Modules With New Calibration Method and Deep Learning. IEEE J. Emerg. Sel. Top. Power Electron. 2023, 11, 5602–5612. [Google Scholar] [CrossRef]
- Gonzalez, J.O.; Alatise, O.; Ran, L.; Mawby, P. Impact of Temperature Imbalance on Junction Temperature Identification for Multiple Chip Modules Using TSEPs. In Proceedings of the PCIM Europe 2017; International Exhibition and Conference for Power Electronics, Intelligent Motion, Renewable Energy and Energy Management, Nuremberg, Germany, 16–18 May 2017; pp. 1–8. [Google Scholar]
- Dupont, L.; Avenas, Y. Preliminary Evaluation of Thermo-Sensitive Electrical Parameters Based on the Forward Voltage for Online Chip Temperature Measurements of IGBT Devices. IEEE Trans. Ind. Appl. 2015, 51, 4688–4698. [Google Scholar] [CrossRef]
- Peters, D.; Aichinger, T.; Basler, T.; Rescher, G.; Puschkarsky, K.; Reisinger, H. Investigation of threshold voltage stability of SiC MOSFETs. In Proceedings of the 2018 IEEE 30th International Symposium on Power Semiconductor Devices and ICs (ISPSD), Chicago, IL, USA, 13–17 May 2018; pp. 40–43. [Google Scholar] [CrossRef]
- JEDEC. JEP183A: Guidelines for Measuring the Threshold Voltage (VT) of SiC MOSFETs. 2023. Available online: https://www.jedec.org/standards-documents/docs/jep183a (accessed on 1 June 2025).
- Soldati, A.; Menozzi, R.; Concari, C. In-circuit Shoot-through-based Characterization of SiC MOSFET TSEP Curves for Junction Temperature Estimation. In Proceedings of the 2020 IEEE Energy Conversion Congress and Exposition (ECCE), Detroit, MI, USA, 11–15 October 2020; pp. 2850–2857. [Google Scholar] [CrossRef]
- Zhang, L.; Liu, P.; Guo, S.; Huang, A.Q. Comparative study of temperature sensitive electrical parameters (TSEP) of Si, SiC and GaN power devices. In Proceedings of the 2016 IEEE 4th Workshop on Wide Bandgap Power Devices and Applications (WiPDA), Fayetteville, AK, USA, 7–9 November 2016; pp. 302–307. [Google Scholar] [CrossRef]
- Stella, F.; Pellegrino, G.; Armando, E.; Daprà, D. Online Junction Temperature Estimation of SiC Power MOSFETs Through On-State Voltage Mapping. IEEE Trans. Ind. Appl. 2018, 54, 3453–3462. [Google Scholar] [CrossRef]
- Li, L.; Ning, P.; Zhang, D.; Wen, X. An exploration of thermo-sensitive electrical parameters to estimate the junction temperature of silicon carbide mosfet. In Proceedings of the 2017 IEEE Transportation Electrification Conference and Expo, Asia-Pacific (ITEC Asia-Pacific), Harbin, China, 2–5 August 2017; pp. 1–5. [Google Scholar] [CrossRef]
- Griffo, A.; Wang, J.; Colombage, K.; Kamel, T. Real-Time Measurement of Temperature Sensitive Electrical Parameters in SiC Power MOSFETs. IEEE Trans. Ind. Electron. 2018, 65, 2663–2671. [Google Scholar] [CrossRef]
- Icam. DEPth-Lab Platform Presentation. 2022. Available online: https://en.icam.fr/research/depth-lab/ (accessed on 1 June 2025).
- Louis, A.; Patrick, T.; Jean-Pierre, F. Sensorless Dual TSEP Implementation for Junction Temperature Measurement in Parallelized SiC Mosfets. In Proceedings of the 2024 30th International Workshop on Thermal Investigations of ICs and Systems (THERMINIC), Toulouse, France, 25–27 September 2024; pp. 1–4. [Google Scholar] [CrossRef]



















Disclaimer/Publisher’s Note: The statements, opinions and data contained in all publications are solely those of the individual author(s) and contributor(s) and not of MDPI and/or the editor(s). MDPI and/or the editor(s) disclaim responsibility for any injury to people or property resulting from any ideas, methods, instructions or products referred to in the content. |
© 2025 by the authors. Licensee MDPI, Basel, Switzerland. This article is an open access article distributed under the terms and conditions of the Creative Commons Attribution (CC BY) license (https://creativecommons.org/licenses/by/4.0/).
Share and Cite
Alauzet, L.; Tounsi, P.; Fradin, J.-P. Sensorless Dual TSEP (Vth, Rdson) Implementation for Junction Temperature Measurement in Parallelized SiC MOSFETs. Energies 2025, 18, 3470. https://doi.org/10.3390/en18133470
Alauzet L, Tounsi P, Fradin J-P. Sensorless Dual TSEP (Vth, Rdson) Implementation for Junction Temperature Measurement in Parallelized SiC MOSFETs. Energies. 2025; 18(13):3470. https://doi.org/10.3390/en18133470
Chicago/Turabian StyleAlauzet, Louis, Patrick Tounsi, and Jean-Pierre Fradin. 2025. "Sensorless Dual TSEP (Vth, Rdson) Implementation for Junction Temperature Measurement in Parallelized SiC MOSFETs" Energies 18, no. 13: 3470. https://doi.org/10.3390/en18133470
APA StyleAlauzet, L., Tounsi, P., & Fradin, J.-P. (2025). Sensorless Dual TSEP (Vth, Rdson) Implementation for Junction Temperature Measurement in Parallelized SiC MOSFETs. Energies, 18(13), 3470. https://doi.org/10.3390/en18133470

