Advanced Self-Powered Sensor for Carbon Dioxide Monitoring Utilizing Surface Acoustic Wave (SAW) Technology
Abstract
1. Introduction
2. CO2 Detection System: Functioning Principle and Governing Equations
2.1. System Description
- Power generation: Harvesting mechanical energy from vibrations to electrically sustain the system.
- Sensing platform: Serving as an active substrate for chemical-to-electrical signal transduction via SAW perturbation.
2.2. Functioning Principle
- Transmission: Conversion of an electrical signal into a mechanical acoustic wave.
- Reception: Transformation of wave perturbations (amplitude, velocity, or frequency variations) into a measurable electrical signal, as illustrated in Figure 2b.
- Hydrogen bonding between -NH2 groups and CO2.
- Acid-base reactions, forming carbamate complexes (-NHCOO−).
2.3. CO2 Detection Mechanism
2.4. Governing Equations
3. Numerical Study
3.1. Numerical Modeling of the Piezoelectric Generator
3.2. Numerical Modeling of the SAW CO2 Sensor
3.2.1. Geometry and Dimension
- PEI gas-absorbing film on top.
- Copper (Cu) IDTs positioned periodically on the piezoelectric surface.
- LiTaO3 substrate supporting the acoustic wave propagation.
3.2.2. Boundary Conditions and Meshing
3.2.3. Resonance Frequencies
3.2.4. Determination
4. Result and Discussion
4.1. Piezoelectric Generator Response
4.1.1. PZT 5-H and PVDF Optimal Electric Charge
4.1.2. Material Flexibility Influence on the Electrical Response
4.1.3. Mechanical Excitation Influence on the Electrical Response
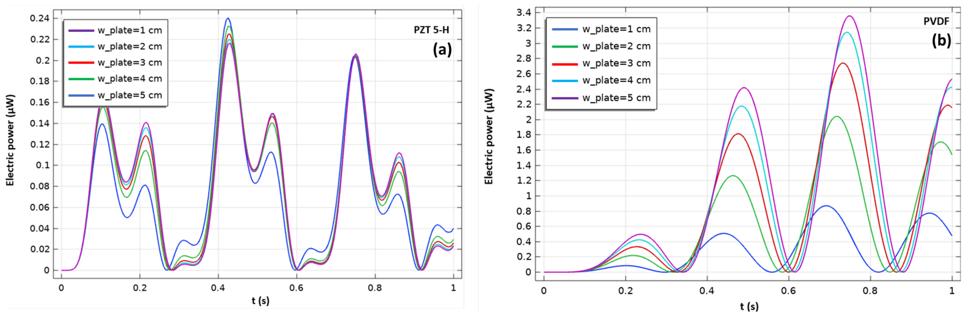
4.1.4. Piezoelectric Plate Width () Influence on the Electrical Response
- non-linear oscillators exploiting these particular mechano-electrical properties.
- high-performance piezoelectric resonators.
4.2. CO2 Sensor Results
4.2.1. Analysis of SAW Response to Concentration Variation
4.2.2. Analysis of SAW Response to Geometric and External Variations
SAW Response to Thickness Variations ()
SAW Response to External Variations
5. Conclusions
Author Contributions
Funding
Data Availability Statement
Conflicts of Interest
References
- Remaidi, M.; Derraz, M.; Ennawaoui, A.; El Hmamsy, Y.; Mastouri, H.; Ennawaoui, C.; Hajjaji, A. Innovative Autonomous Lead-Free Hybrid Piezo-Pyroelectric Sensor for Real-Time Wear Assessment of Disc Brake Pads. Results Eng. 2025, 26, 104617. [Google Scholar] [CrossRef]
- Ennawaoui, C.; Lifi, H.; Hajjaji, A.; Elballouti, A.; Laasri, S.; Azim, A. Mathematical modeling of mass spring’s system: Hybrid speed bumps application for mechanical energy harvesting. Eng. Solid Mech. 2019, 7, 47–58. [Google Scholar] [CrossRef]
- Ullah, Z.; Alam, M.M.; Younis, J.; Mahrous, Y.M.; Albouchi, F.; Alsulami, M.D.; Usman, A.; Haider, I. Thermal conductivity impact on MHD convective heat transfer over moving wedge with surface heat flux and high magnetic Prandtl number. Case Stud. Therm. Eng. 2024, 61, 105077. [Google Scholar] [CrossRef]
- Hussain, M.N.; Halim, M.A.; Khan, M.Y.A.; Ibrahim, S.; Haque, A. A Comprehensive Review on Techniques and Challenges of Energy Harvesting from Distributed Renewable Energy Sources for Wireless Sensor Networks. Control. Syst. Optim. Lett. 2024, 2, 15–22. [Google Scholar] [CrossRef]
- Ennawaoui, C.; Hajjaji, A.; Samuel, C.; Sabani, E.; Rjafallah, A.; Najihi, I.; Azim, A. Piezoelectric and electromechanical characteristics of porous poly (ethylene-co-vinyl acetate) copolymer films for smart sensors and mechanical energy harvesting applications. Appl. Syst. Innov. 2021, 4, 57. [Google Scholar] [CrossRef]
- Kumar, R.; Lee, D.; Ağbulut, Ü.; Kumar, S.; Thapa, S.; Thakur, A.; Jilte, R.D.; Saleel, C.A.; Shaik, S. Different energy storage techniques: Recent advancements, applications, limitations, and efficient utilization of sustainable energy. J. Therm. Anal. Calorim. 2024, 149, 1895–1933. [Google Scholar] [CrossRef]
- Kumar, M.; Suhaib, M.; Sharma, N.; Kumar, S.; Choudhary, S. Energy Harvesting Technologies in Mechanical Systems: A Comprehensive Review. Int. J. Res. Publ. Rev. 2024, 5, 2782–2787. [Google Scholar] [CrossRef]
- Mastouri, H.; Ennawaoui, A.; Remaidi, M.; Sabani, E.; Derraz, M.; El Hadraoui, H.; Ennawaoui, C. Design, Modeling, and Experimental Validation of a Hybrid Piezoelectric–Magnetoelectric Energy-Harvesting System for Vehicle Suspensions. World Electr. Veh. J. 2025, 16, 237. [Google Scholar] [CrossRef]
- Aloui, R.; Gaha, R.; Lafarge, B.; Celik, B.; Verdari, C. Life Cycle Assessment of Piezoelectric Devices Implemented in Wind Turbine Condition Monitoring Systems. Energies 2024, 17, 3928. [Google Scholar] [CrossRef]
- Kim, H.; Rigo, B.; Wong, G.; Lee, Y.J.; Yeo, W.H. Advances in wireless, batteryless, implantable electronics for real-time, continuous physiological monitoring. Nano-Micro Lett. 2024, 16, 52. [Google Scholar] [CrossRef]
- Luo, G.; Xie, J.; Liu, J.; Luo, Y.; Li, M.; Li, Z.; Yang, P.; Zhao, L.; Wang, K.; Maeda, R.; et al. Highly stretchable, knittable, wearable fiberform hydrovoltaic generators driven by water transpiration for portable self-power supply and self-powered strain sensor. Small 2024, 20, 2306318. [Google Scholar] [CrossRef] [PubMed]
- Yang, H.; Wu, B.; Xu, G. Modeling and experimental study on walking human-structure interaction systems subjected to earthquake excitations. J. Sound Vibratio 2024, 576, 118292. [Google Scholar] [CrossRef]
- Sanchez-Gomez, J.M.; Vega-Rodríguez, M.A.; Pérez, C.J. An indicator-based multi-objective variable neighborhood search approach for query-focused summarization. Swarm Evol. Comput. 2024, 91, 101721. [Google Scholar] [CrossRef]
- Wawrzyniak, J. Advancements in improving selectivity of metal oxide semiconductor gas sensors opening new perspectives for their application in food industry. Sensors 2023, 23, 9548. [Google Scholar] [CrossRef]
- Mazumder, J.T.; Jha, R.K.; Kim, H.W.; Kim, S.S. Capacitive toxic gas sensors based on oxide composites: A review. IEEE Sens. J. 2023, 23, 17842–17853. [Google Scholar] [CrossRef]
- Mohsan, S.A.H.; Othman, N.Q.H.; Li, Y.; Alsharif, M.H.; Khan, M.A. Unmanned aerial vehicles (UAVs): Practical aspects, applications, open challenges, security issues, and future trends. Intell. Serv. Robot. 2023, 16, 109–137. [Google Scholar] [CrossRef]
- He, D.; Cui, Y.; Ming, F.; Wu, W. Advancements in passive wireless sensors, materials, devices, and applications. Sensors 2023, 23, 8200. [Google Scholar] [CrossRef]
- Nomura, T.; Okuhara, M. Frequency shifts of piezoelectric quartz crystals immersed in organic liquids. Anal. Chim. Acta 1982, 142, 281–284. [Google Scholar] [CrossRef]
- White, R.M.; Voltmer, F.W. Direct piezoelectric coupling to surface elastic waves. Appl. Phys. Lett. 1965, 7, 314–316. [Google Scholar] [CrossRef]
- Pan, Y.; Yan, C.; Gao, X.; Yang, J.; Guo, T.; Zhang, L.; Wang, W. A passive wireless surface acoustic wave (SAW) sensor system for detecting warfare agents based on fluoroalcohol polysiloxane film. Microsyst. Nanoeng. 2024, 10, 4. [Google Scholar] [CrossRef]
- Huang, W.; Yang, Q.; Liao, J.; Ramadan, S.; Fan, X.; Hu, S.; Liu, X.; Luo, J.; Tao, R.; Fu, C. Integrated Rayleigh wave streaming-enhanced sensitivity of shear horizontal surface acoustic wave biosensors. Biosens. Bioelectron. 2024, 247, 115944. [Google Scholar] [CrossRef]
- Turuk, B.K.; Behera, B. A brief investigation of one-port SAW resonator for the application in communication systems. Eng. Res. Express 2024, 6, 022302. [Google Scholar] [CrossRef]
- Yi, Y.; Baroudi, A.E.; Pommellec, J.Y.L. Love wave characteristics in viscoelastic fluid loaded surface layer: Comparison between Jeffrey and Maxwell–Jeffrey models. Multiscale and Multidisciplinary Modeling. Exp. Des. 2024, 7, 919–930. [Google Scholar]
- Yang, Y.; Peng, B.; Huang, F.; Zhu, J.; He, Z.; He, P.; Zhang, W. Temperature Characteristics of Rayleigh Wave and Leaky Surface Acoustic Wave Propagating in Langasite and its Application in Temperature Sensor. Acoust. Phys. 2024, 70, 487–493. [Google Scholar] [CrossRef]
- Francis, L.A.; Friedt, J.-M.; Bartic, C.; Campitelli, A. A SU-8 liquid cell for surface acoustic wave biosensors. In MEMS, MOEMS, and Micromachining; SPIE: Nuremberg, Germany, 2004; Volume 5455, pp. 353–363. [Google Scholar]
- Hashimoto, K.-Y. RF Bulk Acoustic Wave Filters for Communications; Artech House: Washington, DC, USA, 2009. [Google Scholar]
- Morgan, D. Surface Acoustic Wave Filters, 2nd ed.; Elsevier: Amsterdam, The Netherlands, 2007. [Google Scholar]
- Wang, Y.; Smith, A.B.; Johnson, C.D.; Lee, E.F.; Martinez, G.H.; Brown, K.L.; Davis, M.N.; Wilson, P.Q.; Thompson, R.S.; Garcia, J.R.; et al. High-Power Limitations in Resonant SAW Gas Sensors. Sens. Actuators B 2023, 387, 123456. [Google Scholar]
- Chen, L.; Wang, X.; Singh, R.; Tanaka, S.; Müller, J.; Dubois, P.; Garcia, M.; Kim, H.; Ivanov, A.; Silva, F.; et al. Low-Electrode-Count SAW Sensors for IoT Applications. IEEE Sens. J. 2022, 22, 15021–15030. [Google Scholar]
- Kim, H.; Park, S.; Nguyen, T.; Schmidt, A.; Rossi, M.; Chen, X.; Dubois, M.; Müller, J.; Silva, R.; Yamamoto, T.; et al. LiTaO3-Based SAW Devices with Enhanced k2 for Low-Voltage Operation. Appl. Phys. Lett. 2021, 118, 093502. [Google Scholar]
- Zhang, R.; Wang, Q.; Singh, A.; Tanaka, Y.; Dubois, P.; Müller, A.; Schmidt, B.; Kim, S.; Ivanova, K.; Lopez, F.; et al. PEI-Functionalized SAW Sensors for Selective CO2 Detection. ACS Sens. 2023, 8, 1678–1686. [Google Scholar]
- Gupta, A.; Chen, L.; Wang, X.; Martinez, R.; Kumar, S.; Tanaka, H.; Silva, M.; Dubois, L.; Schmidt, J.; Kim, Y.; et al. Energy-Efficient SAW Sensors for Environmental Monitoring. Nat. Commun. 2024, 15, 789. [Google Scholar]
- Lee, J.; Zhang, Y.; Singh, R.; Tanaka, S.; Müller, P.; Garcia, F.; Kim, H.; Ivanov, V.; Silva, A.; Schmidt, M.; et al. Piezoelectric Microgenerators for Self-Powered SAW Systems. Nano Energy 2023, 109, 108456. [Google Scholar]
- ISO/IEC 30142:2023; Internet of Things (IoT)—IoT Standards for Low-Power Wireless Sensors. International Organization for Standardization: Geneva, Switzerland, 2023.
- Rahman, M.; Wang, Y.; Chen, X.; Tanaka, K.; Dubois, S.; Müller, L.; Garcia, R.; Kim, T.; Ivanova, P.; Schmidt, A.; et al. Field Deployment of Autonomous SAW Sensors in Remote CO2 Monitoring. Environ. Sci. Technol. 2024, 58, 987–995. [Google Scholar]
- Pavey, K. Quartz crystal analytical sensors: The future of label-free, real-time diagnostics? Expert Rev. Mol. Diagn. 2002, 2, 173–186. [Google Scholar] [CrossRef] [PubMed]
- Hoummady, M.; Hauden, D.; Mina, P. A model for the improvement of energy harvesting from a pyroelectric effect. J. Phys. III 1997, 7, 1125–1136. [Google Scholar]
- Sang, Y.; Sheng, J.; Xue, H.; Wang, Y.; Wu, Q. Non-linear coordinated control of LPMG-based direct drive wave energy conversion system with supplementary energy storage system based on feedback linearization. IET Renew. Power Gener. 2024, 18, 3077–3090. [Google Scholar] [CrossRef]
- Huang, W.-H.; Chen, P.-H.; Chen, C.-W.; Su, C.-S.; Tang, M.; Tsai, J.-C.; Chen, Y.-P.; Lin, F.-H. Experimental Study for the Sorption and Diffusion of Supercritical Carbon Dioxide into Polyetherimide. Molecules 2024, 29, 4233. [Google Scholar] [CrossRef]
- Chandramouli, M.; Ningaiah, S.; Basavanna, V. A Comprehensive Review on Advancements in Modification Strategies of Polymer Blends for Enhanced Carbon Dioxide Capture and Reuse. Environ. Qual. Manag. 2025, 34, e70039. [Google Scholar] [CrossRef]
- Zhang, J.; Li, D.; Zhu, W.; Li, Y. In situ 3D printing of poly-ether-ether-ketone/poly-ether-imide hierarchical cellular foams containing electromagnetic absorbent. Addit. Manuf. 2022, 59, 103181. [Google Scholar]
- Mouapi, A. Piezoelectric micro generator design and characterization for self-supplying industrial wireless sensor node. Mem.-Mater. Devices Circuits Syst. 2022, 1, 100002. [Google Scholar] [CrossRef]
- Qu, Y.; Jin, F.; Yang, J. Stress-induced electric potential barriers in thickness-stretch deformations of a piezoelectric semiconductor plate. Acta Mech. 2021, 232, 4533–4543. [Google Scholar] [CrossRef]
- El Hmamsy, Y.; Ennawaoui, C.; Hajjaji, A. Study and design the circuit for piezoelectric vibration energy harvester to charge a datalogger. Int. J. Eng. Appl. Phys. 2021, 1, 18–25. [Google Scholar]
- El Hmamsy, Y.; Ennawaoui, C.; Hajjaji, A. Optimized piezoelectric energy harvesting circuit using DC/DC converter. Mater. Today Proc. 2022, 66, 473–478. [Google Scholar] [CrossRef]
- Amezquita Garcia, J.A.; Bravo Zanoguera, M.E.; Murrieta-Rico, F.N. Advances and Classification of Autonomous Systems in Biomedical Devices: Integration of Energy Harvesting and Ultra-Low Power Consumption. Electronics 2025, 14, 144. [Google Scholar] [CrossRef]
- Sun, Y.; Li, Y.Z.; Yuan, M. Requirements, challenges, and novel ideas for wearables on power supply and energy harvesting. Nano Energy 2023, 115, 108715. [Google Scholar] [CrossRef]
- Schmitt, R.F.; Allen, J.W.; Wright, R. Rapid design of SAW oscillator electronics for sensor applications. Sens. Actuators B Chem. 2001, 76, 80–85. [Google Scholar] [CrossRef]
- Abbas, S.M.; Abdelhalem, S.H.; Abdipour, A.; Acar, M.; Achar, R.; Adhikari, S.; Aflaki, P.; Afsahi, A.; Afshari, E.; Agah, A.; et al. 2013 Index IEEE Transactions on Microwave Theory and Techniques Vol. 61. IEEE Trans. Microw. Theory Tech. 2013, 61, 4769. [Google Scholar]
- Wu, Y.; Zhang, T.; Rao, Y.; Gong, Y. Miniature interferometric humidity sensors based on silica/polymer microfiber knot resonators. Sens. Actuators B Chem. 2011, 155, 258–263. [Google Scholar] [CrossRef]
- Caldero, P.; Zoeke, D. Real-Time Wireless Vibration Monitoring Using SAW RFID Tags Coupled with Sensors. In Proceedings of the 2018 15th European Radar Conference (EuRAD), Madrid, Spain, 26–28 September 2018; pp. 118–121. [Google Scholar] [CrossRef]
- Xi, Z.; Thomas, J.G.; Ji, J.; Wang, D.; Cen, Z.; Kravchenko, I.I.; Srijanto, B.R.; Yao, Y.; Zhu, Y.; Shao, L. Low-Phase-Noise Surface Acoustic Wave Oscillator Using Phononic Crystal Bandgap-Edge Mode. Phys. Rev. Appl. 2024, 23, 024054. [Google Scholar] [CrossRef]
- Liu, H.; Zhang, C.; Weng, Z.; Guo, Y.; Wang, Z. Resonance Frequency Readout Circuit for a 900 MHz SAW Device. Sensors 2017, 17, 2131. [Google Scholar] [CrossRef]
- Magome, N.; Morita, N.; Kaneko, S.; Mitsume, N. Higher-continuity s-version of finite element method with B-spline functions. J. Comput. Phys. 2024, 497, 112593. [Google Scholar] [CrossRef]
- Nath, D.; Ankit; Neog, D.R.; Gautam, S.S. Application of machine learning and deep learning in finite element analysis: A comprehensive review. Arch. Comput. Methods Eng. 2024, 31, 2945–2984. [Google Scholar] [CrossRef]
- Fageehi, Y.A.; Alshoaibi, A.M. Investigating the Influence of Holes as Crack Arrestors in Simulating Crack Growth Behavior Using Finite Element Method. Appl. Sci. 2024, 14, 897. [Google Scholar] [CrossRef]
- Swapna Sri, M.N.; Anusha, P.; Madhav, V.V.; Saxena, K.K.; Chaitanya, C.S.; Haranath, R.; Singh, B. Influence of Cu particulates on a356mmc using frequency response function and damping ratio. Adv. Mater. Process. Technol. 2024, 10, 745–753. [Google Scholar] [CrossRef]
- Ghandehari, M.A.; Masoodi, A.R.; Panda, S.K. Thermal frequency analysis of double CNT-reinforced polymeric straight beam. J. Vib. Eng. Technol. 2024, 12, 649–665. [Google Scholar] [CrossRef]
- Yee, K.; Ong, O.Z.S.; Ghayesh, M.H.; Amabili, M. Various homogenisation schemes for vibration characteristics of axially FG core multilayered microbeams with metal foam face layers based on third order shear deformation theory. Appl. Math. Model. 2024, 125, 189–217. [Google Scholar] [CrossRef]
- Kutiš, V.; Gálik, G.; Královič, V.; Rýger, I.; Mojto, E.; Lalinský, T. Modelling and simulation of SAW sensor using FEM. Procedia Eng. 2012, 48, 332–337. [Google Scholar] [CrossRef]
- Gowini, E.L.; Mohamed, M.; Moussa, W.A. Finite element model of a MEMS-based surface acoustic wave hydrogen sensor. Sensors 2010, 10, 1232–1250. [Google Scholar] [CrossRef]
- Ennawaoui, C.; Hajjaji, A.; Azim, A.; Boughaleb, Y. Theoretical modeling of power harvested by piezo-cellular polymers. Mol. Cryst. Liq. Cryst. 2016, 628, 49–54. [Google Scholar] [CrossRef]
- El Hmamsy, Y.; Ennawaoui, C.; Hajjaji, A.; Laayati, O.; Chebak, A. Frequency and load effects on rectifier bridges and active circuits on mechanical energy harvested using piezoelectric materials. Int. J. Renew. Energy Res. 2023, 13, 844–856. [Google Scholar]
- Ramana, E.V.; Durairajan, A.; Kavitha, D.; Tobaldi, D.M.; Zavašnik, J.; Bdikin, I.; Valente, M.A. Enhanced magnetoelectric and energy storage performance of strain-modified PVDF-Ba0.7Ca0.3TiO3-Co0.6Zn0.4Fe2O4 nanocomposites. J. Energy Storage 2024, 87, 111454. [Google Scholar] [CrossRef]
- Wang, Y.; Lin, L.; Zhang, J.; Wu, T.; Ma, Y.; Li, J.; Yu, S. Exploring the frontiers of SnSeS: A comprehensive review of properties and applications. Mater. Sci. Semicond. Process. 2025, 185, 108862. [Google Scholar] [CrossRef]
- Koç, M.; Tatardar, F.; Musayeva, N.N.; Guluzade, S.; Sarı, A.; Paralı, L. The piezoelectric properties of three-phase electrospun PVDF/PZT/Multiwalled Carbone Nanotube composites for energy harvesting applications. J. Alloys Compd. 2024, 1003, 175578. [Google Scholar] [CrossRef]
- Mukherjee, A.; Ghosh, B.D.; Roy, S.; Goh, K.L. Ultra strong flexible Ba0.7Sr0.3Zr0.02Ti0.98O3/MWCNT/PVDF Nanocomposites: Pioneering material with remarkable energy storage for Self-Powered devices. Chem. Eng. J. 2024, 488, 151014. [Google Scholar] [CrossRef]
- Magdy, G.; Hassanin, A.H.; Kandas, I.; Shehata, N. PVDF Nanostructures Characterizations and Techniques for Enhanced Piezoelectric Response: A Review. Mater. Chem. Phys. 2024, 325, 129760. [Google Scholar] [CrossRef]
- Su, Q.; Zou, Q.; Li, Y.; Chen, Y.; Teng, S.Y.; Kelleher, J.T.; Nith, R.; Cheng, P.; Li, N.; Liu, W.; et al. A stretchable and strain-unperturbed pressure sensor for motion interference–free tactile monitoring on skins. Sci. Adv. 2021, 7, eabi4563. [Google Scholar] [CrossRef]
- Derraz, M.; Ennawaoui, C.; Mastouri, H.; El Hmamssy, Y.; Abouricha, N.; Rjafallah, A.; Hajjaji, A. Mathematical modeling for predicting electrical energy harvested using piezoelectric composite materials for smart system applications. Micro Nano Eng. 2024, 23, 100253. [Google Scholar] [CrossRef]
- Derraz, M.; Radoine, H.; Boumegnane, A.; Achour, M.A.B.; Ennawaoui, C.; Hajjaji, A. Development of a novel Bi4Ti3O12/chitosan/rGO piezoelectric bio-composite for mechanical energy harvesting: Output energy optimization using response surface methodology modelling. Ceram. Int. 2025, 51, 2660–2673. [Google Scholar] [CrossRef]
- Buscarino, A.; Famoso, C.; Fortuna, L.; La Spina, G. Nonlinear jump resonance: Recent trends from analysis to electronic circuits implementations. IEEE Trans. Circuits Syst. II Express Briefs 2023, 71, 1727–1732. [Google Scholar] [CrossRef]











| Dimension | Piezoelectric Material | Beam (Steel) |
|---|---|---|
| L (cm) | 7 | 7 |
| e (cm) | 0.06 | 0.04 |
| Material | Poisson’s Ratio () | Young’s Modulus (GPa) | Density (kg/m3) |
|---|---|---|---|
| Polyetherimide (PEI) | 0.4 | 3 | 1270 |
| Copper (Cu) | 0.34 | 120 | 8960 |
| Material | (pC · N−1) | Density (kg/m3) | |
|---|---|---|---|
| PZT | 1700 | −593 | 7750 |
| PVDF | 7.6 | 33.8 | 1780 |
| (ppm) | av (Hz) | app (Hz) | (Hz) |
|---|---|---|---|
| 10 | 767,382,904.06 | 767,382,898.44 | 5.62 |
| 100 | 767,382,904.06 | 767,382,847.85 | 56.21 |
| 200 | 767,382,904.06 | 767,382,791.64 | 112.43 |
| 300 | 767,382,904.06 | 767,382,735.42 | 168.64 |
| 400 | 767,382,904.06 | 767,382,679.21 | 224.85 |
| 500 | 767,382,904.06 | 767,382,622.99 | 281.07 |
| 600 | 767,382,904.06 | 767,382,566.78 | 337.29 |
| 700 | 767,382,904.06 | 767,382,510.56 | 393.50 |
| 800 | 767,382,904.06 | 767,382,454.34 | 449.72 |
| 900 | 767,382,904.06 | 767,382,398.12 | 505.94 |
| 1000 | 767,382,904.06 | 767,382,341.91 | 562.16 |
| (nm) | (Hz) Pour 400 | (Hz) Pour 500 | (Hz) Pour 600 |
|---|---|---|---|
| 300 | 48.46 | 60.57 | 72.68 |
| 400 | 714.33 | 892.91 | 1071.5 |
| 500 | 216.62 | 138.38 | 324.92 |
| 600 | 224.85 | 281.06 | 337.28 |
| 700 | 2738.66 | 3423.36 | 4108.05 |
| 800 | 3228.77 | 4036.00 | 4843.25 |
| 900 | 1052.94 | 1316.18 | 1579.42 |
Disclaimer/Publisher’s Note: The statements, opinions and data contained in all publications are solely those of the individual author(s) and contributor(s) and not of MDPI and/or the editor(s). MDPI and/or the editor(s) disclaim responsibility for any injury to people or property resulting from any ideas, methods, instructions or products referred to in the content. |
© 2025 by the authors. Licensee MDPI, Basel, Switzerland. This article is an open access article distributed under the terms and conditions of the Creative Commons Attribution (CC BY) license (https://creativecommons.org/licenses/by/4.0/).
Share and Cite
Mastouri, H.; Remaidi, M.; Ennawaoui, A.; Derraz, M.; Ennawaoui, C. Advanced Self-Powered Sensor for Carbon Dioxide Monitoring Utilizing Surface Acoustic Wave (SAW) Technology. Energies 2025, 18, 3082. https://doi.org/10.3390/en18123082
Mastouri H, Remaidi M, Ennawaoui A, Derraz M, Ennawaoui C. Advanced Self-Powered Sensor for Carbon Dioxide Monitoring Utilizing Surface Acoustic Wave (SAW) Technology. Energies. 2025; 18(12):3082. https://doi.org/10.3390/en18123082
Chicago/Turabian StyleMastouri, Hicham, Mohammed Remaidi, Amine Ennawaoui, Meryiem Derraz, and Chouaib Ennawaoui. 2025. "Advanced Self-Powered Sensor for Carbon Dioxide Monitoring Utilizing Surface Acoustic Wave (SAW) Technology" Energies 18, no. 12: 3082. https://doi.org/10.3390/en18123082
APA StyleMastouri, H., Remaidi, M., Ennawaoui, A., Derraz, M., & Ennawaoui, C. (2025). Advanced Self-Powered Sensor for Carbon Dioxide Monitoring Utilizing Surface Acoustic Wave (SAW) Technology. Energies, 18(12), 3082. https://doi.org/10.3390/en18123082

